Abstract
The most widely used anti-inflammatory corticosteroid dexamethasone (DXM), frequently detected in waterbodies due to its massive consumption and incomplete removal in wastewater treatment processes, was experimentally studied for oxidation with gas-phase pulsed corona discharge (PCD) varied in pulse repetition frequency, pH, DXM initial concentration and additions of surfactant sodium dodecyl sulphate (SDS) and tert-butyl alcohol (TBA). The experimental study also included ozonation as compared to PCD in energy efficiency. The advantageous energy efficiency of PCD was observed in wide spans of pH and DXM initial concentrations surpassing ozonation by about 2.4 times. Identified transformation by- and end-products (fluoride and acetate), as well as the impact of radical scavengers, point to the prevalent radical oxidation of DXM. Somewhat increased toxicity observed on the course of PCD-treatment of high DXM concentrations presents a subject for further studies.
1. Introduction
The increasing aquatic occurrence of emerging contaminants, such as personal care products and pharmaceuticals, poses a threat to human health as well as the environment and animals [1]. Pharmaceuticals enter the environment from manufacturing, disposal of unused medicine, farming and excretion of patients [2,3]. Reports show that pharmaceuticals enter the environment mainly with wastewater effluents, since their conventional treatment technologies are often insufficient [4].
Steroidal anti-inflammatory drugs belong to the most frequently detected pharmaceuticals at the wastewater treatment plants and in waterbodies worldwide. Dexamethasone (DXM) (Figure 1) is one of the most widely used corticosteroids included in the list of essential medications by the World Health Organization. This substance has been extensively studied lately for its therapeutic benefit in COVID-19 treatment [5], predicting its growing use and disposal. Salas-Leiton et al. [6] found corticosteroids have a major effect on the immunocompetence and growth of fish making it susceptible to pathogens at a reduced growth rate as a result of long-lasting treatment with DXM. The immunosuppressive effect of DXM to fish was also reported by Ribas et al. [7]. Dexamethasone has been repeatedly reported in river waters at concentrations ranging from 0.02 to 6.0 ng L−1 [8,9,10] and in effluents of wastewater treatment plants at concentrations up to 155 ng L−1 [11,12]. One can conclude, therefore, that conventional biological wastewater treatment is insufficient in the removal of DXM to prevent accumulation in the environment.
Figure 1.
Molecular structure of dexamethasone.
Removal of refractory pharmaceuticals is of concern worldwide. Advanced oxidation processes (AOPs) have proven to efficiently remove recalcitrant compounds by oxidation with highly reactive OH-radicals [13,14], ozone [15,16] or SO42− radicals [17]. The problem with AOPs, however, is in their high capital or operational costs, which obstruct their marketing. Recently, the application of electric discharges has been gaining attention in the treatment of polluted aqueous media [18,19,20]. Keeping in mind the energy yield in pollutant removal as the contest criterion, the gas-phase pulsed corona discharge (PCD) has proven its advanced character, surpassing the closest competitor, conventional ozonation, a few times over in respect of various pollutants, including pharmaceuticals [21,22,23].
In gas-phase PCD, the treated aqueous media are sprayed to the plasma zone, where long- (O3) and short-living (⦁OH, ⦁O) oxidative species are formed (Equations (1)–(4)) and utilized [24].
O2 + e− → 2O⦁ + e−
O⦁ + O2 + O2 (or N2) → O3 + O2 (or N2)
H2O + e− → HO⦁ + H⦁ + e−
HO⦁ + HO⦁ →H2O2
Degradation of DXM was studied earlier using AOPs including UV-C/H2O2, UV-C/S2O82− [25] and UV/iodide [26] combinations, photocatalysis [27,28], sono-nanocatalysis [29], gamma irradiation [30] and electrocoagulation [31]. The authors failed to find earlier reports related to DXM degradation by electric discharge treatment, although attempts to apply ozonation were undertaken [32,33]. Unfortunately, none of the articles on ozone application referred to contained sufficient data for the assessment of its energy efficiency.
An experimental study was undertaken into PCD performance in aqueous DXM oxidation and the effects of treatment parameters—pH, pulse repetition frequency, addition of the sodium dodecyl sulphate (SDS) surfactant and tert-butyl alcohol (TBA) as surface and in-bulk OH-radical scavengers, respectively. The effect of the initial DXM concentration was also studied, varying from 10 to 40 mg L−1. The concentration range chosen for this study exceeds the one reported for polluted natural and wastewaters for the reliability of visible results. The comparative study of DXM ozonation was conducted by identifying transformation products in both ozonation and PCD treatment, and measuring the acute toxicity of treated DXM solutions.
2. Materials and Methods
2.1. Chemicals
Dexamethasone (C22H29FO5, ≥98%, molecular weight 392.5 g mol−1, Figure 1) was obtained from Alfa Aesar (Heysham, UK). Sodium carbonate (Na2CO3, 99%), sodium hydrogen carbonate (NaHCO3, 99%), sodium sulphite (≥98% Na2SO3), sulphuric acid (H2SO4, 95–98%), sodium hydroxide (NaOH, ≥98%) and sodium chloride (NaCl, ≥99%) were purchased from Sigma-Aldrich (St. Louis, MO, USA). Acetonitrile (CH3CN, LiChrosolv®), formic acid (CH2O2, 99%) and tert-butyl alcohol ((CH3)3COH, TBA, ≥99%) were obtained from Merck KGaA (Darmstadt, Germany). Sodium dodecyl sulphate (NaC12H25SO4, SDS) was purchased from Lach-Ner (Neratovice, Czech Republic). All the chemicals were of analytical grade used without further purification. All stock solutions were prepared in ultrapure water (Millipore Simplicity®UV System, Merck, Kenilworth, NJ, USA) or in bi-distilled water (>18.2 MΩ cm).
