Influence of Production Strategy on Gross Waste Output and Temporal Pattern of Gilthead Seabream (Sparus Aurata) Farming: Implications for Environmental Management
Abstract
:1. Introduction
2. Materials and Methods
2.1. Waste Output Modelling
2.2. Simulation Conditions
3. Results
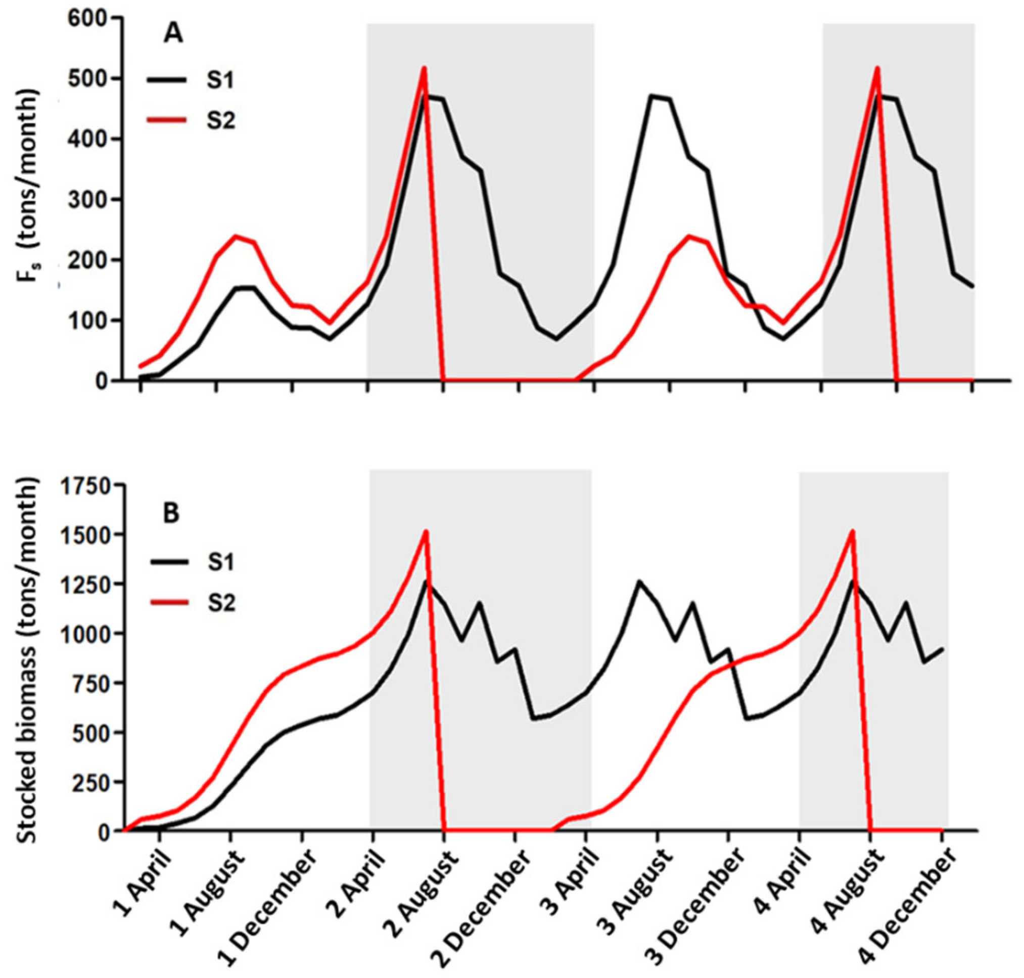
3.1. Feed Supplied and Stocked Biomass
3.2. Gross Waste Output
3.3. Waste Output Temporal Pattern
4. Discussion
Supplementary Materials
Author Contributions
Funding
Institutional Review Board Statement
Informed Consent Statement
Data Availability Statement
Conflicts of Interest
References
- Food and Agriculture Organization (FAO). The State of World Fisheries and Aquaculture 2018—Meeting the Sustainable Development Goals; FAO: Rome, Italy, 2018; Available online: http://www.fao.org/3/i9540en/i9540en.pdf (accessed on 22 October 2021).
