Research on Water Resources Allocation System Based on Rational Utilization of Brackish Water
Abstract
:1. Introduction
2. Material and Method
2.1. Study Area
2.2. Optimal Water Resources Allocation System
2.2.1. Model Data Parameter Database
- Data input: it mainly includes hydrological data, social and economic data, river (canal) system network, river (canal) basic information, calculation unit information, basic information of hydraulic engineering, basin unit information, etc.
- Model parameters: they mainly include the discharge capacity, evaporation and leakage coefficients, etc., of river, canal system and drainage channel, sewage discharge rate and reuse rate, upper and lower limit coefficients of annual and monthly exploitation of groundwater supply, and evaporation, leakage, and into-river proportion coefficient of irrigation canal system of calculation unit.
- Water resources allocation system network diagram: its main function is to master the relationship among surface water, groundwater, external diverted water and unconventional water and urban life, rural life, agriculture, industry and tertiary industry, ecology and environment, and to clarify the supply, consumption and discharge of water resources among society, economy and ecological environment. It is an important basis for building the water resources allocation model [31]. The drawing principle of the water resources allocation network diagram is water balance principle, that is, any node on the diagram must conform to Equation (1):
2.2.2. Water Resources Supply and Demand Prediction Module
2.2.3. Water Resources Allocation Module
- Social benefit goal
- 2.
- Economic benefit goal
- 3.
- Ecological environment benefit goal
- 4.
- Final goal
- 5.
- Constraints
2.2.4. Groundwater Numerical Simulation Module
3. Results and Discussion
3.1. Establishment of Groundwater Numerical Model
3.1.1. Stratigraphic Structure Generalization
3.1.2. Generalization of Aquifer Boundary Conditions
- Lateral boundary conditions.
- 2.
- Vertical boundary generalization.
3.1.3. Determination of Hydrogeological Parameter Partitions and Initial Values
3.1.4. Construction and Solution of Numerical Model
- Spatial subdivision.
- 2.
- Initial flow field.
- 3.
- Processing of source and sink items.
3.1.5. Model Identification and Verification
3.2. Prediction Results of Social and Economic Development and Water Demands
3.2.1. Analysis and Prediction of Water Supply
3.2.2. Prediction of Social and Economic Development
