Next Article in Journal
Evaluating Urban Stream Flooding with Machine Learning, LiDAR, and 3D Modeling
Previous Article in Journal
Analysis of Polycyclic Aromatic Hydrocarbons in Water Samples Using Deep Eutectic Solvent as a Dispersant in Dispersive Liquid–Liquid Microextraction Based on the Solidification of Floating Organic Droplet
 
 
Font Type:
Arial Georgia Verdana
Font Size:
Aa Aa Aa
Line Spacing:
Column Width:
Background:
Article

Optimal Determination and Dynamic Control Analysis of the Graded and Staged Drought Limit Water Level of Typical Plateau Lakes

1
School of Water Conservancy and Hydropower, Hebei University of Engineering, Handan 056038, China
2
School of Earth and Space Sciences, Peking University, Beijing 100871, China
3
Yunnan Institute of Water & Hydropower Engineering Investigation, Design and Research, Kunming 650021, China
*
Author to whom correspondence should be addressed.
Water 2023, 15(14), 2580; https://doi.org/10.3390/w15142580
Submission received: 1 June 2023 / Revised: 8 July 2023 / Accepted: 11 July 2023 / Published: 14 July 2023
(This article belongs to the Section Water Resources Management, Policy and Governance)

Abstract

The technical research on determining the drought limit water level can be used as an important basis for starting the emergency response of drought resistance in the basin and guiding the drought resistance scheduling of water conservancy projects. When the concept of drought limit water level was first proposed, the main research object was reservoirs, and the method for determining the lake drought limit water level was not established. Referring to the calculation method of reservoir drought limit water level, the drought limit water level is used as a single warning indicator throughout the year, which lacks graded and staged standards, and also lacks rationality and effectiveness in practical application. Therefore, this article has improved the concept of lake drought limit water level (flow). Under different degrees of drought and water use patterns during the drought period, combined with the characteristics of lake water inflow, considering the factors such as ecology, water supply, and demand, lake inflow, evapotranspiration loss, a graded and staged standard of lake drought limit water level has been developed. For different types of lakes, a general method for determining the lake’s graded and staged drought limit water level has been established. The SCSSA-Elman neural network is used to construct the medium and long-term water inflow prediction model for lakes, and the calculation results of this model are used for the warning and dynamic control analysis of the lake drought limit water level. The application of this method has the characteristics of strong applicability and high reliability. Finally, the determination method and dynamic control method of the lake’s graded and staged drought limit water level have been successfully applied at Dianchi Lake in Yunnan.

1. Introduction

Global climate change has accelerated the atmospheric and water cycle processes, changed the water resource spatiotemporal distribution, led to water resource shortages, and exacerbated the drought’s frequent occurrence and expansion [1,2]. Reservoirs and lakes, as important hydraulic engineering facilities in the water supply network, play a key role in the basin water resource spatial optimal allocation [3,4]. Therefore, during the drought period, the scheduling and utilization strategy of reservoirs and lakes has become a hot spot in current research.
The National Flood Control and Drought Relief Headquarters Office and the Hydrological Bureau of the Ministry of Water Resources jointly issued the “Drought Limit Water Level (Flow) Determination Method”, which first defined the concept of drought limit water level [5]. Compared with the flood limit water level [6,7], the drought limit water level is a new research direction. The determination of drought-limited water level should comprehensively consider the main water demand for industry, agriculture, life, and ecology undertaken by rivers, lakes, and reservoirs and use the maximum value of their comprehensive water consumption as the basis for the determination. Many scholars have conducted research on drought limit water levels based on this foundation.
Firstly, the research mainly focuses on hydrological drought indicators, the concept of drought limit water level, water level determination methods, drought prediction, and others. Renee Obringer et al. [8] deduced the key prediction factors of reservoir water level according to the current hydroclimatic conditions and proposed that random forest is a tree-based integration method, which is the best algorithm for predicting reservoir water level. Jehanzaib et al. [9] used the data of precipitation, inflow flow, and daily storage capacity recorded in three large reservoir areas in South Korea as the input data for machine classification learning, and the classifier can better predict the hydrological drought warning level. Wu et al. [10] proposed a new method to determine the drought limit water level under the changing environment based on the reservoir runoff data and determined the monthly drought limit water level of the reservoir. Rossi et al. [11] conducted a study on interannual changes in the water supply to identify the interannual changes in drought-limit water levels. When the water supply increases, the drought limit water level will rise. When the water supply decreases, the drought-limit water level will decrease.
Secondly, in actual work, facing drought conditions in different periods, if a single drought limit water level is used throughout the year, it may occur that the storage water below the reservoir drought limit water level will not be normally used during the dry period, so it cannot meet the downstream water demand; and in the wet period, a large amount of wastewater is produced, which has an adverse effect on the efficient utilization of water resources and the maximization of the comprehensive benefits. In view of the limitations of a single drought limit water level, many scholars have begun to delve into the determination methods of the graded and staged control [12,13], multi-year reservoir regulation [14,15], or the calculation of river section test points [16], as well as the application of simulation-optimization ideas. Mohammadi et al. [17] used mixed support vector regression and grey wolf algorithm to predict lake water level fluctuations and used three data preprocessing methods to determine the optimal values of input variables using evolutionary methods with different monthly lags. Ruishen et al. [18], based on the connotation of drought-limited water level, a new method is proposed to calculate the graded and staged drought-limited water level of a reservoir, which uses the reverse order recursive algorithm and fully considers the differences in the annual water demand process of different drought levels and different industries; Li et al. [19] analyzed the causal relationship between the variables in the water supply and demand system, established a System Dynamics model for water supply volume, and calculated the drought limit water level based on the inflow process and water supply volume. Malekpour et al. [20], the wavelet support vector regression method based on the teaching and learning algorithm was applied to the water level prediction of the Zayanderud dam in Iran. This model is promoted through wavelet transform and optimization algorithms, which promote the reduction of model errors and the improvement of accuracy.
At present, various theories and methods are still in the exploratory stage. Foreign research mainly focuses on hydrological drought warnings, drought assessment, and flood level changes and predictions. The research on drought limit water levels in China has gradually extended from the method of determining the water level of a single reservoir to the stage of calculating multiple optimization methods for reservoir groups. However, further exploration and improvement are still needed in terms of reservoir grading and staging, system theoretical methods, and reservoir scheduling plans in the future.
The drought limit water level is incorporated into the water level characteristic system as the warning water level of rivers, lakes, and reservoirs, and is also used as a key indicator for control operation during the drought period. At present, there are relatively few research results on drought limit water levels, mainly concentrated in reservoirs or cascade reservoirs. According to the first proposed concept of drought limit water level, and referring to the methods for determining drought limit water levels of rivers and reservoirs, the current research gap is mainly due to the lack of methods for determining drought limit water levels of the lake, and there are also two urgent problems that need to be solved: (1) The drought limit water level is controlled by a single static staged water level in a hydrological year, ignoring the seasonal characteristics of inflow, water storage, and water use, and it is easy to cause the high water level in the dry season and lead to an insufficient water supply. (2) When analyzing rationality, most of the drought-limited water level takes the reservoir as the water supply unit to carry out the overall operation of the water resources system but ignore the feedback and coordination of the reservoir and other water supply units (such as internal rivers, lakes, ponds, and external basin water transfer).
In response to the above issues, in-depth research is conducted on the determination method of the drought limit water level of lakes. Combined with the priority of production, living, and ecological water demand during the drought period, a neural network with a clustering analysis function is used for grading and staging. From the perspective of grading and staging, this study explores how to determine the drought-limit water level of lakes. Considering the ecological water level determination, water demand outside the lake, lake inflow runoff, and evapotranspiration losses, the method for determining the lake’s graded and staged drought limit water level was improved, and the rationality and effectiveness of its calculation method were verified. This method was applied as a pilot in the Dianchi Lake region of Yunnan Province, where the supply-demand contradiction is prominent.
In order to further improve the warning effect of drought limit water levels, this paper proposes a dynamic control method for monthly comparison of drought limit water levels. This method is based on the study of graded and staged drought limit water level, fully considering the prediction information of lake characteristics, hydrological ecology, lake inflow, and water level, and then using the improved SCSSA-Elman neural network model for calculation. It provides a scientific basis for drought prevention work such as drought warning, drought relief consultation, emergency response, and water scheduling. At the same time, it can effectively avoid problems such as inaccurate decision-making or excessive emergency response and has important strategic significance for protecting aquatic ecology and building our beautiful homes and rivers.

2. Determination Method of Lake Graded and Staged Drought Limit Water Level

The setting of lake drought limit water level can provide a warning for lake ecosystem security, water supply security outside the lake, and shipping safety, and it is also a hydrological drought early warning index [21]. The study of lake drought limit water level is similar to reservoir drought limit water level, but there are also differences. The determination method of lake drought limit water level should consider the influence factors such as lake morphological characteristics, ecological environment, water demand, water inflow and outflow relationship, and water balance. It is also needed to dynamically analyze the security level of the various water demands in different continuous years, and the dynamic analysis of drought limit water level can further explain the difference and priority of the relationship between supply and demand. Therefore, it is necessary to conduct dynamic control research on the lake’s graded and staged drought-limit water level.

2.1. Grading and Staging of Lake Drought Limited Water Level

2.1.1. Grading of Drought Limited Water Level

According to the inflow runoff process of lakes and the characteristics of different water demand users, refer to the key control water level of reservoir drought and the corresponding calculation method in the “Drought Limit Water Level (Flow) Determination Method” first proposed in 2011, combined with the probability of drought events in the non-flood season is greater than that in the flood season, and the water shortage rate is more serious than that in the flood season, it is necessary to introduce the concept of the lake’s graded drought limit water level. Based on the different degrees of drought and corresponding to the different drought levels in the emergency measures for flood control and drought relief, the drought limit water level is classified into drought warning water level and drought water level [22].
When the water storage capacity of the lake is high, the drought warning water level is set, which represents a mild drought, and the water level continues to be low, which affects the regional water using the safety of life, production, agriculture, ecology, etc. Therefore, corresponding drought-resistant emergency measures should be taken to adjust the water level. The drought warning water level can guarantee the water demand in all aspects in the non-flood season or dry year, and the frequency of water inflow or rainfall is generally selected as P = 75%. When the water storage capacity of the lake is low, the water level is lower than the drought warning water level, and the drought water level is set to represent the serious drought, which seriously affects the regional water using safety for life, production, agriculture, ecology, etc. And the level of emergency drought relief measures should be raised. Generally, the frequency of water inflow or rainfall is selected as P = 95% to ensure the water demand in a serious drought year.

