Spatiotemporal Evolution and Drivers of Chinese Industrial Virtual Water in International Trade
Abstract
1. Introduction
2. Materials and Methods
2.1. MRIO Model
2.2. Decomposition of VW in the Industrial Sector
2.3. SDA Model
2.4. Data Sources
3. Results and Discussion
3.1. Analysis of Industrial Water Use in China
3.2. The Component Analysis of Production-Side VW Flow
3.3. Evolution of China’s Industrial VW Trade
3.3.1. Overall VW Trade Volume Changes
3.3.2. Industrial Sector VW Trade Volume Changes
3.3.3. Changes in VW Trade Volume among Economies
3.4. Analysis of Factors Influencing the Change in VW Export
4. Conclusions
- First, China is a net exporter of industrial VW trade. VW exports from the Chinese industry exhibited an initially rising and then declining trend during the study period, peaking in 2006. Additionally, the proportion of EIW (export-induced intermediate-production water) in VW export is much higher than EFW (domestically induced final-product water). The former is the main reason for determining the change in total VW export.
- Second, the sectors with high VW exports from China mainly manufacture textiles and apparel, paper products, and chemical products. These industries are characterized by high water consumption, high pollution, and low added value. This trade structure is not conducive to water conservation in China’s industrial sector, and the industrial structure should be gradually adjusted to save water resources. In particular, mining and quarrying is the only sector with a clear net import trend that brings positive environmental effects to China in international trade.
- Third, in terms of VW trade, the total amount of VW trade between China and ROW is the largest. China mainly exports industrial VW to the US, the EU, ROW, and Japan on a net basis. VW exports to the US and Japan are declining, but exports to the EU and Russia are increasing. Mainland China imports VW mainly from South Korea and Taiwan, China.
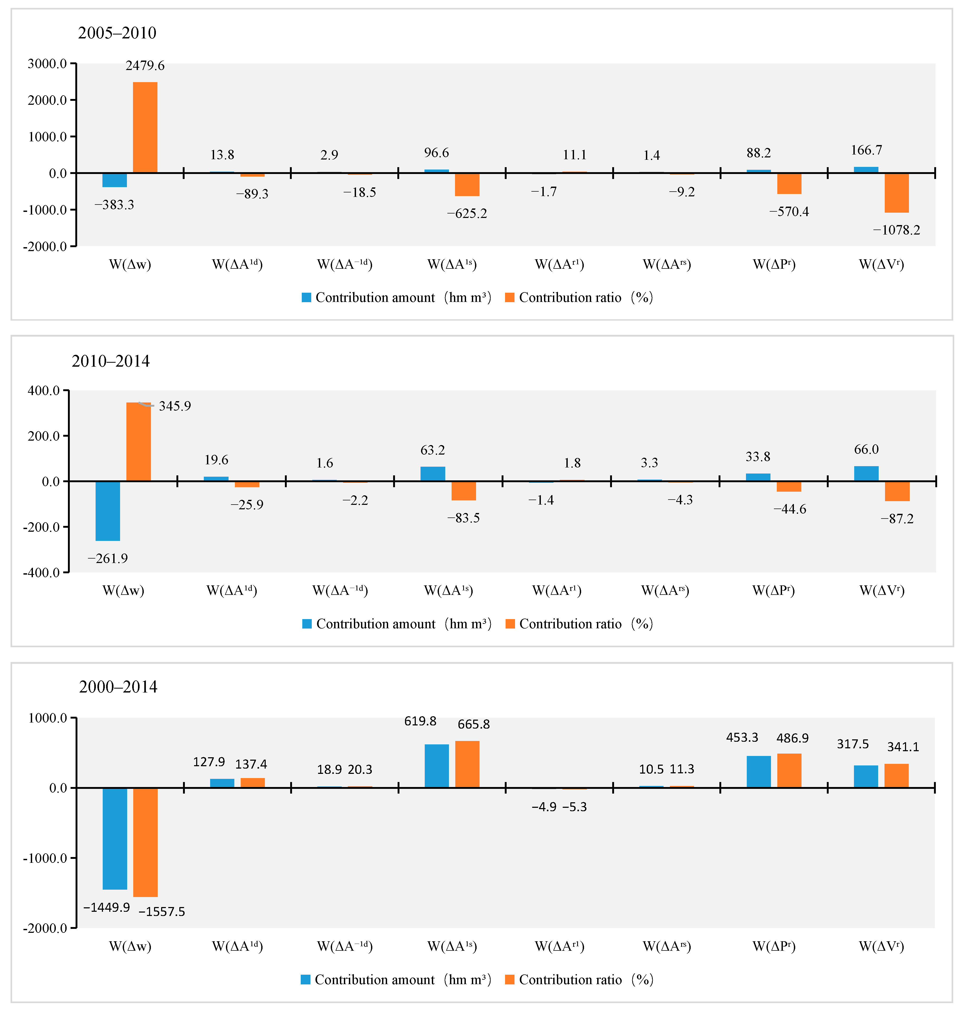
- Fourth, regarding drivers, a decrease in water-use coefficients across all Chinese industry sectors is the most crucial factor inhibiting VW exports’ increase from the Chinese industry. The increase in China’s forward linkages with other economies, the changes in the structure of foreign final demand sources, and the expansion of the size of foreign final demand are the main reason for increased VW exports. However, these roles are gradually diminishing. A change in the structure of China’s use of domestically produced intermediate products has a more significant positive effect on the increase in VW. Conversely, the change in the structure of foreign use of domestically produced intermediate products has an extremely weak effect on VW export.
