Effect of Autumn Irrigation on Salt Leaching under Subsurface Drainage in an Arid Irrigation District
Abstract
1. Introduction
2. Materials and Methods
2.1. Experimental Region and Site
2.2. Experiment Description
2.3. Measurements
2.4. Data Analysis Methodology
3. Results
3.1. Distribution of Water Content in Soil Profile
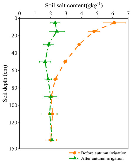
3.2. Distribution of Salt Content in the Soil Profile
3.3. Groundwater Depth Dynamics during the Autumn Irrigation Period
3.4. Water and Salt Balance of the Experimental Area
4. Discussion
4.1. Effect of Different Treatments on Soil Water
4.2. Effect of Different Treatments on Soil Salt
5. Conclusions
- (1)
- Autumn irrigation significantly improved the soil water content and storage, which increased with the amount of water applied. After autumn irrigation, the mean soil water content in the 0–150 cm depth for the SD1, SD2, and SD3 was 0.363, 0.394, and 0.407 cm3cm−3, respectively, which was 15.4%, 6.3%, and 3.0% lower, respectively, than that of the plots without subsurface drainage (CK).
- (2)
- Autumn irrigation combined with subsurface drainage effectively reduced soil profile salinity, with different treatments showing varying leaching effects. The mean desalination rates in the root zone (0–60 cm) for the SD3, SD2, CK, and SD1 were 57.5%, 53.7%, 51.9%, and 45.1%, respectively. Furthermore, the soil salt content distribution under the SD1–SD3 after autumn irrigation showed a trend of gradually increasing with the horizontal distance from the center of the drain pipe.
- (3)
- The groundwater table of the SD plots was stabilized at 1.5 m on the 31st day after irrigation in the SDs, while the groundwater table of the CK plots gradually stabilized at 1.20 m correspondingly.
- (4)
- The ratio of drainage to irrigation was 19.6%, 20.1%, and 19.9% for the SD1, SD2, and SD3, respectively. The salt discharge through the drain pipe increased with increasing irrigation quota and was 1.50 t/ha, 1.41 t/ha, and 1.22 t/ha for the SD3, SD2 and SD1, respectively.
Author Contributions
Funding
Data Availability Statement
Conflicts of Interest
References
- Dehaan, R.L.; Taylor, G.R. Field-derived spectra of salinized soils and vegetation as indicators of irrigation-induced soil salinization. Remote Sens. Environ. 2002, 80, 406–417. [Google Scholar] [CrossRef]
- Masoud, A.A.; Koike, K. Arid land salinization detected by remotely-sensed landcover changes: A case study in the siwa region, nw egypt. J. Arid Environ. 2006, 66, 151–167. [Google Scholar] [CrossRef]
- Sharma, S.B.; Sayyed, R.Z.; Trivedi, M.H.; Gobi, T.A. Phosphate solubilizing microbes: Sustainable approach for managing phosphorus deficiency in agricultural soils. SpringerPlus 2013, 2, 587. [Google Scholar] [CrossRef] [PubMed]
- Wang, Y.B.; Liu, D.; Cao, X.C.; Yang, Z.Y.; Song, J.F.; Chen, D.Y.; Sun, S.K. Agricultural water rights trading and virtual water export compensation coupling model: A case study of an irrigation district in china. Agric. Water Manag. 2017, 180, 99–106. [Google Scholar] [CrossRef]
- Yu, R.; Liu, T.; Xu, Y.; Zhu, C.; Zhang, Q.; Qu, Z.; Liu, X.; Li, C. Analysis of salinization dynamics by remote sensing in hetao irrigation district of north china. Agric. Water Manag. 2010, 97, 1952–1960. [Google Scholar] [CrossRef]
- Chang, X.; Gao, Z.; Wang, S.; Chen, H. Modelling long-term soil salinity dynamics using saltmod in hetao irrigation district, china. Comput. Electron. Agric. 2019, 156, 447–458. [Google Scholar] [CrossRef]
- Munns, R.; Tester, M. Mechanisms of salinity tolerance. Annu. Rev. Plant Biol. 2008, 59, 651. [Google Scholar] [CrossRef] [PubMed]