2.1.2. Staging of Drought Limited Water Level

According to the lake’s annual inflow, water demand, evapotranspiration loss, and other factors, as well as considering the hydrological and meteorological characteristics of the basin, such as precipitation, lake inflow, annual water level, comprehensive water demand, and annual average temperature, the self-organizing feature mapping artificial neural network (SOFM-ANN) [23] is used to divide the lake drought limit water level by stages.
The SOFM-ANN with clustering analysis function is selected, including the output network layer and competitive network layer. Assume that the input layer receives data samples with N neurons, and the competition layer classifies the data samples as M. The input layer and the competition layer are connected by the weight value in the domain. The specific calculation steps are as follows [24]:
Step 1: Initialize weights. In the interval [0, 1] range, select all the initial weights R i j = r i j , where i = 1 , 2 , , n ; j = 1 , 2 , , m , and give random values. The initial value ρ 0 of the learning rate ρ t in the range of interval [0, 1] is determined. Determine the initial value Q a 0 of the adjacent field Q a t , t is the number of times that have been learned; determine the total number of learning is T.
Step 2: Randomly select a mode P b from the total number of learning modes k, transmit it to the network layer, obtain the initial vector value P b 0 and the corresponding weight value R j , and normalize the value after input. The calculation formula is shown in Formula (1):
P b ¯ = P b P b = P 1 b , P 2 b , , P n b P 1 b 2 + P 2 b 2 + + P n b 2 R j ¯ = R j R j = r 1 j , r 2 j , , r n j r 1 j 2 + r 2 j 2 + + r n j 2
Step 3: Calculate the Euclidean distance and the minimum distance between the normalized value P b ¯ and the weight value R j . The calculation formula is shown in Formulas (2) and (3):
D j = i = 1 n P i b ¯ R i j 2 1 2
d a = min D j
Step 4: Update the value of the weight in the adjacent domain Q a t of the competitive network layer and further modify it by adjusting the weight vector. The calculation formula is shown in Formula (4):
R i j t + 1 = R j t + ρ t × P i b ¯ R i j t
Step 5: Return to Step 2, input the remaining learning mode k−1 to the network layer, and get a new learning rate ρ t and adjacent domain Q a t values. The calculation formula is shown in Formula (5):
ρ t = ρ 0 × 1 T 1 Q a t = int Q a 0 × T 1
Step 6: When the number of learned times t reaches the total number of learning times T, the total number of learning modes k is input to the network layer. Through competitive training, the output layer winning neurons and the weight vectors in the adjacent fields tend to the input vector, and finally, the classification calculation is completed. The schematic diagram for determining the grades and stages of lake drought warning is shown in Figure 1.

2.2. Analysis of Lake Types

Lakes provide important natural resources for watershed development, such as water resources, environmental resources, economic resources, and tourism resources. At the same time, they also play a role in regulating river runoff, providing drinking and irrigation water resources, and providing shipping channels. Therefore, the maintenance of lake environmental functions and ecosystem health provides important guarantees for socio-economic development and regional ecological security. Lakes are divided into active lakes and passive lakes according to their geographical location and water supply conditions [25]. According to the water supply function requirements of lakes, active lakes are divided into lakes with and without water supply functions. Because most of the passive lakes are located in uninhabited areas and are mainly supplied by natural precipitation, surface runoff, and groundwater. The passive lake demand for water outside the lake is very small, and the water transfer range and storage capacity are also small. Therefore, the drought limit water level of passive lakes will temporarily not be considered.

2.3. Calculation of Lake Hydrological Elements

The hydrological elements of the lake include inflow runoff, water level, evapotranspiration, leakage, and so on. After fully considering the reliability, consistency, and representativeness of the data, following the principle of water balance, the lake ecological water level, socio-economic water demand outside the lake, inflow runoff, and surface evapotranspiration loss are mainly used as the calculation contents of the hydrological elements of the lake drought limit water level.

2.3.1. Determination of Lake Ecological Water Level

The important protection function of lakes is reflected in the construction of an ecological environment. According to the basic principles of the protection target of the lake, the impact degree of the lake ecosystem, and the development and utilization of water resources, the following methods [26,27,28,29,30] are used to determine the lake’s ecological water level. The specific method description is shown in Table 1.

2.3.2. Calculation of Socio-Economic Water Demand Outside the Lake

The social and economic needs outside the lake mainly involve domestic water, industrial water, and agricultural water. In different periods and needs, one or several combinations of water are required. According to the actual situation of the study area, agricultural water use fluctuates greatly with the change of frequency in the hydrological year, and the water distribution of the year is uneven. Each water demand outside the lake will be represented by multiple economic and social indicators. After summarizing the total socio-economic water demand outside the lake, it will be distributed monthly according to the actual situation. In areas where the relationship between water supply and demand is not complex, the quota calculation method is generally used to calculate the water demand under mild drought (P = 75%) and serious drought (P = 95%). At the same time, water demand changes with economic and social development, and the water conservancy management department should dynamically adjust the drought limit water level according to the local actual situation to reserve some available water supply in advance.

2.3.3. Calculation of Lake Inflow Runoff

According to the actual monitoring data of the lake, the measured data method, water balance method, and model method are used to calculate the lake inflow runoff. The measured data method takes the actual data from the hydrological monitoring station at the entrance of the lake as the inflow of the lake. The water balance method selects the actual monitoring water level data of the hydrological monitoring station at the lake outlet, and according to the lake water level-volume curve, the lake inflow runoff is calculated by the difference between the export and import water volume equal to the change of the lake storage capacity. The model method simulates the runoff and confluence process of the basin where the lake is located by establishing a hydrological model so as to obtain the data of mid-long-term continuous water inflow runoff.

2.3.4. Lake Surface Evapotranspiration Loss

Inland plateau lakes are one of the most sensitive geographical units to climate change, and the lake evapotranspiration calculated by different methods is different. Based on the actual observation data of the lake and the construction of hydrological infrastructure, currently mainly referring to the observation precipitation, climate factors, flow data, the change data of lake water storage observed by remote sensing satellites, using the measured data method and Penman–Montieth formula to calculate the ET0 results as the lake evapotranspiration; or check the extension results and use the evaporation measured by an evaporator with a diameter of Φ20 mm to correct the calculation to obtain the annual evaporation of the lake surface, which is calculated according to E = E Φ 20 × k × A . E is the annual evaporation per unit area of the lake; EΦ20 is the evaporation measured by a 20 mm diameter pan; k is the correction coefficient of lake evaporation; A is the lake area.

2.4. Calculation of Lake Drought Limit Water Level

The calculation of lake drought limit water level is a complex process that needs to consider many factors. First of all, factors such as the geographical location, shape, water surface area, and depth of the lake must be considered. At the same time, the climate characteristics of the watershed where the lake is located and the hydrological characteristics such as precipitation, evaporation, inflow, and outflow runoff must also be considered. Then, combined with the influence of water quality characteristics and water demand characteristics of lakes, the lake classification and target analysis are carried out. The lake drought limit water level with and without water supply function will be calculated separately.
(1)
Lakes with water supply function
The active lakes are mainly considered. The calculation of drought limit water level is based on the ecological water level of the lake and the socio-economic water demand outside the lake. Meanwhile, considering the water inflow runoff caused by lake precipitation and the evapotranspiration affected by climatic factors. The calculation formula is shown in Formulas (6) and (7):
Drought warning water level:
Z D r o u g h t   W a r n i n g , t = V V Z e c o l o g i c a l , t d r o u g h t   w a r n i n g + max W P = 75 % , t o u t s i d e R P = 75 % , t r u n o f f + E P = 75 % , t e v a p o t r a n s p i r a t i o n , 0
Drought water level:
Z D r o u g h t , t = V V Z e c o l o g i c a l , t d r o u g h t + max W P = 95 % , t o u t s i d e R P = 95 % , t r u n o f f + E P = 95 % , t e v a p o t r a n s p i r a t i o n , 0
In the formula, Z D r o u g h t   W a r n i n g , t and Z D r o u g h t , t are the drought warning water level and the drought water level of the lake in the t month, respectively; Z e c o l o g i c a l , t d r o u g h t   w a r n i n g and Z e c o l o g i c a l , t d r o u g h t are the ecological water levels determined by the lake at P = 75% and P = 95% of the inflow frequency in the t month, respectively; V is the lake volume-water level relationship curve; W P = 75 % , t o u t s i d e and W P = 95 % , t o u t s i d e are the socio-economic water demand outside the lake under the P = 75% and P = 95% inflow frequency of the lake in the t month, respectively; R P = 75 % , t r u n o f f and R P = 95 % , t r u n o f f are the runoff into the lake at P = 75% and P = 95% of the inflow frequency in the t month, respectively. E P = 75 % , t e v a p o t r a n s p i r a t i o n and E P = 95 % , t e v a p o t r a n s p i r a t i o n are the lake surface evapotranspiration at P = 75% and P = 95% inflow frequency in the t month, respectively. The value in the lake volume-water level relationship curve is selected according to actual requirements, and the calculation result is a positive value.
(2)
Lakes without water supply function
Lakes without water supply function mainly rely on the natural hydrological cycle process. There is no economic and social water demand outside the lake. Only the determination of the ecological water level, water inflow runoff, and evapotranspiration of the lake surface are considered. Other indicators remain unchanged. The calculation formula is shown in Formulas (8) and (9):
Drought warning water level:
Z D r o u g h t   W a r n i n g , t = V V Z e c o l o g i c a l , t d r o u g h t   w a r n i n g + max 0 R P = 75 % , t r u n o f f + E P = 75 % , t e v a p o t r a n s p i r a t i o n , 0
Drought water level:
Z D r o u g h t , t = V V Z e c o l o g i c a l , t d r o u g h t + max 0 R P = 95 % , t r u n o f f + E P = 95 % , t e v a p o t r a n s p i r a t i o n , 0

