Study on the Release Law of Phenol during Water-Oil Shale Interaction Process
Abstract
1. Introduction
2. Materials and Methods
2.1. Oil Shale Samples
2.2. Experiment of Water-Rock Interaction
2.3. Detection Methods
2.3.1. Phenol Detection Method
2.3.2. TOC Detection Method
2.3.3. TPH Detection Method
2.3.4. Microscopic Characterization Method of Pore Structure in Oil Shale
3. Results and Discussion
3.1. XRD Analysis
3.2. Phenol Content
3.3. TOC Content
3.4. TPH Content
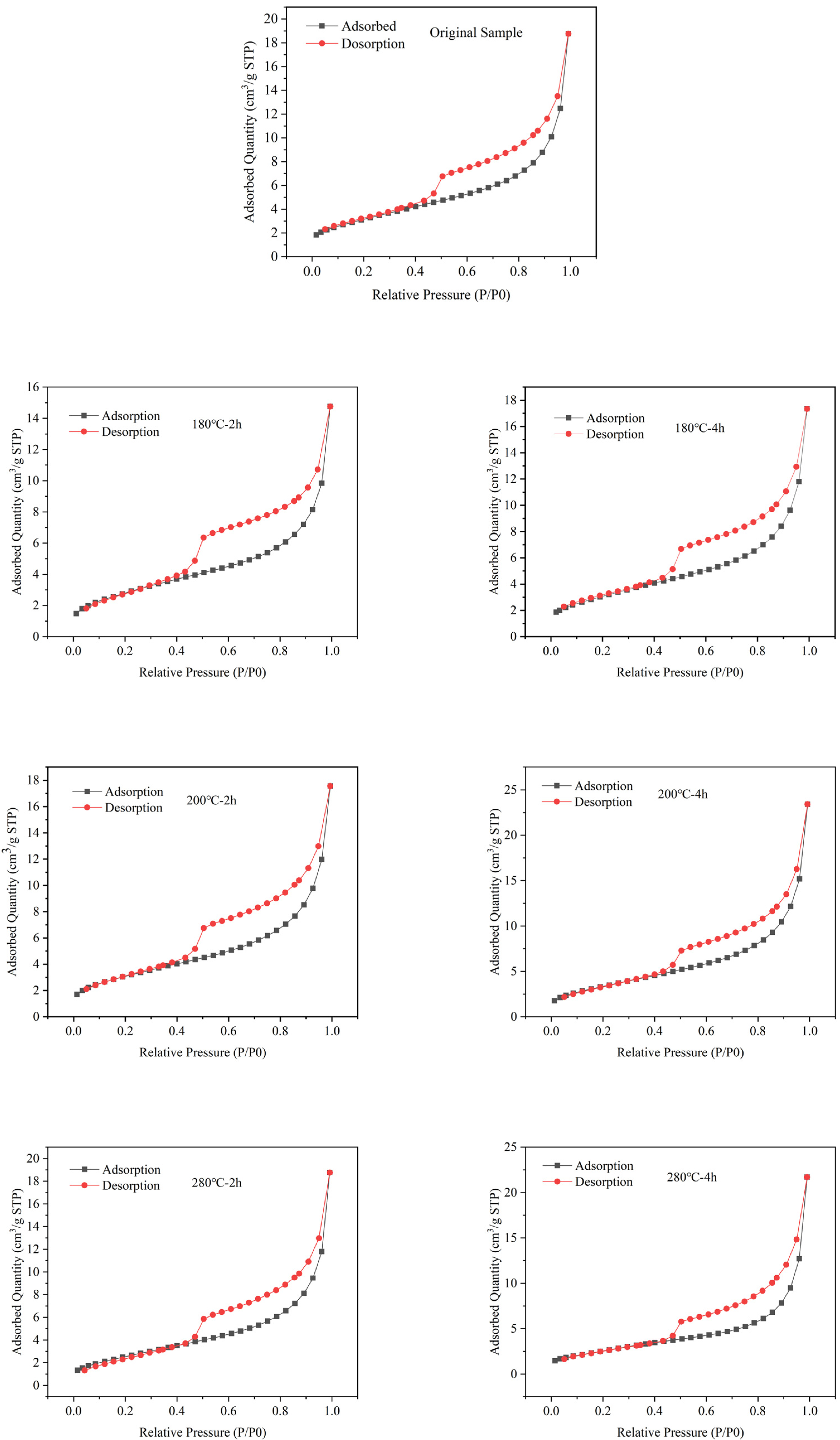
3.5. Characteristics of Pore Structure in Oil Shale
4. Conclusions
Author Contributions
Funding
Data Availability Statement
Acknowledgments
Conflicts of Interest
References
- Kang, Z.Q.; Zhao, Y.S.; Yang, D. Review of oil shale in-situ conversion technology. Appl. Energy 2020, 269, 115–121. [Google Scholar] [CrossRef]
- Brandt, A.R. Converting oil shale to liquid fuels: Energy inputs and greenhouse gas emissions of the Shell in situ conversion process. EST 2008, 42, 7489–7495. [Google Scholar] [CrossRef] [PubMed]
- Wang, X.M.; Wang, Q.; Pan, S.; Gui, D.; Wu, C.L.; Chang, H.Y. The non-isothermal thermal decomposition evolution of the Fushun oil shale kerogen based on ReaxFF molecular dynamics simulation. J. Anal. Appl. Prol. 2023, 169, 105869. [Google Scholar] [CrossRef]
- Li, Q.Y.; Lu, L.J.; Zhao, Q.S.; Hu, S.Y. Im-pact of Inorganic Solutes Release in Groundwater During Thermal Oil Shale In-Situ Exploitation. Water 2023, 15, 172. [Google Scholar] [CrossRef]
- Liu, Z.J.; Liu, R. Analysis of China’s oil shale characteristics and development and utilization prospects. Front. Earth Sci. 2005, 3, 315–323. [Google Scholar]
- Qian, J.L.; Wang, J.Q.; Li, S.Y. World oil shale resource utilization and development trend. J. Jilin Univ. (Earth Sci. Ed.) 2006, 6, 877–887. [Google Scholar]
- Guan, X.; Li, D.D.; Han, D.Y.; Zhu, T.; Cao, C.X.; Fen, C.C.; Zhang, G.R.; Cao, Z.B. Progress in the development and utilization of foreign oil shale resources. Contemp. Chem. Ind. 2015, 44, 80–82. [Google Scholar]
- Karabakan, A.; Yuda, Y. Effect of the mineral matrix in the reactions of oi shales:1.Pyrolysis reactions of Turkish Göynük and US Green River oil shales. Fuel 1998, 77, 1062–1080. [Google Scholar] [CrossRef]
- Amine, I.M.; Yuan, C.D.; Ameen, A.M.; Onishchenko, Y.V.; Emelianov, D.A.; Varfolomeev, M.A. Behavior and kinetics of the conversion/combustion of oil shale and its components under air condition. Fuel 2022, 324, 124597. [Google Scholar] [CrossRef]
- Liu, Z.J.; Meng, Q.T.; Jia, J.L. Key methods and techniques in the study of mineralization in oil shale. Front. Earth Sci. 2019, 21, 127–142. [Google Scholar]
