Bivariate Nonstationary Extreme Flood Risk Estimation Using Mixture Distribution and Copula Function for the Longmen Reservoir, North China
Abstract
:1. Introduction
2. Study Area and Flood Data
2.1. Extreme Flood
2.2. Statistical-Physical Heterogeneity Analysis
3. Methodology
3.1. Mixture Distribution as Marginal Distribution
3.2. Bivariate Copula Functions
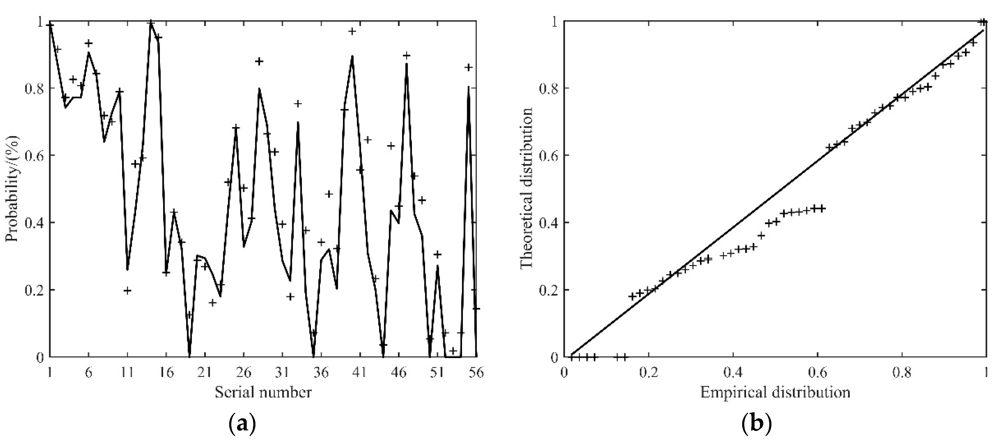
3.3. Goodness of Fit for Models
3.4. Bivariate Nonstatioarny Return Period
4. Results and Discussion
4.1. Univarite Mixture Distribution Flood Frequency Analysis
4.2. Fitting Bivariate Joint Distribution
4.3. Estimating Bivariate Nonstationary Return Period and Design Flood
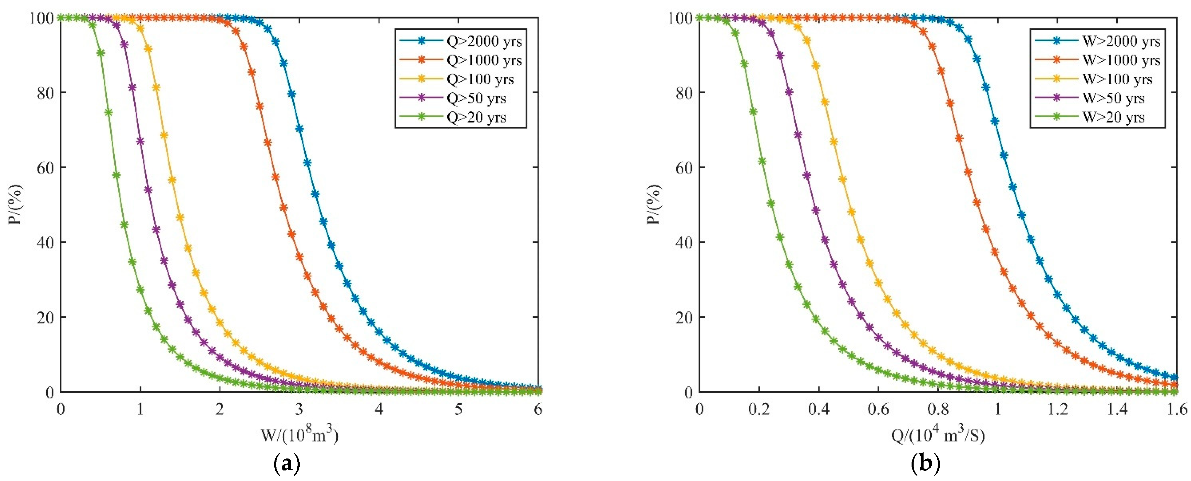
4.4. Estimating Joint and Condtional Probabilities
5. Conclusions
- (1)
- The 1-day AMFV exhibits the highest significant correlation with AMFP, which demonstrates the desirability and indispensability of bivariate flood frequency analysis. In addition, the underlying surface changes in the Longmen Reservoir contribute to the heterogeneity of flood generation identified by the statistical methods and physical basis analysis. A significant change point is detected in the year 1979 for 1-day AMFV, but the AMFP is shown to be homogenous.