2.5. Compared with the Water Level Determined by Other Optimization Algorithms

The goal of lake drought resistance is to be scientific, reliable, and popular. Based on the standards of lake drought limit water level, an intelligent optimization algorithm of the lake’s graded and staged drought limit water levels is established, which forms a standardized software tool. The main principle for selecting time and region in this optimization algorithm is to allocate water scarcity as evenly as possible. Avoid large-scale concentrated water shortages in individual periods, regions, and industries. On this basis, a drought limit water level algorithm is proposed with the objective function of the minimum mean and standard deviation of monthly water shortage rate and constrained by water demand, water supply, water balance, and other non-negative conditions, and also comparative analysis is conducted. The details are as follows:
  • Objective function:
M e a n   v a l u e : X ¯ = δ W w a t e r   r e q u i r e m e n t , t W w a t e r   s u p p l y , t / δ W w a t e r   r e q u i r e m e n t , t / T S t a n d a r d   d e v i a t i o n : σ = X X ¯ 2 / T 1 / 2
2.
Constraints:
W a t e r   d e m a n d   c o n s t r a i n t : W w a t e r   r e q u i r e m e n t , t d r o u g h t   l i m i t   w a t e r   l e v e l = W w a t e r   r e q u i r e m e n t , t × φ r e g u l a t i o n   f a c t o r Z t > Z d r o u g h t   l i m i t   w a t e r   l e v e l W a t e r   s u p p l y   c o n s t r a i n t : W w a t e r   s u p p l y , t = min W w a t e r   r e q u i r e m e n t , t d r o u g h t   l i m i t   w a t e r   l e v e l , Q t + V t W a t e r   b a l a n c e   c o n s t r a i n t : V t + 1 = Q t + V t W w a t e r   s u p p l y , t W E v a p o t r a n s p i r a t i o n   l o s s O t h e r   n o n n e g a t i v e   c o n s t r a i n t s
3.
Decision variables
In lake allocation management, when the water level of the lake is lower than the drought limit water level, it is necessary to restrict the water demand outside the lake to different degrees and store water in the lake for future use. The selection of decision variables mainly sets the proportion of limited water demand in formula (10) as the decision variable, which not only optimizes the drought limit water level but also forms a regular water supply system. The range of decision variables is mainly represented by the adjustment coefficient of limited water demand δ , when the reservoir water level is below the drought limit water level. The range of values is as follows:
Domestic   water : 0.7 δ D 1 Industrial   water : 0 δ I 1 Agricultural   water : 0 δ A 1 Ecological   water : 0 δ E 1  
4.
Model solution
By constructing the lake optimization model, the minimum mean value of the water shortage rate and the minimum standard deviation of the water shortage rate is taken as the objective function, and the water demand adjustment coefficient is corrected by feedback. The fast non-dominated multi-objective optimization algorithm (NSGA-II) with an elite retention strategy is used to optimize the drought limit water level so as to reduce the water shortage rate and fluctuation range. The NSGA-II algorithm is a multi-objective optimization algorithm based on the non-dominated sorting genetic algorithm. The concept of a fast non-dominated sorting algorithm and crowding degree is introduced, and the improvement of left and right crowding degree calculation and dynamic crowding degree sorting strategy is proposed [31,32]. In order to ensure the diversity of the population, the Pareto frontier is obtained by sorting the optimized solutions. Through the non-dominated sorting of the population to achieve the classification of the population, the crowding distance of the individual population is calculated to maintain the diversity of the population, and the approximate solution is obtained when the termination condition is reached.
The improved algorithm idea: (1) The left and right crowding degree is to increase the left crowding degree S D l e f t and the right crowding degree S D r i g h t for the individuals who are not boundary points and initialize them. The calculated values of the objective function are sorted to obtain the left crowding degree value and the right crowding degree value, and finally, the boundary point crowding degree value S D is obtained. The calculation formula is shown in Formula (12).
S D = S D + S D l e f t S D l e f t + S D r i g h t S D r i g h t
(2) The fixed crowding sorting strategy may eliminate individuals with lower crowding. In order to overcome the shortcomings in the application, a dynamic crowding sorting strategy is adopted to record the position of the individual solution after elimination. Recalculate the pre-crowding degree and post-crowding degree of the individual solution, update the ranking, and eliminate the solutions with low crowding degrees until the solution meets the requirements.

2.6. Correction and Rationality Analysis of Lake Drought Limit Water Level

2.6.1. Lake Drought Limit Water Level Correction

(1)
Comprehensive management constraint correction
According to the determination of the lake grades and stages in Section 2.2 and the monthly drought limit water level in Section 2.4, the lake drought warning water level and the drought water level should be divided according to the flood season and non-flood season, and the characteristic water level requirements should also be satisfied respectively. The specific requirements are shown in Formula (13). Meanwhile, it is necessary to consider the comprehensive management of lake water supply conditions and water diversion projects in the outer basin. For example, the drought limit level should not be higher than the flood season limit level and should not be lower than the water supply guarantee level.
N o f l o o d p e r i o d : Z D e a d < Z D r o u g h t   W a r n i n g , t , Z D r o u g h t , t < Z F l o o d   l i m i t e d F l o o d p e r i o d : Z D e a d < Z D r o u g h t   W a r n i n g , t , Z D r o u g h t , t < Z N o r m a i
(2)
Ecological protection constraint correction
In order to meet the highest water quality requirements of lakes in the ecological environment system, and according to the minimum water level requirements for the survival and reproduction of organisms in lakes, fish are generally used as the main reference object, and the water level can be adjusted and corrected within a range.
(3)
Correction of staging value
In order to facilitate the practical management of lake water levels, based on the calculation of monthly drought limit water level, according to the staged drought of hydrological year, the maximum value of the outer envelope line is taken for monthly drought limit water level in each stage Z T = max ( Z 1 , Z 2 , , Z t ) .

2.6.2. Rationality Analysis of Drought Limited Water Level

Lake drought is an uncertain accidental event that is related to the climatic environment, underlying surface, and human activities. To study the lake’s graded and staged drought limit water level, it is necessary to analyze the rationality of the determined drought limit water level to verify whether it has the ability of drought warning and whether it can effectively meet the requirements of lake water resources scheduling. The rationality analysis is mainly carried out from the following aspects:
Step 1: Determine the degree of drought in the historical period of the lake, and the percentage of precipitation anomaly ν 1 and the percentage of water storage anomaly ν 2 are compared comprehensively [33,34]. The calculation formula is shown in Formula (14), where P is the monthly rainfall during the calculation period, mm; P ¯ is the average monthly rainfall in the same period of many years, mm, and it is advisable to use the average value of nearly more than 30 years. W is the lake water storage,104 m3; W ¯ is the average monthly lake water storage for many years,104 m3.
ν 1 = P P ¯ P ¯ × 100 % ν 2 = W W ¯ W ¯ × 100 %
The criteria for ν 1 and ν 2 are shown in Table 2:
Step 2: The calculated lake drought warning water level and drought water level are compared with the monthly water level in the historical period. The drought warning water level and the drought water level are the lowest extreme values of the different drought degrees of the lake. When the historical water level is lower than the drought limit water level, it indicates that drought events occurred in the historical period.
Step 3: The drought degree is determined by comparing the measured water level with the drought limit water level in the same period of history, and the drought degree is obtained by looking up Table 2 after ν calculated by Step1, then comparing the above two methods to judge the consistency of drought degree. The warning ability of the corresponding drought degree is judged by the consistent percentage. The higher the percentage, the stronger the drought warning ability. According to the relevant research results and practical application, the drought warning water level has strong reliability in the warning of medium drought and above, and the drought water level can effectively warn of the occurrence of serious drought and above.

3. Dynamic Control Method of Lake Drought Limit Water Level

The calculation of lake drought limit water level is of great significance for scientific warning and rational utilization of lakes. By calculating the drought limit water level, it is possible to reasonably plan the utilization of water resources in lakes and prevent the risk of drought, water shortage, and ecological environment deterioration caused by low lake water levels. In practical application, in addition to calculating the lake’s graded and staged drought limit water level, it is also necessary to establish a medium and long-term hydrological prediction model of the lake [35,36] to regulate the operation and management of the lake scientifically and dynamically. The dynamic control process of drought limits water level for medium and long-term hydrological prediction of water inflow runoff is shown in Figure 2.

3.1. Hydrological Prediction of Lake Inflow Runoff

According to the role of flood control and emergency rescue of rivers and lakes, as well as reservoir flood dispatching, considering the requirements of the length of the foreseeable period for hydrological prediction, medium and long-term hydrological forecasting has strong predictability, which can solve the contradiction among flood control and drought relief, water storage and abandonment, and water using departments, so as to obtain greater benefits. The medium and long-term hydrological forecast is used to predict the runoff into the lake. The grey correlation coefficient between the selected index factor and the initially specified lake inflow runoff is analyzed. The larger the correlation coefficient, the stronger the correlation between the selected index and the lake inflow runoff. The main index factor set is determined from the influencing factors such as the total annual water resources, annual precipitation, annual inflow runoff, annual average water level, and annual average temperature of the lake.
Elman neural network has strong sensitivity in parameter settings such as weight and learning rate, tends to nonlinear function relationship, and has the effect of high precision and high recognition system. The improved Sparrow Search Algorithm (SCSSA) is used to optimize the Elman neural network structure [37,38] to predict the lake inflow runoff, and the global optimal solution brought by the optimal weight and threshold is determined. In view of the above problems, improvements are made in terms of expanding the global search range, increasing population diversity, and focusing on positioning, as shown in Formula (15) [39,40] to improve the accuracy and stability of network training and provide scientific decision-making for the dynamic control of lake drought limited water level.
x i , j = X min + X max 2 + X min + X max 2 c x i , j c β = β ( max min ) × 1 I / I max μ 1 μ + β min X i , j t + 1 = X i , j t + tan π × r a n d 0.5 X i , j t

3.2. Dynamic Control of Lake Drought Limit Water Level

The control method of lake drought limit water level has evolved from static control [41] to dynamic control [42], which is an inevitable product of social development and scientific progress. This method provides a breakthrough for scientifically utilizing lakes to combat drought and alleviate the contradiction between water supply and demand. The dynamic control of lake drought limit water level is mainly adjusted according to the medium and long-term hydrological prediction results. During the same period, the runoff obtained by the prediction model and the lake inflow runoff calculated by the hydrological frequency is dynamically evaluated.
The determination of the dynamic control domain is the foundation of dynamic control of lake drought limit water level, which can effectively prevent the tendency to unilaterally emphasize drought warning and emergency management and is an important indicator to ensure that the lake is not lower than the original drought standard. For the determination of the dynamic control domain of lake drought limit water level, when the predicted model runoff is greater than the hydrological frequency calculation, the water inflow meets the water demand and loss, and the water storage capacity in the lake is sufficient, without the need to adjust the drought limit water level. When the prediction model flow is less than the hydrological frequency calculation, there may be a drought event, and it is necessary to increase the drought limit water level and issue drought warnings in advance to ensure water demand and take emergency drought management measures.
The dynamic control of drought limit water level is mainly based on the accuracy of prediction model calculation. The higher the prediction accuracy, the more accurate the timing of emergency response will be. On the contrary, the prediction accuracy is low, and the dynamic adjustment of the drought limit water level may be advanced or delayed, leading to insufficient utilization of lake water resources or insufficient expected water volume. Therefore, further research is needed to adjust and determine the accuracy of long-term hydrological prediction in lakes.

