Large Laboratory Simulator of Natural Rainfall: From Drizzle to Storms
Abstract
1. Introduction
2. Materials and Methods
2.1. The Rainfall Simulator
2.1.1. Design and Measurement Devices
2.1.2. Rain Module and Water Recirculation System
2.1.3. Redistribution Screen
2.2. Preliminary Tests
2.2.1. Temperature-Independent Variables
2.2.2. Experimental Setup
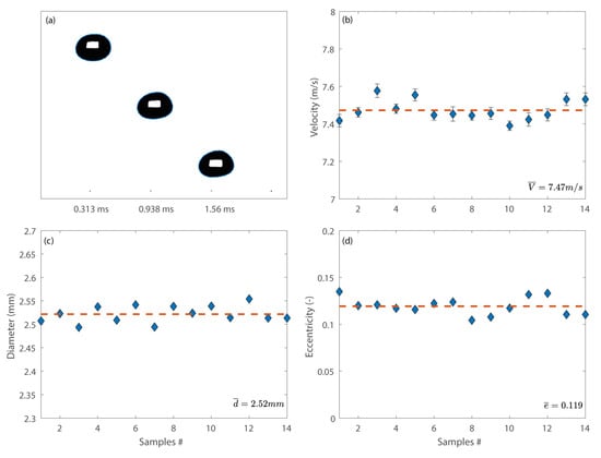
2.2.3. Results
2.3. Calibration Procedure
3. Results
3.1. Properties of Simulated Rain
3.1.1. Rain without a Redistribution Grid
3.1.2. Rain with the Redistribution Screen
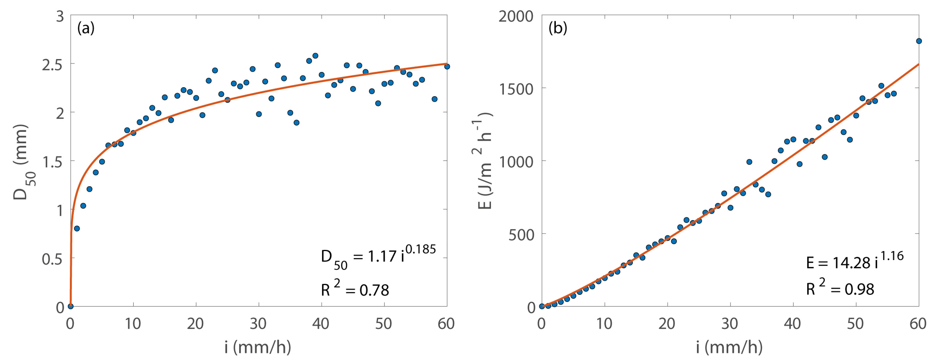
3.2. Natural Rain
3.3. Comparing Natural and Simulated Rain Properties
4. Discussion
5. Conclusions
- A wide range of rain intensities that can be varied in 0.3 mm/h increments;
- Different droplet formers consisting of hypodermic needles (25-gauge) and hypodermic needles coupled with perforated caps can produce 2.4 mm and 4.5 mm diameter droplets while maintaining the same effluent flow rate;
- The high density of droplet formers ensures the high spatial uniformity of simulated rain over the entire intensity range, covering an area of 14 m2;
- Good reproduction of the droplet size distribution of natural rainfall can be achieved by varying the elevation of the redistribution screen depending on the rain intensity;
- The achievement of terminal velocity for all classes of diameter, ensuring the accurate reproduction of rainfall kinetic energy;
- Due to its unique characteristics, this system can be used to investigate soil erosion, runoff and urban washoff phenomena on a large scale in great detail. In addition, the possibility of simulating rain with high temporal homogeneity over long periods creates opportunities for numerous applications in the accelerated study of the chemical and physical effects of rain on the properties of soils, pavements, materials, and surfaces.