- Liu, Z.J.; Meng, Q.T.; Liu, R. Characteristics and genesis types of continental oil shale in China. J. Palaeogeog. 2009, 11, 105–114. [Google Scholar]
- Tayel, E.H.; Wojciech, S.; Günter, B.; Martin, R.; Heinrich, R.; Michael, K. Cr(VI)/Cr(III) and As(V)/As(III) ratio assessments in Jordanian spent oil shale produced by aerobic combustion and Anaerobic Pyrolysis. EST 2011, 45, 295–308. [Google Scholar] [CrossRef]
- Yang, Y.Y.; Xue, Z.C.; Guo, W.; Li, H.Y. Recycling of oil shale slag in civil engineering. J. Guangdong Inst. Petrochem. Technol. 2021, 31, 5–55. [Google Scholar]
- Li, N.Y.; Wang, Y.; Chen, F.; Chen, W.B.; Kang, J. Development status and prospect of in situ conversion technology of oil shale. Spec. Oil Gas Reserv. 2022, 29, 1–8. [Google Scholar]
- Wu, M.J.; Zhang, J.P.; Li, Z.C.; Tang, S.H.; Xie, H.; Lv, J.W. The target area of oil shale mine surface dry distillation is preferred. Xinjiang Pet. Geol. 2011, 32, 616–620. [Google Scholar]
- Tarik, S.; Lin, Q.Y.; Baranko, B.; Martin, J.B. Microstructural imaging and characterization of oil shale before and after pyrolysis. Fuel 2017, 197, 562–574. [Google Scholar] [CrossRef]
- Hu, S.Y.; Xiao, C.L.; Liang, X.J.; Cao, Y.Q.; Wang, X.R. The influence of oil shale in situ mining on groundwater environment: A water-rock interaction study. Chemosphere 2019, 228, 384–389. [Google Scholar] [CrossRef]
- Hu, S.Y.; Xiao, C.L.; Jiang, X.; Liang, X.J. Potential Impact of In-Situ Oil Shale Exploitation on Aquifer System. Water 2018, 10, 649. [Google Scholar] [CrossRef]
- Sun, Y.H.; Liu, Z.; Li, Q.; Deng, S.H.; Guo, W. Controlling groundwater infiltration by gas flooding for oil shale in situ pyrolysis exploitation. J. Pet. Sci. Eng. 2019, 179, 55–69. [Google Scholar] [CrossRef]
- Zhao, Y.S.; Cao, Y.Q. Organic contamination of groundwater. Geotech. Investig. Surv. 1995, 1, 28–31+42. [Google Scholar]
- Li, R.L.; He, S.L.; Wan, H.Y.; Liu, B.Y.; Ji, D.L.; Song, Y.; Liu, B.; Yu, J.Q.; Xu, Y.J. Exploration of the effects of in-situ pyrolysis on the physical properties of oil shale and groundwater quality. Chem. Prog. 2023, 5, 4–25. [Google Scholar]
- Routson, R.C.; Wildung, R.E.; Bean, R.M. A Review of the Environmental Impact of Ground Disposal of Oil Shale Wastes. J. Environ. Qual. 1979, 8, 14–19. [Google Scholar] [CrossRef]
- Jiang, H.Y.; Liu, S.; Wang, J.; You, Y.; Yuan, S.B. Study on evolution mechanism of the pyrolysis of chang 7 oil shale from Ordos basin in China. Energy 2023, 272, 127097. [Google Scholar] [CrossRef]