4. Case Study

4.1. Research Overview

Dianchi Lake is in the southwest of Kunming City. It is the largest natural lake on the Yunnan-Guizhou Plateau and the largest freshwater lake in Yunnan Province. It has multiple functions, such as industry, agriculture, storage, flood control, tourism, shipping, aquaculture, and reserve water source. Dianchi Lake is distributed in the north-south direction, the lake body is slightly arched, and the bow is back to the east. The administrative division of Dianchi Lake in the basin is shown in Figure 3 [43]. There are many rivers in the basin, most of which are mountainous rivers with short sources and near flow. The distribution of main inflow rivers and hydrological stations in Dianchi Lake is shown in Figure 4 [43]. The distribution of precipitation is extremely uneven in space and year, and the precipitation on the lake surface is the smallest, only 800 mm. According to the “Regulations on the Protection of Dianchi Lake in Yunnan Province”, when the normal water level of Dianchi Lake is 1887.5 m, the average water depth is 5.4 m, the maximum water depth is 11.0 m, the lake area is 309.5 km2, and the lake volume is 1.62 billion m3. There is a natural levee in the north of the lake, which divides Dianchi Lake into two parts, the north and the south, commonly known as Caohai and Waihai. Waihai accounts for 96.1% of the total area of Dianchi Lake and is the main body of Dianchi Lake. The normal height water level of Waihai is 1887.5 m, the lowest working water level is 1885.5 m, the corresponding water level in the dry year is 1885.2 m, the limited water level in the flood season is 1887.2 m, and the highest water level in 20 years is 1887.5 m.

4.2. Calculation of Hydrological Elements of Drought Limited Water Level

4.2.1. Determination of Ecological Water Level in Dianchi Lake

According to the method in Section 2.3.1, the hydrological frequency analysis method is to collect the long sequence data of the monthly actual water level of Dianchi Lake from 1954 to 2016, and arrange them in order from high to low. The P-III theoretical curve is used for frequency analysis of the sample data, and the monthly water level calculation results of Dianchi Lake at P = 75% and P = 95% frequencies are obtained, as shown in Table 3.
The lake morphology method is used to calculate the lowest ecological water level of the lake. The lake water level is used as the index of lake hydrology and topography, and the lake area is used as the index of lake function. There is a nonlinear relationship between lake water level and area. Generally, the relationship function between water level and water surface area is obtained by polynomial fitting. The water level and water surface area of Dianchi Lake are fitted by polynomials, and the relationship curve is shown in Figure 5. According to the calculation formula in Table 1 and the polynomial fitting curve equation, Z = 1884.29 m can be solved. The average annual water level of Dianchi Lake is 1886.66 m, and the calculation result is not much different from the average annual water level. That is, the ecological water level of Dianchi Lake is 1884.29 m.
The lake water ecosystem mainly includes aquatic plants, algae, fish, zooplankton, etc. The lake’s biological space is closely related to the lake water level. As the top community in the lake ecosystem, fish are at the highest end of the lake population food chain and are most sensitive to the lake ecosystem. Therefore, fish are regarded as the key species of lake living spaces [44,45], and their living space is satisfied. That is, other species are also satisfied. The average elevation of Dianchi Lake is 1882.23 m. According to relevant research, the water depth required for fish survival and reproduction is close to 1.00 m, and the water depth required for vertical turning is about 1.8 m. Therefore, the maximum ecological water level of Dianchi Lake is 1884.03 m.
Dianchi Lake belongs to a throughput-type lake with a long flood season. Taking the year of the worst ecosystem as the critical state, the ecological water level coefficient of the annual average water level corresponding to the worst year is obtained. According to hydrological and meteorological factors, Dianchi Lake has a height water level period from May to October each year and a low water level period from November to April the following year. After calculation and analysis, the water level during the height water level period is 1886.00 m–1886.50 m, corresponding to a total of 22 years, including 1955, 1974, 1986, etc. According to the analysis, after 1986, the water quality of Dianchi Lake deteriorated rapidly to the worst state and continued to develop until the 1990s. Therefore, 1988 was the worst year for the ecosystem of Dianchi Lake. The average water level of that year is 1886.02 m. Based on the formula in Table 1, the ecological water level coefficient θ is calculated to be 1.00, which can be multiplied by the monthly average water level for many years to obtain the monthly lowest ecological water level, that is, the lowest ecological water level of Dianchi Lake is 1886.02 m.
The lowest ecological water level of the lake is calculated by using the average water level method in the driest year, and the time scale of the statistical data should be not less than 20 years. According to the measured monthly water level data of Dianchi Lake from 1954 to 2016, the lowest water level of Dianchi Lake each year is determined, and the curve is shown in Figure 6. The lowest water level of Dianchi Lake fluctuates greatly each year, and there is an upward trend, and the maximum difference in water level is 2.19 m. The accuracy of the lowest ecological water level is mainly determined by the weight λ, which reflects the closeness between the average annual lowest water level and the lowest ecological water level of the lake. Taking λ = 1, combined with the formula in Table 1, the average annual lowest water level is 1885.17 m.
Considering the hydrological, topographic, and ecological factors of Dianchi Lake, from the perspective of lake ecological security, the hydrological frequency analysis method, lake morphology method, biological minimum space method, ecological water level method, and minimum water level method are selected to outsource the maximum value as the ecological water level of Dianchi Lake. Therefore, the ecological water level of Dianchi Lake at P = 75% and P = 95% frequencies are shown in Figure 7.

4.2.2. Calculation of Socio-Economic Water Demand Outside the Lake

Combined with the development of typical plateau characteristic agriculture in Dianchi Lake Basin, according to the unified requirements of water-saving society construction, the effective irrigation area of Dianchi Lake Basin in 2020 is 19,300 ha, and the effective utilization coefficient of irrigation water is 0.64. In 2030, the effective irrigation area will be 18,500 ha, and the effective utilization coefficient of irrigation water will be increased to 0.67. According to the relevant planning and research results, the calculated length of the agricultural comprehensive irrigation water series is 70 years, that is, from 1951 to 2020, and the time step is a month. The agricultural comprehensive irrigation quota comprehensively considers the influence of annual precipitation, annual evaporation, drought index, and crop planting. The curve frequency analysis is carried out when at the frequency of P = 75%, the multi-year average agricultural comprehensive irrigation water quota is 5568.00 m3/ha; when at the frequency of P = 95%, the multi-year average agricultural comprehensive irrigation water quota is 4753.83 m3/ha, and the monthly agricultural comprehensive irrigation water quota is shown in Figure 8. In the planning year of 2030, the quota of agricultural comprehensive irrigation water in the Dianchi Lake basin will change greatly. The quota of agricultural comprehensive irrigation water at the frequency of P = 75% is 5535.00 m3/ha, and the agricultural comprehensive irrigation water quota at the frequency of P = 95% is 4725.66 m3/ha. All meet the most stringent water resources management water efficiency red line control regulations implemented by the state. The monthly water demand according to the proportion of monthly agricultural irrigation water is shown in Table 4.

4.2.3. Lake Inflow Runoff Calculation

According to the monthly natural inflow runoff data sequence of Dianchi Lake from 1953 to 2020, the hydrological frequency of the monthly average inflow runoff of Dianchi Lake was analyzed and calculated. At the same time, the P-III theoretical curve is also used for calculation and analysis, and the monthly inflow runoff calculation results of Dianchi Lake at the frequency of P = 75% and P = 95% are obtained, as shown in Table 5.

4.2.4. Lake Surface Evapotranspiration Loss

According to the measured data sequence of Kunming meteorological station in Dianchi Lake basin from 1953 to 2020, the wind speed, average temperature, daily range of average temperature, sunshine hours, precipitation, relative humidity, water vapor pressure, and total cloud cover were analyzed. The monthly ET0 results were calculated by referring to the Penman–Montieth equation as the evapotranspiration of Dianchi Lake, and the frequency analysis and calculation were carried out. The P-III theoretical curve was also used for the calculation of the line, and the monthly average evapotranspiration calculation results of Dianchi Lake at the frequency of P = 75% and P = 95% were obtained, as shown in Table 6.