- Ahmed, N.; Thompson, S. The blue dimensions of aquaculture: A global synthesis. Sci. Total Environ. 2019, 652, 851–861. [Google Scholar] [CrossRef] [PubMed]
- Food and Agriculture Organization (FAO). FAO’s Blue Growth Initiative and aquaculture. In Proceedings of the Eight Session of the Committee on Fisheries, Sub-Committee on Aquaculture (COFI:AQ/VIII/2015/7), Brasilia, Brazil, 5–9 October 2015. Available online: http://www.fao.org/3/a-i5191t.pdf (accessed on 22 October 2021).
- Food and Agriculture Organization (FAO). The 2030 Agenda and the Sustainable Development Goals: The Challenge for Aquaculture Development and Management; FIAA/C1141; FAO Fisheries and Aquaculture: Rome, Italy, 2017; Available online: http://www.fao.org/cofi/38663-0a3e5c407f3fb23a0e1a3a4fa62d7420c.pdf (accessed on 22 October 2021).
- Gasca-Leyva, E.; León, C.J.; Hernández, J.M.; Vergara, J.M. Bioeconomic analysis of production location of sea bream (Sparus aurata) cultivation. Aquaculture 2002, 213, 219–232. [Google Scholar] [CrossRef]
- APROMAR. Informe La Acuicultura en España 2019. 2019. Available online: http://apromar.es/sites/default/files/2019/InformeAcui/APROMAR%20Informe%20ACUICULTURA%202019%20v-1-2.pdf (accessed on 1 April 2021).
- Massa, F.; Onofri, L.; Fezzardi, D. Aquaculture in the Mediterranean and Black Sea: A Blue Growth perspective. In Handbook of the Economics and Management of Sustainable Oceans; Social and Political Science Collection; Nunes, P.A.L.D., Svensson, L.E., Markandya, A., Eds.; Edward Elgar Publishing: Cheltenham, UK, 2017; Chapter 4; pp. 93–123. [Google Scholar]
- Federation of European Aquaculture Producers (FEAP). Annual Report 2017. 2017. Available online: https://issuu.com/feapsec/docs/feap_ar2017 (accessed on 22 October 2021).
- Carroll, M.L.; Cochrane, S.; Fieler, R.; Velvin, R.; White, P. Organic enrichment of sediments from salmon farming in Norway: Environmental factors, management practices, and monitoring techniques. Aquaculture 2003, 226, 165–180. [Google Scholar] [CrossRef]
- Black, K.; Hansen, P.K.; Holmer, M. Salmon Aquaculture Dialogue: Working Group Report on Benthic Impacts and Farm Sitting. 2008, p. 53. Available online: https://www.researchgate.net/publication/228874660_Salmon_Aquaculture_Dialogue_Working_Group_Report_on_Benthic_Impacts_and_Farm_Siting (accessed on 22 October 2021).
- Werkman, M.; Green, D.M.; Murray, A.G.; Turnbull, J.F. The effectiveness of fallowing strategies in disease control in salmon aquaculture assessed with an SIS model. Prev. Vet. Med. 2011, 98, 64–73. [Google Scholar] [CrossRef] [Green Version]
- Ellis, T.; Turnbull, J.F.; Knowles, T.G.; Lines, J.A.; Auchterlonie, N.A. Trends during development of Scottish salmon farming: An example of sustainable intensification? Aquaculture 2016, 458, 82–99. [Google Scholar] [CrossRef] [Green Version]
- Marine Harvest. Salmon Farming Industry Handbook. 2018, p. 113. Available online: http://marineharvest.no/globalassets/investors/handbook/2018-salmon-industry-handbook.pdf (accessed on 22 October 2021).