- First, governments should focus on water for intermediate production when implementing the VW strategy. Water saving can be achieved by improving the water efficiency of industrial intermediate production links.
- Second, the forward correlation between industries in China and other economies can be adjusted. The export structure of intermediate products can be adjusted in the direction of water saving, i.e., the export of intermediate products can be reduced, and the export of final products can be increased. It will reduce VW exports and increase the added value of domestic industrial production chains.
- Third, policymakers can adjust the industrial structure to achieve water conservation in China. The export of textiles and clothing, paper products, and chemical products should be moderately reduced, and the import of mining and quarrying products from water-rich countries should be maintained.
Author Contributions
Funding
Data Availability Statement
Conflicts of Interest
References
- Mekonnen, M.M.; Hoekstra, A.Y. Four billion people facing severe water scarcity. Sci. Adv. 2022, 2, e1500323. [Google Scholar] [CrossRef] [PubMed]
- Distefano, T.; Kelly, S. Are we in deep water? Water scarcity and its limits to economic growth. Ecol. Econ. 2017, 142, 130–147. [Google Scholar] [CrossRef]
- Sun, Y.; Zhi, Y.; Zhao, Y. Indirect effects of carbon taxes on water conservation: A water footprint analysis for China. J. Environ. Manag. 2020, 279, 111747. [Google Scholar] [CrossRef]
- Zou, D.; Cong, H. Evaluation and influencing factors of China’s industrial water resource utilization efficiency from the perspective of spatial effect. Alex. Eng. J. 2021, 60, 173–182. [Google Scholar] [CrossRef]
- Kitamori, K.; Manders, T.; Dellink, R.; Tabeau, A.A. OECD Environmental Outlook to 2050: The Consequences of Inaction; OECD: Paris, France, 2012. [Google Scholar] [CrossRef]
- Allan, J.A. Fortunately there are substitutes for water otherwise our hydro-political futures would be impossible. Priorities Water Resour. Alloc. Manag. 1993, 13, 26. [Google Scholar]
- Zhang, C.; Anadon, L.D. A multi-regional input–output analysis of domestic virtual water trade and provincial water footprint in China. Ecol. Econ. 2014, 100, 159–172. [Google Scholar] [CrossRef]
- Allan, J.A. Virtual Water: A Long Term Solution for Water Short Middle Eastern Economies, British Association Festival of Science; University of Leeds: Leeds, UK, 1997. [Google Scholar]
- Wang, R.; Zimmerman, J. Hybrid analysis of blue water consumption and water scarcity implications at the global, national, and basin levels in an increasingly globalized world. Environ. Sci. Technol. 2016, 50, 5143–5153. [Google Scholar] [CrossRef]
- Caro, D.; Alessandrini, A.; Sporchia, F.; Borghesi, S. Global virtual water trade of avocado. J. Clean. Prod. 2021, 285, 124917. [Google Scholar] [CrossRef]
