Detection and Quantification of Dam Leakages Based on Tracer Tests: A Field Case Study
Abstract
1. Introduction
2. Theoretical Background
2.1. Natural Tracer
2.2. Singe Borehole Dilution Tests
2.3. The Effect of Using EC
3. Materials and Methods
3.1. Dam Engineering and Geological Background
3.2. Field Test Methods
3.2.1. Natural Tracers
3.2.2. Injection Tracer
3.2.3. Single Borehole Dilution Tests
4. Results
4.1. Natural Tracer
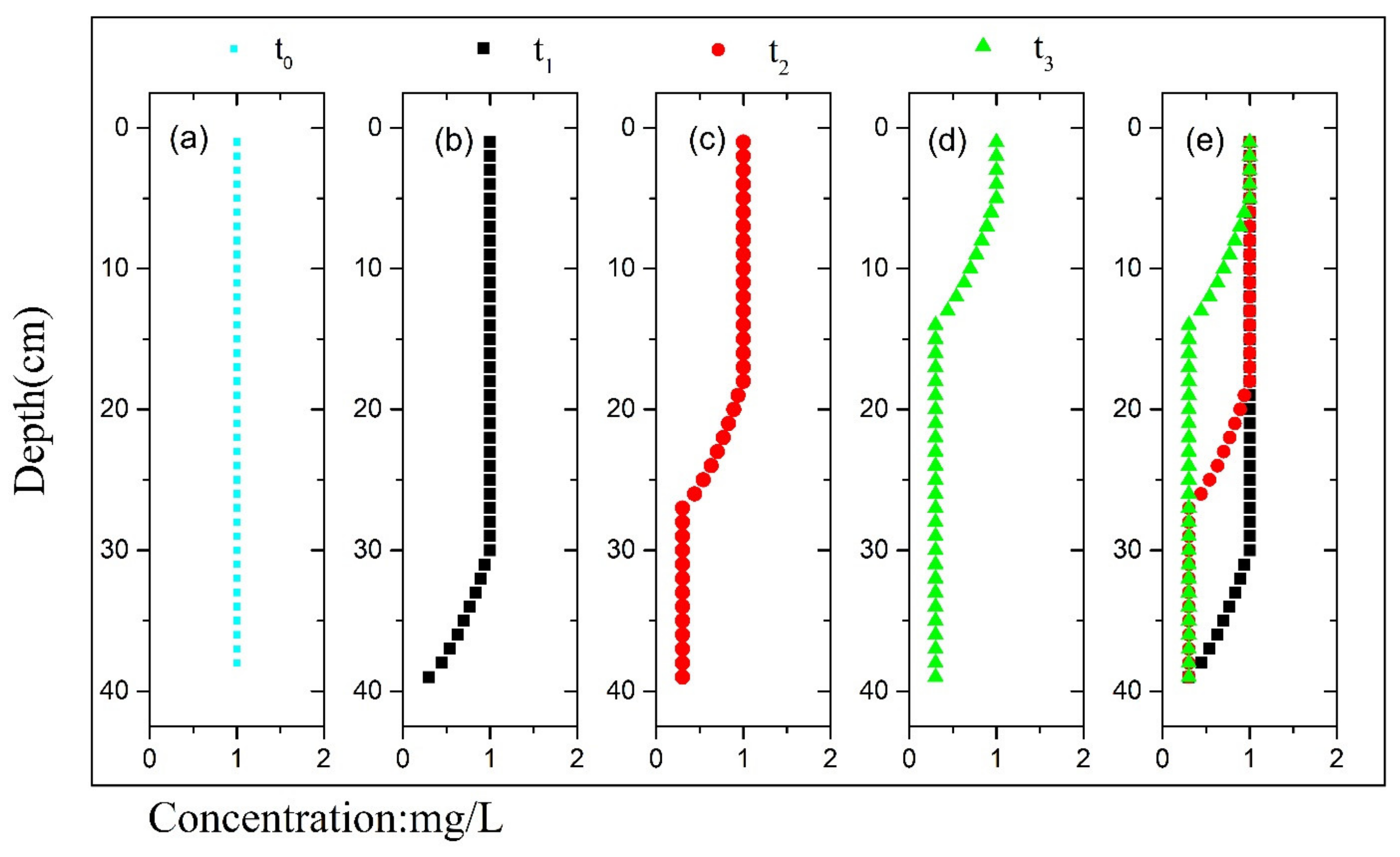
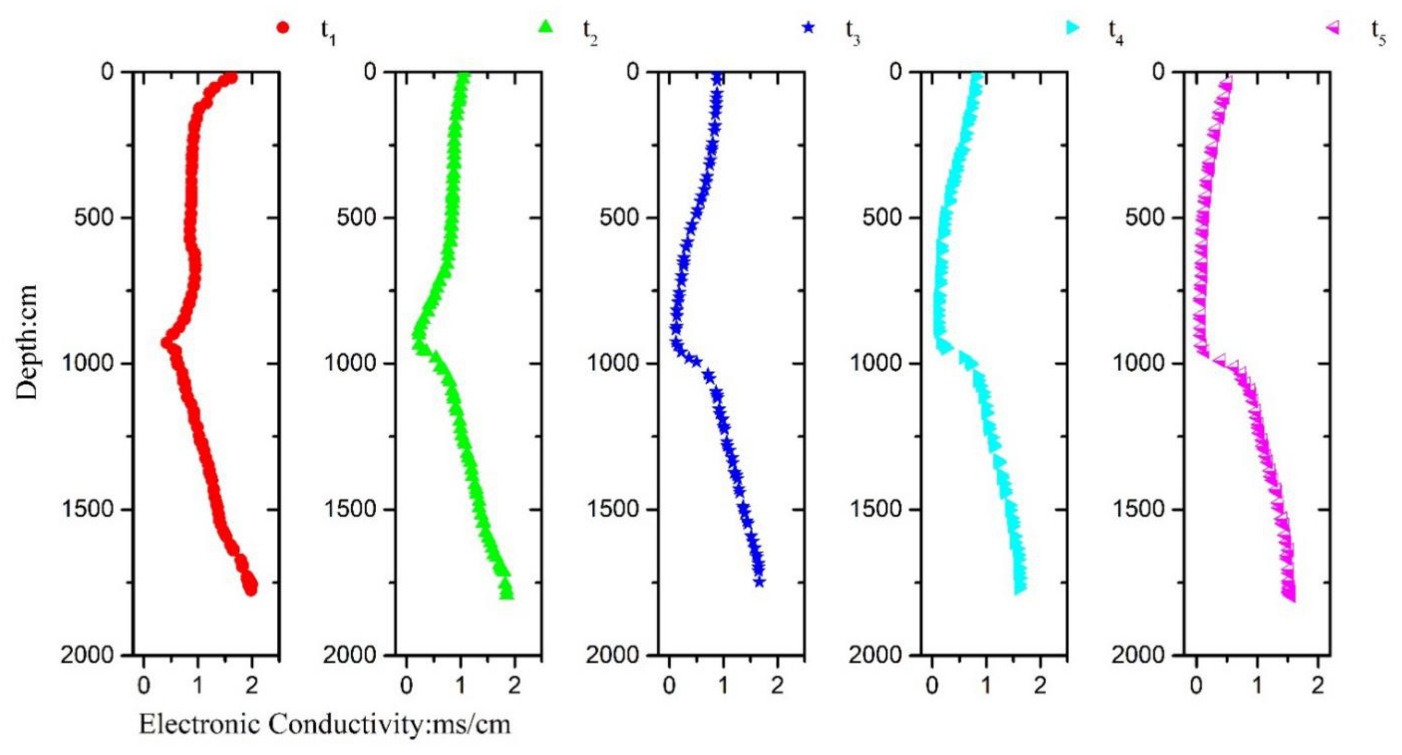
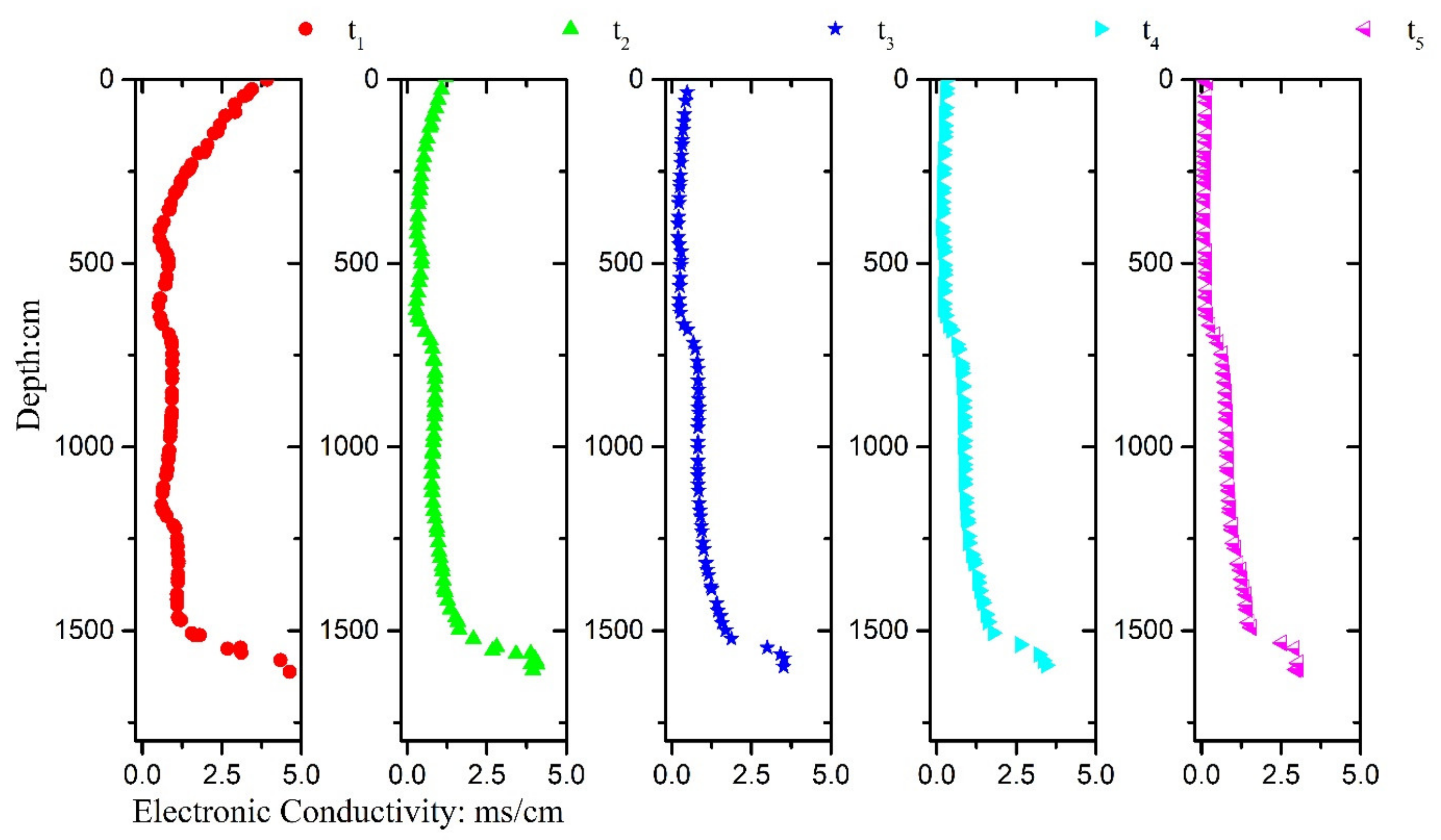
4.2. Single Borehole Dilution Tests
4.3. Validation
5. Discussion
6. Conclusions
- (1)
- The natural tracer test is an effective method for detecting the leakage of hydraulic engineering structures such as dams. In this study, the leakage path of a borehole is located by the temperature profiles. The EC of boreholes is too low to analyze, but it also provides background value for SBDT. Hence, it is recommended that the tracer test coupled well-logging technique can detect or investigate leakage problems;
- (2)
- Based on background value, SBDT has good performance on locating and quantifying leakage than conventional tracer methods. Specifically, SBDT locates an extra leakage path in P9-12, which is not apparent in the natural temperature profile. The results of SBDT were also validated by the natural tracer test, and field observations;
- (3)
- The proposed SBDT method is successful in calculating the range of mean vertical velocity in open boreholes, which demonstrates its feasibility. Based on the proposed method, the quantitative comparison of leakage severity between two boreholes is possible;
- (4)
- Although the present study provides interesting findings, the proposed SBDT method still requires further improvement. To this end, future directions, including quantitative validation, and 2-D and 3-D modelling were highlighted. In addition, there is a need to adapt the method to enable it to estimate the specific range of vertical velocities, and whether or not such velocities are consistent with field observations.
