Numerical Analysis of Motion Characteristics of Sliding or Rolling and Saltation of Sediment Particles under Turbulent Flow
Abstract
1. Introduction
2. Numerical Method
2.1. Governing Equations of Flow
2.2. Mathematical Model of Particle Motion
2.3. The Interaction of Flow and Particle
3. General Conditions and Validation of Numerical Model
3.1. Setup of Numerical Model
3.2. Sediment Transport and Hydraulic Parameters of Numerical Model
3.3. Computational Procedure of Numerical Model
3.4. Validation of Numerical Models
4. Results and Discussion of Sediment Particle Movement
4.1. Processes of Sediment Particle Movement
4.2. Results of Saltation Sediment Particle Movement
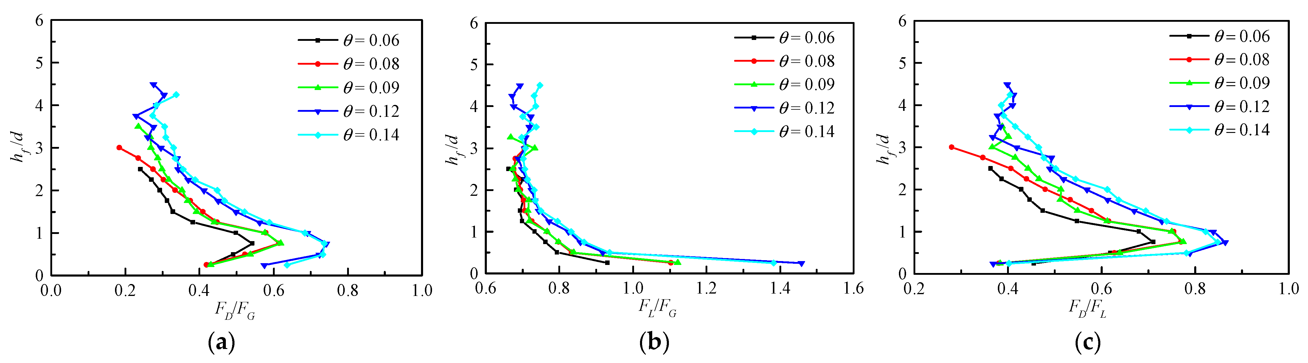
4.3. Discussion of Sliding or Rolling and Saltation Sediment Particle Movement
5. Conclusions
Author Contributions
Funding
Institutional Review Board Statement
Informed Consent Statement
Data Availability Statement
Acknowledgments
Conflicts of Interest
Notation
| bci | i th finite elements of the contactor discrete element (-) |
| btj | j th finite elements of the target discrete element (-) |
| dt | timestep (s) |
| ds | tangential relative displacement between particles (m) |
| hd | viscous damping coefficient (-) |
| jci | potential functions for the contactor discrete element (-) |
| jtj | potential functions for the target discrete element (-) |
| m | sliding friction coefficient (-) |
| n | fluid kinematic viscosity (m2s−1) |
| q | Shields number (-) |
| qb | collision position angle (°) |
| qin | incidence angle (°) |
| qout | takeoff angle (°) |
| rf | density of the fluid (kg m−3) |
| rs | density of sediment particle (kg m−3) |
| T | shear stress (kg m−1 s−2) |
| U | eddy viscosity coefficient (-) |
| D | diameter of sediment particle (m) |
| dn | distance between the particles (m) |
| D | distribution function (-) |
| E | Young’s modulus (kg m s−2) |
| F | fluid–particle interaction force (kg m s−2) |
| Fn | normal force between particles (kg m s−2) |
| Fs | tangential force between particles (kg m s−2) |
| FD | drag force of hydrodynamic forces exerted on particle (kg m s−2) |
| FL | lift force of hydrodynamic forces exerted on particle (kg m s−2) |
| G | gravity acceleration (m s−2) |
| G | particle submerged weight (kg m s−2) |
| Ga | Galileo number (-) |
| H | convective and diffusive terms (-) |
| he | smallest size of the finite elements (m) |
| hf | net water depth (m) |
| I | interpolation function (-) |
| kp | penalty parameter (-) |
| ks | tangential spring stiffness (-) |
| ks | equivalent sand roughness (-) |
| Nibp | total number of immersed boundary points (-) |
| Reb | Reynolds number based on bulk flow velocity (-) |
| Ret | Reynolds number based on friction velocity (-) |
| Rep | particle Reynolds number (-) |
| S | angular velocity of the particle (Hz) |
| SP | saltation sediment particle (-) |
| SRP | rolling or sliding particle (-) |
| T | matrix transposition (-) |
| ub | bulk velocity (m s−1) |
| up | streamwise velocity of the particle (m s−1) |
| u* | friction velocity (m s−1) |
| U | fluid velocity (m s−1) |
| vp | vertical velocity of the particle (m s−1) |
| V | volume of the tetrahedral finite element (m3) |
| V | velocity of the immersed boundary points (m s−1) |
| Vi | volume of the corresponding sub-tetrahedrons (m3) |
| tangential relative velocity between particles (m s−1) | |
| discrete volume around the immersed boundary points (m3) | |
