Semi-Analytical Model for the Evaluation of Shoreline Recession Due to Waves and Sea Level Rise
Abstract
:1. Introduction
2. Theory
2.1. Beach Profile Erosion
2.2. Emerged Breakwaters
2.3. Submerged Breakwaters
3. Materials and Methods—Semi-Analytical Model
- m0, the linear slope of the submerged beach profile, equal to 1/100;
- hp, the water depth at which the beach slope changes equal to 2 m;
- α, the inner and the outer slope of the breakwaters equal to 1/2;
- κ, the breaking index equal to 0.78;
- Z, the maximum level of the emerged beach equal to 3 m.
- (H0, T), the offshore wave characteristics;
- S0, the offshore sea level rise;
- ht, the water depth at the offshore toe of the structure;
- (Rc, B), the geometrical characteristics of the structure;
- m, the linear slope of the emerged and the weakly submerged beach profile.
3.1. Description of the Model
- The initial sea level rise S0 is added to the mean sea level and the breaking parameters are computed by following the procedure of Dean [7] with the equations reported in Section 3.1. First the values of J and are computed with the offshore wave height to calculate the offshore wave set-up according to Equation (3).
- A check on the breaking condition is needed; if the structure is placed at a small water depth, the highest waves could break before reaching it and, thus, their heights are reduced. The total water depth at the toe of the structure will be ht + S0 + where is the value of the previously calculated offshore wave set-up () in correspondence with the external toe of the structure. Hence, the maximum incident wave in correspondence with the structure is computed as κ(ht + S0 + ) and the updated water level as S1 = S0 + .
- At this stage, the effect of the structure is considered; a new value of the effective submergence is computed as Rc,1 = Rc − S1 (note that Rc is negative for submerged breakwaters).
- If the breakwater emerged and kept emerging (Rc,1 > 0), the transmission coefficient is computed at the current section of the structure (Equations (6) and (7)). If it becomes submerged, the piling-up effect (Equation (8)) is also added to the wave transmission.
- If the breakwater is submerged, it always remains submerged because only the increase in sea level is considered in this study. Therefore, its presence influences the water level through the piling-up and the wave height with the transmission coefficient.
- The wave is now reduced to Ht because of the transmission, and the sea level is increased to S = S1 + P0, with P0 = 0 when no piling-up effect is considered.
- With these updated values of water level and wave characteristics, the wave set-up is computed again (Equation (3)).
- The beach profile erosion is numerically computed by the application of the bisection method. Equation (4) is written in its implicit form and, for each of the two first attempt values of Δy, the integrals are numerically solved. The result consists of two opposite sign solutions. In the following step, the value of Δy that gives the largest result (in absolute value) is replaced by the mean value of the previous step and the integration is repeated. The procedure continues until the convergence of the solution is reached and the two values of Δy differ less than 10−5 m.
- If the water level of the maximum set-up added to the sea level S is larger than the top level of the emerged beach Z, the result is omitted.
4. Results
4.1. Free Beach
4.2. Breakwaters
- In the first subchapters of the present section, the main effects of each parameter on the shoreline recession are studied. This is achieved by assigning a constant and typical value to the other parameters;
- Based on the considerations obtained from the previous point, a global behavior is then studied with respect to the free beach case.