- (2)
- From univariate nonstationary flood frequency analysis of 1-day AMFV, the fitting performance of mixture distribution is superior to the traditional stationary P-III distribution. Due to the increase of forest land area and some hydraulic engineering construction, the design floods of 1-day AMFV with different return periods estimated by MD are generally smaller than the ones estimated by P-III distribution.
- (3)
- In the case of bivariate analysis, copula-based joint distribution was developed and performed using the stationary P-III distribution for AMFP and nonstationary MD for 1-day AMFV as marginal distributions. There is a relatively large increase for the design floods estimated by bivariate nonstationary joint distribution compared with the ones estimated in a univariate nonstationary context, which can be concluded and proved by rigorous mathematical formula derivation. Furthermore, the results of joint and conditional probabilities demonstrate that, assuming the flood peak and volume share the same return period, the conditional probability of 1-day AMFV exceeding the threshold is likely to be high when the AMFP exceeds the design flood associated with the return period.
Author Contributions
Funding
Data Availability Statement
Conflicts of Interest
References
- Meaurio, M.; Zabaleta, A.; Boithias, L.; Epelde, A.M.; Sauvage, S.; Sánchez-Pérez, J.-M.; Srinivasan, R.; Antiguedad, I. Assessing the hydrological response from an ensemble of CMIP5 climate projections in the transition zone of the Atlantic region (Bay of Biscay). J. Hydrol. 2017, 548, 46–62. [Google Scholar] [CrossRef]
- Tofiq, F.A.; Guven, A. Prediction of design flood discharge by statistical downscaling and General Circulation Models. J. Hydrol. 2014, 517, 1145–1153. [Google Scholar] [CrossRef]
- Tofiq, F.A.; Güven, A. Potential changes in inflow design flood under future climate projections for Darbandikhan Dam. J. Hydrol. 2015, 528, 45–51. [Google Scholar] [CrossRef]
- Huziy, O.; Sushama, L.; Khaliq, M.N.; Laprise, R.; Lehner, B.; Roy, R. Analysis of streamflow characteristics over Northeastern Canada in a changing climate. Clim. Dyn. 2013, 40, 1879–1901. [Google Scholar] [CrossRef] [Green Version]
- Yin, J.; Guo, S.; He, S.; Guo, J.; Hong, X.; Liu, Z. A copula-based analysis of projected climate changes to bivariate flood quantiles. J. Hydrol. 2018, 566, 23–42. [Google Scholar] [CrossRef]
- Yin, J.; Guo, S.; Liu, Z.; Yang, G.; Zhong, Y.; Liu, D. Uncertainty Analysis of Bivariate Design Flood Estimation and its Impacts on Reservoir Routing. Water Resour. Manag. 2018, 32, 1795–1809. [Google Scholar] [CrossRef]
- Guo, A.J.; Chang, J.X.; Wang, Y.M.; Huang, Q.; Li, Y.Y. Uncertainty quantification and propagation in bivariate design flood estimation using a Bayesian information-theoretic approach. J. Hydrol. 2020, 584, 124677. [Google Scholar] [CrossRef]
- Das, J.; Jha, S.; Goyal, M.K. Non-stationary and copula-based approach to assess the drought characteristics encompassing climate indices over the Himalayan states in India. J. Hydrol. 2019, 580, 124356. [Google Scholar] [CrossRef]