- Zhai, M.; Huang, G.; Liu, L.; Xu, X.; Li, J. Transfer of virtual water embodied in food: A new perspective. Sci. Total Environ. 2019, 659, 872–883. [Google Scholar] [CrossRef]
- Duarte, R.; Pinilla, V.; Serrano, A. Globalization and natural resources: The expansion of the Spanish agrifood trade and its impact on water consumption, 1965–2010. Reg. Environ. Chang. 2016, 16, 259–272. [Google Scholar] [CrossRef]
- Dalin, C.; Wada, Y.; Kastner, T.; Puma, M.J. Groundwater depletion embedded in international food trade. Nature 2017, 543, 700–704. [Google Scholar] [CrossRef] [PubMed]
- Wang, H.; Ang, B.W.; Su, B. Assessing drivers of economy-wide energy use and emissions: IDA versus SDA. Energ. Policy 2017, 107, 585–599. [Google Scholar] [CrossRef]
- Masud, M.B.; Wada, Y.; Goss, G.; Faramarzi, M. Global implications of regional grain production through virtual water trade. Sci. Total Environ. 2019, 659, 807–820. [Google Scholar] [CrossRef] [PubMed]
- Ren, Y.; Huang, K.; Yu, Y.; Hu, J. Inter-Regional Agricultural Virtual Water Flow in China Based on Volumetric and Impact-Oriented Multi-Regional Input-Output (MRIO) Approach. Water 2020, 12, 251. [Google Scholar] [CrossRef]
- Cai, B.; Zhang, W.; Hubacek, K.; Feng, K.; Li, Z.; Liu, Y.; Liu, Y. Drivers of virtual water flows on regional water scarcity in China. J. Clean. Prod. 2019, 207, 1112–1122. [Google Scholar] [CrossRef]
- Tian, X.; Sarkis, J.; Geng, Y.; Qian, Y.; Gao, C.; Bleischwitz, R.; Xu, Y. Evolution of China’s water footprint and virtual water trade: A global trade assessment. Environ. Int. 2018, 121, 178–188. [Google Scholar] [CrossRef]
- Liao, X.; Han, A.; Li, S.; Du, Y.; Chai, L. Unveiling economic co-benefits of virtual water trades: An empirical analysis on China’s JingJinJi Megalopolis. Water 2021, 13, 3140. [Google Scholar] [CrossRef]
- Deng, G.; Wang, L.; Xu, X. Linkage effect of virtual water trade in China’s industrial products—Based on generalized hypothetical extraction method. Ecol. Indic. 2018, 93, 1302–1310. [Google Scholar] [CrossRef]
- Garcia, S.; Mejia, A. Characterizing and modeling subnational virtual water networks of US agricultural and industrial commodity flows. Adv. Water Resour. 2019, 130, 314–324. [Google Scholar] [CrossRef]
- Miglietta, P.P.; Morrone, D. Managing water sustainability: Virtual water flows and economic water productivity assessment of the wine trade between Italy and the Balkans. Sustainability 2018, 10, 543. [Google Scholar] [CrossRef]
- Hosseinian, S.M.; Nezamoleslami, R. Water footprint and virtual water assessment in cement industry: A case study in Iran. J. Clean. Prod. 2018, 172, 2454–2463. [Google Scholar] [CrossRef]
- Nezamoleslami, R.; Hosseinian, S.M. An improved water footprint model of steel production concerning virtual water of personnel: The case of Iran. J. Environ. Manag. 2020, 260, 110065. [Google Scholar] [CrossRef] [PubMed]
