A Model-Based Approach for Improving Surface Water Quality Management in Aquaculture Using MIKE 11: A Case of the Long Xuyen Quadangle, Mekong Delta, Vietnam
Abstract
:1. Introduction
2. Materials and Methods
2.1. Estimation of Pollution Load
2.2. Model Setup
2.3. Calibration and Validation
3. Results
3.1. Calibration and Validation Results of HD Modeling
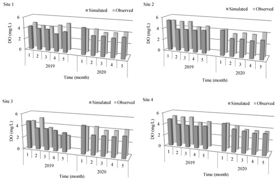
3.2. Calibration and Validation Results of Water Quality Modeling
4. Discussion
5. Conclusions
Author Contributions
Funding
Institutional Review Board Statement
Informed Consent Statement
Data Availability Statement
Conflicts of Interest
Appendix A



Appendix B
| Location of Ponds and Lagoons | Locations of Water Quality Monitoring |
|---|---|
| Ponds and lagoons in Vinh Thanh Trung (Vinh Tre Canal) | TS5(TĐ)-CP |
| Ponds and lagoons Binh Thanh (Hau River) | TS6(TĐ)-CT |
| Ponds and lagoons My Hoa Hung (Hau River) | TS7(TĐ)-LX |
| Ponds and lagoons My Hoa Hung | TS8(TĐ)-LX |
| Ponds and lagoons Phu Thuan (Xa Doi Canal) | TS10(TĐ)-TS |
| Ponds and lagoons My Thoi (Cai Sao River) | TS11(TĐ)-LX |
| Ponds and lagoons Phú Thuận (Don Dong Canal) | TS12(TĐ)-TS |
| Ponds and lagoons Vinh Hanh (Nui Chac Canal) | TS13(TĐ)-CT |
| Ponds and lagoons Phu Thuan (Don Dong Canal) | TS14(TĐ)-TS |
| Ponds and lagoons Vinh Khanh (Cai Sao River) | TS15(TĐ)-TS |
References
- Duc, N.H.; Avtar, R.; Kumar, P.; Lan, P.P. Scenario-Based Numerical Simulation to Predict Future Water Quality for Developing Robust Water Management Plan: A Case Study from the Hau River, Vietnam. Mitig. Adapt. Strateg. Glob. Chang. 2021, 26, 33. [Google Scholar] [CrossRef]
- Thu Minh, H.V.; Avtar, R.; Kumar, P.; Le, K.N.; Kurasaki, M.; Ty, T.V. Impact of Rice Intensification and Urbanization on Surface Water Quality in An Giang Using a Statistical Approach. Water 2020, 12, 1710. [Google Scholar] [CrossRef]
- Minh, H.V.T.; Kurasaki, M.; Ty, T.V.; Tran, D.Q.; Le, K.N.; Avtar, R.; Rahman, M.M.; Osaki, M. Effects of Multi-Dike Protection Systems on Surface Water Quality in the Vietnamese Mekong Delta. Water 2019, 11, 1010. [Google Scholar] [CrossRef] [Green Version]
- Vörösmarty, C.J.; McIntyre, P.B.; Gessner, M.O.; Dudgeon, D.; Prusevich, A.; Green, P.; Glidden, S.; Bunn, S.E.; Sullivan, C.A.; Liermann, C.R.; et al. Global Threats to Human Water Security and River Biodiversity. Nature 2010, 467, 555. [Google Scholar] [CrossRef] [PubMed]
- Eng, C.T.; Paw, J.N.; Guarin, F.Y. The Environmental Impact of Aquaculture and the Effects of Pollution on Coastal Aquaculture Development in Southeast Asia. Mar. Pollut. Bull. 1989, 20, 335–343. [Google Scholar]
- Schneider, P.; Asch, F. Rice Production and Food Security in Asian Mega Deltas—A Review on Characteristics, Vulnerabilities and Agricultural Adaptation Options to Cope with Climate Change. J. Agron. Crop Sci. 2020, 206, 491–503. [Google Scholar] [CrossRef]