Supplementary Materials
Author Contributions
Funding
Institutional Review Board Statement
Informed Consent Statement
Data Availability Statement
Acknowledgments
Conflicts of Interest
References
- Lehner, B.; Liermann, C.R.; Revenga, C.; Vörömsmarty, C.; Fekete, B.; Crouzet, P.; Döll, P.; Endejan, M.; Frenken, K.; Magome, J.; et al. High-Resolution Mapping of the World’s Reservoirs and Dams for Sustainable River-Flow Management. Front. Ecol. Environ. 2011, 9, 494–502. [Google Scholar] [CrossRef]
- Ikard, S.J.; Revil, A.; Schmutz, M.; Karaoulis, M.; Jardani, A.; Mooney, M. Characterization of Focused Seepage Through an Earthfill Dam Using Geoelectrical Methods. Groundwater 2014, 52, 952–965. [Google Scholar] [CrossRef] [PubMed]
- Minsley, B.J.; Burton, B.L.; Ikard, S.; Powers, M.H. Hydrogeophysical Investigations at Hidden Dam, Raymond, California. J. Environ. Eng. Geophys. 2011, 16, 145–164. [Google Scholar] [CrossRef][Green Version]
- Demanet, D.; Jongmans, D. Seismic Tomography Survey under the La Gileppe Dam. Geol. Soc. Eng. Geol. Spec. Publ. 1997, 12, 175–182. [Google Scholar] [CrossRef]
- Di Prinzio, M.; Bittelli, M.; Castellarin, A.; Pisa, P.R. Application of GPR to the Monitoring of River Embankments. J. Appl. Geophys. 2010, 71, 53–61. [Google Scholar] [CrossRef]
- Xu, X.; Zeng, Q.; Li, D.; Wu, J.; Wu, X.; Shen, J. GPR Detection of Several Common Subsurface Voids inside Dikes and Dams. Eng. Geol. 2010, 111, 31–42. [Google Scholar] [CrossRef]
- Al-Fares, W. Contribution of the Geophysical Methods in Characterizing the Water Leakage in Afamia B Dam, Syria. J. Appl. Geophys. 2011, 75, 464–471. [Google Scholar] [CrossRef]
- Bièvre, G.; Lacroix, P.; Oxarango, L.; Goutaland, D.; Monnot, G.; Fargier, Y. Integration of Geotechnical and Geophysical Techniques for the Characterization of a Small Earth-Filled Canal Dyke and the Localization of Water Leakage. J. Appl. Geophys. 2017, 139, 1–15. [Google Scholar] [CrossRef]
- Bair, E.S.; Parizek, R.R. Detection of Permeability Variations by a Shallow Geothermal Technique. Groundwater 1978, 16, 254–263. [Google Scholar] [CrossRef]
- Wang, T.; Chen, J.; Li, P.; Yin, Y.; Shen, C. Natural Tracing for Concentrated Leakage Detection in a Rockfill Dam. Eng. Geol. 2019, 249, 1–12. [Google Scholar] [CrossRef]
- Gubareva, T.S.; Boldeskul, A.G.; Gartsman, B.I.; Shamov, V. V Analysis of Natural Tracers and Genetic Runoff Components in Mixing Models: Case Study of Small Basins in Primor’e. Water Resour. 2016, 43, 629–639. [Google Scholar] [CrossRef]
- Hilberg, S. Review: Natural Tracers in Fractured Hard-Rock Aquifers in the Austrian Part of the Eastern Alps—Previous Approaches and Future Perspectives for Hydrogeology in Mountain Regions. Hydrogeol. J. 2016, 24, 1091–1105. [Google Scholar] [CrossRef]