2.2. Experimental Equipment and Procedure
The PCD experimental device (Flowrox Oy, Lappeenranta, Finland) consists of a reactor with a 40-L storage tank, pulse generator and water circulation pump (Figure 2). The multiple string electrodes of 0.55 mm in diameter and 20 m total length are positioned horizontally between two vertical parallel plates. The distance between wire electrodes and the grounded plates is 18 mm. The horizontal cross-section of the plasma zone is 36 mm in width and 500 mm in length. The 5-L DXM solution samples were circulated in the PCD reactor with a flow rate of 0.8 m3 h−1 using a circulation pump (Iwaki Suomi Oy, Kerava, Finland) to feed the treated solution from the storage tank to the top of the reactor. Treated solutions were dispersed through the perforated plate having 51 perforations of 1 mm diameter in a line coplanar with the high voltage electrodes. A pulse generator provides high voltage pulses to the reactor at frequencies of 50 to 880 pulses per second (pps) corresponding to an output power of 9 to 123.2 W with the current and voltage waveforms presented earlier [22]. The total treatment time varied between 60 and 120 min with sampling at fixed time intervals.
Figure 2.
Schematic outline of pulsed corona discharge experimental device.
The energy efficiency of oxidation or energy yield E, g kW−1h−1, was calculated using Equation (5):
where ΔC is the decrease in DXM concentration, mg L−1, V is the volume of treated solution L and W is the energy consumption as a product of power delivered to the reactor and the time of treatment, kWh. The energy efficiency was calculated for 80% DXM degradation.
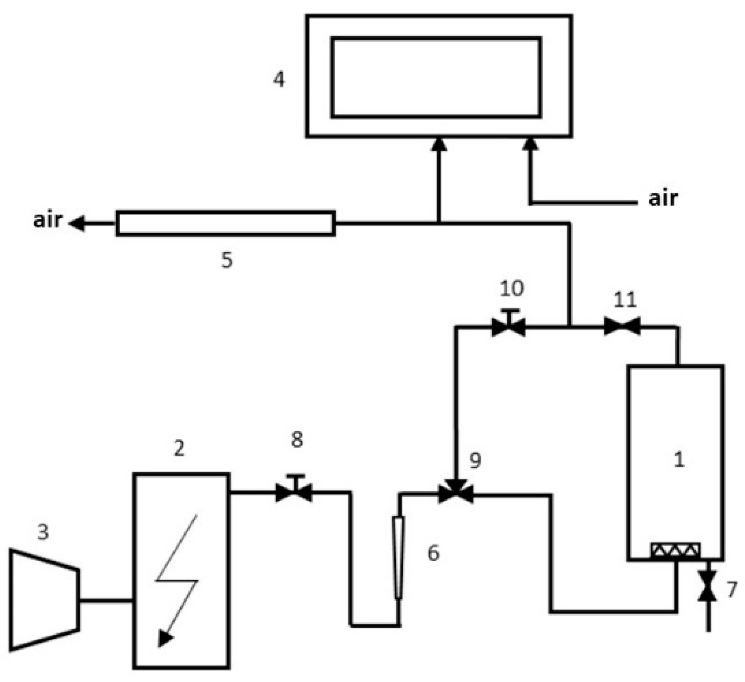
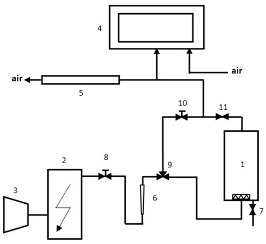
Ozonation experiments were conducted in a 600-mL batch glass reactor (Figure 3). Ozonized air produced from dry air using an A2ZS-10GLAB O3 generator (A2Z Ozone Inc., Louisville, KY, USA) containing 3.0 mg L−1 of ozone was fed to the reactor at a flow rate of 0.4 L min−1. The gaseous ozone concentration was monitored using an O3 analyzer, BMT 965 (BMT Messtechnik GMBH, Monroe, WA, USA). The ozonation experiments were conducted for 60 min with sampling at fixed time intervals. Residual ozone in samples was quenched with sodium sulphite added to stop the reaction.
Figure 3.
Ozonation gas distribution outline: 1—reactor; 2—O3 generator; 3—compressor; 4—O3 analyzer; 5—residual O3 thermo-catalytic destructor; 6—rotameter; 7—sampling port; 11—non-return valve; 8, 10—gate valves with manual actuators; 9—3-way valve.
The energy efficiency for DXM degradation in ozonation experiments was calculated using Equation (6):
where ΔC is the decrease in DXM concentration, mg L−1, V is the volume of treated solution, L, t is the treatment time, h, and P is the power consumed by ozone synthesis. The power was calculated from gaseous O3 initial concentration, mg O3 L−1, the flow rate of ozone-containing air, L min−1, and the energy consumed by O3 synthesis in air comprising 30 kWh kg O3−1.
2.3. Methods of Analysis
The concentration of DXM was quantified using high performance liquid chromatography combined with a diode array detector (HPLC-PDA, Shimadzu, Japan) equipped with a Phenomenex Gemini column (150 × 2.0 mm, 1.7 mm) filled with stationary phase NX-C18 (110 Å, 5 µm). The analysis was performed using an isocratic method with a mobile phase mixture of 40% acetonitrile containing 0.3% formic acid and 60% of 0.3% formic acid aqueous solution. The eluent flow rate was 0.2 mL min−1. A 75 µL quantity of samples was injected and analyzed at λ = 241 nm. The pH was measured using a S220 digital pH-meter (Mettler Toledo, Zurich, Switzerland). Total organic carbon (TOC) was measured using Multi N/C 3100 analyser (Analytic Jena, Jena, Germany).