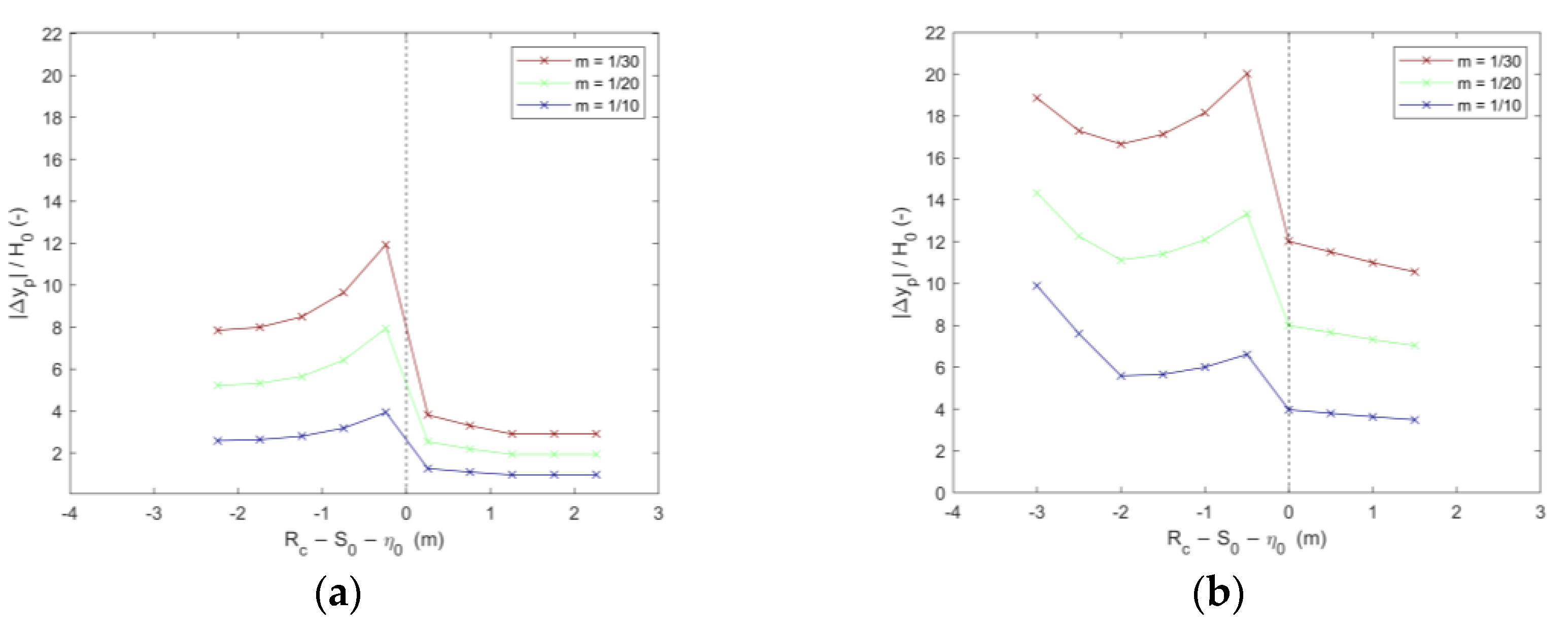
4.2.1. Freeboard (Rc)
4.2.2. Effect of the Main Parameters (B, ht, T, and m)
4.3. Shoreline Recession of Protected Beaches
4.3.1. Emerged Breakwaters
4.3.2. Submerged Breakwaters
5. Discussion and Conclusions
Author Contributions
Funding
Data Availability Statement
Conflicts of Interest
List of Symbols and Abbreviations
| α | inner and outer slope of the breakwaters |
| Δy | beach profile recession |
| Δyf | free beach profile recession |
| Δyp | beach profile recession in presence of breakwaters |
| (y) | wave set-up |
| offshore set-up | |
| wave set-down | |
| κ | breaking index |
| ξ | Iribarren parameter |
| A(d50) | scale parameter for equilibrium beach profile computation |
| B | width of the berm of the breakwaters |
| CVB | Calabrese-Vicinanza-Buccino method for piling-up computation |
| d50 | mean sediment diameter |
| Ed | energy dissipated by the breakwater |
| Ef | energy transmitted over the breakwater by filtration |
| Ei | incoming energy from waves |
| Eo | energy transmitted over the breakwater by overtopping |
| Er | energy reflected by the breakwater |
| G | parameter involved in piling-up computation |
| h* | breaking depth in the initial profile |
| h(y) | water depth at a distance y from the shoreline |
| hb | breaking depth in the final profile |
| hm | average water depth in the surf zone over the breakwater |
| hm0 | average water depth in the surf zone over the breakwater in absence of piling-up |
| hp | water depth at which the profile changes its slope |
| ht | water depth at the toe of the breakwater |
| H0 | offshore wave height |
| H1 | wave height at the toe of the structure |
| Hb | wave height at the breaker |
| Hi | incident wave height |
| Hmax | maximum allowed wave height at the toe of the structure |
| Hm0i | incident significant wave height |
| Ht | transmitted wave height |
| J | constant depending on the breaking parameter κ |
| k | wave number |
| Kt | transmission coefficient |
| L | wave length |
| Lg | width of the gap between two breakwaters |
| Ls | width of the breakwater |
| m0 | offshore slope of the beach profile |
| m | inner slope of the beach profile |
| P0 | static piling-up |
| approximate static piling-up | |
| Rc | freeboard of the breakwater |
| Rc,1 | effective freeboard of the breakwater |
| s.w.l. | still water level |
| S0 | offshore water level variation with respect to s.w.l. |
| S1 | water level variation at the toe of the structure |
| S | water level variation in correspondence with the shoreline |
| T | wave period |
| W* | distance of the breaking point from the shoreline |
| xb | horizontal distance between the breaking point on the slope of the breakwater and the seaward crest edge |
| y | distance from the shoreline |