Author Contributions
Funding
Data Availability Statement
Acknowledgments
Conflicts of Interest
References
- Bhowmick, T.; Iovieno, M. Direct Numerical Simulation of a Warm Cloud Top Model Interface: Impact of the Transient Mixing on Different Droplet Population. Fluids 2019, 4, 144. [Google Scholar] [CrossRef]
- Götzfried, P.; Kumar, B.; Shaw, R.A.; Schumacher, J. Droplet Dynamics and Fine-Scale Structure in a Shearless Turbulent Mixing Layer with Phase Changes. J. Fluid Mech. 2017, 814, 452–483. [Google Scholar] [CrossRef]
- de Lozar, A.; Mellado, J.P. Cloud Droplets in a Bulk Formulation and Its Application to Buoyancy Reversal Instability. Q. J. R. Meteorol. Soc. 2014, 140, 1493–1504. [Google Scholar] [CrossRef]
- Lassu, T.; Seeger, M.; Peters, P.; Keesstra, S.D. The Wageningen Rainfall Simulator: Set-up and Calibration of an Indoor Nozzle-Type Rainfall Simulator for Soil Erosion Studies. Land Degrad. Dev. 2015, 26, 604–612. [Google Scholar] [CrossRef]
- Nassif, S.H. Hydrological Studies of a Laboratory Catchment Area under Rainfall Simulation. Ph.D. Thesis, University of Salford, Manchester, UK, 1973. [Google Scholar]
- Kim, H.; Ko, T.; Jeong, H.; Ye, S. The Development of a Methodology for Calibrating a Large-Scale Laboratory Rainfall Simulator. Atmosphere 2018, 9, 427. [Google Scholar] [CrossRef]
- Clarke, M.A.; Walsh, R.P.D. A Portable Rainfall Simulator for Field Assessment of Splash and Slopewash in Remote Locations. Earth Surf. Process. Landf. 2007, 32, 2052–2069. [Google Scholar] [CrossRef]
- Nearing, M.A.; Bradford, J.M.; Holtz, R.D. Measurement of Force vs. Time Relations for Waterdrop Impact. Time Relations for Waterdrop Impact. Soil Sci. Soc. Am. J. 1986, 50, 1532–1536. [Google Scholar] [CrossRef]
- Mermut, A.R.; Luk, S.H.; Römkens, M.J.M.; Poesen, J.W.A. Soil Loss by Splash and Wash during Rainfall from Two Loess Soils. Geoderma 1997, 75, 203–214. [Google Scholar] [CrossRef]
- Sharma, P.P.; Gupta, S.C.; Rawls, W.J. Soil Detachment by Single Raindrops of Varying Kinetic Energy. Soil Sci. Soc. Am. J. 1991, 55, 301–307. [Google Scholar] [CrossRef]
- Battany, M.C.; Grismer, M.E. Development of a Portable Field Rainfall Simulator for Use in Hillside Vineyard Runoff and Erosion Studies. Hydrol. Process. 2000, 14, 1119–1129. [Google Scholar] [CrossRef]
- Meyer, L.D.; Harmon, W.C. Multiple-Intensity Rainfall Simulator for Erosion Research on Row Sideslopes. Trans. ASAE 1979, 22, 0100–0103. [Google Scholar] [CrossRef]
- Fernández-Raga, M.; Campo, J.; Rodrigo-Comino, J.; Keesstra, S.D. Comparative Analysis of Splash Erosion Devices for Rainfall Simulation Experiments: A Laboratory Study. Water 2019, 11, 1228. [Google Scholar] [CrossRef]
- Aksoy, H.; Unal, N.E.; Cokgor, S.; Gedikli, A.; Yoon, J.; Koca, K.; Inci, S.B.; Eris, E. A Rainfall Simulator for Laboratory-Scale Assessment of Rainfall-Runoff-Sediment Transport Processes over a Two-Dimensional Flume. CATENA 2012, 98, 63–72. [Google Scholar] [CrossRef]
- Abudi, I.; Carmi, G.; Berliner, P. Rainfall Simulator for Field Runoff Studies. J. Hydrol. 2012, 454–455, 76–81. [Google Scholar] [CrossRef]
- Boulange, J.; Malhat, F.; Jaikaew, P.; Nanko, K.; Watanabe, H. Portable Rainfall Simulator for Plot-Scale Investigation of Rainfall-Runoff, and Transport of Sediment and Pollutants. Int. J. Sediment Res. 2019, 34, 38–47. [Google Scholar] [CrossRef]
- Naves, J.; Anta, J.; Suárez, J.; Puertas, J. Hydraulic, Wash-off and Sediment Transport Experiments in a Full-Scale Urban Drainage Physical Model. Sci. Data 2020, 7, 44. [Google Scholar] [CrossRef] [PubMed]