- Yang, B.; Xu, T.F.; Li, F.Y.; Tian, H.L.; Yang, L.L. Numerical simulation of the effect of water-rock action on reservoir permeability: A case study of the Upper Paleozoic sandstone reservoir in the northeast of The Ordos Basin. J. Jilin Univ. (Earth Sci. Ed.) 2019, 49, 526–538. [Google Scholar]
- Amy, G.L. Contamination of groundwater by organic pollutants leached from in-situ spent shale. OSTI 1978, 3, 113–130. [Google Scholar] [CrossRef]
- Bern, C.R.; Birdwell, J.E.; Jubb, A.M. Water-rock interaction and the concentrations of major, trace, and rare earth elements in hydrocarbon-associated produced waters of the United States. Environ. Sci.-Proc. Imp. 2021, 23, 1039–1048. [Google Scholar] [CrossRef]
- Qiu, S.W.; Zhang, D.W.; Wang, Z.C. Experimental study on the environmental impact of oil shale pyrolysis of oil and gas on groundwater: A case study of oil shale in Fushun area. J. Hebei GEO Univ. 2020, 43, 1–5. [Google Scholar]
- He, L.; Wang, L.; Ma, Y.; Li, S.Y. Trace element migration and its action during pyrolysis of oil shale. J. Chem. Ind. Eng. 2017, 68, 3912–3922. [Google Scholar]
- Hu, S.Y.; Xiao, C.L.; Liang, X.J.; Cao, Y.Q. Influence of water-rock interaction on the pH and heavy metals content of groundwater during in-situ oil shale exploitation. Oil Shale 2020, 37, 104–119. [Google Scholar] [CrossRef]
- Hu, S.Y.; Wu, H.; Liang, X.J.; Xiao, C.L.; Zhao, Q.S.; Cao, Y.Q.; Han, X.R. A preliminary study on the eco-environmental geological issue of in-situ oil shale mining by a physical model. Chemosphere 2022, 287, 131987. [Google Scholar] [CrossRef]
- Zhou, S.Q.; Zhang, H.; Dan, D.Z. Research progress on the determination method of total organic carbon in water. Sichuan Environ. 2006, 2, 111–115. [Google Scholar]
- Jiang, X. Study on the Impact of In Situ Exploitation of Oil Shale on Groundwater Environment. Doctoral Thesis, Jilin University, Changchun, China, 2014. [Google Scholar]
- Mei, Q. Advanced Oxidative Degradation Mechanism and Toxicity Prediction of Typical Phenolic Pollutants in Water Bodies. Doctoral Thesis, Shandong University, Jinan, China, 2021. [Google Scholar]
- Gao, P. Study on the Spatio-Temporal Distribution and Migration and Transformation Process of Phenolic Pollutants in the Songhua River Water Body. Doctoral Thesis, Harbin Institute of Technology, Harbin, China, 2011. [Google Scholar]
- Zhao, H.; Ai, S.Y.; Ding, K.Y.; Hao, Y.; Sun, J.; Li, J.J. Research progress on the hazards of phenolic pollutants and their detection technologies. J. Ins. Qua. 2015, 25, 66–68. [Google Scholar]
- Luo, Y. Characteristics of Vertical Migration of Petroleum in Yellow Soil and Study of Ecotoxicity. Master’s Thesis, Xi’an University of Architecture and Technology, Xi’an, China, 2021. [Google Scholar]