- Berg, H.; Tam, N.T. Use of Pesticides and Attitude to Pest Management Strategies among Rice and Rice-Fish Farmers IntheMekong Delta, Vietnam. Int. J. Pest Manag. 2012, 58, 153–164. [Google Scholar] [CrossRef]
- Anh, P.T.; Kroeze, C.; Bush, S.R.; Mol, A.P. Water Pollution by Pangasius Production in the Mekong Delta, Vietnam: Causes and Options for Control. Aquac. Res. 2010, 42, 108–128. [Google Scholar] [CrossRef]
- Mutea, F.G.; Nelson, H.K.; Au, H.V.; Huynh, T.G.; Vu, U.N. Assessment of Water Quality for Aquaculture in Hau River, Mekong Delta, Vietnam Using Multivariate Statistical Analysis. Water 2021, 13, 3307. [Google Scholar] [CrossRef]
- Bouman, B.A.M.; Tuong, T.P. Field Water Management to Save Water and Increase Its Productivity in Irrigated Lowland Rice. Agric. Water Manag. 2001, 49, 11–30. [Google Scholar] [CrossRef]
- Giao, N.T. Surface Water Quality in Aquacultural Areas in An Giang Province, Vietnam. Int. J. Environ. Agric. Biotechnol. 2020, 5, 1054–1061. [Google Scholar] [CrossRef]
- Ndikumana, E.; Ho Tong Minh, D.; Dang Nguyen, T.H.; Baghdadi, N.; Courault, D.; Hossard, L.; El Moussawi, I. Estimation of Rice Height and Biomass Using Multitemporal SAR Sentinel-1 for Camargue, Southern France. Remote Sens. 2018, 10, 1394. [Google Scholar] [CrossRef] [Green Version]
- Phung, D.; Huang, C.; Rutherford, S.; Dwirahmadi, F.; Chu, C.; Wang, X.; Nguyen, M.; Nguyen, N.H.; Do, C.M.; Nguyen, T.H. Temporal and Spatial Assessment of River Surface Water Quality Using Multivariate Statistical Techniques: A Study in Can Tho City, a Mekong Delta Area, Vietnam. Environ. Monit. Assess. 2015, 187, 229. [Google Scholar] [CrossRef] [PubMed]
- Dunca, A.-M. Water Pollution and Water Quality Assessment of Major Transboundary Rivers from Banat (Romania). J. Chem. 2018, 2018, 9073763. [Google Scholar] [CrossRef] [Green Version]
- Ighalo, J.O.; Adeniyi, A.G. A Comprehensive Review of Water Quality Monitoring and Assessment in Nigeria. Chemosphere 2020, 260, 127569. [Google Scholar] [CrossRef] [PubMed]
- Avtar, R.; Kumar, P.; Singh, C.; Mukherjee, S. A Comparative Study on Hydrogeochemistry of Ken and Betwa Rivers of Bundelkhand Using Statistical Approach. Water Qual. Expo. Health 2011, 2, 169–179. [Google Scholar] [CrossRef]
- Molekoa, M.D.; Avtar, R.; Kumar, P.; Minh, H.V.T.; Kurniawan, T.A. Hydrogeochemical Assessment of Groundwater Quality of Mokopane Area, Limpopo, South Africa Using Statistical Approach. Water 2019, 11, 1891. [Google Scholar] [CrossRef] [Green Version]
- Singh, S.; Ghosh, N.; Gurjar, S.; Krishan, G.; Kumar, S.; Berwal, P. Index-Based Assessment of Suitability of Water Quality for Irrigation Purpose under Indian Conditions. Environ. Monit. Assess. 2018, 190, 29. [Google Scholar] [CrossRef] [PubMed]
- Minh, H.V.T.; Avtar, R.; Kumar, P.; Tran, D.Q.; Ty, T.V.; Behera, H.C.; Kurasaki, M. Groundwater Quality Assessment Using Fuzzy-AHP in An Giang Province of Vietnam. Geosciences 2019, 9, 330. [Google Scholar] [CrossRef] [Green Version]