- Gerbens-Leenes, P.W.; Hoekstra, A.Y.; Bosman, R. The blue and grey water footprint of construction materials: Steel, cement and glass. Water Resour. Ind. 2018, 19, 1–12. [Google Scholar] [CrossRef]
- Deng, G.; Lu, F.; Wu, L.; Xu, C. Social network analysis of virtual water trade among major countries in the world. Sci. Total Environ. 2021, 753, 142043. [Google Scholar] [CrossRef]
- Chen, W.; Wu, S.; Lei, Y.; Li, S. Virtual water export and import in China’s foreign trade: A quantification using input-output tables of China from 2000 to 2012. Resour. Conserv. Recycl. 2018, 132, 278–290. [Google Scholar] [CrossRef]
- Hubacek, K.; Feng, K. Comparing apples and oranges: Some confusion about using and interpreting physical trade matrices versus multi-regional input–output analysis. Land Use Policy 2016, 50, 194–201. [Google Scholar] [CrossRef]
- Antonelli, M.; Tamea, S.; Yang, H. Intra-EU agricultural trade, virtual water flows and policy implications. Sci. Total Environ. 2017, 587, 439–448. [Google Scholar] [CrossRef]
- Guo, S.; Shen, G.Q. Multiregional input–output model for China’s farm land and water use. Environ. Sci. Technol. 2015, 49, 403–414. [Google Scholar] [CrossRef]
- Lutter, S.; Pfister, S.; Giljum, S.; Wieland, H.; Mutel, C. Spatially explicit assessment of water embodied in European trade: A product-level multi-regional input-output analysis. Glob. Environ. Chang. 2016, 38, 171–182. [Google Scholar] [CrossRef]
- Liu, X.; Du, H.; Zhang, Z.; Crittenden, J.C.; Lahr, M.L.; Moreno-Cruz, J.; Guan, D.; Mi, Z.; Zuo, J. Can virtual water trade save water resources? Water Res. 2019, 163, 114848. [Google Scholar] [CrossRef]
- Han, M.Y.; Chen, G.Q.; Li, Y.L. Global water transfers embodied in international trade: Tracking imbalanced and inefficient flows. J. Clean. Prod. 2018, 184, 50–64. [Google Scholar] [CrossRef]
- Tamea, S.; Carr, J.A.; Laio, F.; Ridolfi, L. Drivers of the virtual water trade. Water Resour. Res. 2014, 50, 17–28. [Google Scholar] [CrossRef]
- Suweis, S.; Konar, M.; Dalin, C.; Hanasaki, N.; Rinaldo, A.; Rodriguez-Iturbe, I. Structure and controls of the global virtual water trade network. Geophys. Res. Lett. 2011, 38, L10403. [Google Scholar] [CrossRef]
- Tian, X.; Chang, M.; Lin, C.; Tanikawa, H. China’s carbon footprint: A regional perspective on the effect of transitions in consumption and production patterns. Appl. Energ. 2014, 123, 19–28. [Google Scholar] [CrossRef]
- Chen, S.; Chen, B. Tracking inter-regional carbon flows: A hybrid network model. Environ. Sci. Technol. 2016, 50, 4731–4741. [Google Scholar] [CrossRef] [PubMed]
- Cheng, H.; Dong, S.; Li, F.; Yang, Y.; Li, S.; Li, Y. Multiregional input-output analysis of spatial-temporal evolution driving force for carbon emissions embodied in interprovincial trade and optimization policies: Case study of northeast industrial district in China. Environ. Sci. Technol. 2018, 52, 346–358. [Google Scholar] [CrossRef]
