Interpreting Mine Water Sources and Determining Mixing Ratios Based on the Spatial and Chemical Characteristics of Bedrock Brines in a Coastal Mine
Abstract
1. Introduction
2. Study Area
2.1. Geological Background
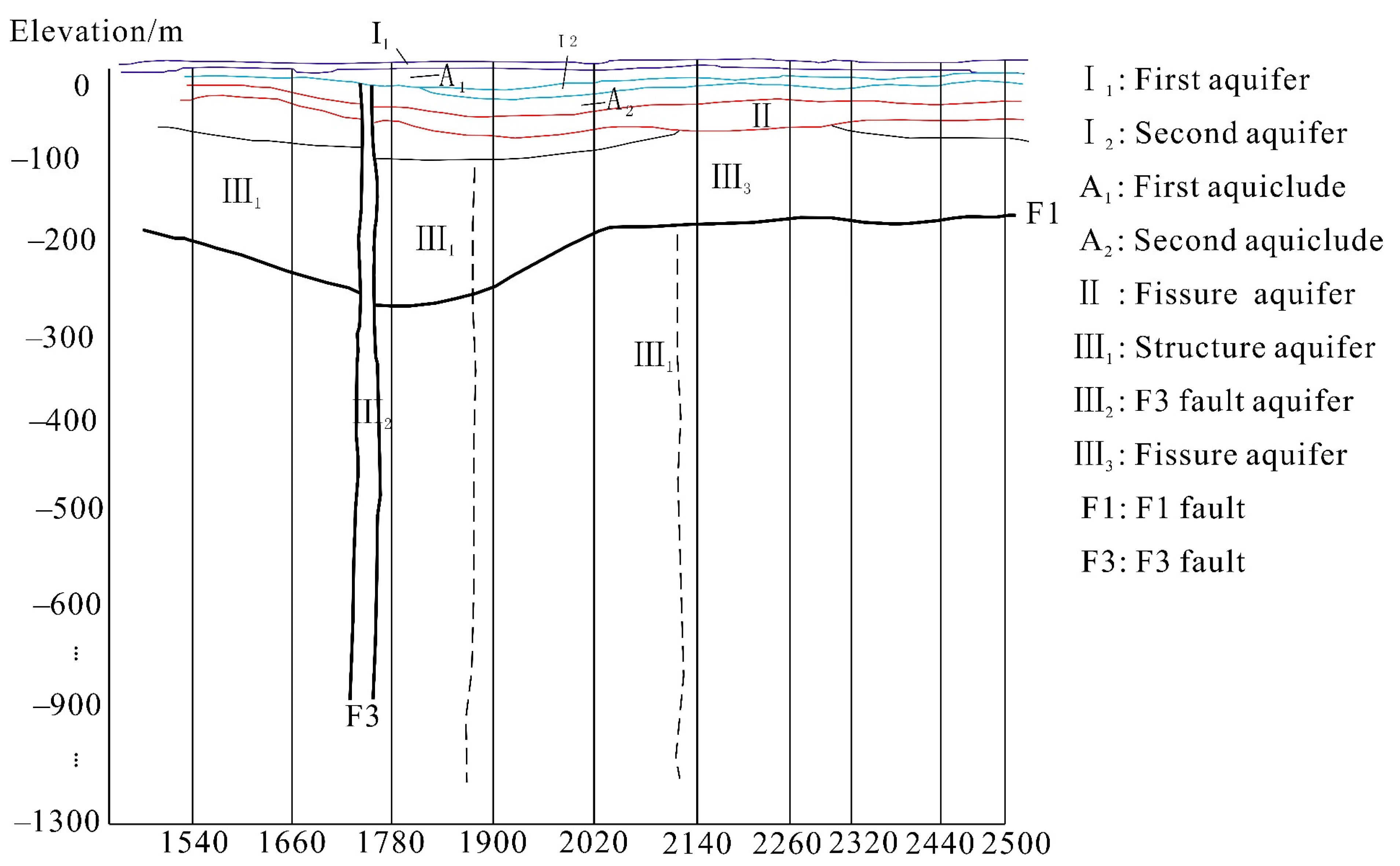
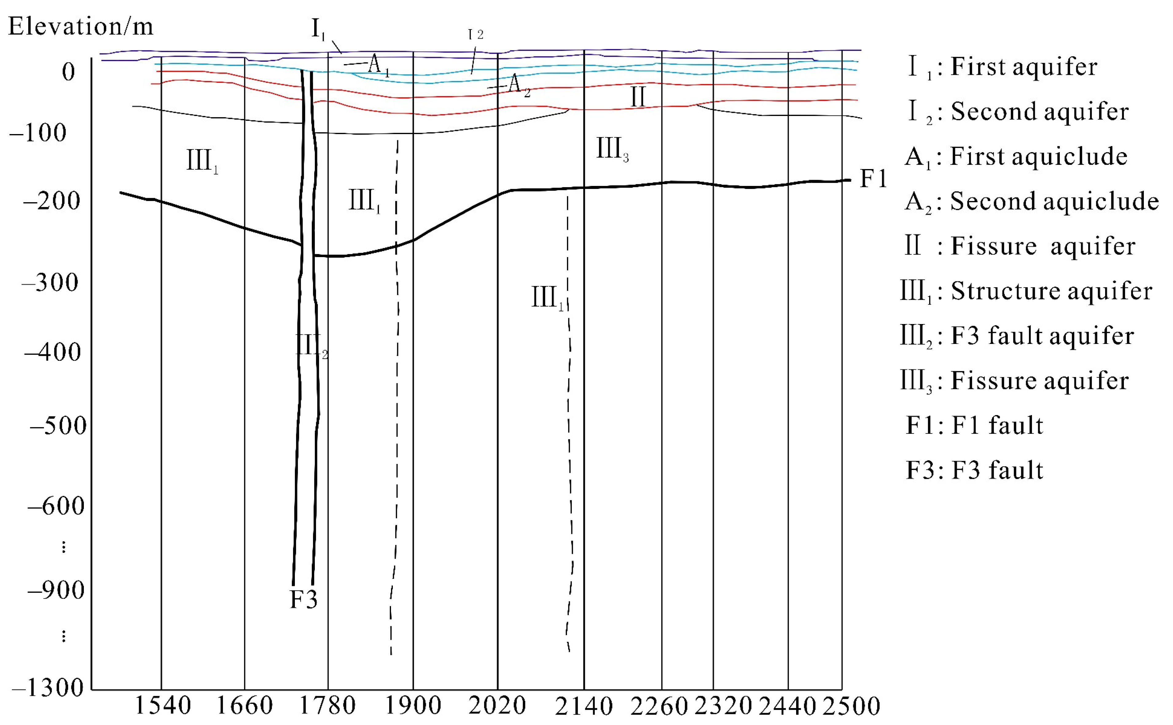
2.2. Hydrologic Conditions
3. Materials and Methods
Sampling and Analysis
4. Results
4.1. Origin of Mine Water
4.2. Hydrochemical Analysis and Principal Component Analysis
4.3. Hierarchical Multi-Index Analysis
4.3.1. The Shallow Sublevel
4.3.2. The Middle Sublevel
4.3.3. The Deep Sublevel
4.4. Analysis on Water–Rock Reaction
4.5. Mixing Ratio Calculation and Deviation Analysis
5. Discussion
6. Conclusions
Author Contributions
Funding
Institutional Review Board Statement
Informed Consent Statement
Data Availability Statement
Acknowledgments
Conflicts of Interest
References
- Dong, S.; Zhang, W.; Zhou, W.; Chai, R.; Wang, H.; Zhao, C.; Dong, X.; Wang, Q. Discussion on some topical issues of water prevention and control in coal mines. Mine Water Environ. 2021, 40, 547–552. [Google Scholar] [CrossRef]
- Li, W.; Liu, Y.; Qiao, W.; Zhao, C.; Yang, D.; Guo, Q. An Improved Vulnerability Assessment Model for Floor Water Bursting from a Confined Aquifer Based on the Water Inrush Coefficient Method. Mine Water Environ. 2017, 37, 196–204. [Google Scholar] [CrossRef]
- Wu, Q.; Guo, X.; Shen, J.; Xu, S.; Liu, S.; Zeng, Y. Risk Assessment of Water Inrush from Aquifers Underlying the Gushuyuan Coal Mine, China. Mine Water Environ. 2016, 36, 96–103. [Google Scholar] [CrossRef]
- Li, X.; Li, D.; Liu, Z.; Zhao, G.; Wang, W. Determination of the minimum thickness of crown pillar for safe exploitation of a subsea gold mine based on numerical modelling. Int. J. Rock Mech. Min. Sci. 2013, 57, 42–56. [Google Scholar] [CrossRef]
- Liu, Z.; Luo, T.; Li, X.; Li, X.; Huai, Z.; Wang, S. Construction of reasonable pillar group for undersea mining in metal mine. Trans. Nonferrous Met. Soc. China 2018, 28, 757–765. [Google Scholar] [CrossRef]
- Li, P. Mine Water Problems and Solutions in China. Mine Water Environ. 2018, 37, 217–221. [Google Scholar] [CrossRef]
- Liu, Z.; Dang, W.; He, X. Undersea safety mining of the large gold deposit in Xinli District of Sanshandao Gold Mine. Int. J. Miner. Metall. Mater. 2012, 19, 574–583. [Google Scholar] [CrossRef]