- Silburn, D.M. Characterising Pesticide Runoff from Soil on Cotton Farms Using a Rainfall Simulator. Ph.D Thesis, University of Sydney, Sydney, NSW, Australia, 2003. [Google Scholar]
- Zhang, X.C.; Norton, D.; Nearing, M.A. Chemical Transfer from Soil Solution to Surface Runoff. Water Resources Research. 1997, 33, 809–815. [Google Scholar] [CrossRef]
- Stašek, J.; Krása, J.; Mistr, M.; Dostál, T.; Devátý, J.; Středa, T.; Mikulka, J. Using a Rainfall Simulator to Define the Effect of Soil Conservation Techniques on Soil Loss and Water Retention. Land 2023, 12, 431. [Google Scholar] [CrossRef]
- Macák, M.; Galambošová, J.; Kumhála, F.; Barát, M.; Kroulík, M.; Šinka, K.; Novák, P.; Rataj, V.; Misiewicz, P.A. Reduction in Water Erosion and Soil Loss on Steep Land Managed by Controlled Traffic Farming. Land 2023, 12, 239. [Google Scholar] [CrossRef]
- Alves, M.A.B.; de Souza, A.P.; de Almeida, F.T.; Hoshide, A.K.; Araújo, H.B.; da Silva, A.F.; de Carvalho, D.F. Effects of Land Use and Cropping on Soil Erosion in Agricultural Frontier Areas in the Cerrado-Amazon Ecotone, Brazil, Using a Rainfall Simulator Experiment. Sustainability 2023, 15, 4954. [Google Scholar] [CrossRef]
- García-Haba, E.; Naves, J.; Hernández-Crespo, C.; Goya-Heredia, A.; Suárez, J.; Anta, J.; Andrés-Doménech, I. Influence of Sediment Characteristics on Long-Term Hydrology and Water Quality Behaviour during the Clogging Process of a Permeable Asphalt. J. Water Process Eng. 2023, 53, 103658. [Google Scholar] [CrossRef]
- Rodríguez, I.; Ortiz, A.; Caldevilla, P.; Giganto, S.; Búrdalo, G.; Fernández-Raga, M. Comparison between the Effects of Normal Rain and Acid Rain on Calcareous Stones under Laboratory Simulation. Hydrology 2023, 10, 79. [Google Scholar] [CrossRef]
- Regmi, T.P.; Thompson, A.L. RAINFALL SIMULATOR FOR LABORATORY STUDIES. Appl. Eng. Agric. 2000, 16, 641–647. [Google Scholar] [CrossRef]
- Kavian, A.; Mohammadi, M.; Cerda, A.; Fallah, M.; Abdollahi, Z. Simulated Raindrop’s Characteristic Measurements. A New Approach of Image Processing Tested under Laboratory Rainfall Simulation. CATENA 2018, 167, 190–197. [Google Scholar] [CrossRef]
- Hignett, C.T.; Gusli, S.; Cass, A.; Besz, W. An Automated Laboratory Rainfall Simulation System with Controlled Rainfall Intensity, Raindrop Energy and Soil Drainage. Soil Technol. 1995, 8, 31–42. [Google Scholar] [CrossRef]
- Rončević, V.; Živanović, N.; van Boxel, J.H.; Iserloh, T.; Štrbac, S. Dripping Rainfall Simulators for Soil Research—Performance Review. Water 2023, 15, 1314. [Google Scholar] [CrossRef]
- Kohl, R.A. Drop Size Distribution from Medium-Sized Agricultural Sprinklers. Trans. ASAE 1974, 17, 690–0693. [Google Scholar] [CrossRef]
- Laws, J.O.; Parsons, D.A. The Relation of Raindrop-Size to Intensity. Trans. Am. Geophys. Union 1943, 24, 452. [Google Scholar] [CrossRef]
- Bryan, R.B.S. Surface Crusts Formed under Simulated Rainfall on Canadian Soils; Report to a conference held in Pisa; CNR: Pisa, Italy, 1973.
- Bowyer-Bower, T.A.S.; Burt, T.P. Rainfall Simulators for Investigating Soil Response to Rainfall. Soil Technol. 1989, 2, 1–16. [Google Scholar] [CrossRef]
- Swanson, N.P.; Dedrick, A.R. Soil Particles and Aggregates Transported in Water Runoff Under Various Slope Conditions Using Simulated Rainfall. Available online: https://elibrary.asabe.org/abstract.asp??JID=3&AID=39645&CID=t1967&v=10&i=2&T=1 (accessed on 17 September 2022).
- Morin, J.; Goldberg, D.; Seginer, I. A Rainfall Simulator with a Rotating Disk. Available online: https://elibrary.asabe.org/abstract.asp??JID=3&AID=39599&CID=t1967&v=10&i=1&T=1 (accessed on 17 September 2022).