2.4. Identification of DXM Transformation Products
Identification of DXM transformation products was performed by analyzing samples from selected trials by high performance liquid chromatography combined with a mass spectrometer (HPLC-MS, Shimadzu LC-MS, Okayama, Japan). Mass spectra were acquired in full-scan mode in the range of 50–500 m/z. The instrument was operated in positive ESI mode and the results obtained were handled using Shimadzu Lab Solutions software. Ion chromatography with chemical suppression of the eluent conductivity was used to measure concentrations of formed anions (761 Compact IC, Metrohm Ltd., Herisau, Switzerland).
2.5. Acute Toxicity Test
The acute toxicity was determined using the Microtoc® method (Model 500 Analyzer SDI) according to ISO 11348-3:2007 (ISO, 2007). The reconstitution solution was used to activate freeze-dried Vibrio fischeri. Concentrated salt solution (2% NaCl) was used to achieve 2% salinity for maintaining the osmotic pressure of the test bacteria suspension [34], having the salt solution used as a blank sample. The solutions containing 40 mg L−1 of DXM and those treated with an energy dose of 3.6 kWh m−3 delivered in ozonation and PCD oxidation were analyzed for toxicity. Each toxicity test was performed in 10 dilutions and the luminescence was measured after 15 min of exposure. The bacterial luminescence inhibition (INH%) was calculated using Equations (7) and (8):
where KF is a correction factor, IC15—luminescence intensity of the blank sample after 15 min contact time, IC0—initial luminescence intensity of the blank sample, IT15—luminescence intensity of the test sample after 15 min contact time, IT0—initial luminescence intensity of the test sample.
3. Results and Discussion
3.1. Oxidation Efficiency
The effect shown by the pulse repetition frequency on the efficiency of target compound oxidation exhibits the role of ozone [35]. Figure 4 shows DXM oxidation at 50, 200 and 880 pps with visible but minor differences in oxidation energy efficiency between 50 and 200 pps; the difference in efficiencies at these frequencies did not exceed 5% at 8.9 and 8.5 g kW−1h−1, respectively. With the pulse repetition frequency increased to 880 pps, however, the energy efficiency of DXM oxidation decreased noticeably comprising 6.0 g kW−1h−1, which is about 33% lower than at 50 pps. One should keep in mind that the rate of energy delivery is proportional to the pulse repetition frequency making the treatment longer at lower frequencies. This indicates a moderate contribution of ozone to the degradation, with a lower pulse repetition frequency giving ozone more time to react between pulses. The minor difference in efficiency between 50 and 200 pps may be explained by equal consumption of ozone synthesized at these frequencies by the substrate at the time of treatment.
Figure 4.
(a) Dexamethasone residual relative concentration dependent on delivered pulsed energy and (b) oxidation energy efficiencies at pulse repetition frequencies of 50, 200 and 880 pps: C0 = 10 mg L−1, initial pH 6.8, total treatment time was 30.0, 16.9 and 4.4 min for 50, 200 and 880 pps, respectively.
3.2. Effect of Initial Concentration
The initial concentration of the target pollutant determines the energy efficiency of oxidation as expected from the second-order reactions observed in PCD treatment of aqueous media [35]. The impact of variable DXM concentration was studied at initial concentrations of 10, 20 and 40 mg L−1. At the constant pulsed power released in the PCD reactor, the growing initial concentration exhibits a growing trend in oxidation efficiency (Figure 5), requiring, however, a higher energy dose and longer treatment time. Similarly, an increased DXM concentration resulted in better performance of, e.g., photocatalytic oxidation [25].
Figure 5.
(a) Dexamethasone residual relative concentration dependent on delivered pulsed energy and (b) oxidation energy efficiencies (b) at DXM initial concentrations of 10, 20 and 40 mg L−1: pulse repetition frequency 50 pps, initial pH 6.8, total treatment time 60 (10 and 20 mg L−1) and 120 (40 mg L−1) min for.
3.3. Effect of pH
Experiments with an initial pH of 3.0, 6.8 and 10.8 were conducted to evaluate the pH impact on DXM oxidation. During the experiments, the pH of acidic media remained practically constant, whereas in neutral and alkaline media the pH decreased from 6.8 and 10.8 to 4.1 and 10.0, respectively. Figure 6 reveals the oxidation of DXM being accelerated in acidic and alkaline media 2.1 and 1.6 times, respectively, as compared to the neutral medium. The decrease in energy efficiency with increasing pH may be attributed to the ⦁OH oxidation potential decreasing from 2.8 eV in an acidic medium to 1.9 eV at neutral pH [36]. A similar decrease in oxidation efficiency was observed with oxalate [37]. The energy efficiency increase with pH growing from neutral to alkaline media may be attributed to more quickly decomposed ozone molecules producing hydroxyl radicals in the solution. The dissociation of DXM alcohol moieties in alkaline solutions might also, to some extent, accelerate oxidation.
Figure 6.
(a) Dexamethasone residual relative concentration dependent on delivered pulsed energy and (b) oxidation energy efficiencies at initial pH 3.0, 6.8 and 10.8: C0 = 10 mg L−1, pulse repetition frequency 50 pps, total treatment time 30 (pH 3.0 and 10.8) and 60 (pH 6.8) min.