| ys | distance of the breakwaters from the shoreline |
| Z | emerged beach berm height |
References
- IPCC. Climate Change 2021: The Physical Science Basis; Contribution of Working Group I to the Sixth Assessment Report of the Intergovernmental Panel on Climate Change; Cambridge University Press: Cambridge, UK, 2021. [Google Scholar]
- van Gent, M.R.A. Climate Adaptation of Coastal Structures. In Proceedings of the SCACR19—9th Short Course/Conference on Applied Coastal Research, Bari, Italy, 9–11 September 2019; pp. 1–8. [Google Scholar]
- Toimil, A.; Losada, I.J.; Nicholls, R.J.; Dalrymple, R.A.; Stive, M.J.F. Addressing the Challenges of Climate Change Risks and Adaptation in Coastal Areas: A Review. Coast. Eng. 2020, 156, 1860–1870. [Google Scholar] [CrossRef]
- Bruun, P. The Bruun Rule of Erosion by Sea-Level Rise: A Discussion on Large-Scale Two-and Three-Dimensional Usages. J. Coast. Res. 1988, 4, 627–648. [Google Scholar]
- Bruun, P. Sea-Level Rise as a Cause of Shore Erosion. J. Waterw. Harb. Div. 1962, 88, 117–130. [Google Scholar] [CrossRef]
- Bruun, P. Coast Erosion and the Development of Beach Profiles; US Beach Erosion Board: Washington, DC, USA, 1954; Volume 44. [Google Scholar]
- Dean, R.G. Equilibrium Beach Profiles: Characteristics and Applications. J. Coast. Res. 1991, 7, 53–84. [Google Scholar]
- Dean, R.G. Equilibrium Beach Profiles: US Atlantic and Gulf Coasts; Ocean engineering technical report, no. 12; Department of Civil Engineering and College of Marine Studies, University of Delaware: Newark, NJ, USA, 1977. [Google Scholar]
- Li, Y.; Zhang, C.; Chen, D.; Zheng, J.; Sun, J.; Wang, P. Barred Beach Profile Equilibrium Investigated with a Process-Based Numerical Model. Cont. Shelf Res. 2021, 222, 104432. [Google Scholar] [CrossRef]
- Kriebel, D.L.; Kraus, N.C.; Larson, M. Engineering Methods for Predicting Beach Profile Response. In Proceedings of the Coastal Sediments, New Orleans, LA, USA, 13–17 May 2007; pp. 557–571. [Google Scholar]
- Dean, R.G.; Houston, J.R. Determining Shoreline Response to Sea Level Rise. Coast. Eng. 2016, 114, 1–8. [Google Scholar] [CrossRef]
- Larson, M.; Kraus, N.C. SBEACH: Numerical Model for Simulating Storm-Induced Beach Change. Report 1. Empirical Foundation and Model Development; Coastal Engineering Research Center: Vicksburg, MS, USA, 1989. [Google Scholar]
- Roelvink, D.; Reniers, A.; van Dongeren, A.; de Vries, J.T.; McCall, R.; Lescinski, J. Modelling Storm Impacts on Beaches, Dunes and Barrier Islands. Coast. Eng. 2009, 56, 1133–1152. [Google Scholar] [CrossRef]
- Kobayashi, N. Coastal Sediment Transport Modeling for Engineering Applications. J. Waterw. Port Coast. Ocean. Eng. 2016, 142, 03116001. [Google Scholar] [CrossRef]