- Aguado-Giménez, F.; Piedecausa, M.A.; Gutiérrez, J.M.; García-Charton, J.A.; Belmonte, A.; García-García, B. Benthic recovery after fish farming cessation: A “beyond-BACI” approach. Mar. Pollut. Bull. 2012, 64, 729–738. [Google Scholar] [CrossRef]
- Zhulay, I.; Reiss, K.; Reiss, H. Effects of aquaculture fallowing on the recovery of macrofauna communities. Mar. Pollut. Bull. 2015, 97, 381–390. [Google Scholar] [CrossRef]
- García-García, B.; Rosique-Jiménez, C.; Aguado-Giménez, F.; García-García, J. Life cycle assessment of gilthead seabream (Sparus aurata) production in offshore fish farms. Sustainability 2016, 8, 1228–1237. [Google Scholar] [CrossRef] [Green Version]
- García-García, B.; Rosique-Jiménez, C.; Aguado-Giménez, F.; García-García, J. Life cycle assessment of seabass (Dicentrarchus labrax) produced in offshore fish farms: Variability and multiple regression analysis. Sustainability 2019, 11, 3523. [Google Scholar] [CrossRef] [Green Version]
- Ballester-Moltó, M.; Sánchez-Jerez, P.; Cerezo-Valverde, J.; Aguado-Giménez, F. Particulate waste outflow from fish farming cages. How much is uneaten feed? Mar. Poll. Bull. 2017, 119, 23–30. [Google Scholar] [CrossRef]
- Bureau, D.P.; Hua, K. Towards effective nutritional management of waste outputs in aquaculture, with particular reference to salmonid aquaculture operations. Aquac. Res. 2010, 41, 777–792. [Google Scholar] [CrossRef]
- Aguado-Giménez, F. Practical Recommendations to Improve Feed Supply in Gilthead Seabream (Sparus aurata) On-Growing in Floating Cages; Training and Technology Transfer Service—Council of Water, Agriculture, Livestock and Fisheries—Autonomous Community of the Region of Murcia: Murcia, Spain, 2019; p. 49. Available online: http://www.carm.es/web/pagina?IDCONTENIDO=63006&IDTIPO=100&RASTRO=c2889$m58245,58256 (accessed on 16 April 2021). (In Spanish)
- Aguado-Giménez, F. Effect of Feed Delivery Rate and Pellet Size on Rearing Performance, Feed Wastage and Economic Profitability in Gilthead Seabream (Sparus aurata) Ongrowing. Water 2020, 12, 954. [Google Scholar] [CrossRef] [Green Version]
- Sanchez-Jerez, P.; Karakassis, I.; Massa, F.; Fezzardi, D.; Aguilar-Manjarrez, J.; Soto, D.; Chapela, R.; Avila, P.; Macias, J.C.; Tomassetti, P.; et al. Aquaculture’s struggle for space: The need for coastal spatial planning and the potential benefits of Allocated Zones for Aquaculture (AZAs) to avoid conflict and promote sustainability. Aquac. Environ. Interact. 2016, 8, 41–54. [Google Scholar] [CrossRef] [Green Version]
- Fernandes, T.F.; Eleftheriou, A.; Ackefors, H.; Eleftheriou, M.; Ervik, A.; Sanchez-Mata, A.; Scanlon, T.; White, P.; Cochrane, S.; Pearson, T.H.; et al. Read The scientific principles underlying the monitoring of the environmental impacts of aquaculture. J. Appl. Ichthyol. 2001, 17, 181–193. [Google Scholar] [CrossRef]
- White, K.; O’Neill, B.; Tzankova, Z. At a Crossroads: Will Aquaculture Fulfill the Promise of the Blue Revolution? Aquaculture Clearinghouse Report. 2004. Available online: https://www.researchgate.net/publication/255584452_At_a_Crossroads_Will_Aquaculture_Fulfill_the_Promise_of_the_Blue_Revolution (accessed on 22 October 2021).
- Aguado-Gimenez, F.; Garcia-Garcia, B.; Hernandez-Lorente, M.D.; Cerezo-Valverde, J. Gross metabolic waste output estimates using a nutritional approach in Atlantic bluefin tuna (Thunnus thynnus) under intensive fattening conditions in western Mediterranean Sea. Aquac. Res. 2006, 37, 1254–1258. [Google Scholar] [CrossRef]
- Cho, C.Y.; Bureau, D.P. Development of bioenergetic models and the Fish-PrFEQ software to estimate production, feeding ration and waste output in aquaculture. Aquat. Living Resour. 1998, 11, 199–210. [Google Scholar] [CrossRef]