| gradient operator (-) | |
| overlapping volume between finite elements of the contactor and target discrete elements (m3) | |
| dimensionless angular velocity of particle (-) |
References
- Einstein, H.A. The bed-load function for sediment transport in open channel flows. Tech. Bull. 1950, 1026, 1–71. [Google Scholar]
- Bagnold, R.A. An approach to the sediment transport problem from general physics. In Geological Survey Professional Paper 422-I; Government Printing Office: Washington, DC, USA, 1967. [Google Scholar]
- Gordon, R.; Carmichael, J.B.; Isackson, F.J. Saltation of plastic balls in a one-dimensional flume. Water Resour. Res. 1972, 8, 444–459. [Google Scholar] [CrossRef]
- Francis, J.R.D. Experiments on the motion of solitary gains along the bed of a water stream. Philos. Trans. R. Soc. 1973, 332, 443–471. [Google Scholar]
- Abbott, J.E.; Francis, J.R.D. Saltation and suspension trajectories of solid grains in a water stream. Philos. Trans. R. Soc. A 1977, 284, 225–254. [Google Scholar]
- Murphy, P.J.; Hooshiari, H. Saltation in water dynamics. J. Hydraul. Div. 1982, 108, 1251–1267. [Google Scholar] [CrossRef]
- Van Rijn, L.C. Sediment transport, Part I: Bed load transport. J. Hydraul. Eng. 1985, 110, 1431–1456. [Google Scholar] [CrossRef]
- Lee, H.Y.; Hsu, I.S. Investigating of saltating particle motions. J. Hydraul. Eng. 1994, 120, 831–845. [Google Scholar] [CrossRef]
- Niño, Y.; García, M. Experiments on saltation of sand in water. J. Hydraul. Eng. 1998, 124, 1014–1025. [Google Scholar] [CrossRef]
- Fernandez, L.R.; Van Beek, R. Erosion and transport of bed sediment. J. Hydraul. Res. 1974, 14, 127–144. [Google Scholar] [CrossRef]
- Engelund, F.; Fredsøe, J. A sediment transport model for straight alluvial channels. Hydrol. Res. 1976, 7, 293–306. [Google Scholar] [CrossRef]
- Niño, Y.; García, M.; Ayala, L. Gravel saltation. 1. Experiments. Water Resour. Res. 1994, 30, 1907–1914. [Google Scholar] [CrossRef]
- Hu, C.H.; Hui, Y.J. Bed-load transport. I: Mechanical characteristics. J. Hydraul. Eng. 1996, 122, 245–254. [Google Scholar] [CrossRef]
- Lajeunesse, E.; Malverti, L.; Charru, F. Bed load transport in turbulent flow at the grain scale: Experiments and modeling. J. Geophys. Res. 2010, 115, F04001. [Google Scholar] [CrossRef]
- Shim, J.; Duan, J.G. Experimental study of bed-load transport using particle motion tracking. Int. J. Sediment Res. 2017, 32, 73–81. [Google Scholar] [CrossRef]
- Wiberg, P.L.; Smith, J.D. A theoretical model for saltating grains in water. J. Geophys. Res. 1985, 90, 7341–7354. [Google Scholar] [CrossRef]
- Niño, Y.; García, M. Gravel saltation. 2. Modeling. Water Resour. Res. 1994, 30, 1915–1924. [Google Scholar] [CrossRef]
- Lee, H.Y.; Chen, Y.H.; You, J.Y.; Lin, Y.T. Investigations of continuous bed load saltating process. J. Hydraul. Eng. 2000, 126, 691–700. [Google Scholar] [CrossRef]
- Ballio, F.; Pokrajac, D.; Radice, A.; Sadabadi, S. Lagrangian and eulerian description of bed load transport. J. Geophys. Res. Earth Surf. 2018, 123, 384–408. [Google Scholar] [CrossRef]
- Anderson, R.S.; Haff, P.K. Simulation of eolian saltation. Science 1988, 241, 820–823. [Google Scholar] [CrossRef]
- Wiberg, P.L.; Smith, J.D. Calculation of the critical shear stress for motion of uniform and heterogeneous sediments. Water Resour. Res. 1987, 23, 1471–1480. [Google Scholar] [CrossRef]