3.2.3. Prediction of Water Demand
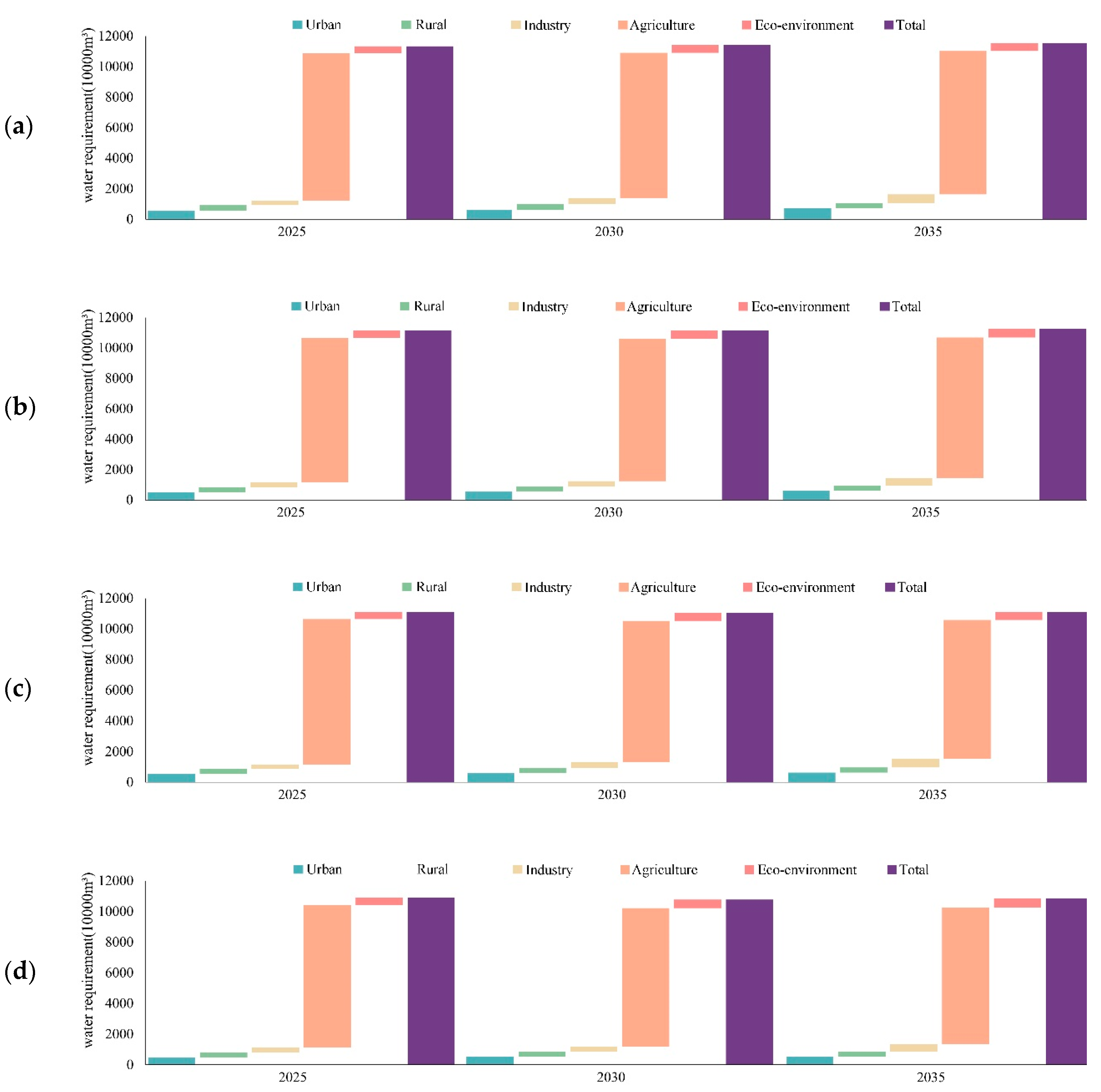
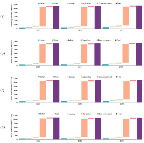
3.3. Analysis of Optimal Water Resource Allocation Results
4. Discussion
4.1. Results of Brackish Water Allocated According to Industry under the Recommended Scheme
4.2. Analysis on Variation Characteristics of Brackish Water Level under Recommended Scheme
5. Conclusions
- (1)
- This paper proposes an optimal water resources allocation system integrating model data parameter database, water resources supply and demand prediction module, groundwater numerical simulation module and water resources allocation module, expounds the principle of coordinated work among all modules and the relationship between data input and output, and puts forward a method for predicting the change of brackish water level under the allocation scheme by groundwater numerical simulation.
- (2)
- Taking the brackish water resources that are easy to develop and rich in reserves in unconventional water sources as the key allocation object, this paper takes the brackish water resource as the independent water source, aims to meet the comprehensive optimization of social, economic and ecological environmental benefits, and takes the water quantity balance and supply–demand balance as constraints, so as to construct the water resources allocation model based on the rational utilization of brackish water. Then it obtains the quantity of brackish water resources supplied to agricultural irrigation and industrial production of each calculation unit in the planning target year, so as to realize accurate water resources allocation.
- (3)
- This paper applies the water resources allocation system to Guantao County, Handan City. Through scheme comparison, the medium scheme is finally selected as the optimal allocation scheme. Under this scheme, in 2030, the brackish water agricultural area of Nanxu Village, the brackish water agricultural Chaibao area 2 and the industrial area of Guantao Town will achieve the balance between supply and demand of water resources. Compared with the current year, the overall water shortage in the study area is decreased by 4.493 × 106 m³. Meanwhile, under the recommended scheme, the brackish water level in the study area will drop by 12.69 m in 2035. Therefore, while alleviating the tension of water supply of local conventional water sources, it also reduces soil salinization and realizes the coordinated development of society, economy, and ecology in the study area.