- Kit, E.; Pelinovsky, E. Dynamical Models for Cross-Shore Transport and Equilibrium Bottom Profiles. J. Waterw. Port Coast. Ocean. Eng. 1998, 124, 138–146. [Google Scholar] [CrossRef]
- Marini, F.; Mancinelli, A.; Corvaro, S.; Rocchi, S.; Lorenzoni, C. Coastal Submerged Structures Adaptation to Sea Level Rise over Different Beach Profiles. Ital. J. Eng. Geol. Environ. 2020, 1, 81–92. [Google Scholar]
- Dean, R.G.; Dalrymple, R.A. Coastal Processes with Engineering Applications; Cambridge University Press: Cambridge, UK, 2004. [Google Scholar]
- Bowen, A.; Inman, D.; Simmons, V. Wave ‘Set-down’and Set-Up. J. Geophys. Res. 1968, 73, 2569–2577. [Google Scholar] [CrossRef]
- van der Meer, J.W.; Briganti, R.; Zanuttigh, B.; Wang, B. Wave Transmission and Reflection at Low-Crested Structures: Design Formulae, Oblique Wave Attack and Spectral Change. Coast. Eng. 2005, 52, 915–929. [Google Scholar] [CrossRef]
- Lara, J.L.; Garcia, N.; Losada, I.J. RANS Modelling Applied to Random Wave Interaction with Submerged Permeable Structures. Coast. Eng. 2006, 53, 395–417. [Google Scholar] [CrossRef]
- Zhang, C.; Li, Y.; Zheng, J.; Xie, M.; Shi, J.; Wang, G. Parametric Modelling of Nearshore Wave Reflection. Coast. Eng. 2021, 169, 103978. [Google Scholar] [CrossRef]
- Buccino, M.; Calabrese, M. Conceptual Approach for Prediction of Wave Transmission at Low-Crested Breakwaters. J. Waterw. Port Coast. Ocean. Eng. 2007, 133, 213–224. [Google Scholar] [CrossRef]
- Zanuttigh, B.; Martinelli, L. Transmission of Wave Energy at Permeable Low Crested Structures. Coast. Eng. 2008, 55, 1135–1147. [Google Scholar] [CrossRef]
- Briganti, R.; van der Meer, J.; Buccino, M.; Calabrese, M. Wave Transmission Behind Low-Crested Structures. In Proceedings of the Coastal Structures 2003, Portland, OR, USA, 26-30 August 2003; pp. 580–592. [Google Scholar] [CrossRef]
- d’Angremond, K.; van der Meer, J.; De Jong, R.J. Wave Transmission at Low-Crested Structures. In Proceedings of the ICCE, Orlando, FL, USA, 2–6 September 1996; pp. 3305–3318. [Google Scholar]
- Archetti, R.; Gaeta, M.G. Design of Multipurpose Coastal Protection Measures at the Reno River Mouth (Italy). In Proceedings of the International Offshore and Polar Engineering Conference, Sapporo, Japan, 10–15 June 2018; pp. 1343–1348. [Google Scholar]
- Soldini, L.; Lorenzoni, C.; Piattella, A.; Mancinelli, A.; Brocchini, M. Nearshore Macrovortices Generated at a Submerged Breakwater: Experimental Investigation and Statistical Modeling. In Proceedings of the 29th International Conference on Coastal Engineering, Lisbon, Portugal, 19–24 September 2004; pp. 1380–1392. [Google Scholar] [CrossRef]