- Wiberg, P.L.; Smith, J.D. Model for calculating bed load transport of sediment. J. Hydraul. Eng. 1989, 115, 101–123. [Google Scholar] [CrossRef]
- Kharlamova, I.S.; Vlasák, P. Model of rough bed for numerical simulation of saltation. Eur. J. Environ. Civ. Eng. 2015, 19, 366–385. [Google Scholar] [CrossRef]
- Robinson, S.K. Coherent motions in the turbulent boundary layer. Annu. Rev. Fluid Mech. 1991, 23, 601–639. [Google Scholar] [CrossRef]
- White, B.R.; Schultz, J.C. Magnus effect in saltation. J. Fluid Mech. 1977, 81, 497–512. [Google Scholar] [CrossRef]
- Cundall, P.A.; Strack, O.D.L. A discrete numerical model for granular assemblies. Géotechnique 1979, 29, 47–65. [Google Scholar] [CrossRef]
- Thornton, C.; Yin, K.K. Impact of elastic spheres with and without adhesion. Powder Technol. 1991, 65, 153–166. [Google Scholar] [CrossRef]
- Zhu, H.P.; Zhou, Z.Y.; Yang, R.Y.; Yu, B.A. Discrete particle simulation of particulate systems: Theoretical developments. Chem. Eng. Sci. 2007, 62, 3378–3396. [Google Scholar] [CrossRef]
- Schmeeckle, M.W. Numerical simulation of turbulence and sediment transport of medium sand. J. Geophy. Res. 2014, 119, 1240–1262. [Google Scholar] [CrossRef]
- Kidanemariam, A.G.; Uhlmann, M. Interface-resolved direct numerical simulation of the erosion of a sediment bed sheared by laminar channel flow. Int. J. Multiph. Flow. 2014, 67, 174–188. [Google Scholar] [CrossRef]
- Sun, R.; Xiao, H. SediFoam: A general-purpose, open-source CFD–DEM solver for particle-laden flow with emphasis on sediment transport. Comput. Geosci. 2016, 89, 207–219. [Google Scholar] [CrossRef]
- Esteghamatian, A.; Hammouti, A.; Lance, M.; Wachs, A. Particle resolved simulations of liquid/solid and gas/solid fluidized beds. Phys. Fluids 2017, 29, 033302. [Google Scholar] [CrossRef]
- Liu, D.T.; Liu, X.F.; Fu, X.D. LES-DEM simulations of sediment saltation in a rough-wall turbulent boundary layer. J. Hydraul. Res. 2019, 57, 786–797. [Google Scholar] [CrossRef]
- Zhang, B.W.; Wu, B.S.; Li, S.W.; Shi, Y. Large eddy simulation of sediment transport in high flow intensity by discrete particle method. J. Hydraul. Res. 2021, 59, 605–620. [Google Scholar] [CrossRef]
- Kidanemariam, A.G.; Uhlmann, M. Direct numerical simulation of pattern formation in subaqueous sediment. J. Fluid Mech. 2014, 750, R21. [Google Scholar] [CrossRef]
- Kidanemariam, A.G.; Uhlmann, M. Formation of sediment patterns in channel flow: Minimal unstable systems and their temporal evolution. J. Fluid Mech. 2017, 818, 716–743. [Google Scholar] [CrossRef]
- Sun, R.; Xiao, H. CFD–DEM simulations of current-induced dune formation and morphological evolution. Adv. Water Resour. 2016, 92, 228–239. [Google Scholar] [CrossRef]
- Jain, R.; Vowinckel, B.; Fröhlich, J. Spanwise particle clusters in DNS of sediment transport over a regular and an irregular Bed. Flow Turbul. Combust. 2017, 99, 973–990. [Google Scholar] [CrossRef]
- Zhang, B.W.; Li, S.W.; Ji, C.N. Numerical simulation of ripple evolution under turbulent flow using a coupled LES and DPM model. J. Hydraul. Eng. 2018, 144, 04018067. [Google Scholar] [CrossRef]
- Munjiza, A. The Combined Finite-Discrete Element Method; Wiley: Hoboken, NJ, USA, 2004. [Google Scholar]
- Xiang, J.; Munjiza, A.; Latham, J.P.; Guises, R. On the validation of DEM and FEM/DEM models in 2D and 3D. Eng. Comput. 2009, 26, 673–687. [Google Scholar] [CrossRef]