4.3. Stage Division and Calculation of Drought Limited Water Level

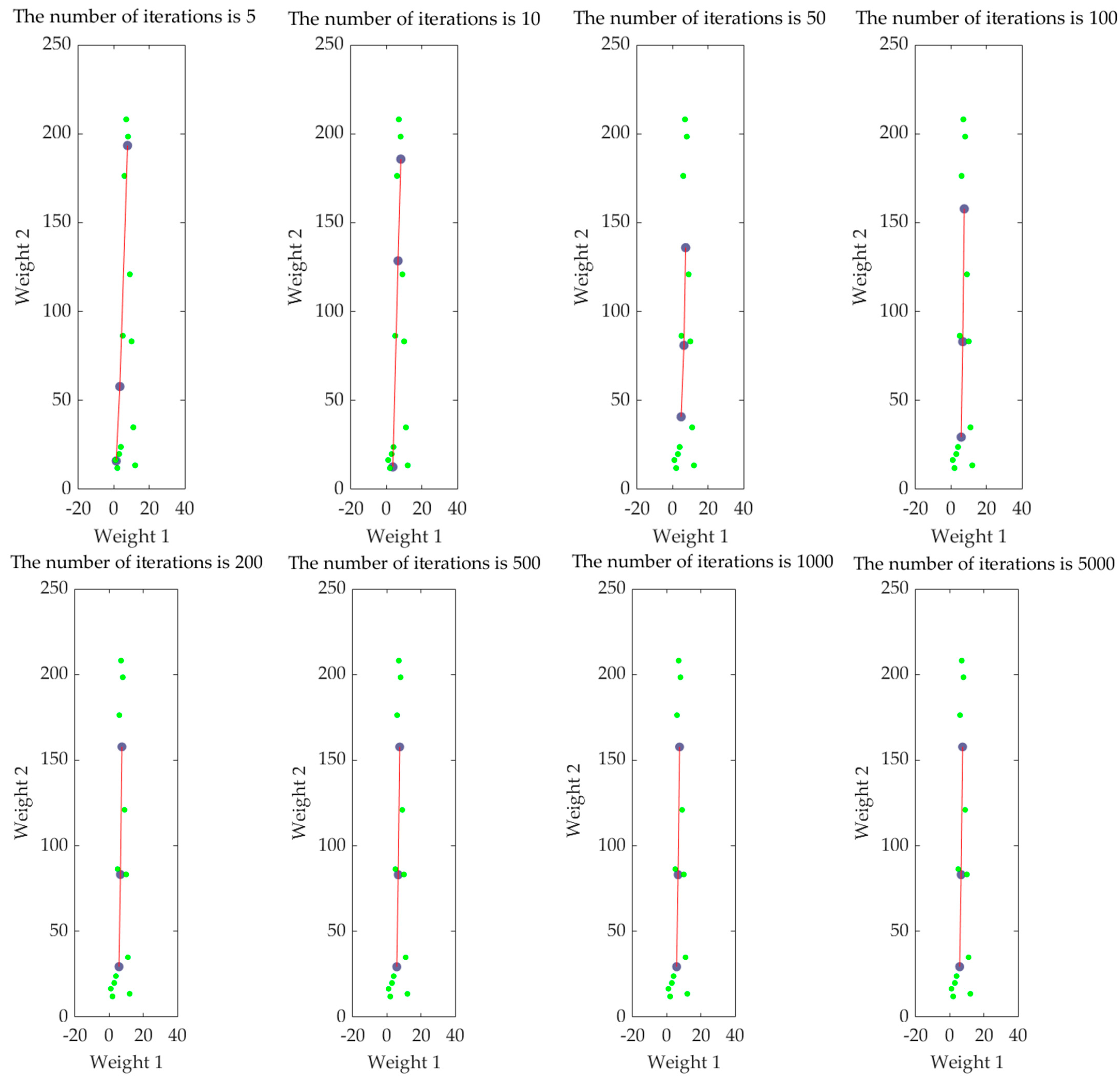
According to the multi-year average monthly data of precipitation, natural lake inflow runoff, water level, agricultural comprehensive irrigation water consumption, and temperature in Dianchi Lake, the self-organizing feature mapping artificial neural network is used to divide the drought-limited water level of Dianchi Lake by stages. The final number of stages mainly depends on the dimension of the competitive layer in the method. Referring to the relevant literature research, the dimension is initially set to 3. The clustering performance is affected by the number of iterations. The number of iterations is set to 5, 10, 50, 100, 200, 500, 1000, and 5000, respectively, and its classification performance is observed. The staging results of the SOFM-ANN model of drought-limited water level in Dianchi Lake obtained by different iterations are shown in Table 7.
According to the results of Table 7, when the number of iterations is 5, 10, and 50, the SOFM-ANN model has preliminarily classified the original data samples, and the accuracy of the classification results is not accurate. As shown in Figure 9, according to the weight vector calculated by the model, when the number of iterations reaches more than 100 times, the weight vector between each group of data changes little, and the staging results gradually stabilize. The staging results are as follows: January to April and November to December are non-flood seasons; the main flood season is from June to September; May and October are transition periods.
In order to verify the rationality of this method, the hydrological year staging results of Dianchi Lake drought limit water level obtained by the SOFM-ANN model were compared with the results obtained from the fuzzy set analysis, genetic analysis, system clustering, and Fisher optimal segmentation. The staging comparison results are shown in Table 8. It can be seen that the staging results obtained by SOFM-ANN model clustering analysis are consistent with the results obtained by the system clustering method and Fisher optimal segmentation method and are different from those obtained by the fuzzy set analysis method and genetic analysis method, but the difference range does not change much. In general, the SOFM-ANN model method is feasible for the staging study of typical plateau lakes in Dianchi Lake.
According to the geographical location and water supply conditions of the plateau lakes in central Yunnan, Dianchi Lake is an active lake with a water supply function. Therefore, according to the drought limit water level formula (6) and (7), the monthly drought limit water level of Dianchi Lake is calculated, and the results are shown in Table 9.
The monthly drought limit water level calculated by the optimization algorithm is used as the comparison object of the results obtained by the main water level determination method in this paper. When the amount of water available outside the lake is lower than the amount of water corresponding to the drought limit water level, drought-resistant emergency measures are initiated to reduce different water requirements accordingly. Taking the minimum mean and standard deviation of the water shortage rate as the objective function, the improved NSGA-II algorithm is used to optimize the drought limit water level. The number of iterations is set to 500 times, the number of populations is set to 100, and the Pareto solution set is obtained by optimization iteration. The taboo shows that the mean value of the water shortage rate and the standard deviation of the water shortage rate show a competitive relationship. According to the different water demand and characteristics of Dianchi Lake, which is mainly reflected in the large change in agricultural water use, the adjustment coefficient of drought limit water level in agricultural water demand is selected, the drought warning water level is selected as 0.75, and the drought protection water level is selected as 0.20, and the optimal solution is reached. The monthly drought limit water level corresponding to the optimal solution is shown in Table 10. Finally, compared with the results calculated in Table 9, the maximum monthly drought limit water level of the lake is taken.

4.4. Correction and Rationality Analysis of Drought Limited Water Level

4.4.1. Correction of Drought Limited Water Level

(1)
Comprehensive management constraint correction
Dianchi Lake is divided into stages in a hydrological year. The flood limit water level of the main flood season (June to September) is 1887.30 m and controlled. The limited water levels in May and October of the transition period were 1887.20 m and 1887.40 m, respectively, and the non-flood season (November to April of the following year) was controlled according to the normal storage water level of 1887.50 m. By comparison, the monthly drought limit water level did not exceed the flood limit water level. According to the water supply characteristics of different water depths below the normal height water level of Dianchi Lake, the lower limit water level of Dianchi Lake water supply area is 1886.15 m, and the drought limit water level in some months is lower than the lower limit water level of water supply area, so it needs to be corrected. The revised monthly drought limit water level of Dianchi Lake is shown in Figure 10.
(2)
Correction of staging value
The drought limit water level is revised by stages in the hydrological year, and the warning ability of the drought limit water level is further improved. Because there are many factors affecting the flood season, the flood season is further divided into two sub-periods: June-July and August-September. The maximum value of the outer envelope line is taken for the monthly drought limit water level in each stage, and the revised stage drought limit water level of Dianchi Lake is shown in Figure 10.

4.4.2. Rationality Analysis of Drought Limited Water Level

Considering the uncertainty of drought time in Dianchi Lake, two indexes of precipitation in the meteorological drought type and water storage in the hydrological drought type were selected for the rationality test. Based on the historical monthly precipitation and water storage of Dianchi Lake from 1954 to 2020, the percentage of monthly precipitation anomaly and the percentage of monthly water storage anomaly were calculated by Formula (14) to judge the drought degree of historical months. The monthly correction and staging correction of the drought limit water level is compared with the water level of each month in the historical period to determine whether there is a drought in each month in the historical period. The drought degree judged by the above two methods is consistent with the percentage, and the calculation results are shown in Figure 11 and Figure 12.
From Figure 11 and Figure 12, in the type of meteorological drought, the warning accuracy of monthly drought warning water level and staged drought warning water level for medium drought is 38.50% and 44.01%, respectively, and the warning accuracy for serious drought is 96.30% and 97.62% respectively. The accuracy of heavy drought warnings was 60.53% and 84.87% for monthly drought water level and staged drought water level, respectively, and the accuracy of serious drought warnings was 100%. The drought warning level has a reliable warning ability for medium drought and above, and the drought water level is more effective in the warning ability for heavy and serious drought. Among the hydrological drought types, the warning ability of monthly drought warning water level and staged drought warning water level to heavy drought is 65.48% and 71.99%, respectively, and the early warning ability to serious drought is 97.30% and 100%, respectively. The drought water level also has the same trend for heavy drought and above, and the warning accuracy is also between 69.75% and 98.44%, which ensures effective warning ability. In summary, from the overall perspective of Figure 11 and Figure 12, the early warning accuracy of the staged drought limit water level is higher than that of the monthly drought limit water level, which verifies the validity and rationality of the method for determining the monthly and staged drought limit water level of Dianchi Lake.

4.5. Hydrological Prediction Analysis of Dianchi Lake Inflow Runoff

The original data set collected from Dianchi Lake for a total of 63 years from 1954 to 2016 was used. Among them, 43 sets of data from 1954 to 1996 were used as training samples for SCSSA optimized Elman neural network, and the data from the last 20 years were used as test samples. The mean absolute error (MAE), root mean square error (RMSE), and mean absolute percentage error (MAPE) calculated by the optimized Elman neural network was used to evaluate the accuracy after optimization.
According to the operation characteristics and process of the Elman neural network, the hidden layer determination method is adopted. In the range, the number of hidden layer nodes is 4 to 13 integer bits. To ensure that the model can jump out of the local optimum and meet the accuracy requirements, the neural network is trained independently many times. Finally, when the optimal number of hidden layer nodes is 7, the optimal solution can be achieved.
By comparing the feasibility and convergence of the five optimization algorithms, the SCSSA algorithm is superior to the other four algorithms. At the same time, in order to verify the accuracy and effectiveness of the SCSSA algorithm optimized Elman neural network, it is compared with the Cuckoo Search Algorithm (CSA) Elman, Whale Optimization Algorithm (WOA) Elman, Seagull Optimization Algorithm (SOA) Elman and Sparrow Search Algorithm (SSA) Elman respectively. The parameters of the network are set as follows: the training number is 1000, the learning rate is 0.01, the minimum error of the training target is 0.00001, the momentum factor is 0.01, the maximum number of failures is 6, the initial population size is 30, the proportion of discoverers is 0.7, the proportion of sparrows aware of danger is 0.2, the safety value is 0.6, and the maximum number of iterations is 100. After 30 times of independent training, the optimal solution is selected. The performance of the Elman neural network optimized by SCSSA is better than others. The accuracy calculation of each model is shown in Table 11.
After the optimized Elman neural network training, by comparing the prediction accuracy of training samples and test samples, the prediction error of the SCSSA-optimized Elman neural network is small, and the average absolute percentage error reaches 0.063. It has good trend and fitting, can meet the prediction requirements of water volume, and can provide a scientific basis for the dynamic control and management of the drought-limited water level of Dianchi Lake.