- Lupatsch, I.; Kissil, G.W. Predicting aquaculture waste from gilthead seabream (Sparus aurata) culture using a nutritional approach. Aquat. Living Resour. 1998, 11, 265–268. [Google Scholar] [CrossRef]
- Piedecausa, M.A.; Aguado-Giménez, F.; Cerezo Valverde, J.; Hernández, M.D.; García García, B. Simulating the temporal pattern of waste production in farmed gilthead seabream (Sparus aurata), European seabass (Dicentrarchus labrax) and Atlantic bluefin tuna (Thunnus thynnus). Ecol. Model. 2010, 221, 634–640. [Google Scholar] [CrossRef]
- Martins, C.I.M.; Galhardo, L.; Noble, C.; Damsgård, B.; Spedicato, M.T.; Zupa, W.; Beauchaud, M.; Kulczykowska, E.; Massabuau, J.-C.; Carter, T.; et al. Behavioural indicators of welfare in farmed fish. Fish Physiol. Biochem. 2012, 38, 17–41. [Google Scholar] [CrossRef] [Green Version]
- Andrew, J.E.; Anras, M.L.B.; Kadri, S.; Holm, J.; Huntingford, F.A. Feeding Responses of Hatchery-Reared Gilthead Sea Bream (Sparus aurata L.) to a Commercial Diet and Natural Prey Items. Mar. Freshw. Behav. Physiol. 2003, 36, 77–86. [Google Scholar] [CrossRef] [Green Version]
- Andrew, J.E.; Holm, J.; Huntingford, F.A. The effect of pellet texture on the feeding behaviour of gilthead sea bream (Sparus aurata L.). Aquaculture 2004, 232, 471–479. [Google Scholar] [CrossRef]
- Ballester-Moltó, M.; Sánchez-Jerez, P.; García-García, B.; García-García, J.; Cerezo-Valverde, J.; Aguado-Giménez, F. Controlling feed losses by chewing in gilthead sea bream (Sparus aurata) ongrowing may improve the fish farming environmental sustainability. Aquaculture 2016, 464, 111–116. [Google Scholar] [CrossRef]
- Mayer, P.; Estruch, V.D.; Jover, M. A two-stage growth model for gilthead sea bream (Sparus aurata) based on the thermal growth coefficient. Aquaculture 2012, 358–359, 6–13. [Google Scholar] [CrossRef]
- Mayer, P.; Estruch-Fuster, V.D.; Blasco, J.; Jover, M. Predicting the growth of gilthead sea bream (Sparus aurata L.) farmed in marine cages under real production conditions using temperature- and time-dependent models. Aquac. Res. 2008, 39, 1046–1052. [Google Scholar] [CrossRef]
- Guillaume, J.; Kaushik, S.; Bergot, P.; Métailler, R. Nutrition and Feeding of Fish and Crustaceans; Food Sciences Series; Springer: London, UK, 2002; p. 408. [Google Scholar]
- Ballester-Moltó, M.; Follana-Berná, G.; Sanchez-Jerez, P.; Aguado-Giménez, F. Total nitrogen, carbon and phosphorus digestibility in gilthead seabream (Sparus aurata) and European seabass (Dicentrarchus labrax) fed with conventional and organic commercial feeds. Implications for particulate waste production. Aquac. Res. 2016, 48, 3450–3463. [Google Scholar] [CrossRef]
- Stavrakidis-Zachou, O.; Lika, K.; Anastasiadis, P.; Papandroulakis, N. Projecting climatic change impacts on Mediterranean finfish production: A case study in Greece. Clim. Change 2021, 165, 67–85. [Google Scholar] [CrossRef]
- Chowdhury, M.A.K.; Siddiqui, S.; Hua, K.; Bureau, D.P. Bioenergetics-Based Factorial Model to Determine Feed Requirement and Waste Output of Tilapia Produced under Commercial Conditions. Aquaculture 2013, 410–411, 138–147. [Google Scholar] [CrossRef]
- Islam, M.S. Nitrogen and phosphorus budget in coastal and marine cage aquaculture and impacts of effluent loading on ecosystem: Review and analysis towards model development. Mar. Poll. Bull. 2005, 50, 48–61. [Google Scholar] [CrossRef]
- Chamberlain, J.; Stucchi, D. Simulating the effects of parameter uncertainty on waste model predictions of marine finfish aquaculture. Aquaculture 2007, 272, 296–311. [Google Scholar] [CrossRef]
