Experimental and Analytical Evaluations of Ground Behaviors on Changing in Groundwater Level in Bangkok, Thailand
Abstract
1. Introduction
2. Geology and Hydrogeology in Bangkok Plain
3. Experimental Modelling by Centrifuge Test
4. Analytical Modelling by Finite Element Method
4.1. Geometric Model and Boundary Conditions
4.2. Associated Parameters for Material
5. Result and Discussions
5.1. Porewater Pressure
5.2. Effective Stress
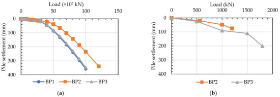
5.3. Pile Capacity
5.4. Ground Deformation
6. Conclusions
- (1)
- The ground deformation continues to occur in the condition of groundwater drawdown due to void between soil particles and self-weight consolidation in term of time. After groundwater begin to recover, ground deformation continues to occur but the rate of ground deformation was less than the period of groundwater drawdown. In the case of groundwater recovery to the ground surface, the ground deformation rate of PLAXIS3D was about 0.09 cm/year while the centrifuge test was about 0.001 cm/year. These values were different due to limitations of the PLAXIS3D model and the centrifuge model such as the time of the consolidation process, soil preparation in the centrifuge test, and input soil parameters in the PLAXIS3D model. However, the trend of the ground deformation from both results demonstrated that the results have similar trends to the previous data of the observation station in Bangkok, Thailand.
- (2)
- The bearing capacity demonstrated by using the pile load test depends on the state of the groundwater level. The PLAXIS3D result reveals the pile capacity increased during groundwater drawdown due to the effective stress increase. The clay layer also shows the unsaturated zone and suction zone in the model. For the same reason, the pile capacity decreases when the groundwater was on the ground surface. The clay layer found the suction value almost zero and the saturated zone is almost 100%. The loss of pile capacity occurred in PLAXIS3D and the centrifuge test by around 8 to 25%.
Author Contributions
Funding
Data Availability Statement
Conflicts of Interest
References
- Department of Groundwater Resource. The Report of the Project Studied the Impact of Underground Structures Due to the Water Pressure Recovery of Groundwater in Bangkok and Metropolitan Areas; Seven Associated Consultants Co., LTD.: Bangkok, Thailand, 2012. [Google Scholar]
- Inthachai, K.; Phein-Wej, N.; Sarakshetrin, D. Impact of deep well pumping termination to mitigate land subsidence of Bangkok on stability of piled foundation. In Proceedings of the 22nd National Convention on Civil Engineering, Nakhon Ratchasima, Thailand, 18–20 July 2017. [Google Scholar]
- Morrison, P.R.J.; Taylor, R.N. Foundation in a rising groundwater environment. In Groundwater Problems in Urban Areas: Proceedings of the International Conference Organized by the Institution of Civil Engineers and Held in London, UK, 2–3 June 1993; Thomas Telford Publishing: London, UK, 1994; pp. 342–354. [Google Scholar]
- Fleming, W.G.K. A new method for single pile settlement prediction and analysis. Geotechnique 1992, 42, 411–425. [Google Scholar] [CrossRef]
- Skempton, A.W. Cast in-situ bored pile in London clay. Geotechnique 1959, 9, 153–173. [Google Scholar] [CrossRef]
- Schweiger, H. Design of deep excavations with FEM—Influence of constitutive model and comparison of EC7 design approaches. In Earth Retention Conference; American Society of Civil Engineers: Reston, VA, USA, 2010; pp. 804–817. [Google Scholar]