4.6. Analysis of Dynamic Control Results of Drought Limited Water Level in Dianchi Lake

According to the results of the hydrological prediction model of Dianchi Lake inflow runoff, the predicted monthly lake inflow runoff and the lake inflow runoff calculated by hydrological frequency are compared and evaluated, and the differences are analyzed. Based on the evaluation results, the drought limit water level of Dianchi Lake is dynamically controlled. Through the comparison of the monthly lake inflow runoff of the measured data with the lake inflow runoff at 75% and 95% frequencies, it is found that the measured lake inflow runoff is greater than the frequency calculated lake inflow runoff. Therefore, the drought warning water level (P = 75%) and the drought water level (P = 95%) should be dynamically controlled.
Statistical analysis was conducted on the natural inflow runoff process measured of Dianchi Lake from 1954 to 2016 for a total of 756 months. Without the dynamic control of drought limit water level, the monthly measured lake inflow runoff was compared with the monthly 75% frequency lake inflow runoff calculated by hydrology. It was found that the monthly measured lake inflow runoff was less than 75% frequency lake inflow runoff for a total of 171 months. If the drought warning water level is not raised in time, it may produce about 2.682 billion m3 of water shortage. And there are 67 months that the monthly measured lake inflow runoff was less than 95% frequency lake inflow runoff. If the drought water level is not adjusted, it will result in a water shortage of approximately 790 million m3, as shown in Figure 13a,b.
Through the method of determining the drought limit water level of the lake, combined with the water inflow of the medium and long-term prediction, the predicted water inflow and the lake inflow runoff calculated by frequency are dynamically evaluated. When the predicted water inflow is greater than the calculated lake inflow runoff at 75% and 95% frequency, the water inflow meets the water demand and loss, and the water storage in the lake is sufficient, there is no need to adjust the drought warning water level and drought water level. When the predicted water inflow is less than the calculated lake inflow runoff at 75% and 95% frequency, there may be drought events. It is necessary to dynamically raise the drought limit water level and issue drought warnings in advance. Through comparative analysis, when the monthly lake inflow runoff at 75% and 95% frequency is greater than the predicted water inflow, it will take 140 months to raise the drought warning water level and 52 months to raise the drought water level. The water shortage may still exist at about 1.039 billion m3 and 4.08 billion m3, respectively, as shown in Figure 13c,d. When taking drought warning measures, the actual measured lake inflow runoff is greater than the predicted water inflow in 56 months and 21 months of raising the drought warning water level and the drought water level, respectively, indicating that there may be approximately 312 million m3 and 101 million m3 of water that has not been fully utilized.
Through the above analysis, the accuracy of the results of the dynamic control of the drought-limited water level in Dianchi Lake is significantly correlated with the accuracy of the water inflow prediction model. The dynamic control of the drought-limited water level is used as an adjustment method to identify the accurate judgment of the risk of drought and water shortage, and the accurate judgment rate of the drought warning water level reaches 81.9%. The accurate judgment rate of the drought water level reached 77.6%. Although the dynamic control method of the drought-limited water level has underutilized water in some months, compared with not using the dynamic control of the drought-limited water level, it greatly alleviates the drought and water shortage in most months of Dianchi Lake, effectively improves the efficient utilization of water resources, and also provides scientific decision-making for the ecological and environmental benefits of the basin and the management of lakes.

5. Conclusions

The research on the calculation method of the lake drought limit water level is mainly to solve the problems of the complexity, uncertainty, low warning ability, and delay of drought emergency response in the evaluation of drought characteristic indicators in rivers, lakes, and reservoirs. According to the method of determining the graded and staged drought limit water level of the reservoir, a determination method and dynamic control optimization model of the graded and staged lake drought limit water level are proposed. This method has the characteristics of strong practicality, easy operation, reliability, and wide practical application value. The main conclusions are as follows:
(1)
According to the characteristics and different types of lakes, the staged method of lake drought limit water level is optimized, and finally, a practical calculation method of the lake’s graded and staged drought limit water level with the ecological water level, lake inflow runoff, and evapotranspiration loss as the main calculation factors are proposed.
(2)
The determination method and dynamic control optimization model of drought limit water level are applied to Dianchi Lake in Yunnan Province, and the monthly and staged drought limit water levels of Dianchi Lake are obtained. Considering the uncertainty of the drought process in Dianchi Lake, the percentage of precipitation anomaly and water storage anomaly are used as the meteorological and hydrological drought indexes for the rationality analysis of the drought limit water level of Dianchi Lake.
(3)
In order to solve the control problem of lake drought limit water level, a hydrological forecasting model of lake inflow runoff is constructed. Based on the optimal control theory, the SCSSA-Elman neural network model is used for optimization prediction.
The measured monthly lake inflow runoff and the model-predicted monthly lake inflow runoff were compared at a frequency of 75% and 95%, respectively. The drought limit water level was dynamically adjusted, and the water shortage was reasonably analyzed.
In summary, The method of determining the lake drought limit water level by dynamic control has obvious system management advantages and application promotion value than the single drought limit water level operation control throughout the year. It should be noted that the study of lake drought limit water level is different from the study of reservoir and river section, which involves many factors and needs to comprehensively consider the complex problems such as water resources allocation of lakes and reservoirs in the basin. Therefore, considering the uncertainty of lake inflow, how to improve the accuracy of hydrological and meteorological forecasting, the relationship between the long-term drought limit water level and the flood limit water level of natural lakes, and how to better realize the efficient utilization of water resources and water safety in the basin still need to be further studied.

Author Contributions

Conceptualization, Q.G. and S.G.; methodology, Q.G.; software, Q.G.; validation, Q.G. and S.G.; formal analysis, Q.G.; resources, S.G.; data curation, S.G., G.C. and J.C.; writing—original draft preparation, Q.G.; writing—review and editing, L.W.; visualization, Q.G.; supervision, L.W.; project administration, L.W. and S.G.; funding acquisition, L.W. and S.G. All authors have read and agreed to the published version of the manuscript.

Funding

The authors gratefully acknowledge the financial support from the General Program of the National Natural Science Foundation of China (No. 11972144); The National Key Research and Development Program of China (No. 2021YFC300205-06); High-level talents and innovative teams in Yunnan Province (No. 2018HC024).

Institutional Review Board Statement

Not applicable.

Informed Consent Statement

Not applicable.

Data Availability Statement

Some or all of the data generated or used during the study period can be obtained from the corresponding author on request.

Conflicts of Interest

The authors declare no conflict of interest.