- Cresswell, R.G.; Mullen, I.C.; Kingham, R.; Kellett, J.; Dent, D.L.; Jones, G.L. Airborne electromagnetics supporting salinity and natural resource management decisions at the field scale in australia. Int. J. Appl. Earth Obs. Geoinf. 2007, 9, 91–102. [Google Scholar] [CrossRef]
- Metternicht, G.I.; Zinck, J.A. Remote sensing of soil salinity: Potentials and constraints. Remote Sens. Environ. 2003, 85, 1–20. [Google Scholar] [CrossRef]
- Dou, X.; Shi, H.; Li, R.; Miao, Q.; Tian, F.; Yu, D.; Zhou, L.; Wang, B. Effects of controlled drainage on the content change and migration of moisture, nutrients, and salts in soil and the yield of oilseed sunflower in the hetao irrigation district. Sustainability 2021, 13, 9835. [Google Scholar] [CrossRef]
- Ren, D.; Wei, B.; Xu, X.; Engel, B.; Li, G.; Huang, Q.; Xiong, Y.; Huang, G. Analyzing spatiotemporal characteristics of soil salinity in arid irrigated agro-ecosystems using integrated approaches. Geoderma 2019, 356, 113935. [Google Scholar] [CrossRef]
- Jana, P.; Pandey, R.; Semeraro, T.; Alatalo, J.M.; Areteno, R.; Todaria, N.P.; Tripathi, R. Community perspectives on conservation of water sources in tarkeshwar sacred groves, Himalaya, India. Water Supply 2021, 21, 4343–4354. [Google Scholar] [CrossRef]
- Xu, X.; Sun, C.; Qu, Z.; Huang, Q.; Ramos, T.B.; Huang, G. Groundwater recharge and capillary rise in irrigated areas of the upper yellow river basin assessed by an agro-hydrological model. Irrig. Drain. 2015, 64, 587–599. [Google Scholar] [CrossRef]
- Xue, J.; Ren, L. Assessing water productivity in the hetao irrigation district in inner mongolia by an agro-hydrological model. Irrig. Sci. 2017, 35, 357–382. [Google Scholar] [CrossRef]
- Zhang, H.; Xiong, Y.; Huang, G.; Xu, X.; Huang, Q. Effects of water stress on processing tomatoes yield, quality and water use efficiency with plastic mulched drip irrigation in sandy soil of the hetao irrigation district. Agric. Water Manag. 2017, 179, 205–214. [Google Scholar] [CrossRef]
- Wang, W.; Wang, W.; Wang, P.; Wang, X.; Wang, L.; Wang, C.; Zhang, C.; Huo, Z. Impact of straw return on soil temperature and water during the freeze-thaw period. Agric. Water Manag. 2023, 282, 108292. [Google Scholar] [CrossRef]
- Li, R.; Shi, H.; Flerchinger, G.N.; Akae, T.; Wang, C. Simulation of freezing and thawing soils in inner mongolia hetao irrigation district, china. Geoderma 2012, 173–174, 28–33. [Google Scholar] [CrossRef]
- Lu, X.; Li, R.; Shi, H.; Liang, J.; Miao, Q.; Fan, L. Successive simulations of soil water-heat-salt transport in one whole year of agriculture after different mulching treatments and autumn irrigation. Geoderma 2019, 344, 99–107. [Google Scholar] [CrossRef]
- Tan, X.; Wu, J.; Wu, M.; Huang, J.; Tan, B.; Li, L. Effects of ice cover on soil water, heat, and solute movement: An experimental study. Geoderma 2021, 403, 115209. [Google Scholar] [CrossRef]
- Tanji, K.K.; Kielen, N.C. Agricultural Drainage Water Management in Arid and Semi-Arid Areas; FAO: Rome, Italy, 2002. [Google Scholar]
- Zhao, C.; Yan, Y.; Yilihamu, Y.; Li, J.; Zhao, Z.; Wu, L. Effects of soil moisture on cotton root length density and yield under drip irrigation with plastic mulch in aksu oasis farmland. J. Arid Land 2010, 2, 243–249. [Google Scholar]
- Hu, S.; Zhao, C.; Zhu, H. Hydrosalinity balance and critical ratio of drainage to irrigation (rdi) for salt balance in weigan river irrigation district of the Tarim Basin (China). Environ. Earth Sci. 2017, 76, 242. [Google Scholar] [CrossRef]
- Bahceci, I.; Nacar, A.S. Subsurface drainage and salt leaching in irrigated land in south-east turkey. Irrig. Drain. J. Int. Comm. Irrig. Drain. 2009, 58, 346–356. [Google Scholar]