3.4. Effect of Radical-Scavenging Additives
Tert-butyl alcohol (TBA) as a common ⦁OH radical scavenger was added to assess the role of in-depth OH-radicals. Sodium dodecyl sulphate (SDS) surfactant is known for its surface radical-scavenging properties, showing, however, certain variations in scavenging effects dependent on the target compound molecular structure. Preliminary consideration of the DXM molecule allows the assumption of complex SDS impact: (a) the part of the molecule rich in polar hydroxyl groups provides good affinity with hydrolyzed sulphate moieties of SDS, thus sinking DXM under the gas–liquid interface reducing the rate of oxidation at the gas–liquid interface, whereas (b) the fluoride moiety, being easily displaced from the molecule with the ⦁OH radical (see the section entitled Identification of Oxidation End-Products), provides a convenient attachment site for the SDS-radical delivering the DXM molecule to the surface [22]. Figure 7 reveals that the addition of 50 to 100 mg L−1 TBA showed oxidation efficiency decreased 1.8–2.1 times, while the addition of the same amount of SDS reduced the efficiency 2.3–2.7 times, confirming the predominantly surface character of oxidation. The ⦁OH radical scavenging action of SDS is explained by the dominant bonding of dissociated sulphate groups of SDS with DXM hydrophilic hydroxyls (mechanism (a)) overpowering DXM-radical lifting to the surface with SDS-radical (mechanism (b)). The scavenging effect of TBA is explained by the role of in-depth ⦁OH radicals in DXM oxidation. The small difference between SDS and TBA effects points to opposing tendencies of mechanisms (a) and (b) in the DXM interaction with SDS: in the absence of mechanism (b) of SDS interaction with the target pollutant, the former shows remarkably stronger radical-scavenging properties than TBA [35].
Figure 7.
Oxidation energy efficiencies of DXM dependent on SDS and TBA concentrations: radical scavenger concentrations 50 and 100 mg L−1; C0 = 10 mg L−1, pulse repetition frequency 50 pps, initial pH 6.8, total treatment time 60 (no additives) and 120 min (SDS or TBA).
3.5. Identification of Oxidation End-Products
In order to follow the oxidation product formation with higher reliability, DXM was degraded in PCD treatment and ozonation at a higher starting concentration of 40 mg L−1. Both oxidation processes exhibited a similarity in pH, decreasing from 6.8 to 3.6 and 3.2 as a result of treatment with PCD and ozonation, respectively, associated with nitrate formation in the treated solutions: NO3- formed in amounts of approximately 36 mg L−1 at 3.6 kWh m−3 energy doses in both processes (Figure 8 and Figure 9). Such a yield of nitrates comprising about 10 g kW−1h−1 is consistent with that observed earlier in PCD experiments [38], although observation of substantial synthesis of nitrates in the ozone generator is characteristic for insufficient air drying prior to its delivery to the ozonation cell.
Figure 8.
Dexamethasone degradation end-product accumulation in PCD oxidation: C0 = 40 mg L−1, initial pH 6.8, pulse repetition frequency 50 pps, total treatment time 120 min.
Figure 9.
Dexamethasone degradation end-product accumulation in ozonation: C0 = 40 mg L−1, initial pH 6.8, inlet gaseous ozone concentration 3.0 mg L−1, gas flow rate 0.4 L min−1, total treatment time 60 min.
The treatment with PCD showed higher energy efficiency in DXM degradation, reaching 99% at an energy dose of 2.9 kWh m−3. The reaction yield in PCD at 80% of DXM removal taken as a standard for the efficiency calculations in this work equals 22.9 g kW−1h−1. At the end of the ozonation experiment, applying the same energy dose of 3.6 kWh m−3, the treated solution still contained 7.7 mg L−1, i.e., 19.2% of residual DXM. The oxidation energy efficiency at 80% of DXM degradation thus comprised, in the ozonation experiment, about 9.7g kW−1h−1, which is 2.4 times smaller than the PCD efficiency. The obtained difference between PCD and ozonation is consistent with other works of the authors [39,40].
Ion chromatography analysis of the samples treated with PCD and ozone revealed fluoride and acetate being the main identified end-products of DXM oxidation (insets in Figure 8 and Figure 9). It is worth noting that the formation of fluoride in PCD is in stoichiometric ratio with DXM removal: 40 mg L−1 or 0.1 mM of DXM provides about 1.9 mg L−1 of fluoride, which approximately equals 0.1 mM content. However, acetate was formed in a quantity of 26.6 mg L−1 or 0.45 mM which is about 40% of the initial carbon content. Being refractory towards oxidation, acetate accumulated along with DXM removal. In PCD experiments, traces of oxalate and formate were also detected, although no accumulation of these products was observed (Figure 8).
Both fluoride and acetate anions were also quantified by means of ion chromatography in ozonized DXM solution samples (inset in Figure 9), although in amounts about three times smaller than in PCD-treated samples at the same energy delivery level. No stoichiometric ratio was observed between removed DXM and formed fluoride: only 0.03 mM of fluoride formed out of 0.08 mM of removed DXM. A smaller yield of acetate was observed: 0.8 mM of degraded DXM provided about 0.16 mM of acetate (about 15% of initial carbon content). Smaller amounts of the identified end-products are consistent with smaller DXM removal and the smaller oxidation potential of ozone. Formate was present in ozonated samples in trace amounts; no oxalate was observed. Since measurement of TOC showed no decrease in comparison with the original DXM solution remaining at 26.1 mg C L−1 in all samples treated with either oxidation method, smaller amounts of identified oxidation end-products in ozonated samples indicate a smaller degree of DXM destruction.