- Pérez-Quezadas, J.; Cortés-Silva, A.; Morales-Casique, E.; Escolero-Fuentes, O.A.; Medina-Ortega, P. Identifying groundwater end members by spatio-temporal isotopic and hydrogeochemical records. Isot. Environ. Health Stud. 2020, 56, 431–445. [Google Scholar] [CrossRef]
- Huang, Y.; Yan, N.; Zheng, X.; Liu, G. An improved method of recharge sources analysis and its application in an unconfined aquifer. J. Environ. Manag. 2021, 290, 112582. [Google Scholar] [CrossRef]
- Peng, K.; Li, X.; Wang, Z. Hydrochemical characteristics of groundwater movement and evolution in the Xinli deposit of the Sanshandao gold mine using FCM and PCA methods. Environ. Earth Sci. 2014, 73, 7873–7888. [Google Scholar] [CrossRef]
- Clark, I.D.; Raven, K.G. Sources and circulation of water and arsenic in the Giant Mine, Yellowknife, NWT, Canada. Isot. Environ. Health Stud. 2004, 40, 115–128. [Google Scholar] [CrossRef] [PubMed]
- Yao, M.; Liu, P.; Shang, M.; Tao, Y.; Lei, C.; Cao, L. Determining sources of mine water based on hydraulic characteristics analysis of a fault system. Environ. Earth Sci. 2016, 75, 858. [Google Scholar] [CrossRef]
- Rapantová, N.; Krzeszowski, Ś.; Grmela, A.; Wolkersdorfer, C. Quantitative Assessment of Mine Water Sources Based on the General Mixing Equation and Multivariate Statistics. Mine Water Environ. 2012, 31, 252–265. [Google Scholar] [CrossRef]
- Anees, M.; Shah, M.M.; Qureshi, A.A. Isotope Studies and Chemical Investigations of Tattapani hot Springs in Kotli (Kashmir, NE Pakistan): Implications on Reservoir Origin and Temperature. Procedia Earth Planet. Sci. 2015, 13, 291–295. [Google Scholar] [CrossRef]
- Jiang, C.; An, Y.; Zheng, L.; Huang, W. Water Source Discrimination in a Multiaquifer Mine Using a Comprehensive Stepwise Discriminant Method. Mine Water Environ. 2021, 40, 442–455. [Google Scholar] [CrossRef]
- Liu, J.; Zhao, Y.; Tan, T.; Zhang, L.; Zhu, S.; Xu, F. Evolution and modeling of mine water inflow and hazard characteristics in southern coalfields of China: A case of Meitanba mine. Int. J. Min. Sci. Technol. 2022, 32, 513–524. [Google Scholar] [CrossRef]