- Jha, S.; Das, J.; Goyal, M.K. Low frequency global-scale modes and its influence on rainfall extremes over India: Nonstationary and uncertainty analysis. Int. J. Clim. 2020, 41, 1873–1888. [Google Scholar] [CrossRef]
- Huang, K.; Chen, L.; Zhou, J.; Zhang, J.; Singh, V.P. Flood hydrograph coincidence analysis for mainstream and its tributaries. J. Hydrol. 2018, 565, 341–353. [Google Scholar] [CrossRef]
- Requena, A.I.; Mediero, L.; Garrote, L. A bivariate return period based on copulas for hydrologic dam design: Accounting for reservoir routing in risk estimation. Hydrol. Earth Syst. Sci. 2013, 17, 3023–3038. [Google Scholar] [CrossRef] [Green Version]
- Salvadori, G.; De Michele, C. Multivariate multiparameter extreme value models and return periods: A copula approach. Water Resour. Res. 2010, 46, 219–233. [Google Scholar] [CrossRef]
- Zhang, L.; Singh, V.P. Bivariate Flood Frequency Analysis Using the Copula Method. J. Hydrol. Eng. 2006, 11, 150–164. [Google Scholar] [CrossRef]
- Zhang, X.; Duan, K.; Dong, Q. Comparison of nonstationary models in analyzing bivariate flood frequency at the Three Gorges Dam. J. Hydrol. 2019, 579, 124208. [Google Scholar] [CrossRef]
- Hu, Y.; Liang, Z.; Huang, Y.; Yao, Y.; Wang, J.; Li, B. A nonstationary bivariate design flood estimation approach coupled with the most likely and expectation combination strategies. J. Hydrol. 2021, 605, 127325. [Google Scholar] [CrossRef]
- Brunner, M.I.; Sikorska, A.E.; Seibert, J. Bivariate analysis of floods in climate impact assessments. Sci. Total Environ. 2017, 616–617, 1392–1403. [Google Scholar] [CrossRef]
- Duan, K.; Mei, Y.; Zhang, L. Copula-based bivariate flood frequency analysis in a changing climate—A case study in the Huai River Basin, China. J. Earth Sci. 2016, 27, 37–46. [Google Scholar] [CrossRef]
- Parent, E.; Favre, A.-C.; Bernier, J.; Perreault, L. Copula models for frequency analysis what can be learned from a Bayesian perspective? Adv. Water Resour. 2014, 63, 91–103. [Google Scholar] [CrossRef]
- Villarini, G. On the seasonality of flooding across the continental United States. Adv. Water Resour. 2016, 87, 80–91. [Google Scholar] [CrossRef] [Green Version]
- Yan, L.; Xiong, L.; Liu, D.; Hu, T.; Xu, C.-Y. Frequency analysis of nonstationary annual maximum flood series using the time-varying two-component mixture distributions. Hydrol. Process. 2016, 31, 69–89. [Google Scholar] [CrossRef]
- Alila, Y.; Mtiraoui, A. Implications of heterogeneous flood-frequency distributions on traditional stream-discharge prediction techniques. Hydrol. Process. 2002, 16, 1065–1084. [Google Scholar] [CrossRef]
- Villarini, G.; Smith, J.A. Flood peak distributions for the eastern United States. Water Resour. Res. 2010, 46, W06504. [Google Scholar] [CrossRef] [Green Version]
- Zeng, H.; Feng, P.; Li, X. Reservoir Flood Routing Considering the Non-Stationarity of Flood Series in North China. Water Resour. Manag. 2014, 28, 4273–4287. [Google Scholar] [CrossRef]