- Lorenzoni, C.; Mancinelli, A.; Postacchini, M.; Mattioli, M.; Soldini, L.; Corvaro, S. Experimental Tests on Sandy Beach Model Protected by Low-Crested Structures. In Proceedings of the 4th International Short Conference on Applied Coastal Research (SCACR), Barcelona, Spain, 15–17 June 2009; pp. 310–322. [Google Scholar]
- Calabrese, M.; Vicinanza, D.; Buccino, M. 2D Wave Set up behind Low-Crested and Submerged Breakwaters. In Proceedings of the 3th International Offshore and Polar Engineering Conference, Honolulu, HI, USA, 25–30 May 2003; pp. 831–836. [Google Scholar]
- Calabrese, M.; Vicinanza, D.; Buccino, M. 2D Wave Setup behind Submerged Breakwaters. Ocean. Eng. 2008, 35, 1015–1028. [Google Scholar] [CrossRef]
- Kamphuis, J.W. Incipient Wave Breaking. Coast. Eng. 1991, 15, 185–203. [Google Scholar] [CrossRef]
- Battjes, J.A.; Stive, M.J.F. Calibration and Verification of a Dissipation Model for Random Breaking Waves. J. Geophys. Res. 1985, 90, 9159. [Google Scholar] [CrossRef]
- Apotsos, A.; Raubenheimer, B.; Elgar, S.; Guza, R.T. Testing and Calibrating Parametric Wave Transformation Models on Natural Beaches. Coast. Eng. 2008, 55, 224–235. [Google Scholar] [CrossRef] [Green Version]
- Zhang, C.; Li, Y.; Cai, Y.; Shi, J.; Zheng, J.; Cai, F.; Qi, H. Parameterization of Nearshore Wave Breaker Index. Coast. Eng. 2021, 168, 103914. [Google Scholar] [CrossRef]












| H0 (m) | T (s) | S0 (m) | ht (m) | Rc (m) | B (m) | m (-) |
|---|---|---|---|---|---|---|
| 2.0:0.5:5.0 | 7:2:13 | 0:0.2:2.4 | 2.5:0.5:5.0 | −2.0:0.5:2.5 | 3:5:23 | 1/10; 1/20; 1/30 |
Publisher’s Note: MDPI stays neutral with regard to jurisdictional claims in published maps and institutional affiliations. |
© 2022 by the authors. Licensee MDPI, Basel, Switzerland. This article is an open access article distributed under the terms and conditions of the Creative Commons Attribution (CC BY) license (https://creativecommons.org/licenses/by/4.0/).
Share and Cite
Marini, F.; Corvaro, S.; Rocchi, S.; Lorenzoni, C.; Mancinelli, A. Semi-Analytical Model for the Evaluation of Shoreline Recession Due to Waves and Sea Level Rise. Water 2022, 14, 1305. https://doi.org/10.3390/w14081305
Marini F, Corvaro S, Rocchi S, Lorenzoni C, Mancinelli A. Semi-Analytical Model for the Evaluation of Shoreline Recession Due to Waves and Sea Level Rise. Water. 2022; 14(8):1305. https://doi.org/10.3390/w14081305
Chicago/Turabian StyleMarini, Francesco, Sara Corvaro, Stefania Rocchi, Carlo Lorenzoni, and Alessandro Mancinelli. 2022. "Semi-Analytical Model for the Evaluation of Shoreline Recession Due to Waves and Sea Level Rise" Water 14, no. 8: 1305. https://doi.org/10.3390/w14081305
APA StyleMarini, F., Corvaro, S., Rocchi, S., Lorenzoni, C., & Mancinelli, A. (2022). Semi-Analytical Model for the Evaluation of Shoreline Recession Due to Waves and Sea Level Rise. Water, 14(8), 1305. https://doi.org/10.3390/w14081305