3.6. Identification of Oxidation By-Products
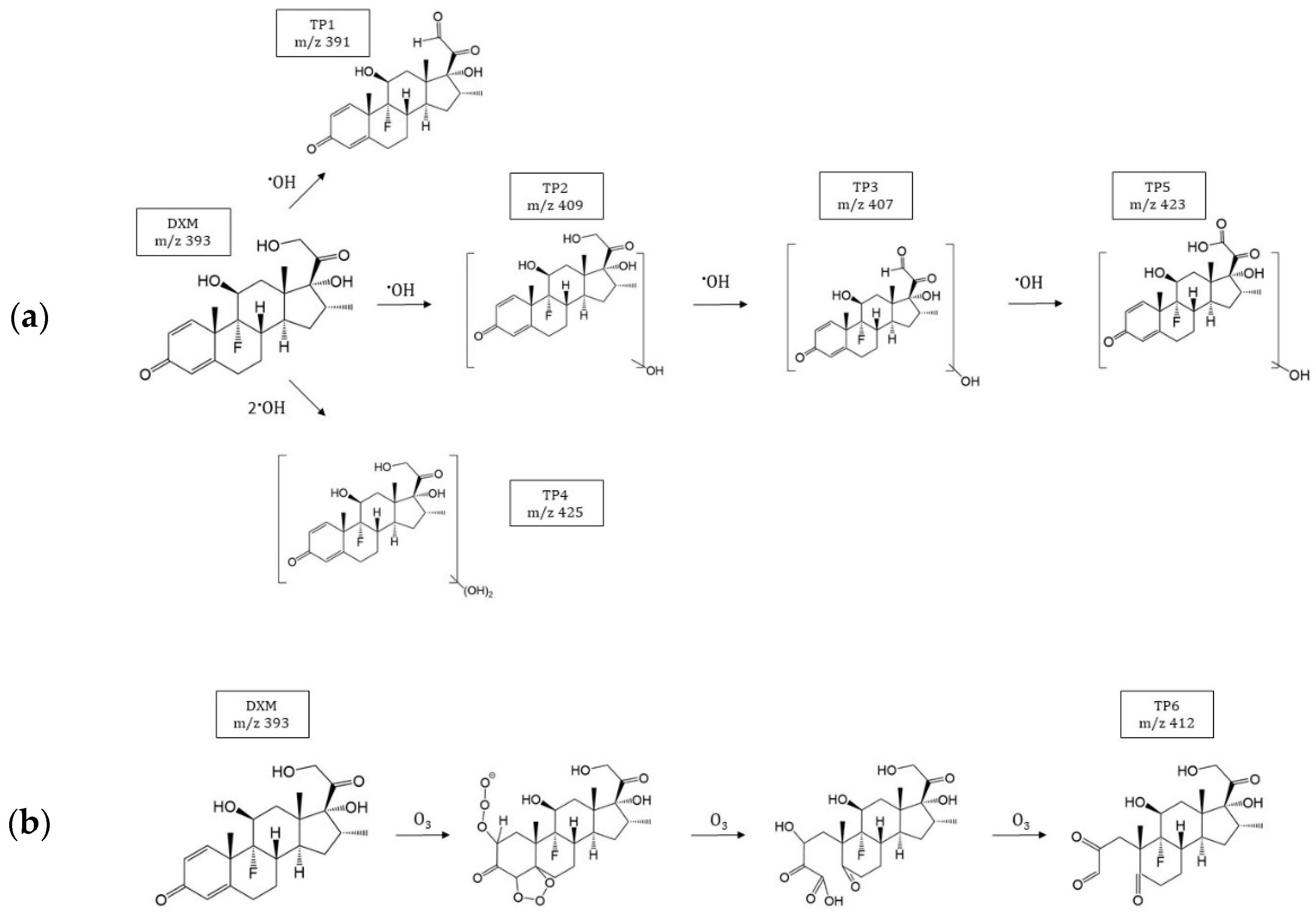
The proposed fragments of DXM obtained from LC-MS analysis were 393 and 373, the latter being associated with breaking C-F bonds and the release of HF during analysis [27]. Thus, several proposed transformation products were detected in two fragments with an m/z difference of 20.
The six most common DXM transformation products numbered as TPs are shown in Figure 10 for ozonation and PCD oxidation reactions. No qualitative difference in product composition was observed between the two treatment processes. The most frequent products were TP2, TP3 and TP6 with m/z values of 409, 407 and 413, respectively. TP1 with m/z 391 could be associated with alcohol moiety oxidation to the aldehyde moiety. TP2 can be associated with OH-radical attack with addition of OH group. Further OH-radical attack results in TP3 in the oxidation of the alcoholic group to the aldehyde one, followed by carboxylic derivative formation and the generation of TP5. Double initial OH-radical attack to DXM could explain TP4 formation (Figure 10a). The products TP1-TP5 have been previously reported in photocatalysis studies [27] and TP4 in gamma irradiation studies [29]. Cycloaddition (Criegee mechanism) with further hydroxylation and loss of HCOOH [41] is suggested to lead to TP6 as a product of ozonation (Figure 10b). These results further suggest that OH-radicals have the main role in the oxidation of DXM.
Figure 10.
Proposed degradation pathways and transformation products of DXM in oxidation with (a) hydroxyl radicals and (b) ozone.
3.7. Acute Toxicity of By-Products
Dexamethasone appears having low acute toxicity for living organisms [42,43], although the products of its photolysis exhibit slightly higher toxicity [44]. The toxicity assessment undertaken in this study established the formation of products somewhat more toxic than the parent compound as a result of PCD treatment.