- Fan, Y.; Chen, Y.; He, Q.; Li, W.; Wang, Y. Isotopic Characterization of River Waters and Water Source Identification in an Inland River, Central Asia. Water 2016, 8, 286. [Google Scholar] [CrossRef]
- Maurya, P.; Kumari, R.; Mukherjee, S. Hydrochemistry in integration with stable isotopes (δ18O and δD) to assess seawater intrusion in coastal aquifers of Kachchh district, Gujarat, India. J. Geochem. Explor. 2019, 196, 42–56. [Google Scholar] [CrossRef]
- Yang, J.; Dong, S.; Wang, H.; Li, G.; Wang, T.; Wang, Q. Mine Water Source Discrimination Based on Hydrogeochemical Characteristics in the Northern Ordos Basin, China. Mine Water Environ. 2021, 40, 433–441. [Google Scholar] [CrossRef]
- Ma, F.; Yang, Y.S.; Yuan, R.; Cai, Z.; Pan, S. Study of shallow groundwater quality evolution under saline intrusion with environmental isotopes and geochemistry. Environ. Geol. 2006, 51, 1009–1017. [Google Scholar] [CrossRef]
- Li, P.; Wu, J.; Qian, H. Preliminary assessment of hydraulic connectivity between river water and shallow groundwater and estimation of their transfer rate during dry season in the Shidi River, China. Environ. Earth Sci. 2016, 75, 99. [Google Scholar] [CrossRef]
- Laaksoharju, M.; Skårman, C.; Skårman, E. Multivariate mixing and mass balance (M3) calculations, a new tool for decoding hydrogeochemical information. Appl. Geochem. 1999, 14, 861–871. [Google Scholar] [CrossRef]
- Duan, X.; Ma, F.; Gu, H.; Guo, J.; Zhao, H.; Liu, G.; Liu, S. Identification of Mine Water Sources Based on the Spatial and Chemical Characteristics of Bedrock Brines: A Case Study of the Xinli Gold Mine. Mine Water Environ. 2021, 41, 126–142. [Google Scholar] [CrossRef]
- Liu, W.; Yu, J.; Shen, J.; Zheng, Q.; Han, M.; Hu, Y.; Meng, X. Application of Clustering and Stepwise Discriminant Analysis Based on Hydrochemical Characteristics in Determining the Source of Mine Water Inrush. Geofluids 2021, 2021, 6670645. [Google Scholar] [CrossRef]
- Gu, H.; Ma, F.; Guo, J.; Li, K.; Lu, R. Assessment of Water Sources and Mixing of Groundwater in a Coastal Mine: The Sanshandao Gold Mine, China. Mine Water Environ. 2017, 37, 351–365. [Google Scholar] [CrossRef]
- Scheiber, L.; Jurado, A.; Pujades, E.; Criollo, R.; Suñé, E.V. Applied multivariate statistical analysis as a tool for assessing groundwater reactions in the Niebla-Posadas aquifer, Spain. Hydrogeol. J. 2023, 31, 521–536. [Google Scholar] [CrossRef]