- Askri, B.; Khodmi, S.; Bouhlila, R. Impact of subsurface drainage system on waterlogged and saline soils in a saharan palm grove. Catena 2022, 212, 106070. [Google Scholar] [CrossRef]
- Heng, T.; Liao, R.; Wang, Z.; Wu, W.; Li, W.; Zhang, J. Effects of combined drip irrigation and sub-surface pipe drainage on water and salt transport of saline-alkali soil in Xinjiang, China. J. Arid Land 2018, 10, 932–945. [Google Scholar] [CrossRef]
- Zhang, J.; Werner, A.D.; Lu, C. Improving salt leaching efficiency of subsurface drainage systems using low-permeability surface mulch. Adv. Water Resour. 2022, 162, 104147. [Google Scholar] [CrossRef]
- Everts, C.J.; Kanwar, R.S. Estimating preferential flow to a subsurface drain with tracers. Trans. ASAE 1990, 33, 451–457. [Google Scholar] [CrossRef]
- Mao, W.; Zhu, Y.; Wu, J.; Yang, J. Numerical simulation of the suitable autumn irrigation quota in the hetao irrigation district considering the assumption of mobile-immobile water. Trans. Chin. Soc. Agric. Eng. 2022, 38, 58–66. [Google Scholar]
- Heng, T.; He, X.; Yang, L.; Xu, X.; Feng, Y. Mechanism of saline–alkali land improvement using subsurface pipe and vertical well drainage measures and its response to agricultural soil ecosystem. Environ. Pollut. 2022, 293, 118583. [Google Scholar] [CrossRef]
- Shirahatti, M.S.; Dodamani, B.M.; Kuligod, V.B.; Balakrishnan, P.; Barkar, R.D. Impact of subsurface drainage system on reclamation of waterlogged area. Environ. Ecol. 2012, 30, 877–880. [Google Scholar]
- Zhang, J.; Liu, M.; Qian, H.; Zhang, Q.; Wang, Z. Spatial-temporal variation characteristics of water- salt movement in coastal saline soil improved by flooding and subsurface drainage. Trans. Chin. Soc. Agric. Eng. 2018, 34, 98–103. (In Chinese) [Google Scholar]
- Slavich, P.; Petterson, G. Anion exclusion effects on estimates of soil chloride and deep percolation. Soil Res. 1993, 31, 455–463. [Google Scholar] [CrossRef]
- Xu, X.; Huang, G.; Sun, C.; Pereira, L.S.; Ramos, T.B.; Huang, Q.; Hao, Y. Assessing the effects of water table depth on water use, soil salinity and wheat yield: Searching for a target depth for irrigated areas in the upper yellow river basin. Agric. Water Manag. 2013, 125, 46–60. [Google Scholar] [CrossRef]
- Ren, D.; Xu, X.; Hao, Y.; Huang, G. Modeling and assessing field irrigation water use in a canal system of hetao, upper yellow river basin: Application to maize, sunflower and watermelon. J. Hydrol. 2016, 532, 122–139. [Google Scholar] [CrossRef]
- Atekwana, E.A.; Atekwana, E.A.; Rowe, R.S.; Werkema, D.D.; Legall, F.D. The relationship of total dissolved solids measurements to bulk electrical conductivity in an aquifer contaminated with hydrocarbon. J. Appl. Geophys. 2004, 56, 281–294. [Google Scholar] [CrossRef]
- Dou, X.; Shi, H.; Li, R.; Miao, Q.; Yan, J.; Tian, F.; Wang, B. Simulation and evaluation of soil water and salt transport under controlled subsurface drainage using hydrus-2d model. Agric. Water Manag. 2022, 273, 107899. [Google Scholar] [CrossRef]
- Singh, A. Groundwater recharge assessment and long-term simulation for managing the threat of salinization of irrigated lands. J. Hydrol. 2022, 609, 127775. [Google Scholar] [CrossRef]
- Chen, S.; Mao, X.; Shang, S. Response and contribution of shallow groundwater to soil water/salt budget and crop growth in layered soils. Agric. Water Manag. 2022, 266, 107574. [Google Scholar] [CrossRef]
- Haj-Amor, Z.; Bouri, S. Subsurface drainage system performance, soil salinization risk, and shallow groundwater dynamic under irrigation practice in an arid land. Arab. J. Sci. Eng. 2019, 44, 467–477. [Google Scholar] [CrossRef]