- Ping, F.; Xin, L. Bivariate frequency analysis of non-stationary flood timeseries based on Copula methods. J. Hydraul. Eng. 2013, 44, 1137–1147, (In Chinese with English abstract). [Google Scholar] [CrossRef]
- Li, J.; Zheng, Y.; Wang, Y.; Zhang, T.; Feng, P.; Engel, B.A. Improved Mixed Distribution Model Considering Historical Extraordinary Floods under Changing Environment. Water 2018, 10, 1016. [Google Scholar] [CrossRef] [Green Version]
- Yan, L.; Xiong, L.; Ruan, G.; Xu, C.-Y.; Yan, P.; Liu, P. Reducing uncertainty of designfloods of two-component mixture distributions by utilizing flood timescale to classify flood types in seasonally snow covered region. J. Hydrol. 2019, 574, 588–608. [Google Scholar] [CrossRef]
- Jiang, C.; Xiong, L.; Xu, C.-Y.; Guo, S. Bivariate frequency analysis of nonstationary low-flow series based on the time-varying copula. Hydrol. Process. 2014, 29, 1521–1534. [Google Scholar] [CrossRef]
- Wen, T.; Jiang, C.; Xu, X. Nonstationary Analysis for Bivariate Distribution of Flood Variables in the Ganjiang River Using Time-Varying Copula. Water 2019, 11, 746. [Google Scholar] [CrossRef] [Green Version]
- Xie, P.; Chen, G.; Lei, H. Hydrological alteration analysis method based on Hurst coefficient. J. Basic Sci. Eng. 2009, 17, 32–39. (In Chinese) [Google Scholar]
- Hurst, H.E.; Black, R.P.; Simaika, Y.M. Long-Term Storage: An Experimental Study. J. R. Stat. Soc. Ser. A (Gen.) 1966, 129, 591–593. [Google Scholar] [CrossRef]
- Bărbulescu, A.; Serban, C.; Mafteiv, C. Statistical analysis and evaluation of Hurst coefficient for annual and monthly precipitation time series. WSEAS Trans. Math. 2010, 9, 791–800. [Google Scholar] [CrossRef]
- Pettitt, A.N. A Non-Parametric Approach to the Change-Point Problem. J. R. Stat. Soc. Ser. C (Appl. Stat.) 1979, 28, 126–135. [Google Scholar] [CrossRef]
- Brown, M.B.; Forsythe, A.B. Robust Tests for the Equality of Variances. J. Am. Stat. Assoc. 1974, 69, 364–367. [Google Scholar] [CrossRef]
- Fraedrich, K.; Jiang, J.; Gerstengarbe, F.-W.; Werner, P.C. Multiscale detection of abrupt climate changes: Application to River Nile flood levels. Int. J. Climatol. 1997, 17, 1301–1315. [Google Scholar] [CrossRef]
- Salvadori, N. Evaluation of Non-Stationarity in Annual Maximum Flood Series of Moderately Impaired Watersheds in the Upper Midwest and Northeastern United States. Master’s Thesis, Michigan Technological University, Houghton, MI, USA, 2013. [Google Scholar]
- Singh, K.P.; Sinclair, R.A. Two-Distribution Method for Flood Frequency Analysis. J. Hydraul. Div. 1972, 98, 29–44. [Google Scholar] [CrossRef]
- Evin, G.; Merleau, J.; Perreault, L. Two-component mixtures of normal, gamma, and Gumbel distributions for hydrological applications. Water Resour. Res. 2011, 47, W08525. [Google Scholar] [CrossRef]
- Villarini, G.; Smith, J.A.; Baeck, M.L.; Krajewski, W.F. Examining Flood Frequency Distributions in the Midwest U.S. JAWRA J. Am. Water Resour. Assoc. 2011, 47, 447–463. [Google Scholar] [CrossRef]