- Chevone, B.I.; Yang, Y.S.; Winner, W.E.; Storks-Cotter, I.; Long, S.J. A Rainfall Simulator for Laboratory Use in Acidic Precipitation Studies. J. Air Pollut. Control Assoc. 1984, 34, 355–359. [Google Scholar] [CrossRef]
- Chow, V.T.; Harbaugh, T.E. Raindrop Production for Laboratory Watershed Experimentation. J. Geophys. Res. 1965, 70, 6111–6119. [Google Scholar] [CrossRef]
- Gunn, R.; Kinzer, G.D. The terminal velocity of fall for water droplets in stagnant air. J. Atmos. Sci. 1949, 6, 243–248. [Google Scholar] [CrossRef]
- Tokay, A.; Wolff, D.B.; Petersen, W.A. Evaluation of the New Version of the Laser-Optical Disdrometer, OTT Parsivel2. J. Atmos. Ocean. Technol. 2014, 31, 1276–1288. [Google Scholar] [CrossRef]
- Fernández-Raga, M.; Cabeza-Ortega, M.; González-Castro, V.; Peters, P.; Commelin, M.; Campo, J. The Use of High-Speed Cameras as a Tool for the Characterization of Raindrops in Splash Laboratory Studies. Water 2021, 13, 2851. [Google Scholar] [CrossRef]
- Kathiravelu, G.; Lucke, T.; White, R.; Nichols, P.W. Review on Design Requirements of a Rainfall Simulator for Urban Stormwater Studies. In Proceedings of the 2014 Stormwater Queensland Conference, Townsville, QLD, Australia, 6 August 2014. [Google Scholar]
- Ahuja, L.R. Modeling Soluble Chemical Transfer to Runoff with Rainfall Impact as a Diffusion Process. Soil Sci. Soc. Am. J. 1990, 54, 312–321. [Google Scholar] [CrossRef]
- Beard, K.V.; Bringi, V.N.; Thurai, M. A New Understanding of Raindrop Shape. Atmos. Res. 2010, 97, 396–415. [Google Scholar] [CrossRef]
- Environment and Climate Change Canada. MANOBS—Manual of Surface Weather Observations; Environment and Climate Change Canada: Gatineau, CA, USA, 2013.
- Tokay, A.; D’Adderio, L.P.; Wolff, D.B.; Petersen, W.A. Development and Evaluation of the Raindrop Size Distribution Parameters for the NASA Global Precipitation Measurement Mission Ground Validation Program. J. Atmos. Ocean. Technol. 2020, 37, 115–128. [Google Scholar] [CrossRef]
- Chen, B.; Hu, Z.; Liu, L.; Zhang, G. Raindrop Size Distribution Measurements at 4,500 m on the Tibetan Plateau During TIPEX-III. J. Geophys. Res. Atmos. 2017, 122, 106. [Google Scholar] [CrossRef]
- Friedrich, K.; Kalina, E.A.; Aikins, J.; Steiner, M.; Gochis, D.; Kucera, P.A.; Ikeda, K.; Sun, J. Raindrop Size Distribution and Rain Characteristics during the 2013 Great Colorado Flood. J. Hydrometeorol. 2016, 17, 53–72. [Google Scholar] [CrossRef]
- Christiansen, J.E. Irrigation by Sprinkling; Bulletin n. 670; University of California Agricultural Experiment Station: Berkeley, CA, USA, 1942. [Google Scholar]
- Jaffrain, J.; Berne, A. Experimental Quantification of the Sampling Uncertainty Associated with Measurements from PARSIVEL Disdrometers. J. Hydrometeorol. 2011, 12, 352–370. [Google Scholar] [CrossRef]
- Atlas, D. Optical Extinction by Rainfall. J. Atmos. Sci. 1953, 10, 486–488. [Google Scholar] [CrossRef]
- Nanko, K.; Moskalski, S.M.; Torres, R. Rainfall Erosivity–Intensity Relationships for Normal Rainfall Events and a Tropical Cyclone on the US Southeast Coast. J. Hydrol. 2016, 534, 440–450. [Google Scholar] [CrossRef]
- Best, A.C. The Size Distribution of Raindrops. Q. J. R. Meteorol. Soc. 1950, 76, 16–36. [Google Scholar] [CrossRef]
- Brandt, C.J. The Size Distribution of Throughfall Drops under Vegetation Canopies. CATENA 1989, 16, 507–524. [Google Scholar] [CrossRef]
- Willis, P.T. Functional Fits to Some Observed Drop Size Distributions and Parameterization of Rain. J. Atmos. Sci. 1984, 41, 1648–1661. [Google Scholar] [CrossRef]