- Surasak, C.; Likitlersuang, S.; Wanatowski, D.; Balasubramaniam, A.; Oh, E.; Guan, H. Stiffness and strength parameters for hardening soil model of soft and stiff Bangkok clays. Soil Found. 2012, 52, 682–697. [Google Scholar] [CrossRef]
- Phoban, H.; Seeboonruang, U.; Lueprasert, P. Numerical modeling of single pile behaviors due to groundwater level rising. Appl. Sci. 2021, 11, 5782. [Google Scholar] [CrossRef]
- Saowiang, K.; Giao, P.H. Numerical analysis of subsurface deformation induced by groundwater level changes in the Bangkok aquifer system. Acta Geotech. 2021, 16, 1265–1279. [Google Scholar] [CrossRef]
- Sinsakul, S. Late Quaternary geology of the Lower Central Plain, Thailand. J. Asian Earth Sci. 2000, 18, 415–426. [Google Scholar] [CrossRef]
- Singtokaew, K.; Submaneewong, C.; Tanseng, P. The highest static load which ever been tested on piles in Bangkok subsoils. In 40th Anniversary; The Foundation of Success: Bangkok, Thailand, 2014; pp. 103–108. [Google Scholar]
- David, G.Z.; Wakshal, E. Land Subsidence Analysis in Urban Areas: The Bangkok Metropolitan Area Case Study; Springer Environmental Science and Engineering: Berlin/Heidelberg, Germany, 2013. [Google Scholar]
- Zelikson, A. Geotechnical models using the hydraulic gradient similarity method. Geotechnique 1969, 19, 495–508. [Google Scholar] [CrossRef]
- Intui, S.; Soralump, S. The Vertical Bearing Capacity Behavior of Single Pile by Geotechnical Centrifuge. Kasetsart Eng. J. 2018, 31, 55–68. [Google Scholar]
- Intui, S.; Soralump, S.; Inazumi, S.; Shishido, K. Application of centrifuge model tests to settlement behavior under groundwater recovery. Int. J. GEOMATE Geotech. Constr. Mater. Environ. 2021, 21, 34–40. [Google Scholar] [CrossRef]
- Intui, S.; Soralump, S.; Inazumi, S. Behavior of bearing capacity on pile foundation during fluctuating groundwater level. Int. J. GEOMATE Geotech. Constr. Mater. Environ. 2022, 22, 24–31. [Google Scholar] [CrossRef]
- Ali, S.M. Effect of Advancing Twin Tunnels on Pile Group. Ph.D. Thesis, The Hong Kong University of Science and Technology, Hong Kong, China, 2013. [Google Scholar]
- Wheeler, S.J.; Sivakumar, V. An elastoplastic critical state framework for unsaturated soil. Géotechnique 1995, 45, 35–53. [Google Scholar] [CrossRef]
- Biot, M.A. General theory of three-dimensional consolidation. J. Appl. Phys. 1941, 12, 155–164. [Google Scholar] [CrossRef]
- Booker, J.R.; Small, J.C. An investigation of the stability of numerical solutions of Biot’s equations of consolidation. Int. J. Solids Struct. 1975, 11, 907–917. [Google Scholar] [CrossRef]
- Atkinson, J.H.; Sallfors, G. Experimental determination of soil properties. In Proceedings of the 10th ECSMFE, Florence, Italy, 26 May 1991; Volume 3, pp. 915–956. [Google Scholar]
- Lim, A.; Ou, C.Y.; Hsieh, P.G. Evaluation of clay constitutive models for analysis of deep excavation under undrained conditions. J. GeoEng. 2010, 5, 9–20. [Google Scholar]
- Schanz, T.; Vermeer, P.A.; Bonnier, P.G. The hardening soil model: Formulation and verification. In Beyond 2000 in Computational Geotechnics—10 Years PLAXIS; Balkema: Rotterdam, The Netherlands, 1999. [Google Scholar]
- Benz, T. Small-Strain Stiffness of Soils and its Numerical Consequences; Institut fur Geotechnik: Stuttgart, Germany, 2007. [Google Scholar]
- Gallipoli, D.; Wheeler, S.; Karstunen, M. Modelling the variation of degree of saturation in a deformable unsaturated soil. Géotechnique 2003, 53, 105–112. [Google Scholar] [CrossRef]
- Likitlersuang, S.; Teachavorasinskun, S.; Surarak, C.; Oh, E.; Balasubramaniam, A. Small strain stiffness and stiffness degradation curve of Bangkok Clays. Soils Found. 2013, 53, 498–509. [Google Scholar] [CrossRef]

