To assess the formation of toxic intermediates, the Vibrio fischeri bioluminescence inhibition assay was used as an acute toxicity test of DXM aqueous solutions treated with PCD and ozone at an energy dose of 3.6 kWh m−3. The effective concentration for 30% bacterial bioluminescence inhibition (EC30) of the solution containing 40 mg L−1 of DXM was 37.5%. Treatment with ozone did not noticeably affect the toxicity of the solution, showing negligible EC30 growth to 39.3%, i.e., a small toxicity reduction. The treatment with PCD, however, showed increased inhibition of Vibrio fischeri bioluminescence resulting in an EC30 of 23.3%, i.e., the toxicity somewhat increased as a result of treatment. This result showed a stable character: the toxicity test showed no difference when carried out immediately after treatment and 24 h later. This result may show the formation of DXM by-products with a higher toxicity in the course of its progressive destruction in PCD treatment. The stable character of the treated samples’ toxicity excludes the impact of active compounds temporarily suppressing bacterial activity, e.g., peroxides. According to the test requirements, the pH of the analyzed samples was adjusted to the neutral range, thus excluding its interference with the toxicity. The smaller DXM-removal effect of ozone may be the reason for the lesser toxicity of the treated samples.
4. Conclusions
The authors failed to find studies reported earlier on DXM oxidation using pulsed corona discharge. The study showed the promising character of PCD as a method of oxidation of aqueous corticosteroid with reliable performance in a variety of initial concentrations and pH values. Comparative ozonation demonstrated 2.4 times lower efficiency than PCD oxidation under analogous environmental conditions. The addition of TBA and SDS resulted in decreased oxidation energy efficiency, indicating the major role of •OH radicals in the oxidation process. Suggested transformation by-products confirm the prevalence of •OH radicals in oxidation. The identification of oxidation end-products revealed fluoride and acetate as the products of DXM oxidation accumulating in the course of treatment; fluoride was produced in stoichiometric amounts in DXM PCD oxidation, i.e., was fully mineralized. An ecotoxicity Vibrio fischeri test of PCD-treated DXM solutions increased, indicating toxic transformation products, which were observed at a rather high DXM starting concentration of 40 mg L−1. The oxidation of toxic by-products in further toxicity abatement presents a subject for supplementary studies.
Author Contributions
Conceptualization, L.O., E.K.-S., M.T. and S.P.; methodology, L.O. and E.K.-S.; validation, L.O.; formal analysis, L.O.; investigation, L.O.; resources, S.P.; data curation, L.O.; writing—original draft preparation, L.O.; writing—review and editing, S.P., E.K.-S. and M.T.; visualization, L.O.; supervision, S.P.; project administration, S.P.; funding acquisition, S.P. All authors have read and agreed to the published version of the manuscript.
Funding
This research was funded by the Institutional Development Program of Tallinn University of Technology for 2016-2022, project 2014–2020.4.01.16-0032 from EU Regional Development Fund.
Data Availability Statement
Not applicable.
Conflicts of Interest
The authors declare no conflict of interest.
References
- Kasonga, T.K.; Coetzee, M.A.A.; Kamika, I.; Ngole-Jeme, V.M.; Momba, M.N.B. Endocrine-disruptive chemicals as contaminants of emerging concern in wastewater and surface water: A review. J. Environ. Manag. 2011, 277, 111485. [Google Scholar] [CrossRef]
- Kostich, M.S.; Lazorchak, J.M. Risks to aquatic organisms posed by human pharmaceutical use. Sci. Total Environ. 2008, 389, 329–339. [Google Scholar] [CrossRef] [PubMed]
- Kümmerer, K. Antibiotics in the aquatic environment—A review—Part I. Chemosphere 2009, 75, 417–434. [Google Scholar] [CrossRef]
- Tran, N.H.; Reinhard, M.; Gin, K.Y.H. Occurrence and fate of emerging contaminants in municipal wastewater treatment plants from different geographical regions-a review. Water Res. 2018, 133, 182–207. [Google Scholar] [CrossRef] [PubMed]
- The RECOVERY Collaborative Group, Dexamethasone in Hospitalized Patients with COVID-19. N. Engl. J. Med. 2021, 384, 693–704. [CrossRef] [PubMed]
- Salas-Leiton, E.; Coste, O.; Arsensio, E.; Infante, C.; Canavate, J.P.; Manchado, M. Dexamethasone modulates expression of genes involved in the innate immune system, growth and stress and increases susceptibility to bacterial disease in Senegalese sole (Solea senegalensis Kaup, 1858). Fish Shellfish. Immunol. 2021, 32, 769–778. [Google Scholar] [CrossRef]