- Qian, Y.; Dong, H.; Geng, Y.; Zhong, S.; Tian, X.; Yu, Y.; Chen, Y.; Moss, D.A. Water footprint characteristic of less developed water-rich regions: Case of Yunnan, China. Water Res. 2018, 141, 208–216. [Google Scholar] [CrossRef]
- Zhang, Y.; Zhou, Q.; Feng, W. Virtual water flows at the county level in the Heihe River Basin, China. Water 2017, 9, 687. [Google Scholar] [CrossRef]
- Dietzenbacher, E.; Los, B. Structural decomposition techniques: Sense and sensitivity. Econ. Syst. Res. 1998, 10, 307–324. [Google Scholar] [CrossRef]
- Lu, Q.; Liu, F.; Li, Y.; Wang, D. Study on the Relationship between Water Resources Utilization and Economic Growth in Tarim River basin from the Perspective of Water Footprint. Water 2022, 14, 1655. [Google Scholar] [CrossRef]









| Factors | Description |
|---|---|
| Effect of variation in water-use coefficient. | |
| Structural effects of China’s use of domestic intermediate products. | |
| Structural effects of foreign economies on use of domestic intermediate products. | |
| Forward correlation effect between China and other economies, or the export structure effect of intermediate products. | |
| Backward correlation effect between China and other economies, or the import structure effect of intermediate products. | |
| Effect of industrial correlation between foreign economies. | |
| Impact of changes in the product structure of China’s final demand, or the product structure effect of China’s final demand. | |
| Influence of product structure change of foreign final demand, or the product structure effect of foreign final demand. | |
| Impact of changes in the size of China’s final demand, or the scale effect of China’s final demand. | |
| Impact of changes in the scale of foreign final demand, or the scale effect of foreign final demand. |
| Code | Industrial Sector |
|---|---|
| S1 | Mining and quarrying |
| S2 | Manufacture of food products, beverages, and tobacco products |
| S3 | Manufacture of textiles, wearing apparel, and leather products |
| S4 | Manufacture of wood and of products of wood and cork, except furniture |
| S5 | Manufacture of paper and paper products |
| S6 | Printing and reproduction of recorded media |
| S7 | Manufacture of coke and refined petroleum products |
| S8 | Manufacture of chemicals and chemical products |
| S9 | Manufacture of basic pharmaceutical products and pharmaceutical preparations |
| S10 | Manufacture of rubber and plastic products |
| S11 | Manufacture of other nonmetallic mineral products |
| S12 | Manufacture of basic metals |
| S13 | Manufacture of fabricated metal products, except machinery and equipment |
| S14 | Manufacture of computer, electronic, and optical products |
| S15 | Manufacture of electrical equipment |