| Parameters | Speswhite Kaolin Clay | Toyoura Sand |
|---|---|---|
| The saturated unit weight (), kN/m3 | 16.5 | 15.3 |
| The unsaturated unit weight (), kN/m3 | 17 | 15.3 |
| Secant stiffness (), kN/m2 | 16,000 | E’ = 85,800 |
| Tangent stiffness (), kN/m2 | 20,000 | - |
| The ratio of stiffness (), kN/m2 | 70,000 | 115,500 |
| Power for stress level | 1 | - |
| Cohesion (), kN/m2 | 35 | 0.1 |
| Friction angle (), degree | 31 | 36 |
| Dilatancy angle () | 0 | 5 |
| Shear strain (), degree | 0.001 | - |
| Shear modulus (), kN/m2 | 90,000 | 33,000 |
| Poisson’s ratio () | 0.2 | 0.3 |
| Reference pressure | 100 | - |
| Coefficient of lateral earth pressure () | 0.485 | - |
| Failure ratio () | 0.9 | - |
| Interface reduction factor () | 0.75 | 0.75 |
| OCR | 1 | - |
| Initial void ratio () | 0.8 | 0.73 |
| References | Modified Benz (2006) [24] | Modified Likitlersuang et al. (2013) [26] |
| Parameters | Speswhite Kaolin Clay |
|---|---|
| Residual saturation | 0.05 |
| Saturated saturation | 1 |
| Fitting parameters (gn) | 1.6 |
| Fitting parameters (ga) | 0.04 |
| Fitting parameters (gl) | 0.5 |
| Horizontal permeability, m/day | 8.64 × 10−4 |
| Horizontal permeability, m/day | 8.64 × 10−4 |
| Vertical permeability, m/day | 8.64 × 10−4 |
| Description | Centrifuge Modeling | PLAXIS3D Modeling | ||||
|---|---|---|---|---|---|---|
| BP1 | BP2 | BP3 | BP1 | BP2 | BP3 | |
| Time period of water level change | 157 | 192 | 49 | 157 | 16 | 94 |
| Porewater pressure (kPa) | ||||||
| At 20 m from ground surface | 194.64 | 33.10 | 195.32 | 202 | 26 | 185 |
| At 35 m from ground surface | 348.48 | 136.11 | 349.33 | 352 | 159 | 344 |
| Effective stress at interface of soil (kPa) | 184 | 277 | 184 | 205 | 300 | 205 |
| Ground displacement rate (cm/year) | 0.14 | 0.02 | 0.001 | 0.4 | 0.28 | 0.09 |
| Total ground displacement (cm) | 21.62 | 25.69 | 25.66 | 41.6 | 50.5 | 58.9 |
| Maximum pile load (kN) | 100,000 | 120,000 | 100,000 | N/A | 1200 | 1800 |
| Pile settlement (mm) | 346 | 339 | 346 | N/A | 75 | 200 |
Disclaimer/Publisher’s Note: The statements, opinions and data contained in all publications are solely those of the individual author(s) and contributor(s) and not of MDPI and/or the editor(s). MDPI and/or the editor(s) disclaim responsibility for any injury to people or property resulting from any ideas, methods, instructions or products referred to in the content. |
© 2023 by the authors. Licensee MDPI, Basel, Switzerland. This article is an open access article distributed under the terms and conditions of the Creative Commons Attribution (CC BY) license (https://creativecommons.org/licenses/by/4.0/).
Share and Cite
Intui, S.; Inazumi, S. Experimental and Analytical Evaluations of Ground Behaviors on Changing in Groundwater Level in Bangkok, Thailand. Water 2023, 15, 1825. https://doi.org/10.3390/w15101825
Intui S, Inazumi S. Experimental and Analytical Evaluations of Ground Behaviors on Changing in Groundwater Level in Bangkok, Thailand. Water. 2023; 15(10):1825. https://doi.org/10.3390/w15101825
Chicago/Turabian StyleIntui, Sutasinee, and Shinya Inazumi. 2023. "Experimental and Analytical Evaluations of Ground Behaviors on Changing in Groundwater Level in Bangkok, Thailand" Water 15, no. 10: 1825. https://doi.org/10.3390/w15101825
APA StyleIntui, S., & Inazumi, S. (2023). Experimental and Analytical Evaluations of Ground Behaviors on Changing in Groundwater Level in Bangkok, Thailand. Water, 15(10), 1825. https://doi.org/10.3390/w15101825