- Ribas, J.L.C.; Zampronio, A.R.; de Assis, H.C.S. Effects of trophic exposure to diclofenac and dexamethasone on hematological parameters and immune response in freshwater fish. Environ. Toxicol. Chem. 2016, 35, 975–982. [Google Scholar] [CrossRef]
- Chang, H.; Hu, J.; Shao, B. Occurrence of Natural and Synthetic Glucocorticoids in Sewage Treatment Plants and Receiving River Waters. Environ. Sci. Technol. 2007, 41, 3462–3468. [Google Scholar] [CrossRef]
- Macikova, P.; Groh, K.J.; Ammann, A.A.; Schirmer, K.; Suter, M.J.-F. Endocrine Disrupting Compounds Affecting Corticosteroid Signaling Pathways in Czech and Swiss Waters: Potential Impact on Fish. Environ. Sci. Technol. 2014, 48, 12902–12911. [Google Scholar] [CrossRef] [Green Version]
- Gong, J.; Lin, C.; Xiong, X.; Chen, D.; Chen, Y.; Zhou, Y.; Wu, C.; Du, Y. Occurrence, distribution, and potential risks of environmental corticosteroids in surface waters from the Pearl River Delta, South China. Environ. Pollut. 2019, 251, 102–109. [Google Scholar] [CrossRef]
- Jia, A.; Wu, S.; Daniels, K.D.; Snyder, S.A. Balancing the Budget: Accounting for Glucocorticoid Bioactivity and Fate during Water Treatment. Environ. Sci. Technol. 2016, 50, 2870–2880. [Google Scholar] [CrossRef]
- Nakayama, K.; Sato, K.; Shibano, T.; Isobe, T.; Suzuki, G.; Kitamura, S.-I. Occurrence of glucocorticoids discharged from a sewage treatment plant in Japan and the effects of clobetasol propionate exposure on the immune responses of common carp (Cyprinus carpio) to bacterial infection. Environ. Toxicol. Chem. 2015, 35, 946–952. [Google Scholar] [CrossRef]
- Klauson, D.; Romero Sarcos, N.; Krichevskaya, M.; Kattel, E.; Dulova, N.; Dedova, T.; Trapido, M. Advanced oxidation processes for sulfonamide antibiotic sulfamethizole degradation: Process applicability study at ppm level and scale-down to ppb level. J. Environ. Chem. Eng. 2019, 7, 103287. [Google Scholar] [CrossRef]
- Oller, I.; Malato, S. Photo-Fenton applied to the removal of pharmaceutical and other pollutants of emerging concern. Curr. Opin. Green Sustain. Chem. 2021, 29, 100458. [Google Scholar] [CrossRef]
- Olak-Kucharczyk, M.; Foszpańczyk, M.; Żyłła, R.; Ledakowicz, S. Photodegradation and ozonation of ibuprofen derivatives in the water environment: Kinetics approach and assessment of mineralization and biodegradability. Chemosphere 2022, 291, 132742. [Google Scholar] [CrossRef] [PubMed]
- Patel, S.; Majumder, S.K.; Ghosh, P. Ozonation of diclofenac in a laboratory scale bubble column: Intermediates, mechanism, and mass transfer study. J. Water Process. Eng. 2021, 44, 102325. [Google Scholar] [CrossRef]
- Sun, S.; Ren, J.; Liu, J.; Rong, L.; Wang, H.; Xiao, Y.; Sun, F.; Mei, R.; Chen, C.; Su, X. Pyrite-activated persulfate oxidation and biological denitrification for effluent of biological landfill leachate treatment system. J. Environ. Manage 2022, 304, 114290. [Google Scholar] [CrossRef]
- Malik, M.A.; Ghaffar, A.; Malik, S.A. Water purification by electrical discharges. Plasma Sources Sci. Technol. 2001, 10, 82–91. [Google Scholar] [CrossRef]
- Bogaerts, A.; Neyts, E.; Gijbels, R.; van der Mullen, J. Gas discharge plasmas and their applications. Spectrochim. Acta Part B 2002, 57, 609–658. [Google Scholar] [CrossRef]
- Magureanu, M.; Bradu, C.; Parvulescu, V.I. Plasma processes for the treatment of water contaminated with harmful organic compounds. J. Phys. D Appl. Phys. 2018, 51, 313003. [Google Scholar] [CrossRef]
- Panorel, I.; Preis, S.; Kornev, I.; Hatakka, H.; Louhi-Kultanen, M. Oxidation of aqueous pharmaceuticals by pulsed corona discharge. Environ. Technol. 2013, 34, 923–930. [Google Scholar] [CrossRef] [PubMed]
- Onga, L.; Boroznjak, R.; Kornev, I.; Preis, S. Oxidation of aqueous organic molecules in gas-phase pulsed corona discharge affected by sodium dodecyl sulphate: Explanation of variability. J. Electrostat. 2021, 111, 103581. [Google Scholar] [CrossRef]
- Derevshchikov, V.; Dulova, N.; Preis, S. Oxidation of ubiquitous aqueous pharmaceuticals with pulsed corona discharge. J. Electrost. 2021, 110, 103567. [Google Scholar] [CrossRef]
- Ono, R.; Oda, T. Dynamics of ozone and OH radicals generated by pulsed corona discharge in humid-air flow reactor measured by laser spectroscopy. J. Appl. Phys. 2003, 93, 5876. [Google Scholar] [CrossRef]
- Markic, M.; Cvetnic, M.; Ukic, S.; Kusic, H.; Bolanca, T.; Bozic, A.L. Influence of process parameters on the effectiveness of photooxidative treatment of pharmaceuticals. J. Environ. Sci. Heal. A 2018, 53, 338–351. [Google Scholar] [CrossRef] [PubMed]
- Rasolevandi, T.; Naseri, S.; Azarpira, H.; Mahvi, A.H. Photo-degradation of dexamethasone phosphate using UV/Iodide process: Kinetics, intermediates, and transformation pathways. J. Mol. Liq. 2019, 295, 111703. [Google Scholar] [CrossRef]