- Grego, J.M.; Yates, P.A. Point and standard error estimation for quantiles of mixed flood distributions. J. Hydrol. 2010, 391, 289–301. [Google Scholar] [CrossRef]
- Sklar, A. Fonctions de répartition à n dimensions et leurs marges. Publ. del’Institut Statistique L’Université Paris 1959, 8, 229–231. [Google Scholar]
- Nelsen, R.B. An Introduction to Copulas; Springer: New York, NY, USA, 1999. [Google Scholar]
- Nelsen, R.B. An Introduction to Copulas, 2nd ed.; Springer: New York, NY, USA, 2006. [Google Scholar]
- Shiau, J.-T.; Feng, S.; Nadarajah, S. Assessment of hydrological droughts for the Yellow River, China, using copulas. Hydrol. Process. 2007, 21, 2157–2163. [Google Scholar] [CrossRef]
- Durante, F.; Sempi, C. Principles of Copula Theory; Chapman and Hall/CRC: Boca Raton, FL, USA, 2015. [Google Scholar] [CrossRef]
- Salvadori, G.; De Michele, C.; Kottegoda, N.T.; Rosso, R. Extremes in Nature: An Approach Using Copulas; Water Science and Technology Library; Springer: Berlin, Germany, 2007. [Google Scholar] [CrossRef]
- Qi, W.; Liu, J. A non-stationary cost-benefit based bivariate extreme flood estimation approach. J. Hydrol. 2018, 557, 589–599. [Google Scholar] [CrossRef]
- Poulin, A.; Huard, D.; Favre, A.-C.; Pugin, S. Importance of Tail Dependence in Bivariate Frequency Analysis. J. Hydrol. Eng. 2007, 12, 394–403. [Google Scholar] [CrossRef] [Green Version]
- Latif, S.; Mustafa, F. Bivariate joint distribution analysis of the flood characteristics under semiparametric copula distribution framework for the Kelantan River basin in Malaysia. J. Ocean Eng. Sci. 2020, 6, 128–145. [Google Scholar] [CrossRef]
- Lilliefors, H.W. On the Kolmogorov-Smirnov Test for Normality with Mean and Variance Unknown. J. Am. Stat. Assoc. 1967, 62, 399–402. [Google Scholar] [CrossRef]
- Salvadori, G.; De Michele, C. Frequency analysis via copulas: Theoretical aspects and applications to hydrological events. Water Resour. Res. 2004, 40, W12511. [Google Scholar] [CrossRef]
- Shiau, J.T. Return period of bivariate distributed extreme hydrological events. Stoch. Environ. Res. Risk Assess. 2003, 17, 42–57. [Google Scholar] [CrossRef]
- Xiao, Y.; Guo, S.L.; Liu, P.; Fang, B. Derivation of design flood hydrograph based on Copula function. Eng. J. Wuhan Univ. 2007, 4, 13–17, (In Chinese with English abstract). [Google Scholar]
- Hosking, J.R.M. L-Moments: Analysis and Estimation of Distributions Using Linear Combinations of Order Statistics. J. R. Stat. Soc. Ser. B Stat. Methodol. 1990, 52, 105–124. [Google Scholar] [CrossRef]








| Flood Series | Kendall Correlation Test | Spearman Correlation Test |
|---|---|---|
| 1-day AMFV | 0.84 | 0.96 |
| 3-day AMFV | 0.79 | 0.93 |
| 6-day AMFV | 0.77 | 0.92 |
| Methods | AMFP | 1-Day AMFV |
|---|---|---|
| Hurst exponent value | 0.67 (no variation) | 0.73 (medium variation) |
| MWP | — | 1959–1971, 1974, 1977–1983 |
| Brown–Forsythe | — | 1996, 1964 |
| Moving rank test | — | 1964, 1979, 1998 |