Author Contributions
Funding
Institutional Review Board Statement
Informed Consent Statement
Data Availability Statement
Acknowledgments
Conflicts of Interest
References
- Foster, S.S.D.; Perry, C.J. Improving groundwater resource accounting in irrigated areas: A prerequisite for promoting sustainable use. Hydrogeol. J. 2010, 18, 291–294. [Google Scholar] [CrossRef]
- Cheng, B.; Li, H.; Yue, S.; Huang, K. A conceptual decision-making for the ecological base flow of rivers considering the economic value of ecosystem services of rivers in water shortage area of Northwest China. J. Hydrol. 2019, 578, 124126. [Google Scholar] [CrossRef]
- Wang, Y.; Liu, L.; Guo, P.; Zhang, C.; Zhang, F.; Guo, S. An inexact irrigation water allocation optimization model under future climate change. Stoch. Env. Res. Risk A 2019, 33, 271–285. [Google Scholar] [CrossRef]
- Pacheco-Martínez, J.; Hernandez-Marín, M.; Burbey, T.J.; González-Cervantes, N.; Ortíz-Lozano, J.Á.; Zermeño-De-Leon, M.E.; Solís-Pinto, A. Land subsidence and ground failure associated to groundwater exploitation in the Aguascalientes Valley, México. Eng. Geol. 2013, 164, 172–186. [Google Scholar] [CrossRef]
- Lu, Z.; Wei, Y.; Xiao, H.; Zou, S.; Ren, J.; Lyle, C. Trade-offs between midstream agricultural production and downstream ecological sustainability in the Heihe River basin in the past half century. Agr. Water Manag. 2015, 152, 233–242. [Google Scholar] [CrossRef]
- Kapetas, L.; Kazakis, N.; Voudouris, K.; McNicholl, D. Water allocation and governance in multi-stakeholder environments: Insight from Axios Delta, Greece. Sci. Total Environ. 2019, 695, 133831. [Google Scholar] [CrossRef] [PubMed]
- Wang, T.; Liu, Y.; Wang, Y.; Xie, X.; You, J. A Multi-Objective and Equilibrium Scheduling Model Based on Water Resources Macro Allocation Scheme. Water Resour. Manag. 2019, 33, 3355–3375. [Google Scholar] [CrossRef]
- Liu, D.; Guo, S.; Liu, P.; Zou, H.; Hong, X. Rational Function Method for Allocating Water Resources in the Coupled Natural-Human Systems. Water Resour. Manag. 2019, 33, 57–73. [Google Scholar] [CrossRef]
- Abdulbaki, D.; Al-Hindi, M.; Yassine, A.; Najm, M.A. An optimization model for the allocation of water resources. J. Clean Prod. 2017, 164, 994–1006. [Google Scholar] [CrossRef]
- Minsker., B.S.; Padera, B.; Smalley, J.B. Efficient methods for including uncertainty and multiple objectives in water resources management models using genetic algorithms. In Proceedings of the XIII International Conference on Computational Methods in Water Resources, Calgary, AB, Canada, 25–29 June 2000; pp. 567–572. [Google Scholar]
- Rosegrant, M.W.; Ringler, C.; McKinney, D.C.; Cai, X.; Keller, A.; Donoso, G. Integrated economic-hydrologic water modeling at the basin scale: The Maipo river basin. Agr. Econ. 2000, 24, 33–46. [Google Scholar]
- Chen, S.; Shao, D.; Gu, W.; Xu, B.; Li, H.; Fang, L. An interval multistage water allocation model for crop different growth stages under inputs uncertainty. Agr. Water Manag. 2017, 186, 86–97. [Google Scholar] [CrossRef]