- Ji, C.; Munjiza, A.; Avital, E.; Ma, J.; Williams, J.J.R. Direct numerical simulation of sediment entrainment in turbulent channel flow. Phys. Fluids 2013, 25, 056601. [Google Scholar] [CrossRef]
- Ji, C.; Munjiza, A.; Avital, E.; Xu, D.; Williams, J. Saltation of particles in turbulent channel flow. Phys. Rev. E 2014, 89, 052202. [Google Scholar] [CrossRef] [PubMed]
- Thomas, T.G.; Williams, J.J.R. Development of a parallel code to simulate skewed flow over a bluff body. J. Wind. Eng. Ind. Aerodyn. 1997, 67, 155–167. [Google Scholar] [CrossRef]
- Singh, K.M.; Sandham, N.D.; Williams, J.J.R. Numerical Simulation of Flow over a Rough Bed. J. Hydraul. Eng. 2007, 133, 386–398. [Google Scholar] [CrossRef][Green Version]
- Munjiza, A.; Owen, D.R.J.; Bicanic, N.A. combined finite-discrete element method in transient dynamics of fracturing solids. Eng. Comput. 1995, 12, 145–174. [Google Scholar] [CrossRef]
- Ji, C.; Munjiza, A.; Williams, J.J.R. A novel iterative direct-forcing immersed boundary method and its finite volume applications. J. Comput. Phys. 2012, 231, 1797–1821. [Google Scholar] [CrossRef]
- Munjiza, A.; Andrews, K.R.F. Penalty function method for combined finite-discrete element systems comprising large number of separate bodies. Int. J. Numer. Methods Eng. 2000, 49, 1377–1396. [Google Scholar] [CrossRef]
- Roux, J.-N.; Combe, G. Quasistatic rheology and the origins of strain. Comptes Rendus Phys. 2002, 3, 131–140. [Google Scholar] [CrossRef]
- Simeonov, J.A.; Calantoni, J. Modeling mechanical contact and lubrication in direct numerical simulations of colliding particles. Int. J. Multiph. Flow. 2012, 46, 38–53. [Google Scholar] [CrossRef]
- Peskin, C.S. The immersed boundary method. Acta Numer. 2002, 11, 479–518. [Google Scholar] [CrossRef]
- Uhlmann, M. An immersed boundary method with direct forcing for the simulation of particulate flows. J. Comput. Phys. 2005, 209, 448–476. [Google Scholar] [CrossRef]
- Yousefi, A.; Costa, P.; Brandt, L. Single sediment dynamics in turbulent flow over a porous bed–insights from interface-resolved simulations. J. Fluid Mech. 2020, 893, A24. [Google Scholar] [CrossRef]
- Kharlamova, I.S.; Vlasák, P. Dependence of saltation characteristics on bed organisation in numerical simulation. Geosci. J. 2015, 19, 177–184. [Google Scholar] [CrossRef]
- Grass, A.J.; Stuart, R.J.; Mansour-Tehrani, M. Vortical structures and coherent motion in turbulent flow over smooth and rough boundaries. Philos. Trans. R. Soc. Lond. 1991, 336, 33–65. [Google Scholar]
- Defina, A. Transverse spacing of low-speed streaks in a channel flow over a rough bed. Coherent Flow Struct. Open Channels 1996, 4, 87–99. [Google Scholar]
- Grass, A.J. Structural features of turbulent flow over smooth and rough boundaries. J. Fluid Mech. 1971, 50, 233–255. [Google Scholar] [CrossRef]
- Nezu, I. Turbulence Structure in an Open Channel Flow. Ph.D. Thesis, Kyoto University, Kyoto, Japan, 1977. [Google Scholar]
- Böhm, T.; Frey, P.; Ducottet, C.; Ancey, C.; Jodeau, M.; Reboud, J.L. Two-dimensional motion of a set of particles in a free surface flow with image processing. Exp. Fluids 2006, 41, 1–11. [Google Scholar] [CrossRef]
- Frey, P. Particle velocity and concentration profiles in bedload experiments on a steep slope. Earth Surf. Proc. Landf. 2014, 39, 646–655. [Google Scholar] [CrossRef]
- Auel, C.; Albayrak, I.; Sumi, T.; Boes, R.M. Sediment transport in high-speed flows over a fixed bed: 1. Particle dynamics. Earth Surf. Proc. Landf. 2017, 42, 1365–1383. [Google Scholar] [CrossRef]