- Mudarra, M.; Andreo, B.; Marín, A.I.; Vadillo, I.; Barberá, J.A. Combined Use of Natural and Artificial Tracers to Determine the Hydrogeological Functioning of a Karst Aquifer: The Villanueva Del Rosario System (Andalusia, Southern Spain). Hydrogeol. J. 2014, 22, 1027–1039. [Google Scholar] [CrossRef]
- Robert, T.; Caterina, D.; Deceuster, J.; Kaufmann, O.; Nguyen, F. A Salt Tracer Test Monitored with Surface ERT to Detect Preferential Flow and Transport Paths in Fractured/Karstified Limestones. Geophysics 2012, 77, B55–B67. [Google Scholar] [CrossRef]
- Ravbar, N.; Barberá, J.A.; Petrič, M.; Kogovšek, J.; Andreo, B. The Study of Hydrodynamic Behaviour of a Complex Karst System under Low-Flow Conditions Using Natural and Artificial Tracers (the Catchment of the Unica River, SW Slovenia). Environ. Earth Sci. 2012, 65, 2259–2272. [Google Scholar] [CrossRef]
- Yilmaz, S.; Koksoy, M. Electrical Resistivity Imaging and Dye Tracer Test for the Estimation of Water Leakage Paths from Reservoir of Akdeğirmen Dam in Afyonkarahisar, Turkey. Environ. Earth Sci. 2017, 76, 829. [Google Scholar] [CrossRef]
- Poulsen, D.L.; Cook, P.G.; Simmons, C.T.; McCallum, J.M.; Noorduijn, S.L.; Dogramaci, S. A Constant Rate Salt Tracer Injection Method to Quantify Pumped Flows in Long-Screened or Open Borehole Wells. J. Hydrol. 2019, 574, 408–420. [Google Scholar] [CrossRef]
- Binet, S.; Joodi, A.; Joigneaux, E.; Albéric, P.; Gutierrez, A. Localisation of a Reactive Transport Zone in a Saturated Karstic Conduit Deduced from Natural and Artificial Tracer Tests. In Advances in Research in Karst Media; Andreo, B., Carrasco, F., Durán, J.J., LaMoreaux, J.W., Eds.; Springer: Berlin/Heidelberg, Germany, 2010; pp. 123–129. ISBN 978-3-642-12486-0. [Google Scholar]
- Lee, J.-Y.; Kim, H.-S.; Choi, Y.-K.; Kim, J.-W.; Cheon, J.-Y.; Yi, M.-J. Sequential Tracer Tests for Determining Water Seepage Paths in a Large. Eng. Geol. 2007, 89, 300–315. [Google Scholar] [CrossRef]
- Maurice, L.; Barker, J.A.; Atkinson, T.C.; Williams, A.T.; Smart, P.L. A Tracer Methodology for Identifying Ambient Flows in Boreholes. Ground Water 2011, 49, 227–238. [Google Scholar] [CrossRef]
- Huang, Y.; Hou, X.; Fu, Z.; Wang, J. Detection of Leakage Paths at the Wanyao Dam Body in Southwest China by Hydrochemical Analysis and Tracer Testing. Environ. Earth Sci. 2018, 77, 791. [Google Scholar] [CrossRef]
- Medici, G.; West, L.J. Groundwater Flow Velocities in Karst Aquifers; Importance of Spatial Observation Scale and Hydraulic Testing for Contaminant Transport Prediction. Environ. Sci. Pollut. Res. 2021, 28, 43050–43063. [Google Scholar] [CrossRef] [PubMed]
- Pitrak, M.; Mares, S.; Kobr, M. A Simple Borehole Dilution Technique in Measuring Horizontal Ground Water Flow. Groundwater 2007, 45, 89–92. [Google Scholar] [CrossRef] [PubMed]