- Zhang, Y.Q. Research on water resources allocation in irrigation area under artificial fish swarm algorithm. Water Resour. Plan. Des. 2016, 7, 42–44. [Google Scholar]
- Hou, J.; Sun, Y.; Sun, J. Optimal Allocation of Water Resources Based onthe Multi-Objective Fish-Ant Colony Algorithm. Resour. Sci. 2011, 33, 2255–2261. [Google Scholar]
- Li, Y.; Zhao, T.; Wang, P.; Gooi, H.B.; Wu, L.; Liu, Y.; Ye, J. Optimal Operation of Multimicrogrids via Cooperative Energy and Reserve Scheduling. IEEE Trans. Ind. Inform. 2018, 14, 3459–3468. [Google Scholar] [CrossRef]
- Afshar, A.; Shojaei, N.; Sagharjooghifarahani, M. Multiobjective Calibration of Reservoir Water Quality Modeling Using Multiobjective Particle Swarm Optimization (MOPSO). Water Resour. Manag. 2013, 27, 1931–1947. [Google Scholar] [CrossRef]
- Abolpour, B.; Javan, M.; Karamouz, M. Water allocation improvement in river basin using Adaptive Neural Fuzzy Reinforcement Learning approach. Appl. Soft Comput. 2007, 7, 265–285. [Google Scholar] [CrossRef] [Green Version]
- Li, J.; Song, S.; Ayantobo, O.O.; Wang, H.; Liang, J.; Zhang, B. Coordinated allocation of conventional and unconventional water resources considering uncertainty and different stakeholders. J. Hydrol. 2022, 605, 127293. [Google Scholar] [CrossRef]
- Mooselu, M.G.; Nikoo, M.R.; Latifi, M.; Sadegh, M.; Al-Wardy, M.; Al-Rawas, G.A. A multi-objective optimal allocation of treated wastewater in urban areas using leader-follower game. J. Clean. Prod. 2020, 267, 122189. [Google Scholar] [CrossRef]
- Gao, J.; Li, C.; Zhao, P.; Zhang, H.; Mao, G.; Wang, Y. Insights into water-energy cobenefits and trade-offs in water resource management. J. Clean. Prod. 2019, 213, 1188–1203. [Google Scholar] [CrossRef]
- Yang, S.Q. Prediction and Research of Water-Soil Environment Effect Under Light-Saline Water Irrigation Based on Visual MODFLOW and SWAP Coupling Model in Arid Area Inner Mongolia Agricultural University. Ph.D. Thesis, Inner Mongolia Agricultural University, Hohhot, China, 2005. [Google Scholar]
- Liu, Y.; Fu, G. Utilization of Gentle Salty Water Resource in China. Geogr. Geo-Inf. Sci. 2004, 20, 57–60. [Google Scholar]
- Shao, J. Optimization of Unconventional Water Resources in Yinchuan City Based on Comprehensive Utillization; Ningxia University: Ningxia, China, 2017. [Google Scholar]
- Dutt, R.G.; Pennington, D.A.; Turner, F. Irrigation as a Solution to Salinity Problems of River Systems. In Salinity in Watercourses and Reservoirs; Ann Arbor Science: Ann Arbor, MI, USA, 1984; pp. 465–472. [Google Scholar]
- Wang, J.; Shan, Y. Review of Research Development on Water and Soil Regulation with Brackish Water Irrigation. Trans. Chin. Soc. Agric. Mach. 2015, 46, 117–126. [Google Scholar]
- Wu, Z.; Wang, J. Effect on Both SoilI nfiltration Characteristics and Ion Mobility Features by Mineralization Degree of Infiltration Water. Trans. Chin. Soc. Agric. Mach. 2010, 41, 64–69. [Google Scholar]
- Phogat, V.; Yadav, A.K.; Malik, R.S.; Kumar, S.; Cox, J. Simulation of salt and water movement and estimation of water productivity of rice crop irrigated with saline water. Paddy Water Environ. 2010, 8, 333–346. [Google Scholar] [CrossRef]