- Luo, Q.S.; Zhang, X.H.; Wang, H.; Qian, Y. Migration and mechanism of soil phenolic pollutants under electrodynamic action. China. Environ. Sci. 2004, 2, 7–11. [Google Scholar]
- Wang, Y.; Niu, J.H.; Wang, Z.G. Status quo and distribution characteristics of oil shale resources in Jilin Province. Jilin Geol. 2015, 34, 70–74. [Google Scholar]
- Jinag, F.P.; Zhong, C.L.; Liu, D.W.; Liu, H.T.; Liang, Y.M.; Yin, S.Q.; Wen, Z.L. Genesis types and mineralization rules of oil-saving shale deposits in Jilin. Geol. World 2022, 39, 626–638. [Google Scholar]
- Sun, P.C.; Sachsenhofer, R.F.; Liu, Z.; Strobl, S.A.; Meng, Q.T.; Liu, R.; Zhen, Z. Organic matter accumulation in the oil shale-and coal-bearing Huadian Basin (Eocene; NE China). Int. J. 2013, 105, 1–15. [Google Scholar] [CrossRef]
- Barauch, B.; Tiwari, P. Soaking and hydrous pyrolysis of Indian oil shale: Identification of produced hydrocarbons and moieties. Fuel 2022, 322, 124255. [Google Scholar] [CrossRef]
- Qiu, S.Y. Experimental Study on the Effect of In-Situ Exploitation of Oil Shale on the Chemical Characteristics of Groundwater. Doctoral Thesis, Jilin University, Changchun, China, 2016. [Google Scholar]
- Liu, K.Q.; Ostadhassan, M.; Zhou, J.; Gentzis, T.; Rezaee, R. Nanoscale pore structure characterization of the Bakken shale in the USA. Fuel 2017, 209, 34–51. [Google Scholar] [CrossRef]
- Chen, J.; Xiao, X.M. Evolution of nanoporosity in organic-rich shales during thermal maturation. Fuel 2014, 129, 58–71. [Google Scholar] [CrossRef]
- Kaduk, J.A. Use of the inorganic crystal structure database as a problem solving tool. Acta Crystallogr. B 2002, 58, 370–379. [Google Scholar] [CrossRef]
- Huang, W.; Zhang, R.H.; Hu, S.M. The reaction chemical kinetics of the Luohe iron ore water rock in the Lufeng Basin of Anhui Province are solid. Geol. Bull. China 2010, 29, 1579–1585. [Google Scholar]
- Li, Y.; Liu, Q.Y.; Zhao, X.S.; Tang, R.Y.; Lu, Z.H.; Shi, L. Effects of chromium chloride removal of pyrite on the organic matter structure of Birch oil shale. J. Fue. Chem. Technol. 2019, 47, 144–152. [Google Scholar]
- Liu, X.N.; Li, H.M.; Li, M.D.; Zhang, W.H.; Xiao, H. Study on the characteristics of groundwater petroleum hydrocarbon pollution and its biodegradation mechanism at gas stations in Tianjin Plain. E. Sci. Front. 2022, 29, 227–238. [Google Scholar]
- Liu, Z.; Yang, D.; Hu, Y.; Shao, J. Low temperature nitrogen adsorption analysis of pore structure evolution in in-situ pyrolysis of oil shale. J. Xi’an Univ. Sci. Technol. 2018, 38, 738–741. [Google Scholar]
- Arash, R.; Todor, G.B.; Shahab, A.; Andrey, P.J. Evolution of Pore-Scale Morphology of Oil Shale During Pyrolysis: A Quantitative Analysis. Transp. Porous Med. 2017, 119, 17–27. [Google Scholar] [CrossRef]