- Maurice, L.D.; Atkinson, T.C.; Barker, J.A.; Williams, A.T.; Gallagher, A.J. The Nature and Distribution of Flowing Features in a Weakly Karstified Porous Limestone Aquifer. J. Hydrol. 2012, 438–439, 3–15. [Google Scholar] [CrossRef]
- Dong, H.; Chen, J.; Li, X. Delineation of Leakage Pathways in an Earth and Rockfill Dam Using Multi-Tracer Tests. Eng. Geol. 2016, 212, 136–145. [Google Scholar] [CrossRef]
- Jamin, P.; Goderniaux, P.; Bour, O.; Le Borgne, T.; Englert, A.; Longuevergne, L.; Brouyère, S. Contribution of the Finite Volume Point Dilution Method for Measurement of Groundwater Fl Uxes in a Fractured Aquifer. J. Contam. Hydrol. 2015, 182, 244–255. [Google Scholar] [CrossRef]
- Maldaner, C.H.; Munn, J.D.; Coleman, T.I.; Molson, J.W.; Parker, B.L. Groundwater Flow Quantification in Fractured Rock Boreholes Using Active Distributed Temperature Sensing Under Natural Gradient Conditions. Water Resour. Res. 2019, 55, 3285–3306. [Google Scholar] [CrossRef]
- Agbotui, P.Y.; West, L.J.; Bottrell, S.H. Characterisation of Fractured Carbonate Aquifers Using Ambient Borehole Dilution Tests. J. Hydrol. 2020, 589, 125191. [Google Scholar] [CrossRef]
- Fahrmeier, N.; Goeppert, N.; Goldscheider, N. Comparative Application and Optimization of Different Single-Borehole Dilution Test Techniques. Hydrogeol. J. 2020, 29, 199–211. [Google Scholar] [CrossRef]
- Maldaner, C.H.; Quinn, P.M.; Cherry, J.A.; Parker, B.L. Improving Estimates of Groundwater Velocity in a Fractured Rock Borehole Using Hydraulic and Tracer Dilution Methods. J. Contam. Hydrol. 2018, 214, 75–86. [Google Scholar] [CrossRef]
- Gomo, M. Effects of Artefacts on Natural Gradient Single-Borehole Tracer Dilution Tests. Nat. Resour. Res. 2020, 29, 2227–2235. [Google Scholar] [CrossRef]
- Lewis, A.S.; Lucchetti, R.E. Nonsmooth Duality, Sandwich, and Squeeze Theorems. SIAM J. Control Optim. 2000, 38, 613–626. [Google Scholar] [CrossRef][Green Version]
- Balk, M.; Bose, M.; Ertem, G.; Rogoff, D.A.; Rothschild, L.J.; Freund, F.T. Oxidation of Water to Hydrogen Peroxide at the Rock–Water Interface Due to Stress-Activated Electric Currents in Rocks. Earth Planet. Sci. Lett. 2009, 283, 87–92. [Google Scholar] [CrossRef]
- Walter, D.; Dietmar, K.; Arnd, K.; Heribert, M.; Ferdinand, N.; Werner, R. Point Dilution Methods of Investigating Ground Water Flow by Means of Radioisotopes. Water Resour. Res. 1968, 4, 125–146. [Google Scholar]
- Brouyère, S.; Batlle-aguilar, J.; Goderniaux, P.; Dassargues, A. A New Tracer Technique for Monitoring Groundwater Fluxes: The Finite Volume Point Dilution Method. J. Contam. Hydrol. 2008, 95, 121–140. [Google Scholar] [CrossRef] [PubMed]
- Kolesnikova, L.N. Guidebook on Nuclear Techniques in Hydrology. At. Energ. 1984, 57, 413–414. [Google Scholar]