- Chen, X.; Yang, J.; Yang, C. Irrigation-drainage management and hydro-salinity balance in Weigan River Irrigation District. Trans. Chin. Soc. Agric. Eng. 2008, 4, 59–65. [Google Scholar]
- Pang, H.C.; Li, Y.Y.; Yang, J.S.; Liang, Y.S. Effect of brackish water irrigation and straw mulching on soil salinity and crop yields under monsoonal climatic conditions. Agr. Water Manag. 2010, 97, 1971–1977. [Google Scholar] [CrossRef]
- Liu, Y.; Feng, Y.; Huang, J. Effects of modifiers on saline soil salt distribution under brackish water irrigation conditions. Agric. Res. Arid. Areas 2015, 33, 146–152. [Google Scholar]
- Wei, J.; Wang, H. Network diagram of regional water resource allocation system. J. Hydraul. Eng. 2007, 9, 1103–1108. [Google Scholar]
- Wei, C.; Han, J.; Han, S. Key Technologies and Demonstrations for Optimal Allocation of All Elements of River Basin/Regional Water Resources; China Water Power Press: Beijing, China, 2012. [Google Scholar]
- Zhang, Y.; Shen, Y.; Wang, Y. Distribution characteristics and exploitation of brackish water in hebei Plain. J. Agric. Resour. Environ. 2009, 26, 29–33. [Google Scholar]












| Number | Name | Definition | Number | Name | Definition |
|---|---|---|---|---|---|
| (5) | Local surface water supplies the urban water supply | (3) | External water supply for agricultural production | ||
| (5) | Local surface water supplies industrial production | (3) | External water supply rural water supply | ||
| (5) | Local surface water supplies water to the ecological environment | (3) | External water supply rural water supply | ||
| (5) | Local surface water supplies agricultural production | (3) | Brackish water supplies water for agriculture | ||
| (5) | Local surface water supplies rural water supply | (5) | Sewage treatment and reuse supply industrial production water | ||
| (5) | Groundwater supplies water to cities and towns | (5) | Sewage treatment and reuse supply ecological environment | ||
| (5) | Groundwater supplies water for industrial production | (6) | Urban life is short of water | ||
| (5) | Groundwater supplies water to the ecological environment | (6) | Industrial production is short of water | ||
| (5) | Groundwater supplies water for agricultural production | (6) | The ecological environment is short of water | ||
| (5) | Groundwater supplies water for rural life | (6) | Agricultural production is short of water | ||
| (5) | External water supply urban living water | (6) | Agricultural production is short of water | ||
| (5) | External water supply for industrial production | (7) | Lakes and wetlands are short of water | ||
| (5) | External water supply ecological environment water |
| Parameters/District | Ⅰ | Ⅱ | Ⅲ | Ⅳ |
|---|---|---|---|---|
| K (m/d) | 1.5 | 1.2 | 2.0 | 3.5 |
| μ | 0.1 | 0.08 | 0.07 | 0.12 |
| Monitoring Wells | MAE/m | RMSE/m |
|---|---|---|
| Houshiyu | 0.2473 | 0.3240 |
| Houfudu | 0.2974 | 0.3842 |
| Xucunxiang | 0.2836 | 0.3574 |