- Piper, A.M. A graphic procedure in the geochemical interpretation of water-analyses. Trans. Am. Geophys. Union 1944, 25, 914. [Google Scholar] [CrossRef]
- Gammons, C.H.; Brown, A.; Poulson, S.R.; Henderson, T.H. Using stable isotopes (S, O) of sulfate to track local contamination of the Madison karst aquifer, Montana, from abandoned coal mine drainage. Appl. Geochem. 2013, 31, 228–238. [Google Scholar] [CrossRef]
- Bi, H.; Ma, F.; Li, K.; Ding, K. Impact of low temperature geothemal water on mining of Sanshandao Gold mine. Chin. J. Geol. Hazard Control. 2014, 25, 89–93. [Google Scholar]
- Liu, C.; Peng, B.; Qin, J. Geological analysis and numerical modeling of mine discharges for the Sanshandao gold mine in Shandong, China: 1. geological analysis. Mine Water Environ. 2007, 26, 160–165. [Google Scholar] [CrossRef]












| Fault | Trend | Inclination | Dip | Extension Depth/m | Cementation | Hydrological Properties | 
|---|---|---|---|---|---|---|
| F1 | 40° | SE | 45~75° | >1200 | Good cementation | Impermeable | 
| F2 | 70° | NW | 85° | — | — | Hydraulic | 
| F3 | 310° | Upper NE Down SW | 90° | >850 | No cementation | Hydraulic | 
| Mine Water | Sea Water | Fresh Water | Saline Water | Rain Water | |||
|---|---|---|---|---|---|---|---|
| Min | Max | Mean | |||||
| Sample Numbers | 95 | 2 | 2 | 5 | 2 | ||
| δ18O (‰) | −8.22 | −0.48 | −2.48 | −0.20 | −7.96 | −2.32 | −10.09 | 
| δD (‰) | −62.98 | −8.57 | −20.55 | −5.41 | −56.9 | −24.5 | −75.24 | 
| Na+ (mg/L) | 6656 | 20,600 | 10,066 | 8930 | 192 | 10,300 | 15.1 | 
| Ca2+ (mg/L) | 264 | 2379 | 842 | 387 | 132 | 455 | 6.2 | 
| Mg2+ (mg/L) | 353 | 3030 | 1120 | 1125 | 24.8 | 1130 | 2.3 | 
| Cl− (mg/L) | 14,590 | 40,196 | 19,687 | 16,400 | 285 | 18,000 | 10.6 | 
| SO42− (mg/L) | 454 | 4446 | 2504 | 2350 | 217 | 2440 | 9.6 | 
| total dissolved solids (g/L) | 24.4 | 69.7 | 35.8 | 29.7 | 1.1 | 32.8 | 0.1 | 
| δ18O | δ2H | K+ | Na+ | Ca2+ | Mg2+ | Cl− | SO42− | ||
|---|---|---|---|---|---|---|---|---|---|
| Gu et al. [25] | Max | 0.55 | 4.93 | 2.34 | 9.55 | 0.93 | 18.83 | 0.00 | 3.23 | 
| Min | −0.02 | −0.48 | −0.23 | −0.29 | −0.78 | −0.43 | −0.32 | −0.46 | |