- Salles, C.; Poesen, J.; Sempere-Torres, D. Kinetic Energy of Rain and Its Functional Relationship with Intensity. J. Hydrol. 2002, 257, 256–270. [Google Scholar] [CrossRef]
- Smith, J.A.; De Veaux, R.D. The Temporal and Spatial Variability of Rainfall Power. Environmetrics 1992, 3, 29–53. [Google Scholar] [CrossRef]
- Fernández-Raga, M.; Rodríguez, I.; Caldevilla, P.; Búrdalo, G.; Ortiz, A.; Martínez-García, R. Optimization of a Laboratory Rainfall Simulator to Be Representative of Natural Rainfall. Water 2022, 14, 3831. [Google Scholar] [CrossRef]
- Naves, J.; Anta, J.; Suárez, J.; Puertas, J. Development and Calibration of a New Dripper-Based Rainfall Simulator for Large-Scale Sediment Wash-Off Studies. Water 2020, 12, 152. [Google Scholar] [CrossRef]









| h (cm) | dv (mm) | di (mm) | Δ (mm) |
|---|---|---|---|
| 10 | 2.39 | 2.39 | 0 |
| 16 | 2.42 | 2.40 | 0.02 |
| 22 | 2.43 | 2.41 | 0.02 |
| 30 | 2.45 | 2.43 | 0.02 |
| 36 | 2.48 | 2.44 | 0.04 |
| 42 | 2.45 | 2.44 | 0.01 |
| 48 | 2.44 | 2.44 | 0 |
| Head (cm) | Q* (cm5/h2) | dv (mm) | ||
|---|---|---|---|---|
| 25 g | 25 g + cap | 25 g | 25 g + cap | |
| 20 | 1137.7 | 1064.5 | 2.43 | 4.82 |
| 24 | 1326.4 | 1320 | 2.43 | 4.81 |
| 30 | 1572.8 | 1580.1 | 2.45 | 4.79 |
| 42 | 2136.7 | 2080 | 2.45 | 4.82 |
| Classification | Intensity (mm/h) |
|---|---|
| Light | <2.5 |
| Moderate | 2.6–7.5 |
| Heavy | 7.6–50 |
| Torrential | >50 |
| Classification | UC (%) |
|---|---|
| Excellent | >90 |
| Good | 80–90 |
| Fair | 70–80 |
| Poor | 60–70 |
| Unacceptable | <60 |
| Test ID | Grid Distance from the Rain Module (cm) | D50 LR 1 (mm) | D50 MR 2 (mm) | D50 HR 3 (mm) | (J/m2 h−1) | (J/m2 h−1) | (J/m2 h−1) |
|---|---|---|---|---|---|---|---|
| NG 4 | - | 4.05 | 4.00 | 3.13 | 63.9 | 163.2 | 1594.9 |
| D1 | 25 | 1.95 | 2.17 | 1.94 | 40.3 | 109.4 | 538.2 |
| D2 | 50 | 2.13 | 2.16 | 1.86 | 50.2 | 107.5 | 536.3 |
| D3 | 100 | 1.40 | 1.64 | 1.63 | 31.2 | 87.7 | 399.6 |
| D4 | 200 | 1.15 | 1.27 | 1.22 | 24.7 | 71.3 | 271.4 |
| D5 | 300 | 1.08 | 1.11 | 1.10 | 21.0 | 56.7 | 228.8 |
| D6 | 400 | 1.01 | 1.02 | 1.03 | 20.2 | 51.0 | 202.5 |
Disclaimer/Publisher’s Note: The statements, opinions and data contained in all publications are solely those of the individual author(s) and contributor(s) and not of MDPI and/or the editor(s). MDPI and/or the editor(s) disclaim responsibility for any injury to people or property resulting from any ideas, methods, instructions or products referred to in the content. |
© 2023 by the authors. Licensee MDPI, Basel, Switzerland. This article is an open access article distributed under the terms and conditions of the Creative Commons Attribution (CC BY) license (https://creativecommons.org/licenses/by/4.0/).
Share and Cite
Bosio, R.; Cagninei, A.; Poggi, D. Large Laboratory Simulator of Natural Rainfall: From Drizzle to Storms. Water 2023, 15, 2205. https://doi.org/10.3390/w15122205
Bosio R, Cagninei A, Poggi D. Large Laboratory Simulator of Natural Rainfall: From Drizzle to Storms. Water. 2023; 15(12):2205. https://doi.org/10.3390/w15122205
Chicago/Turabian StyleBosio, Roberto, Andrea Cagninei, and Davide Poggi. 2023. "Large Laboratory Simulator of Natural Rainfall: From Drizzle to Storms" Water 15, no. 12: 2205. https://doi.org/10.3390/w15122205
APA StyleBosio, R., Cagninei, A., & Poggi, D. (2023). Large Laboratory Simulator of Natural Rainfall: From Drizzle to Storms. Water, 15(12), 2205. https://doi.org/10.3390/w15122205