| Change points | — | 1964, 1979 |
| Flood | α | EX1 | |||||
|---|---|---|---|---|---|---|---|
| AMFP (m3/s) | 265.77 | 2.88 | 6.04 | ||||
| 1-day AMFV (P-III) (108 m3) | 0.12 | 2.3 | 5.2 | ||||
| 1-day AMFV (MD) (108 m3) | 0.34 | 0.18 | 1.7 | 5.1 | 0.09 | 1.95 | 4.00 |
| Flood | Distribution | Return Periods (Year) | |||||
|---|---|---|---|---|---|---|---|
| 2000 | 1000 | 100 | 50 | 20 | 10 | ||
| 1-day AMFV (108 m3) | P-III | 3.02 | 2.61 | 1.34 | 0.99 | 0.58 | 0.32 |
| MD | 2.79 | 2.36 | 1.14 | 0.84 | 0.51 | 0.31 | |
| Difference (%) | −7.6 | -9.6 | −14.9 | −15.2 | −12.1 | −3.1 | |
| Cases | Parameter (θ) | K-S Test (D) | OLS | AIC |
|---|---|---|---|---|
| Stationary | 6.26 | 0.3214 | 0.1371 | −220.55 |
| Nonstationary | 6.26 | 0.1419 | 0.0604 | −312.3 |
| Return Period (yr) | Design Flood of Univariate Marginal Distribution | Design Flood of Bivariate Joint Distribution | Difference (%) | |||
|---|---|---|---|---|---|---|
| Q (m3/s) | W1 (108 m3) | Q (m3/s) | W1 (108 m3) | Q (m3/s) | W1 (108 m3) | |
| 2000 | 9332 | 2.79 | 9546 | 2.86 | 2.29 | 2.51 |
| 1000 | 7996 | 2.36 | 8208 | 2.43 | 2.65 | 2.97 |
| 100 | 3855 | 1.14 | 4038 | 1.19 | 4.75 | 4.39 |
| 50 | 2752 | 0.84 | 2920 | 0.89 | 6.10 | 5.95 |
| 20 | 1473 | 0.51 | 1610 | 0.55 | 9.30 | 7.84 |
| Return Period (Year) | 2000 | 1000 | 100 | 50 | 20 | |
|---|---|---|---|---|---|---|
| Design flood Wp (108 m3) | 2.79 | 2.36 | 1.14 | 0.84 | 0.51 | |
| Conditional probability (%) | 100-year AMFP | 5.02 | 10.05 | 88.00 | 99.63 | 99.99 |
| 2000-year AMFP | 88.51 | 99.60 | 99.99 | 99.99 | 99.99 | |
Publisher’s Note: MDPI stays neutral with regard to jurisdictional claims in published maps and institutional affiliations. |
© 2022 by the authors. Licensee MDPI, Basel, Switzerland. This article is an open access article distributed under the terms and conditions of the Creative Commons Attribution (CC BY) license (https://creativecommons.org/licenses/by/4.0/).
Share and Cite
Li, Q.; Zeng, H.; Liu, P.; Li, Z.; Yu, W.; Zhou, H. Bivariate Nonstationary Extreme Flood Risk Estimation Using Mixture Distribution and Copula Function for the Longmen Reservoir, North China. Water 2022, 14, 604. https://doi.org/10.3390/w14040604
Li Q, Zeng H, Liu P, Li Z, Yu W, Zhou H. Bivariate Nonstationary Extreme Flood Risk Estimation Using Mixture Distribution and Copula Function for the Longmen Reservoir, North China. Water. 2022; 14(4):604. https://doi.org/10.3390/w14040604
Chicago/Turabian StyleLi, Quan, Hang Zeng, Pei Liu, Zhengzui Li, Weihou Yu, and Hui Zhou. 2022. "Bivariate Nonstationary Extreme Flood Risk Estimation Using Mixture Distribution and Copula Function for the Longmen Reservoir, North China" Water 14, no. 4: 604. https://doi.org/10.3390/w14040604
APA StyleLi, Q., Zeng, H., Liu, P., Li, Z., Yu, W., & Zhou, H. (2022). Bivariate Nonstationary Extreme Flood Risk Estimation Using Mixture Distribution and Copula Function for the Longmen Reservoir, North China. Water, 14(4), 604. https://doi.org/10.3390/w14040604