- Gelaye, K.K.; Zehetner, F.; Loiskandl, W.; Klik, A. Effects of soil texture and groundwater level on leaching of salt from saline fields in kesem irrigation scheme, ethiopia. Soil Water Res. 2019, 14, 221–228. [Google Scholar] [CrossRef]
- Adeyemo, T.; Kramer, I.; Levy, G.J.; Mau, Y. Salinity and sodicity can cause hysteresis in soil hydraulic conductivity. Geoderma 2022, 413, 115765. [Google Scholar] [CrossRef]
- Vasconcelos, D.S.R.C.; Martins, V.M.; Carlos, T.L.; Samuel, B.; Moreira, S.T.; Rogério, M.C.; Fornalski, S.M.; de Moura, M.M.; Klaus, R. Examining the implications of spatial variability of saturated soil hydraulic conductivity on direct surface runoff hydrographs. Catena 2021, 207, 105693. [Google Scholar]
- Abd-Elaty, I.; Sallam, G.A.H.; Straface, S.; Scozzari, A. Effects of climate change on the design of subsurface drainage systems in coastal aquifers in arid/semi-arid regions: Case study of the nile delta. Sci. Total Environ. 2019, 672, 283–295. [Google Scholar] [CrossRef] [PubMed]
- Ghane, E.; Askar, M.H. Predicting the effect of drain depth on profitability and hydrology of subsurface drainage systems across the eastern USA. Agric. Water Manag. 2021, 258, 107072. [Google Scholar] [CrossRef]
- Feng, G.; Zhang, Z.; Wan, C.; Lu, P.; Bakour, A. Effects of saline water irrigation on soil salinity and yield of summer maize (Zea mays L.) In subsurface drainage system. Agric. Water Manag. 2017, 193, 205–213. [Google Scholar] [CrossRef]
- Liu, S.; Huang, Q.; Zhang, W.; Ren, D.; Xu, X.; Xiong, Y.; Huang, G. An improved estimation of soil water and salt dynamics by considering soil bulk density changes under freeze/thaw conditions in arid areas with shallow groundwater tables. Sci. Total Environ. 2023, 859, 160342. [Google Scholar] [CrossRef]
- Liu, S.; Huang, Q.; Ren, D.; Xu, X.; Huang, G. Soil evaporation and its impact on salt accumulation in different landscapes under freeze–thaw conditions in an arid seasonal frozen region. Vadose Zone J. 2021, 20, e20098. [Google Scholar] [CrossRef]
- Xie, H.; Jiang, X.; Tan, S.; Wan, L.; Wang, X.; Liang, S.; Zeng, Y. Interaction of soil water and groundwater during the freezing–thawing cycle: Field observations and numerical modeling. Hydrol. Earth Syst. Sci. 2021, 25, 4243–4257. [Google Scholar] [CrossRef]
- Xun, Y.; Xiao, X.; Sun, C.; Meng, H.; Gao, Y.; Huang, G.; Xu, X. Modeling heat-water-salt transport, crop growth and water use in arid seasonally frozen regions with an improved coupled spac model. J. Hydrol. 2022, 615, 128703. [Google Scholar] [CrossRef]
- Jouni, H.J.; Liaghat, A.; Hassanoghli, A.; Henk, R. Managing controlled drainage in irrigated farmers’ fields: A case study in the moghan plain, iran. Agric. Water Manag. 2018, 208, 393–405. [Google Scholar] [CrossRef]
- Feng, Z.; Wang, X.; Feng, Z. Soil n and salinity leaching after the autumn irrigation and its impact on groundwater in hetao irrigation district, china. Agric. Water Manag. 2005, 71, 131–143. [Google Scholar] [CrossRef]
- Darzi-Naftchali, A.; Mirlatifi, S.M.; Shahnazari, A.; Ejlali, F.; Mahdian, M.H. Effect of subsurface drainage on water balance and water table in poorly drained paddy fields. Agric. Water Manag. 2013, 130, 61–68. [Google Scholar] [CrossRef]
- Feng, G.; Zhu, C.; Wu, Q.; Wang, C.; Zhang, Z.; Mwiya, R.M.; Zhang, L. Evaluating the impacts of saline water irrigation on soil water-salt and summer maize yield in subsurface drainage condition using coupled hydrus and epic model. Agric. Water Manag. 2021, 258, 107175. [Google Scholar] [CrossRef]
- Xie, T.; Liu, X.; Sun, T. The effects of groundwater table and flood irrigation strategies on soil water and salt dynamics and reed water use in the yellow river delta, china. Ecol. Model. 2011, 222, 241–252. [Google Scholar] [CrossRef]