- Dauvin, J.-C.; Pezy, J.-P.; Baffreau, A.; Bachelet, Q.; Baux, N.; Méar, Y.; Murat, A.; Poizot, E. Effects of a salmon fish farm on benthic habitats in a high-energy hydrodynamic system: The case of the Rade de Cherbourg (English Channel). Aquaculture 2020, 518, 734832. [Google Scholar] [CrossRef]
- White, P. Environmental consequences of poor feed quality and feed management. In On-Farm Feeding and Feed Management in Aquaculture; FAO Fisheries and Aquaculture Technical Paper, 583, Hasan, M.R., New, M.B., Eds.; FAO: Rome, Italy, 2013; pp. 553–564. [Google Scholar]
- Pusceddu, A.; Fraschetti, S.; Mirto, S.; Holmer, M.; Danovaro, R. Effects of intensive mariculture on sediment biochemistry. Ecol. Appl. 2007, 17, 1366–1378. [Google Scholar] [CrossRef] [PubMed]
- Føre, M.; Frank, K.; Norton, T.; Svendsen, E.; Alfredsen, J.A.; Dempster, T.; Eguiraun, H.; Watson, W.; Stahl, A.; Sunde, L.M.; et al. Precision fish farming: A new framework to improve production in aquaculture. Biosyst. Eng. 2017, 173, 176–193. [Google Scholar] [CrossRef]
- Morton, A.; Routledge, R.D.; Williams, R. Temporal Patterns of Sea Louse Infestation on Wild Pacific Salmon in Relation to the Fallowing of Atlantic Salmon Farms. N. Am. J. Fish. Manag. 2005, 25, 811–821. [Google Scholar] [CrossRef]
- Keeley, N.B.; Forrest, B.M.; Macleod, C.K. Benthic recovery and re-impact responses from salmon farm enrichment: Implications for farm management. Aquaculture 2016, 435, 412–423. [Google Scholar] [CrossRef]
- MacLeod, C.K.; Moltschaniwskyj, N.A.; Crawford, C.M.; Forbes, S.E. Biological recovery from organic enrichment: Some systems cope better than others. Mar. Ecol. Prog. Ser. 2007, 342, 41–53. [Google Scholar] [CrossRef] [Green Version]
- Arechavala-Lopez, P.; Sanchez-Jerez, P.; Bayle-Sempere, J.T.; Uglem, I.; Mladineo, I. Reared fish, farmed escapees and wild fish stocks—A triangle of pathogen transmission of concern to Mediterranean aquaculture management. Aquac. Environ. Interact. 2013, 3, 153–161. [Google Scholar] [CrossRef] [Green Version]
- Qviller, L.; Kristoffersen, A.B.; Lyngstad, T.M.; Lillehaug, A. Infectious Salmon Anemia and Farm-Level Culling Strategies. Front. Vet. Sci. 2020, 6, 481. [Google Scholar] [CrossRef] [Green Version]
- Viljugrein, H.; Staalstrøm, A.; Molvaelr, J.; Urke, H.A.; Jansen, P.A. Integration of hydrodynamics into a statistical model on the spread of pancreas disease (PD) in salmon farming. Dis. Aquat. Org. 2009, 88, 35–44. [Google Scholar] [CrossRef] [Green Version]
- Subasinghe, R.P. Disease control in aquaculture and the responsible use of veterinary drugs and vaccines: The issues, prospects and challenges. In The Use of Veterinary Drugs and Vaccines in Mediterranean Aquaculture; Rodgers, C., Basurco, B., Eds.; CIHEAM: Zaragoza, Spain, 2009; pp. 5–11. [Google Scholar]
- Muniesa, A.; Basurco, B.; Aguilera, C.; Furones, D.; Reverté, C.; Sanjuan-Vilaplana, A.; Jansen, M.D.; Brun, E.; Tavornpanich, S. Mapping the knowledge of the main diseases affecting seabass and seabream in the Mediterranean. Transbound. Emerg. Dis. 2020, 67, 1089–1100. [Google Scholar] [CrossRef]
- Rosa, R.; Marques, A.; Nunes, M.L. Impact of climate change in Mediterranean aquaculture. Rev. Aquac. 2012, 4, 163–177. [Google Scholar] [CrossRef]
- Ross, L.G.; Telfer, T.C.; Falconer, L.; Soto, D.; Aguilar-Manjarrez, J. (Eds.) Site Selection and Carrying Capacities for Inland and Coastal Aquaculture. In Proceedings of the FAO Fisheries and Aquaculture Proceedings No. 21, Stirling, UK, 6–8 December 2010; FAO: Rome, Italy, 2013; p. 282. [Google Scholar]
- EUROFISH Magazine. Greek and Spanish Companies Unite to Become the Largest Aquaculture Producer in the Mediterranean. 2021. Available online: https://eurofishmagazine.com/news/item/782-greek-and-spanish-companies-unite-to-become-the-largest-aquaculture-producer-in-the-mediterranean (accessed on 22 October 2021).