References

  1. Mondol, A.H.; Zhu, X.; Dunkerley, D.; Henley, B.J. Technological drought: A new category of water scarcity. J. Environ. Manag. 2022, 321, 115917. [Google Scholar] [CrossRef]
  2. Mirdashtvan, M.; Najafinejad, A.; Malekian, A.; Sa’doddin, A. Sustainable Water Supply and Demand Management in Semi-arid Regions: Optimizing Water Resources Allocation Based on RCPs Scenarios. Water Resour. Manag. 2021, 35, 5307–5324. [Google Scholar] [CrossRef]
  3. Sattari, M.T.; Mirabbasi, R.; Dolati, H.; Sureh, F.S.; Ahmad, S. Investigating the Effect of Managing Scenarios of Flow Reduction and Increasing Irrigation Water Demand on Water Resources Allocation Using System Dynamics (Case Study: Zonouz Dam, Iran). J. Tekirdag Agric. Fac.-Tekirdag Ziraat Fak. Derg. 2020, 17, 406–421. [Google Scholar] [CrossRef]
  4. Nguyen, A.; Cochrane, T.A.; Pahlow, M. Optimising water allocation and land management to mitigate the effects of land use and climate change on reservoir performance. Hydrol. Sci. J. 2022, 67, 2129–2146. [Google Scholar] [CrossRef]
  5. Yuan, M. Study on Staging Limit Drought Water Level and Drought Resistance Dispatching of Reservoir. Master’s Thesis, Xi’an University of Technology, Xi’an, China, 2017. Available online: https://kns.cnki.net/KCMS/detail/detail.aspx?dbname=CMFD201801&filename=1017732008.nh (accessed on 30 June 2017).
  6. Bozorg-Haddad, O.; Mani, M.; Loáiciga, H.A. Discussion of “Reservoir Flood Season Segmentation and Optimal Operation of Flood-Limiting Water Levels” by Haiyan Jiang, Zhongbo Yu, and Chongxun Mo. J. Hydrol. Eng. 2016, 21, 07015023. [Google Scholar] [CrossRef]
  7. Htun, N.T.; Aung, M.M.N. Fuzzy Logic Based Dam Water Shutter Control System by Using Water Level and Rainfall Condition in Raining Season. Int. J. Comput. (IJC) 2021, 41, 1–9. [Google Scholar]
  8. Obringer, R.; Nateghi, R. Predicting Urban Reservoir Levels Using Statistical Learning Techniques. Sci. Rep. 2018, 8, 5164. [Google Scholar] [CrossRef]
  9. Jehanzaib, M.; Shah, S.A.; Son, H.J.; Jang, S.-H.; Kim, T.-W. Predicting Hydrological Drought Alert Levels Using Supervised Machine-Learning Classifiers. KSCE J. Civ. Eng. 2022, 26, 3019–3030. [Google Scholar] [CrossRef]
  10. Wu, J.; Li, F.; Zhao, Y.; Cao, R. Determination of drought limit water level of importing reservoir in inter-basin water transfer project under changing environment. Theor. Appl. Clim. 2018, 137, 1529–1539. [Google Scholar] [CrossRef]
  11. Rossi, G.; Cancelliere, A. Managing drought risk in water supply systems in Europe: A review. Int. J. Water Resour. Dev. 2013, 29, 272–289. [Google Scholar] [CrossRef]
  12. Kim, Y.; Oh, S.; Lee, S.; Byun, J.; An, H. Application of Stage-Fall-Discharge Rating Curves to a Reservoir Based on Acoustic Doppler Velocity Meter Measurement Data. Water 2021, 13, 2443. [Google Scholar] [CrossRef]
  13. Zhang, Y.; Huang, S.; Ren, K.; Jiang, J.; Huang, Q. Optimization of water level of reservoir stage drought limit considering runoff inconsistency. J. Northwest AF Univ. (Nat. Sci. Ed.) 2023, 51, 144–154. [Google Scholar] [CrossRef]
  14. Auffray, M.; Senécal, J.-F.; Turgeon, K.; St-Hilaire, A.; Maheu, A. Reservoirs regulated by small dams have a similar warming effect than lakes on the summer thermal regime of streams. Sci. Total. Environ. 2023, 869, 161445. [Google Scholar] [CrossRef]
  15. Beiranvand, B.; Rajaee, T. Optimization of reservoir operation at Eyvashan dam using the water cycle algorithm with the approach of water resource management in climate changes conditions. Sustain. Water Resour. Manag. 2023, 9, 98. [Google Scholar] [CrossRef]
  16. Yan, Z.; Zhou, Z.; Yan, D.; Wei, R. An algorithm for grading and staged drought-limited water level (flow) of river sections. Adv. Water Sci. 2023, 31, 53–62. [Google Scholar] [CrossRef]
  17. Mohammadi, B.; Guan, Y.; Aghelpour, P.; Emamgholizadeh, S.; Zolá, R.P.; Zhang, D. Simulation of Titicaca Lake Water Level Fluctuations Using Hybrid Machine Learning Technique Integrated with Grey Wolf Optimizer Algorithm. Water 2020, 12, 3015. [Google Scholar] [CrossRef]
  18. Wei, R.; Yan, Z.; Zhou, Z.; Zheng, J.; Yan, D.; Wei, D. Study on the method of determining the graded and staged drought limited water level of reservoir based on the reverse order recursive algorithm. J. China Inst. Water Resour. Hydropower Res. 2022, 20, 343–351. [Google Scholar] [CrossRef]
  19. Li, F.; Yu, D.; Zhao, Y.; Cao, R. Inter-annual change of the drought limit water level of a reservoir based on system dynamics. Water Policy 2018, 21, 91–107. [Google Scholar] [CrossRef]
  20. Malekpour, M.M.; Malekpoor, H. Reservoir water level forecasting using wavelet support vector regression (WSVR) based on teaching learning-based optimization algorithm (TLBO). Soft Comput. 2022, 26, 8897–8909. [Google Scholar] [CrossRef]
  21. Veness, W.A.; Butler, A.P.; Ochoa-Tocachi, B.F.; Moulds, S.; Buytaert, W. Localizing Hydrological Drought Early Warning Using In Situ Groundwater Sensors. Water Resour. Res. 2022, 58, e2022WR032165. [Google Scholar] [CrossRef]
  22. Luo, C.; Ding, W.; Zhang, C.; Yan, D.; Yan, Z.; Zhou, H. Research on the de sign and control of grading and staged drought-limited water level for reservoir. J. Hydraul. Eng. 2022, 53, 348–357. [Google Scholar] [CrossRef]
  23. Nikoo, M.; Zarfam, P.; Sayahpour, H. Determination of compressive strength of concrete using Self Organization Feature Map (SOFM). Eng. Comput. 2013, 31, 113–121. [Google Scholar] [CrossRef]
  24. Mishra, B.S.P.; Pandey, O.; Dehuri, S.; Cho, S.-B. Unsupervised Functional Link Artificial Neural Networks for Cluster Analysis. IEEE Access 2020, 8, 169215–169228. [Google Scholar] [CrossRef]
  25. Lu, J.-F.; Jie, D.-M.; Li, Z.-M.; Leng, X.-T. The types of lake in Songnen Plain and their regional character. Chin. Geogr. Sci. 2000, 10, 366–370. [Google Scholar] [CrossRef]
  26. Chebana, F.; Ouarda, T.B. Multivariate non-stationary hydrological frequency analysis. J. Hydrol. 2021, 593, 125907. [Google Scholar] [CrossRef]
  27. Kochkov, N.V.; Ryanzhin, S.V. A method for assessing lake morphometric characteristics with the use of satellite data. Water Resour. 2016, 43, 15–20. [Google Scholar] [CrossRef]
  28. Xu, Q.; Wu, X.; Qin, H.; Wang, Z. Research on Ecological Water Level of Yangcheng Lake Based on Time Scale. Water Power 2022, 5–9. Available online: https://kns.cnki.net/kcms/detail/11.1845.TV.20220314.0939.002.html (accessed on 13 March 2022).
  29. Petriki, O.; Zervas, D.; Doulgeris, C.; Bobori, D. Assessing the Ecological Water Level: The Case of Four Mediterranean Lakes. Water 2020, 12, 2977. [Google Scholar] [CrossRef]
  30. Doulgeris, C.; Koukouli, P.; Georgiou, P.; Dalampakis, P.; Karpouzos, D. Assessment of Minimum Water Level in Lakes and Reservoirs Based on Their Morphological and Hydrological Features. Hydrology 2020, 7, 83. [Google Scholar] [CrossRef]
  31. Monzón-Verona, J.M.; González-Domínguez, P.; García-Alonso, S. Effective Electrical Properties and Fault Diagnosis of Insulating Oil Using the 2D Cell Method and NSGA-II Genetic Algorithm. Sensors 2023, 23, 1685. [Google Scholar] [CrossRef]
  32. Zhu, S.; Li, Z. Research on Optimal Allocation of Water Resources based on Improved NSGA-II Algorithm in Jinzhong City. China Rural. Water Hydropower 2022, 1–18. Available online: https://kns.cnki.net/kcms/detail/42.1419.TV.20220711.1416.079.html (accessed on 12 July 2022).
  33. Tahroudi, M.N.; Ramezani, Y.; De Michele, C.; Mirabbasi, R. A New Method for Joint Frequency Analysis of Modified Precipitation Anomaly Percentage and Streamflow Drought Index Based on the Conditional Density of Copula Functions. Water Resour. Manag. 2020, 34, 4217–4231. [Google Scholar] [CrossRef]
  34. Ge, Y.; Chu, L.; Zhang, G.; Yu, X.; Zhang, L. The Standards for Clarifying Drought Severity in Northwestern Liaoning Province. J. Irrig. Drain. 2017, 115–120. Available online: https://doi.org/10.13522/j.cnki.ggps.2017.08.019 (accessed on 21 August 2017).
  35. Zhai, A.; Fan, G.; Ding, X.; Huang, G. Regression Tree Ensemble Rainfall–Runoff Forecasting Model and Its Application to Xiangxi River, China. Water 2022, 14, 463. [Google Scholar] [CrossRef]
  36. Tareke, K.A.; Awoke, A.G. Hydrological drought forecasting and monitoring system development using artificial neural network (ANN) in Ethiopia. Heliyon 2023, 9, e13287. [Google Scholar] [CrossRef]
  37. Fathy, A.; Alanazi, T.M.; Rezk, H.; Yousri, D. Optimal energy management of micro-grid using sparrow search algorithm. Energy Rep. 2022, 8, 758–773. [Google Scholar] [CrossRef]
  38. Ab Aziz, M.F.; Mostafa, S.A.; Foozy, C.F.M.; Mohammed, M.A.; Elhoseny, M.; Abualkishik, A.Z. Integrating Elman recurrent neural network with particle swarm optimization algorithms for an improved hybrid training of multidisciplinary datasets. Expert Syst. Appl. 2021, 183, 115441. [Google Scholar] [CrossRef]
  39. Jordehi, A.R. Particle swarm optimisation with opposition learning-based strategy: An efficient optimisation algorithm for day-ahead scheduling and reconfiguration in active distribution systems. Soft Comput. 2020, 24, 18573–18590. [Google Scholar] [CrossRef]
  40. Tubishat, M.; Ja’afar, S.; Idris, N.; Al-Betar, M.A.; Alswaitti, M.; Jarrah, H.; Ismail, M.A.; Omar, M.S. Improved sine cosine algorithm with simulated annealing and singer chaotic map for Hadith classification. Neural Comput. Appl. 2021, 34, 1385–1406. [Google Scholar] [CrossRef]
  41. Rathnayake, U. Migrating Storms and Optimal Control of Urban Sewer Networks. Hydrology 2015, 2, 230–241. [Google Scholar] [CrossRef]
  42. Rathnayake, U.S.; Tanyimboh, T.T. Evolutionary Multi-Objective Optimal Control of Combined Sewer Overflows. Water Resour. Manag. 2015, 29, 2715–2731. [Google Scholar] [CrossRef]
  43. Gu, S.; Chen, G. Evolution of Water Resources System and Ecological Alternative Scheduling in Dianchi Lake Basin; Science Press: Beijing, China, 2020. [Google Scholar]
  44. Fang, H.; Zhu, Y.; Wang, C.; Xu, G.; Li, Y.; Wang, Z.; Aljawzi, A.A. Multiple-criteria determination and preventive measures of river ecological water level in the Northern Jiangsu plain. Watershed Ecol. Environ. 2023, 5, 64–72. [Google Scholar] [CrossRef]
  45. Ning, L.; Wang, X. Research on the Minimal Ecological Water Level of Honghu Wet land. J. Wuhan Univ. Technol. 2007, 67–70. Available online: https://kns.cnki.net/kcms/detail/detail.aspx?FileName=WHGY200703018&DbName=CJFQ2007 (accessed on 25 March 2007).
Figure 1. Lake drought warning grading and staging determination schematic diagram.
Figure 1. Lake drought warning grading and staging determination schematic diagram.
Water 15 02580 g001
Figure 2. The dynamic control process of drought limits water level for medium and long-term hydrological prediction of lake inflow runoff.
Figure 2. The dynamic control process of drought limits water level for medium and long-term hydrological prediction of lake inflow runoff.
Water 15 02580 g002
Figure 3. The administrative division of Dianchi Lake in the basin.
Figure 3. The administrative division of Dianchi Lake in the basin.
Water 15 02580 g003
Figure 4. The distribution of main inflow rivers and stations in Dianchi Lake.
Figure 4. The distribution of main inflow rivers and stations in Dianchi Lake.
Water 15 02580 g004
Figure 5. The fitting curve of the water level and water surface area of Dianchi Lake.
Figure 5. The fitting curve of the water level and water surface area of Dianchi Lake.
Water 15 02580 g005
Figure 6. The lowest water level curve of Dianchi Lake each year.
Figure 6. The lowest water level curve of Dianchi Lake each year.
Water 15 02580 g006
Figure 7. The ecological water level of Dianchi Lake is under P = 75% and P = 95% frequency.
Figure 7. The ecological water level of Dianchi Lake is under P = 75% and P = 95% frequency.
Water 15 02580 g007
Figure 8. Monthly agricultural comprehensive irrigation water quota at the frequency of P = 75% and P = 95%.
Figure 8. Monthly agricultural comprehensive irrigation water quota at the frequency of P = 75% and P = 95%.
Water 15 02580 g008
Figure 9. Weight vector of SOFM-ANN model with different iterations of Dianchi Lake drought limit water level.
Figure 9. Weight vector of SOFM-ANN model with different iterations of Dianchi Lake drought limit water level.
Water 15 02580 g009
Figure 10. Monthly drought limit water level and staged drought limit water level of Dianchi Lake after correction.
Figure 10. Monthly drought limit water level and staged drought limit water level of Dianchi Lake after correction.
Water 15 02580 g010
Figure 11. Comparison of consistency between the monthly drought limit water level and meteorological and hydrological drought.
Figure 11. Comparison of consistency between the monthly drought limit water level and meteorological and hydrological drought.
Water 15 02580 g011
Figure 12. Comparison of consistency between the staged drought limit water level and meteorological and hydrological drought results.
Figure 12. Comparison of consistency between the staged drought limit water level and meteorological and hydrological drought results.
Water 15 02580 g012
Figure 13. Estimated monthly water shortage of Dianchi Lake from 1954 to 2016. (a) Dynamic control of drought warning water level (P = 75%) was not adopted; (b) Dynamic control of drought water level (P = 95%) was not adopted; (c) Adopting dynamic control of drought warning water level (P = 75%); (d) Adopting dynamic control of drought water level (P = 95%).
Figure 13. Estimated monthly water shortage of Dianchi Lake from 1954 to 2016. (a) Dynamic control of drought warning water level (P = 75%) was not adopted; (b) Dynamic control of drought water level (P = 95%) was not adopted; (c) Adopting dynamic control of drought warning water level (P = 75%); (d) Adopting dynamic control of drought water level (P = 95%).
Water 15 02580 g013
Table 1. Lake ecological water level determination method.
Table 1. Lake ecological water level determination method.
NumberMethodMethod DescriptionFormulaRegulation
1Hydrologic frequency analysis methodAccording to the measured sequence data of the lake’s monthly water level, P-III theoretical curve fitting is carried out.The water levels at P = 75% and P = 95% inflow frequencies were selected.The determination of the ecological water level is based on the calculation results of drought warning water level (P = 75%) and drought water level (P = 95%). The maximum outsourcing value is the ecological water level.
2Lake morphology methodEstablish a fitting curve between the lake water level and area, and compare the water level corresponding to the maximum value with the lowest water level. If close, it is the lowest ecological water level. 2 f Z / 2 Z = 0 Z min Z Z min +
3Biological minimum
Space method
The minimum water level required for the survival and reproduction of organisms in lakes Z min = Z ¯ elevation + Z water   level   increase biological   minimum
4Ecological water level methodLong series (≥50 a) water level data are statistically analyzed, and the average water level is obtained by multiplying the ecological water level coefficient. θ = Z W o r s t H F ¯ / 1 n i = 1 n Z i
5Lowest water level methodThe lower limit of ecosystem water level, that is, the average water level of the driest year, is taken as the lowest ecological water level. Z min = λ i = 1 n Z i / n
Table 2. Identification of lake drought degree.
Table 2. Identification of lake drought degree.
Drought TypeIndexDrought Level
No DroughtMild DroughtMedium DroughtHeavy DroughtSerious Drought
Meteorological droughtPercentage of precipitation anomaly ν 1 /%>−4[−12, −4][−20, −13][−28, −21]<−28
Hydrological droughtPercentage of water storage anomaly ν 2 /%>−10[−30, −10][−50, −31][−80, −51]<−80
Table 3. Calculation results of monthly water level of Dianchi Lake at P = 75% and P = 95% frequencies (unit: m).
Table 3. Calculation results of monthly water level of Dianchi Lake at P = 75% and P = 95% frequencies (unit: m).
FrequencyJanuaryFebruaryMarchAprilMayJune
P = 75%1886.561886.491886.361886.201886.021886.03
P = 95%1886.191886.121885.991885.831885.651885.66
FrequencyJulyAugustSeptemberOctoberNovemberDecember
P = 75%1886.171886.431886.591886.661886.671886.63
P = 95%1885.801886.061886.221886.291886.301886.26
Table 4. Monthly water demand of agricultural irrigation water proportion in 2020 (104 m3).
Table 4. Monthly water demand of agricultural irrigation water proportion in 2020 (104 m3).
MonthJanuaryFebruaryMarchAprilMayJune
Distribution
proportion
9.828.239.419.1615.019.08
P = 75%3427.622872.143283.413196.315239.633169.96
P = 95%2926.322452.082803.202728.834473.312706.34
MonthJulyAugustSeptemberOctoberNovemberDecember
Distribution
proportion
6.924.113.138.407.739.00
P = 75%2414.811432.831093.512931.992697.283140.51
P = 95%2061.631223.28933.582503.172302.792681.20
Table 5. Monthly inflow runoff calculation results of Dianchi Lake at a frequency of P = 75% and P = 95% (unit: 104 m3).
Table 5. Monthly inflow runoff calculation results of Dianchi Lake at a frequency of P = 75% and P = 95% (unit: 104 m3).
FrequencyJanuaryFebruaryMarchAprilMayJune
P = 75%2661.492725.552263.681842.713791.757050.88
P = 95%1890.042044.161587.961266.872615.004776.40
FrequencyJulyAugustSeptemberOctoberNovemberDecember
P = 75%9752.7712,196.347390.055719.883353.312735.52
P = 95%6751.928443.625010.213877.892294.371942.62
Table 6. The calculation results of monthly average evapotranspiration in Dianchi Lake at the frequency of P = 75% and P = 95% (unit: 104 m3).
Table 6. The calculation results of monthly average evapotranspiration in Dianchi Lake at the frequency of P = 75% and P = 95% (unit: 104 m3).
FrequencyJanuaryFebruaryMarchAprilMayJune
P = 75%78.16102.16136.45165.81160.85145.22
P = 95%68.7187.40123.25151.85145.12132.86
FrequencyJulyAugustSeptemberOctoberNovemberDecember
P = 75%139.44138.61122.29101.0882.7670.16
P = 95%130.64126.94111.9992.4872.8761.77
Table 7. Monthly staging results of SOFM-ANN model with different iterations of drought-limited water level in Dianchi Lake.
Table 7. Monthly staging results of SOFM-ANN model with different iterations of drought-limited water level in Dianchi Lake.
Iteration Times
5(1 2 3 4 12)(7 8 9)(5 6 10 11)
10(1 2 3 4 5 11 12)(7 8)(6 9 10)
50(1 2 3 4 11 12)(6 7 8 9 10)(5)
100(1 2 3 4 11 12)(6 7 8 9)(5 10)
200(1 2 3 4 11 12)(6 7 8 9)(5 10)
500(1 2 3 4 11 12)(6 7 8 9)(5 10)
1000(1 2 3 4 11 12)(6 7 8 9)(5 10)
5000(1 2 3 4 11 12)(6 7 8 9)(5 10)
Table 8. Comparison results of various staging methods.
Table 8. Comparison results of various staging methods.
Staging MethodNon-Flood SeasonMain Flood SeasonTransition Period
Fuzzy set analysis method1–4, 126–95, 10–11
Genetic analysis methods1–4, 11, 127–8, 105–6, 9
System clustering method1–4, 11, 126–95, 10
Fisher optimal segmentation method1–4, 11, 126–95, 10
SOFM-ANN model method1–4, 11, 126–95, 10
Table 9. Calculation results of monthly drought limited water level of Dianchi Lake (unit: m).
Table 9. Calculation results of monthly drought limited water level of Dianchi Lake (unit: m).
FrequencyJanuaryFebruaryMarchAprilMayJune
Drought warning water level (P = 75%)1886.591886.501886.401886.251886.071886.03
Drought water level (P = 95%)1886.231886.141886.061886.071886.091886.02
FrequencyJulyAugustSeptemberOctoberNovemberDecember
Drought warning water level (P = 75%)1886.171886.431886.591886.661886.671886.65
Drought water level (P = 95%)1886.021886.061886.221886.291886.301886.29
Table 10. Monthly drought limit water level at the optimal solution (unit: m).
Table 10. Monthly drought limit water level at the optimal solution (unit: m).
FrequencyJanuaryFebruaryMarchAprilMayJune
Drought warning water level1886.521886.451886.321886.161885.981885.99
Drought water level1886.091886.021885.891885.731885.551885.56
FrequencyJulyAugustSeptemberOctoberNovemberDecember
Drought warning water level1886.131886.391886.551886.621886.631886.59
Drought water level1885.701885.961886.121886.191886.201886.16
Table 11. Accuracy comparison of prediction models.
Table 11. Accuracy comparison of prediction models.
CSA- ElmanWOA- ElmanSOA- ElmanSSA- ElmanSCSSA- Elman
Training SamplesTesting SamplesTraining SamplesTesting SamplesTraining SamplesTesting SamplesTraining SamplesTesting SamplesTraining SamplesTesting Samples
MAE195.48110.08870.3129.35539.32527.75783.92943.35437.4449.951
RMSE343.03212.566102.27112.82164.53137.961108.60850.34557.98810.534
MAPE0.2590.0840.0950.0840.0520.1380.1060.0470.0340.063
Disclaimer/Publisher’s Note: The statements, opinions and data contained in all publications are solely those of the individual author(s) and contributor(s) and not of MDPI and/or the editor(s). MDPI and/or the editor(s) disclaim responsibility for any injury to people or property resulting from any ideas, methods, instructions or products referred to in the content.