- Maldonado, S.; Borthwick, A.G.L. Sensitivity analysis and statistical convergence of a saltating particle model. J. Hydraul. Eng. 2016, 141, 04014091. [Google Scholar] [CrossRef]
- Lu, S.S.; Willmarth, W.W. Measurements of the structure of the Reynolds stress in a turbulent boundary layer. J. Fluid Mech. 1973, 60, 481–511. [Google Scholar] [CrossRef]
- Einstein, H.A.; El-Sammi, E.A. Hydrodynamic forces on a rough wall. Rev. Mod. Phys. 1949, 21, 520–524. [Google Scholar] [CrossRef]
- Amir, M.; Nikora, V.; Witz, M. A novel experimental technique and its application to study the effects of particle density and flow submergence on bed particle saltation. J. Hydraul. Res. 2017, 55, 101–113. [Google Scholar] [CrossRef]
- Lee, H.Y.; You, J.Y.; Lin, Y.T. Continuous saltating process of multiple sediment particles. J. Hydraul. Eng. 2002, 128, 443–450. [Google Scholar] [CrossRef]
- Bhattacharyya, A.; Ojha, S.P.; Mazumder, B.S. Evaluation of the saltation process of bed materials by video imaging under altered bed roughness. Earth Surf. Proc. Landf. 2013, 38, 1339–1353. [Google Scholar] [CrossRef]
- Vlasak, P.; Kysela, B.; Chara, Z. Flow structure of coarse-grained slurry in a horizontal pipe. J. Hydrol. Hydromech. 2012, 60, 115–124. [Google Scholar] [CrossRef]
















| Parameter | Value | Parameter | Value |
|---|---|---|---|
| 9.17 | |||
| 0.12 | 16 | ||
| 1671 | |||
| 118 | 3.5 | ||
| 1270 | 2.65 |
| Researcher | u* (m/s) | h (m) | Diameter (mm) | hf/d | Density (g/cm3) | Bed Type | Materials | Number |
|---|---|---|---|---|---|---|---|---|
| Lee and Hsu (1994) [8] | 0.04–0.11 | 0.04–0.12 | 1.36,2.47 | 26–88 | 2.640 | Fixed | sand | Isolate |
| Niño and García (1994) [12] | 0.14–0.23 | 0.07–0.15 | 15,31 | 2.6–4 | 2.650 | Movable | sand | A little |
| Niño and García (1998) [9] | 0.02–0.05 | 0.04–0.12 | 0.5 | 53–96 | 2.650 | Fixed | sand | A little |
| Lee et al. (2000) [18] | 0.03–0.05 | 0.05 | 6 | 8.3 | 2.080–2.380 | Fixed | sand | Isolate |
Publisher’s Note: MDPI stays neutral with regard to jurisdictional claims in published maps and institutional affiliations. |
© 2022 by the authors. Licensee MDPI, Basel, Switzerland. This article is an open access article distributed under the terms and conditions of the Creative Commons Attribution (CC BY) license (https://creativecommons.org/licenses/by/4.0/).
Share and Cite
Zhang, B.; Deng, A.; Wang, D.; Shi, Y.; Dong, X. Numerical Analysis of Motion Characteristics of Sliding or Rolling and Saltation of Sediment Particles under Turbulent Flow. Water 2022, 14, 1506. https://doi.org/10.3390/w14091506
Zhang B, Deng A, Wang D, Shi Y, Dong X. Numerical Analysis of Motion Characteristics of Sliding or Rolling and Saltation of Sediment Particles under Turbulent Flow. Water. 2022; 14(9):1506. https://doi.org/10.3390/w14091506
Chicago/Turabian StyleZhang, Bangwen, Anjun Deng, Dangwei Wang, Yang Shi, and Xianyong Dong. 2022. "Numerical Analysis of Motion Characteristics of Sliding or Rolling and Saltation of Sediment Particles under Turbulent Flow" Water 14, no. 9: 1506. https://doi.org/10.3390/w14091506
APA StyleZhang, B., Deng, A., Wang, D., Shi, Y., & Dong, X. (2022). Numerical Analysis of Motion Characteristics of Sliding or Rolling and Saltation of Sediment Particles under Turbulent Flow. Water, 14(9), 1506. https://doi.org/10.3390/w14091506