| S16 | Manufacture of machinery and equipment |
| S17 | Manufacture of transport equipment |
| S18 | Manufacture of furniture and other manufacturing |
| S19 | Electricity, gas, steam, and air conditioning supply |
| S20 | Water collection, treatment, and supply |
| Industry Code | 2000 | 2005 | 2010 | 2014 | ||||
|---|---|---|---|---|---|---|---|---|
| S1 | 94.5 | 508.4 | 34.7 | 257.9 | 26.9 | 211.6 | 21.4 | 196.7 |
| S2 | 81.6 | 223.0 | 53.1 | 184.5 | 29.8 | 147.9 | 17.2 | 106.9 |
| S3 | 55.4 | 194.3 | 48.4 | 172.0 | 37.3 | 181.0 | 21.6 | 127.6 |
| S4 | 6.6 | 15.1 | 6.7 | 18.5 | 2.5 | 7.3 | 1.6 | 5.5 |
| S5 | 795.1 | 2161.8 | 399.0 | 1302.3 | 267.6 | 868.7 | 140.8 | 478.6 |
| S6 | 6.1 | 11.8 | 3.4 | 6.6 | 2.4 | 4.0 | 1.5 | 2.8 |
| S7 | 89.2 | 249.3 | 39.9 | 174.9 | 13.2 | 88.4 | 11.4 | 78.7 |
| S8 | 213.1 | 1322.1 | 104.3 | 802.4 | 48.2 | 451.6 | 25.9 | 304.5 |
| S9 | 78.7 | 142.3 | 52.5 | 92.0 | 36.6 | 67.8 | 21.3 | 42.2 |
| S10 | 11.6 | 39.8 | 5.0 | 17.4 | 3.7 | 14.7 | 2.7 | 12.0 |
| S11 | 34.3 | 98.0 | 25.1 | 59.1 | 7.0 | 18.0 | 3.7 | 11.6 |
| S12 | 119.6 | 766.1 | 34.8 | 304.6 | 14.1 | 115.1 | 7.5 | 73.2 |
| S13 | 12.4 | 37.6 | 14.3 | 39.0 | 9.2 | 29.9 | 6.1 | 24.3 |
| S14 | 8.8 | 31.5 | 3.3 | 19.0 | 3.7 | 28.5 | 3.8 | 37.9 |
| S15 | 9.9 | 31.4 | 6.5 | 21.0 | 2.7 | 12.5 | 1.5 | 8.6 |
| S16 | 21.0 | 77.7 | 7.5 | 29.6 | 3.0 | 14.9 | 1.8 | 9.9 |
| S17 | 21.9 | 69.2 | 9.0 | 30.6 | 2.6 | 13.3 | 2.1 | 11.5 |
| S18 | 5.0 | 10.2 | 4.3 | 6.7 | 6.1 | 8.7 | 6.5 | 10.9 |
| S19 | 116.7 | 609.7 | 61.0 | 506.3 | 21.9 | 146.1 | 11.0 | 78.9 |
| S20 | 77.9 | 103.0 | 93.7 | 125.9 | 152.1 | 179.1 | 92.0 | 108.9 |
| Sectors | China’s Exports | China’s Imports | ||||||
|---|---|---|---|---|---|---|---|---|
| EU | JPN | USA | ROW | EU | JPN | USA | ROW | |
| S1 | 3.2 | 3.2 | 4.3 | 5.6 | 0.7 | 0.3 | 0.5 | 13.4 |
| S2 | 1.6 | 3.9 | 1.4 | 2.9 | 0.6 | 0.3 | 0.5 | 2.3 |
| S3 | 5.7 | 8.6 | 9.2 | 10.5 | 0.5 | 0.8 | 0.2 | 3.6 |
| S4 | 0.1 | 0.1 | 0.1 | 0.1 | 0.0 | 0.0 | 0.0 | 0.0 |
| S5 | 9.4 | 7.0 | 15.0 | 14.5 | 7.6 | 6.4 | 6.4 | 15.5 |
| S6 | 0.0 | 0.0 | 0.0 | 0.1 | 0.0 | 0.0 | 0.0 | 0.0 |
| S7 | 1.4 | 1.1 | 1.7 | 2.4 | 0.5 | 0.8 | 0.4 | 1.9 |
| S8 | 13.8 | 10.7 | 17.4 | 17.5 | 6.6 | 10.8 | 4.7 | 19.2 |
| S9 | 0.4 | 0.2 | 0.5 | 0.4 | 0.3 | 0.1 | 0.3 | 0.5 |
| S10 | 0.5 | 0.3 | 0.6 | 0.6 | 0.1 | 0.2 | 0.1 | 0.3 |
| S11 | 0.7 | 0.6 | 1.1 | 1.0 | 0.2 | 0.3 | 0.1 | 0.6 |
| S12 | 7.3 | 6.1 | 9.9 | 10.2 | 3.2 | 7.7 | 1.0 | 8.3 |
| S13 | 0.4 | 0.3 | 0.5 | 0.5 | 0.3 | 0.3 | 0.1 | 0.3 |
| S14 | 1.1 | 0.6 | 1.6 | 1.2 | 0.5 | 0.8 | 0.6 | 1.6 |
| S15 | 0.5 | 0.4 | 0.6 | 0.7 | 0.3 | 0.5 | 0.1 | 0.6 |
| S16 | 0.7 | 0.4 | 1.1 | 1.1 | 1.3 | 0.8 | 0.5 | 1.2 |
| S17 | 0.4 | 0.3 | 0.5 | 1.0 | 0.6 | 0.6 | 0.4 | 0.4 |
| S18 | 0.2 | 0.1 | 0.4 | 0.1 | 0.0 | 0.0 | 0.0 | 0.1 |
| S19 | 3.8 | 3.1 | 4.9 | 5.8 | 1.0 | 1.4 | 0.4 | 7.8 |