- Bai, F.T.; Sun, Y.H.; Liu, Y.M.; Guo, M.Y. Evaluation of the porous structure of Huadian oil shale during pyrolysis using multiple approaches. Fuel 2017, 187, 1016–1028. [Google Scholar] [CrossRef]
- Zhao, J.; Feng, Z.Z.; Yang, D.; Kang, Z.Q. Characteristic analysis of pyrolysis and internal structure change of oil shale based on 3D CT image. J. Rock Mech. Geotech. Eng. 2014, 33, 112–117. [Google Scholar]
- Kang, Z.Q.; Zhao, Y.S.; Meng, Q.R.; Yag, D.; Xi, B.P. Experimental study of micro-CT of thermal rupture law in oil shale. Chin. J Geophys. 2009, 52, 842–848. [Google Scholar]







| Number | Reaction Temperature (°C) | Time (h) | BET Surface Area (m2/g) | BJH Total Pore Volume (cm3/g) | Average Pore Size (nm) | Adsorption (cm3/g) | Hole Pattern |
|---|---|---|---|---|---|---|---|
| O-0 | - | - | 11.700 | 0.029 | 8.200 | 18.763 | H3 |
| R180-2 | 180 | 2 | 10.388 | 0.018 | 6.840 | 14.761 | H3 |
| R180-4 | 180 | 4 | 11.374 | 0.021 | 7.933 | 17.346 | H3 |
| R200-2 | 200 | 2 | 11.293 | 0.021 | 7.659 | 17.570 | H3 |
| R200-4 | 200 | 4 | 12.585 | 0.026 | 8.880 | 23.413 | H3 |
| R280-2 | 280 | 2 | 9.774 | 0.021 | 8.613 | 18.757 | H3 |
| R280-4 | 280 | 4 | 9.684 | 0.024 | 10.224 | 21.704 | H3 |
Disclaimer/Publisher’s Note: The statements, opinions and data contained in all publications are solely those of the individual author(s) and contributor(s) and not of MDPI and/or the editor(s). MDPI and/or the editor(s) disclaim responsibility for any injury to people or property resulting from any ideas, methods, instructions or products referred to in the content. |
© 2023 by the authors. Licensee MDPI, Basel, Switzerland. This article is an open access article distributed under the terms and conditions of the Creative Commons Attribution (CC BY) license (https://creativecommons.org/licenses/by/4.0/).
Share and Cite
Sun, Z.; Li, Q.; Zhao, Q.; Hu, S. Study on the Release Law of Phenol during Water-Oil Shale Interaction Process. Water 2023, 15, 2017. https://doi.org/10.3390/w15112017
Sun Z, Li Q, Zhao Q, Hu S. Study on the Release Law of Phenol during Water-Oil Shale Interaction Process. Water. 2023; 15(11):2017. https://doi.org/10.3390/w15112017
Chicago/Turabian StyleSun, Zhaoxia, Qingyu Li, Quansheng Zhao, and Shuya Hu. 2023. "Study on the Release Law of Phenol during Water-Oil Shale Interaction Process" Water 15, no. 11: 2017. https://doi.org/10.3390/w15112017
APA StyleSun, Z., Li, Q., Zhao, Q., & Hu, S. (2023). Study on the Release Law of Phenol during Water-Oil Shale Interaction Process. Water, 15(11), 2017. https://doi.org/10.3390/w15112017