| BWi (g) | BWf (g) | Annual Harvest (Tons) | Num. Fish Inputs Per Year | Num. Fish Per Input | Pellet Sizes Per Fish Weight Range * | Feed Composition (% d.m.) ** | GHSB Carcass Composition (% d.m.) ** | ADC (%) ** | ||||||
|---|---|---|---|---|---|---|---|---|---|---|---|---|---|---|
| TC | TN | TP | TC | TN | TP | TC | TN | TP | ||||||
| 55.5 | 8.4 | 1.7 | 88.7 | 95.9 | 71.4 | |||||||||
| 20 | 500 | 1500 | S1: 4 | S1: 750,000 | 20–70 g: 2 mm | 48.6 | 8.7 | 0.8 | ||||||
| 20 | 500 | 1500 | † S2: 1 | S2: 3,000,000 | 71–220 g: 4 mm | 50.1 | 8.9 | 0.7 | ||||||
| 221–500 g: 6 mm | 52.2 | 8.4 | 0.8 | |||||||||||
| Feces (F) | Feed Lost by Chewing (Fch) | Dissolved Waste (DW) | ||||||||
|---|---|---|---|---|---|---|---|---|---|---|
| C | N | P | C | N | P | C | N | P | ||
| S1 < S2 | Year 1 | 38.17 | 37.52 | 38.51 | 58.89 | 58.12 | 58.65 | 38.81 | 37.85 | 42.15 |
| S1 > S2 | Year 2 | 55.90 | 57.23 | 56.07 | 35.30 | 35.96 | 35.32 | 54.47 | 56.37 | 49.74 |
| S1 > S2 | Year 3 | 43.89 | 41.52 | 43.18 | 61.98 | 61.45 | 62.07 | 44.80 | 41.71 | 46.31 |
| S1 > S2 | Year 4 | 55.90 | 57.23 | 56.07 | 35.30 | 35.96 | 35.32 | 54.47 | 56.37 | 49.74 |
| S1 > S2 | … | 43.89 | 41.52 | 43.18 | 61.98 | 61.45 | 62.07 | 44.80 | 41.71 | 46.31 |
| Feces (F) | Feed Lost by Chewing (Fch) | Dissolved Wastes (DW) | |||||
|---|---|---|---|---|---|---|---|
| Min. (February) | Max. (July) | Min. (February) | Max. (July) | Min. (February) | Max. (July) | ||
| S1 | C | 3.460 | 22.846 | 2.230 | 20.525 | 24.352 | 138.528 |
| N | 209 | 1.343 | 368 | 3.335 | 4.528 | 25.620 | |
| P | 137 | 914 | 35 | 322 | 251 | 961 | |
| Min. (August–April) | Max. (July) | Min. (August–April) | Max. (July) | Min. (August–April) | Max. (July) | ||
| S2 | C | 0 | 24.461 | 0 | 31.163 | 0 | 154.740 |
| N | 0 | 1.418 | 0 | 5.046 | 0 | 27.942 | |
| P | 0 | 971 | 0 | 489 | 0 | 1.217 | |
Publisher’s Note: MDPI stays neutral with regard to jurisdictional claims in published maps and institutional affiliations. |
© 2022 by the authors. Licensee MDPI, Basel, Switzerland. This article is an open access article distributed under the terms and conditions of the Creative Commons Attribution (CC BY) license (https://creativecommons.org/licenses/by/4.0/).
Share and Cite
Aguado-Giménez, F.; Ballester-Moltó, M.; García-García, B. Influence of Production Strategy on Gross Waste Output and Temporal Pattern of Gilthead Seabream (Sparus Aurata) Farming: Implications for Environmental Management. Water 2022, 14, 788. https://doi.org/10.3390/w14050788
Aguado-Giménez F, Ballester-Moltó M, García-García B. Influence of Production Strategy on Gross Waste Output and Temporal Pattern of Gilthead Seabream (Sparus Aurata) Farming: Implications for Environmental Management. Water. 2022; 14(5):788. https://doi.org/10.3390/w14050788
Chicago/Turabian StyleAguado-Giménez, Felipe, Mateo Ballester-Moltó, and Benjamín García-García. 2022. "Influence of Production Strategy on Gross Waste Output and Temporal Pattern of Gilthead Seabream (Sparus Aurata) Farming: Implications for Environmental Management" Water 14, no. 5: 788. https://doi.org/10.3390/w14050788
APA StyleAguado-Giménez, F., Ballester-Moltó, M., & García-García, B. (2022). Influence of Production Strategy on Gross Waste Output and Temporal Pattern of Gilthead Seabream (Sparus Aurata) Farming: Implications for Environmental Management. Water, 14(5), 788. https://doi.org/10.3390/w14050788