Share and Cite

MDPI and ACS Style

Ge, Q.; Gu, S.; Wang, L.; Chen, G.; Chen, J. Optimal Determination and Dynamic Control Analysis of the Graded and Staged Drought Limit Water Level of Typical Plateau Lakes. Water 2023, 15, 2580. https://doi.org/10.3390/w15142580

AMA Style

Ge Q, Gu S, Wang L, Chen G, Chen J. Optimal Determination and Dynamic Control Analysis of the Graded and Staged Drought Limit Water Level of Typical Plateau Lakes. Water. 2023; 15(14):2580. https://doi.org/10.3390/w15142580

Chicago/Turabian Style

Ge, Qiang, Shixiang Gu, Liying Wang, Gang Chen, and Jinming Chen. 2023. "Optimal Determination and Dynamic Control Analysis of the Graded and Staged Drought Limit Water Level of Typical Plateau Lakes" Water 15, no. 14: 2580. https://doi.org/10.3390/w15142580

APA Style

Ge, Q., Gu, S., Wang, L., Chen, G., & Chen, J. (2023). Optimal Determination and Dynamic Control Analysis of the Graded and Staged Drought Limit Water Level of Typical Plateau Lakes. Water, 15(14), 2580. https://doi.org/10.3390/w15142580

Note that from the first issue of 2016, this journal uses article numbers instead of page numbers. See further details here.

Article Metrics

Back to TopTop