| S20 | 0.1 | 0.1 | 0.2 | 0.2 | 0.0 | 0.1 | 0.0 | 0.3 |
| Sum | 51.5 | 47.0 | 71.1 | 76.4 | 24.5 | 32.2 | 16.2 | 77.9 |
| Sectors | China’s Exports | China’s Imports | ||||||
|---|---|---|---|---|---|---|---|---|
| EU | JPN | USA | ROW | EU | JPN | USA | ROW | |
| S1 | 6.2 | 2.7 | 6.7 | 14.9 | 1.1 | 0.3 | 1.2 | 43.5 |
| S2 | 3.4 | 2.9 | 3.4 | 8.1 | 1.8 | 0.2 | 0.9 | 3.6 |
| S3 | 13.7 | 7.5 | 16.0 | 22.5 | 0.8 | 0.4 | 0.1 | 2.5 |
| S4 | 0.2 | 0.1 | 0.2 | 0.3 | 0.0 | 0.0 | 0.0 | 0.1 |
| S5 | 9.9 | 4.3 | 11.0 | 20.6 | 5.4 | 3.0 | 3.3 | 6.3 |
| S6 | 0.0 | 0.0 | 0.0 | 0.1 | 0.0 | 0.0 | 0.0 | 0.0 |
| S7 | 2.3 | 1.0 | 2.5 | 6.0 | 0.9 | 0.5 | 0.8 | 2.3 |
| S8 | 11.4 | 5.2 | 13.5 | 22.0 | 4.5 | 4.1 | 2.6 | 10.4 |
| S9 | 1.0 | 0.3 | 0.6 | 1.3 | 1.3 | 0.1 | 0.5 | 0.6 |
| S10 | 0.5 | 0.2 | 0.6 | 1.1 | 0.2 | 0.2 | 0.1 | 0.3 |
| S11 | 0.4 | 0.2 | 0.4 | 1.1 | 0.1 | 0.1 | 0.0 | 0.3 |
| S12 | 3.4 | 1.5 | 3.7 | 8.2 | 1.5 | 1.7 | 0.4 | 4.5 |
| S13 | 1.2 | 0.6 | 1.3 | 2.6 | 0.9 | 0.3 | 0.3 | 0.6 |
| S14 | 4.2 | 2.1 | 5.1 | 7.3 | 0.5 | 1.0 | 0.3 | 3.7 |
| S15 | 0.7 | 0.3 | 0.7 | 1.3 | 0.2 | 0.2 | 0.0 | 0.3 |
| S16 | 0.6 | 0.2 | 0.7 | 1.4 | 0.7 | 0.2 | 0.1 | 0.4 |
| S17 | 0.5 | 0.2 | 0.6 | 1.6 | 1.0 | 0.3 | 0.4 | 0.3 |
| S18 | 1.0 | 0.2 | 1.1 | 1.2 | 0.4 | 0.1 | 0.2 | 1.4 |
| S19 | 2.4 | 1.1 | 2.6 | 5.5 | 1.0 | 0.4 | 0.1 | 7.5 |
| S20 | 0.4 | 0.2 | 0.4 | 0.9 | 0.4 | 0.2 | 0.0 | 1.4 |
| Sum | 63.3 | 30.8 | 71.0 | 128.2 | 22.7 | 13.4 | 11.4 | 90.0 |
Disclaimer/Publisher’s Note: The statements, opinions and data contained in all publications are solely those of the individual author(s) and contributor(s) and not of MDPI and/or the editor(s). MDPI and/or the editor(s) disclaim responsibility for any injury to people or property resulting from any ideas, methods, instructions or products referred to in the content. |
© 2023 by the authors. Licensee MDPI, Basel, Switzerland. This article is an open access article distributed under the terms and conditions of the Creative Commons Attribution (CC BY) license (https://creativecommons.org/licenses/by/4.0/).
Share and Cite
Ji, J.; Wang, C.; Zhou, J. Spatiotemporal Evolution and Drivers of Chinese Industrial Virtual Water in International Trade. Water 2023, 15, 1975. https://doi.org/10.3390/w15111975
Ji J, Wang C, Zhou J. Spatiotemporal Evolution and Drivers of Chinese Industrial Virtual Water in International Trade. Water. 2023; 15(11):1975. https://doi.org/10.3390/w15111975
Chicago/Turabian StyleJi, Jianyue, Chengjia Wang, and Jinglin Zhou. 2023. "Spatiotemporal Evolution and Drivers of Chinese Industrial Virtual Water in International Trade" Water 15, no. 11: 1975. https://doi.org/10.3390/w15111975
APA StyleJi, J., Wang, C., & Zhou, J. (2023). Spatiotemporal Evolution and Drivers of Chinese Industrial Virtual Water in International Trade. Water, 15(11), 1975. https://doi.org/10.3390/w15111975