- Wang, D.; Zhao, C.; Zheng, J.; Zhu, J.; Gui, Z.; Yu, Z. Evolution of soil salinity and the critical ratio of drainage to irrigation (crdi) in the weigan oasis in the tarim basin. Catena 2021, 201, 105210. [Google Scholar] [CrossRef]
- Xia, L.; Liping, W.; Shengwei, Z.; Yiqiang, Z. Evaluation of irrigation and drainage water cation composition and salt leaching requirement in hetao irrigation district. Chin. J. Eco-Agric. 2011, 19, 500–505. [Google Scholar]
- Wen, Y.; Shang, S.; Rahman, K.U.; Xia, Y.; Ren, D. A semi-distributed drainage model for monthly drainage water and salinity simulation in a large irrigation district in arid region. Agric. Water Manag. 2020, 230, 105962. [Google Scholar] [CrossRef]









| Depth (cm) | Soil Particle Size Distribution (%) | Bulk Density (g∙cm−3) | Field Capacity (cm3∙cm−3) | Saturated Hydraulic Conductivity (cm/day) | ||
|---|---|---|---|---|---|---|
| Sand | Silt | Clay | ||||
| 0~10 | 54.55 | 39.83 | 5.62 | 1.51 | 0.31 | 32.7 |
| 10~20 | 57.80 | 36.75 | 5.45 | 1.56 | 0.32 | 20.5 |
| 20~40 | 48.40 | 46.47 | 5.43 | 1.49 | 0.34 | 44.1 |
| 40~60 | 53.64 | 42.14 | 4.22 | 1.51 | 0.30 | 80.9 |
| 60~80 | 56.32 | 39.82 | 3.86 | 1.47 | 0.32 | 85.9 |
| 80~100 | 27.47 | 67.61 | 4.92 | 1.49 | 0.32 | 70.1 |
| 100~120 | 60.1 | 32.9 | 7 | 1.48 | 0.31 | 50.2 |
| 120~150 | 51.6 | 42.9 | 5.5 | 1.50 | 0.33 | 55.6 |
| Treatment | Precipitation (mm) | Irrigation (mm) | Evaporation (mm) | Net Deep Percolation (mm) | Subsurface Drainage (mm) | ΔW (mm) |
|---|---|---|---|---|---|---|
| SD1 | 2 | 160 | 52 ± 2 d | 20 ± 3 d | 31 | 59 ± 1 c |
| SD2 | 2 | 180 | 57 ± 1 c | 26 ± 2 c | 36 | 63 ± 1 b |
| SD3 | 2 | 200 | 61 ± 1 b | 36 ± 3 b | 40 | 65 ± 3 b |
| CK | 2 | 200 | 67 ± 2 a | 65 ± 3 a | 0 | 70 ± 2 a |
| Treatment | Si (t/ha) | Sd (t/ha) | Sl (t/ha) | Ss (t/ha) |
|---|---|---|---|---|
| SD1 | 0.79 | 1.22 | 20.17 ± 0.60 b | 20.6 ± 0.63 c |
| SD2 | 0.89 | 1.41 | 22.55 ± 0.36 a | 23.07 ± 0.49 a |
| SD3 | 0.99 | 1.50 | 22.96 ± 0.37 a | 23.47 ± 0.44 a |
| CK | 0.99 | 0 | 23.19 ± 0.41 a | 22.20 ± 0.39 b |
Disclaimer/Publisher’s Note: The statements, opinions and data contained in all publications are solely those of the individual author(s) and contributor(s) and not of MDPI and/or the editor(s). MDPI and/or the editor(s) disclaim responsibility for any injury to people or property resulting from any ideas, methods, instructions or products referred to in the content. |
© 2023 by the authors. Licensee MDPI, Basel, Switzerland. This article is an open access article distributed under the terms and conditions of the Creative Commons Attribution (CC BY) license (https://creativecommons.org/licenses/by/4.0/).
Share and Cite
Liu, J.; Huang, Q.; Li, Z.; Liu, N.; Li, J.; Huang, G. Effect of Autumn Irrigation on Salt Leaching under Subsurface Drainage in an Arid Irrigation District. Water 2023, 15, 2296. https://doi.org/10.3390/w15122296
Liu J, Huang Q, Li Z, Liu N, Li J, Huang G. Effect of Autumn Irrigation on Salt Leaching under Subsurface Drainage in an Arid Irrigation District. Water. 2023; 15(12):2296. https://doi.org/10.3390/w15122296
Chicago/Turabian StyleLiu, Jiawei, Quanzhong Huang, Ze Li, Na Liu, Jinshuai Li, and Guanhua Huang. 2023. "Effect of Autumn Irrigation on Salt Leaching under Subsurface Drainage in an Arid Irrigation District" Water 15, no. 12: 2296. https://doi.org/10.3390/w15122296
APA StyleLiu, J., Huang, Q., Li, Z., Liu, N., Li, J., & Huang, G. (2023). Effect of Autumn Irrigation on Salt Leaching under Subsurface Drainage in an Arid Irrigation District. Water, 15(12), 2296. https://doi.org/10.3390/w15122296