- Calza, P.; Pelizzetti, E.; Brussino, M.; Baiocchi, C. Ion Trap Tandem Mass Spectrometry Study of Dexamethasone Transformation Products on Light Activated TiO2 Surface. J. Am. Soc. Mass Spectrom. 2001, 12, 1286–1295. [Google Scholar] [CrossRef] [Green Version]
- Ghenaatgar, A.; Tehrani, R.M.A.; Khadir, A. Photocatalytic degradation and mineralization of dexamethasone using WO3 and ZrO2 nanoparticles: Optimization of operational parameters and kinetic studies. J. Water Process. Eng. 2019, 32, 100969. [Google Scholar] [CrossRef]
- Rahmani, H.; Rahmani, K.; Rahmani, A.; Zare, M.-R. Removal of dexamethasone from aqueous solutions using sono-nanocatalysis process. Res. J. Environ. Sci. 2015, 9, 320–331. [Google Scholar] [CrossRef] [Green Version]
- Guo, Z.; Guo, A.; Guo, Q.; Rui, M.; Zhao, Y.; Zhang, H.; Zhu, S. Decomposition of dexamethasone by gamma irradiation: Kinetics, degradation mechanisms and impact on algae growth. Chem. Eng. J. 2017, 307, 722–728. [Google Scholar] [CrossRef]
- Arsand, D.R.; Kümmerer, K.; Martins, A.F. Removal of dexamethasone from aqueous solution and hospital wastewater by electrocoagulation. Sci. Total Environ. 2013, 443, 351–357. [Google Scholar] [CrossRef] [PubMed]
- Asgari, G.; Salari, M.; Faraji, H. Performance of heterogeneous catalytic ozonation process using Al2O3 nanoparticles in dexamethasone removal from aqueous solutions. Desalin. Water Treat. 2020, 189, 296–304. [Google Scholar] [CrossRef]
- Quaresma, A.V.; Rubio, K.T.S.; Taylor, J.G.; Sousa, B.A.; Silva, S.Q.; Werle, A.A.; Alfonso, R.J.C.F. Removal of dexamethasone by oxidative processes: Structural characterization of degradation products and estimation of the toxicity. J. Environ. Chem. Eng. 2021, 9, 106884. [Google Scholar] [CrossRef]
- Kahru, A.; Kurvet, M.; Külm, I. Toxicity of phenolic wastewater to luminescent bacteria photobacterium phosphoreum and activated sludges. Water Sci. Technol. 1996, 33, 139–146. [Google Scholar] [CrossRef]
- Preis, S.; Panorel, I.C.; Kornev, I.; Hatakka, H.; Kallas, J. Pulsed corona discharge: The role of ozone and hydroxyl radical in aqueous pollutants oxidation. Wat. Sci. Technol. 2013, 68, 1536–1542. [Google Scholar] [CrossRef]
- Wardman, P. Reduction potentials of one electron couples involving free radicals in aqueous solution. J. Phys. Chem. Ref. Data 1989, 18, 1637–1755. [Google Scholar] [CrossRef] [Green Version]
- Tikker, P.; Kornev, I.; Preis, S. Oxidation energy efficiency in water treatment with gas-phase pulsed corona discharge as a function of spray density. J. Electrost. 2020, 106, 103466. [Google Scholar] [CrossRef]
- Preis, S.; Panorel, I.C.; Llauger Coll, S.; Kornev, I. Formation of nitrates in aqueous solutions treated with pulsed corona discharge: The impact of organic pollutants. Ozone Sci. Eng. 2014, 36, 94–99. [Google Scholar] [CrossRef]
- Kask, M.; Krichevskaya, M.; Preis, S.; Bolobajev, J. Oxidation of aqueous N-nitrosodiethylamine: Experimental comparison of pulsed corona discharge with H2O2-assisted ozonation. J. Environ. Chem. Eng. 2021, 9, 105102. [Google Scholar] [CrossRef]
- Tikker, P.; Dulova, N.; Kornev, I.; Preis, S. Effects of persulfate and hydrogen peroxide on oxidation of oxalate by pulsed corona discharge. Chem. Eng. J. 2021, 411, 128586. [Google Scholar] [CrossRef]
- He, X.; Huang, H.; Tang, Y.; Guo, L. Kinetics and mechanistic study on degradation of prednisone acetate by ozone. J. Environ. Sci. Health A 2019, 55, 292–304. [Google Scholar] [CrossRef]
- Zhong, L.; Liang, Y.-Q.; Lu, M.; Pan, C.-G.; Dong, Z.; Zhao, H.; Li, C.; Lin, Z.; Yao, L. Effects of dexamethasone on the morphology, gene expression and hepatic histology in adult female mosquitofish (Gambusia affinis). Chemosphere 2021, 274, 129797. [Google Scholar] [CrossRef] [PubMed]
- Zhang, D.; Liu, K.; Hu, W.; Lu, X.; Li, L.; Zhang, Q.; Huang, H.; Wang, H. Prenatal dexamethasone exposure caused fetal rats liver dysplasia by inhibiting autophagy-mediated cell proliferation. Toxicology 2021, 449, 152664. [Google Scholar] [CrossRef] [PubMed]
- DellaGreca, M.; Fiorentino, A.; Isidori, M.; Lavorgna, M.; Previtera, L.; Rubino, M.; Temussi, F. Toxicity of prednisolone, dexamethasone and their photochemical derivatives on aquatic organisms. Chemosphere 2004, 54, 629–637. [Google Scholar] [CrossRef] [PubMed]
Publisher’s Note: MDPI stays neutral with regard to jurisdictional claims in published maps and institutional affiliations. |
© 2022 by the authors. Licensee MDPI, Basel, Switzerland. This article is an open access article distributed under the terms and conditions of the Creative Commons Attribution (CC BY) license (https://creativecommons.org/licenses/by/4.0/).