- Lewis, E. The Practical Salinity Scale 1978 and Its Antecedents. IEEE J. Ocean. Eng. 1980, 5, 3–8. [Google Scholar] [CrossRef]
- Widodo, C.S.; Sela, H.; Santosa, D.R. The Effect of NaCl Concentration on the Ionic NaCl Solutions Electrical Impedance Value Using Electrochemical Impedance Spectroscopy Methods. AIP Conf. Proc. 2018, 2021, 050003. [Google Scholar] [CrossRef]
- Lide, D.R. CRC Handbook of Chemistry and Physics; CRC Press: Boca Raton, FL, USA, 2004; Volume 85. [Google Scholar]










| Hydraulic Behavior Class | Borehole Numbers |
|---|---|
| Class 1: High Connectivity on Whole Borehole | P3-6, P4-5, P9-7 |
| Class 2: high connectivity on specific depths | P3-8, P3-12, P3-13, P4-1, P4-2, P9-6, P9-9, P9-10, P9-11, P9-12, P9-13 |
| Class 3: weaken connectivity | P4-3, P4-4, P4-6, P4-7, P4-8, P4-9, P4-10, P4-11, P4-12, P8-2 |
| Class 4: safe boreholes with no obvious connectivity | P3-1, P3-2, P3-3, P3-4, P3-5, P3-9, P3-10, P3-11, P8-1, P8-3, P8-4, P8-5, P8-6, P9-1, P9-2, P9-3, P9-4, P9-5, P9-8, P10-1, P10-2, P10-3, P10-4 |
| Boreholes | Test | Lower Limit of Velocity: cm/s | Upper Limit of Velocity: cm/s | Mean Velocity: cm/s | Stand Deviation: | Overall Mean of Tests: cm/s |
|---|---|---|---|---|---|---|
| P9-9 (Class 2) | 1 | 0.20 | 0.28 | 0.24 | 0.04 | 0.255 |
| 2 | 0.26 | 0.28 | 0.27 | 0.01 | ||
| 3 | 0.21 | 0.22 | 0.215 | 0.005 | ||
| 4 | 0.27 | 0.32 | 0.295 | 0.025 | ||
| P9-12 (Class 2) | 1 | 0.17 | 0.71 | 0.44 | 0.27 | 0.505 |
| 2 | 0.27 | 0.82 | 0.545 | 0.275 | ||
| 3 | 0.38 | 0.71 | 0.545 | 0.165 | ||
| 4 | 0.37 | 0.61 | 0.49 | 0.12 |
Publisher’s Note: MDPI stays neutral with regard to jurisdictional claims in published maps and institutional affiliations. |
© 2022 by the authors. Licensee MDPI, Basel, Switzerland. This article is an open access article distributed under the terms and conditions of the Creative Commons Attribution (CC BY) license (https://creativecommons.org/licenses/by/4.0/).
Share and Cite
Qiu, H.; Hu, R.; Huang, Y.; Gwenzi, W. Detection and Quantification of Dam Leakages Based on Tracer Tests: A Field Case Study. Water 2022, 14, 1448. https://doi.org/10.3390/w14091448
Qiu H, Hu R, Huang Y, Gwenzi W. Detection and Quantification of Dam Leakages Based on Tracer Tests: A Field Case Study. Water. 2022; 14(9):1448. https://doi.org/10.3390/w14091448
Chicago/Turabian StyleQiu, Huiyang, Rui Hu, Yong Huang, and Willis Gwenzi. 2022. "Detection and Quantification of Dam Leakages Based on Tracer Tests: A Field Case Study" Water 14, no. 9: 1448. https://doi.org/10.3390/w14091448
APA StyleQiu, H., Hu, R., Huang, Y., & Gwenzi, W. (2022). Detection and Quantification of Dam Leakages Based on Tracer Tests: A Field Case Study. Water, 14(9), 1448. https://doi.org/10.3390/w14091448