| Mean | 0.02 | 0.45 | 0.26 | 0.14 | 0.39 | 0.34 | 0.01 | 0.13 | |
| This study | Max | 0.00 | 0.23 | 1.14 | 0.15 | 1.10 | 3.63 | 0.00 | 0.12 | 
| Min | 0.00 | −0.25 | −0.24 | −0.13 | −0.56 | −0.02 | 0.00 | −0.10 | |
| Mean | 0.00 | 0.03 | 0.12 | 0.00 | 0.31 | 0.19 | 0.00 | 0.02 | 
| δ18O | δ2H | K+ | Na+ | Ca2+ | Mg2+ | Cl− | SO42− | ||
|---|---|---|---|---|---|---|---|---|---|
| Single brine | Mean | 0.00 | −0.02 | 0.22 | −0.09 | 0.26 | 0.14 | 0.00 | 0.70 | 
| Brine evolution | Mean | 0.00 | −0.02 | 0.09 | −0.09 | 0.03 | 0.24 | 0.00 | 0.70 | 
| Disclaimer/Publisher’s Note: The statements, opinions and data contained in all publications are solely those of the individual author(s) and contributor(s) and not of MDPI and/or the editor(s). MDPI and/or the editor(s) disclaim responsibility for any injury to people or property resulting from any ideas, methods, instructions or products referred to in the content. | 
© 2023 by the authors. Licensee MDPI, Basel, Switzerland. This article is an open access article distributed under the terms and conditions of the Creative Commons Attribution (CC BY) license (https://creativecommons.org/licenses/by/4.0/).
Share and Cite
Song, Y.; Guo, J.; Ma, F.; Liu, J.; Li, G. Interpreting Mine Water Sources and Determining Mixing Ratios Based on the Spatial and Chemical Characteristics of Bedrock Brines in a Coastal Mine. Water 2023, 15, 2105. https://doi.org/10.3390/w15112105
Song Y, Guo J, Ma F, Liu J, Li G. Interpreting Mine Water Sources and Determining Mixing Ratios Based on the Spatial and Chemical Characteristics of Bedrock Brines in a Coastal Mine. Water. 2023; 15(11):2105. https://doi.org/10.3390/w15112105
Chicago/Turabian StyleSong, Yewei, Jie Guo, Fengshan Ma, Jia Liu, and Guang Li. 2023. "Interpreting Mine Water Sources and Determining Mixing Ratios Based on the Spatial and Chemical Characteristics of Bedrock Brines in a Coastal Mine" Water 15, no. 11: 2105. https://doi.org/10.3390/w15112105
APA StyleSong, Y., Guo, J., Ma, F., Liu, J., & Li, G. (2023). Interpreting Mine Water Sources and Determining Mixing Ratios Based on the Spatial and Chemical Characteristics of Bedrock Brines in a Coastal Mine. Water, 15(11), 2105. https://doi.org/10.3390/w15112105
 
        

 
       