| Fangzhaixiang | 0.2127 | 0.2926 |
| Development Plan | Moderate Water -Saving Scenario | Strengthen Water-Saving Scenarios |
|---|---|---|
| High growth | Scheme Ⅰ | Scheme Ⅱ |
| Moderate growth | Scheme Ⅲ | Scheme Ⅳ |
| Horizontal Year | Plan | Water Supply | Water Consumption | Water Shortage | ||||||||||
|---|---|---|---|---|---|---|---|---|---|---|---|---|---|---|
| Water Demand | Surface Water | Groundwater | Brackish Water | Wastewater Reuse | Transfer Water | Total | Town Life | Rural Life | Industrial Production | Agricultural Production | Ecological Environment Replenishment | |||
| 2019 | / | 114.057 | 37.560 | 30.816 | 7.000 | 0.164 | 3.853 | 79.392 | 5.625 | 3.022 | 1.962 | 66.266 | 2.518 | 34.665 |
| 2025 | low | 106.099 | 34.917 | 28.638 | 9.000 | 0.192 | 4.727 | 77.473 | 5.122 | 2.384 | 2.512 | 63.950 | 3.505 | 28.621 |
| middle | 106.633 | 33.142 | 28.651 | 9.000 | 0.135 | 4.655 | 75.584 | 4.051 | 1.660 | 2.065 | 64.578 | 3.230 | 31.049 | |
| high | 114.874 | 38.047 | 30.482 | 9.000 | 0.256 | 4.765 | 82.549 | 5.774 | 2.603 | 2.783 | 67.766 | 3.623 | 32.313 | |
| 2030 | low | 104.886 | 34.613 | 28.330 | 10.000 | 0.224 | 4.761 | 77.927 | 5.787 | 2.242 | 3.136 | 62.841 | 3.921 | 26.954 |
| middle | 106.454 | 33.467 | 27.911 | 10.000 | 0.134 | 4.770 | 76.282 | 4.578 | 1.622 | 2.413 | 64.105 | 3.564 | 30.172 | |
| high | 113.757 | 36.520 | 29.648 | 10.000 | 0.266 | 4.808 | 81.643 | 6.672 | 2.383 | 3.675 | 64.867 | 4.047 | 32.105 | |
| 2035 | low | 105.761 | 35.807 | 27.055 | 12.000 | 0.337 | 4.761 | 79.959 | 6.373 | 2.166 | 4.546 | 62.697 | 4.177 | 25.792 |
| middle | 106.643 | 34.526 | 26.170 | 12.000 | 0.223 | 4.703 | 77.622 | 5.017 | 1.516 | 3.373 | 63.904 | 3.812 | 29.014 | |
| high | 115.291 | 38.303 | 28.907 | 12.000 | 0.431 | 4.816 | 84.457 | 7.611 | 2.110 | 5.680 | 64.696 | 4.360 | 30.837 | |
| Unit | Water Supply | Water Consumption | Water Shortage | ||||||||||
|---|---|---|---|---|---|---|---|---|---|---|---|---|---|
| Water Demand | Surface Water | Groundwater | Brackish Water | Wastewater Reuse | Transfer Water | Total | Town Life | Rural Life | Industrial Production | Agricultural Production | Ecological Environment Replenishment | ||
| Luqiao Brackish Water Agriculture Zone 1 | 4.826 | 2.711 | 0.749 | 0.661 | 0.000 | 0.166 | 4.287 | 0.042 | 0.039 | 0.000 | 4.206 | 0.000 | 0.539 |
| Luqiao Brackish Water Agriculture Second District | 11.209 | 5.359 | 3.571 | 1.306 | 0.000 | 0.368 | 10.604 | 0.114 | 0.106 | 0.000 | 9.916 | 0.468 | 0.605 |
| Weisengzhai Brackish Water Agriculture District No. 1 | 7.456 | 3.366 | 1.908 | 1.359 | 0.000 | 0.302 | 6.935 | 0.141 | 0.093 | 0.357 | 6.344 | 0.000 | 0.521 |
| Weisengzhai Brackish Water Agriculture Second District | 6.916 | 0.871 | 1.617 | 0.351 | 0.000 | 0.084 | 2.923 | 0.147 | 0.096 | 0.000 | 2.412 | 0.268 | 3.993 |
| Brackish Water Agricultural Area of Nanxu Village | 5.186 | 0.466 | 3.918 | 0.575 | 0.002 | 0.225 | 5.186 | 0.503 | 0.284 | 0.012 | 4.183 | 0.204 | 0.000 |
| Chaibao Freshwater Agricultural Area | 4.548 | 1.665 | 0.603 | 0.000 | 0.000 | 0.450 | 2.718 | 0.081 | 0.044 | 0.057 | 2.535 | 0.000 | 1.830 |
| Chaibao Brackish Water Agriculture District I | 6.150 | 2.365 | 0.468 | 0.824 | 0.000 | 0.181 | 3.838 | 0.071 | 0.039 | 0.000 | 3.729 | 0.000 | 2.312 |
| Chaibao Brackish Water Agriculture Second District | 5.296 | 3.140 | 0.852 | 1.094 | 0.000 | 0.210 | 5.296 | 0.083 | 0.045 | 0.000 | 5.096 | 0.072 | 0.000 |
| Shoushan Temple Industrial Zone | 3.297 | 0.711 | 0.304 | 0.000 | 0.000 | 0.262 | 1.277 | 0.161 | 0.006 | 0.155 | 0.955 | 0.000 | 2.020 |
| Shoushan Temple Water-saving Agricultural Area | 11.686 | 1.733 | 4.027 | 0.000 | 0.000 | 0.351 | 6.111 | 0.011 | 0.070 | 0.012 | 5.908 | 0.110 | 5.575 |
| Guantao Town Ecological Zone | 4.603 | 0.994 | 0.417 | 0.115 | 0.089 | 0.490 | 2.105 | 0.489 | 0.031 | 0.274 | 0.985 | 0.326 | 2.498 |
| Guantao Town Agricultural District | 4.834 | 3.053 | 0.698 | 0.353 | 0.015 | 0.334 | 4.453 | 0.791 | 0.044 | 0.587 | 2.438 | 0.593 | 0.381 |
| Guantao Town Industrial Zone | 4.401 | 2.677 | 0.846 | 0.472 | 0.015 | 0.391 | 4.401 | 0.896 | 0.045 | 0.823 | 1.841 | 0.796 | 0.000 |
| Fangzhai Brackish Water Agriculture Zone 1 | 4.403 | 0.992 | 1.023 | 0.585 | 0.004 | 0.165 | 2.769 | 0.155 | 0.117 | 0.000 | 2.432 | 0.065 | 1.634 |
| Fangzhai Brackish Water Agriculture Second District | 6.620 | 1.090 | 2.260 | 0.643 | 0.006 | 0.228 | 4.227 | 0.238 | 0.186 | 0.000 | 3.708 | 0.095 | 2.393 |
| Wangqiao Brackish Water Agriculture District 1 | 3.763 | 0.782 | 0.374 | 0.572 | 0.000 | 0.155 | 1.883 | 0.167 | 0.091 | 0.040 | 1.466 | 0.119 | 1.880 |
| Wangqiao Brackish Water Agriculture Second District | 11.260 | 1.492 | 4.276 | 1.090 | 0.003 | 0.408 | 7.269 | 0.488 | 0.286 | 0.096 | 5.951 | 0.448 | 3.991 |
| Total | 106.454 | 33.467 | 27.911 | 10.000 | 0.134 | 4.770 | 76.282 | 4.578 | 1.622 | 2.413 | 64.105 | 3.564 | 30.172 |
Publisher’s Note: MDPI stays neutral with regard to jurisdictional claims in published maps and institutional affiliations. |
© 2022 by the authors. Licensee MDPI, Basel, Switzerland. This article is an open access article distributed under the terms and conditions of the Creative Commons Attribution (CC BY) license (https://creativecommons.org/licenses/by/4.0/).
Share and Cite
Zhang, D.; Xie, X.; Wang, T.; Wang, B.; Pei, S. Research on Water Resources Allocation System Based on Rational Utilization of Brackish Water. Water 2022, 14, 948. https://doi.org/10.3390/w14060948
Zhang D, Xie X, Wang T, Wang B, Pei S. Research on Water Resources Allocation System Based on Rational Utilization of Brackish Water. Water. 2022; 14(6):948. https://doi.org/10.3390/w14060948
Chicago/Turabian StyleZhang, Dasheng, Xinmin Xie, Ting Wang, Boxin Wang, and Shasha Pei. 2022. "Research on Water Resources Allocation System Based on Rational Utilization of Brackish Water" Water 14, no. 6: 948. https://doi.org/10.3390/w14060948
APA StyleZhang, D., Xie, X., Wang, T., Wang, B., & Pei, S. (2022). Research on Water Resources Allocation System Based on Rational Utilization of Brackish Water. Water, 14(6), 948. https://doi.org/10.3390/w14060948