- Kumar, P. Numerical Quantification of Current Status Quo and Future Prediction of Water Quality in Eight Asian Megacities: Challenges and Opportunities for Sustainable Water Management. Environ. Monit. Assess. 2019, 191, 319. [Google Scholar] [CrossRef]
- Kumar, P.; Johnson, B.A.; Dasgupta, R.; Avtar, R.; Chakraborty, S.; Kawai, M.; Magcale-Macandog, D.B. Participatory Approach for More Robust Water Resource Management: Case Study of the Santa Rosa Sub-Watershed of the Philippines. Water 2020, 12, 1172. [Google Scholar] [CrossRef] [Green Version]
- Kumar, P.; Avtar, R.; Dasgupta, R.; Johnson, B.A.; Mukherjee, A.; Ahsan, M.N.; Nguyen, D.C.H.; Nguyen, H.Q.; Shaw, R.; Mishra, B.K. Socio-Hydrology: A Key Approach for Adaptation to Water Scarcity and Achieving Human Well-Being in Large Riverine Islands. Prog. Disaster Sci. 2020, 8, 100134. [Google Scholar] [CrossRef]
- Hanington, P.; To, Q.T.; Van, P.D.T.; Doan, N.A.V.; Kiem, A.S. A Hydrological Model for Interprovincial Water Resource Planning and Management: A Case Study in the Long Xuyen Quadrangle, Mekong Delta, Vietnam. J. Hydrol. 2017, 547, 1–9. [Google Scholar] [CrossRef]
- Liang, J.; Yang, Q.; Sun, T.; Martin, J.; Sun, H.; Li, L. MIKE 11 Model-Based Water Quality Model as a Tool for the Evaluation of Water Quality Management Plans. J. Water Supply Res. Technol. 2015, 64, 708–718. [Google Scholar] [CrossRef] [Green Version]
- Gedam, V.; Kelkar, P.; Jha, R.; Khadse, G.; Labhasetwar, P. Assessment of Assimilative Capacity of Kanhan River Stretch Using Mike-11 Modeling Tool Using Mike-11 Modeling Tool. J Environ. Sci. Engg. 2012, 54, 481–488. [Google Scholar]
- Arnold, J.G.; Srinivasan, R.; Muttiah, R.S.; Williams, J.R. Large Area Hydrologic Modeling and Assessment Part I: Model Development. JAWRA J. Am. Water Resour. Assoc. 1998, 34, 73–89. [Google Scholar] [CrossRef]
- Dang, T.D.; Cochrane, T.A.; Arias, M.E. Future Hydrological Alterations in the Mekong Delta under the Impact of Water Resources Development, Land Subsidence and Sea Level Rise. J. Hydrol. Reg. Stud. 2018, 15, 119–133. [Google Scholar] [CrossRef]
- Smajgl, A.; Toan, T.Q.; Nhan, D.K.; Ward, J.; Trung, N.H.; Tri, L.; Tri, V.; Vu, P. Responding to Rising Sea Levels in the Mekong Delta. Nat. Clim. Chang. 2015, 5, 167–174. [Google Scholar] [CrossRef]
- Chinh, P.V. Application of Mathematical Models to Assess Water Quality in the Downstream of Dong Nai River up to 2020. Master thesis. Da Nang University, Da Nang City, Vietnam. 2011. Master’s Thesis, Da Nang University, Da Nang City, Vietnam, 2011. [Google Scholar]
- Johnston, R.; Kummu, M. Water Resource Models in the Mekong Basin: A Review. Water Resour. Manag. 2012, 26, 429–455. [Google Scholar] [CrossRef]
- Water Environment Partnership in Asia. Surface Water in Vietnam. State of Water Environmental Issues. Available online: http://www.wepa-db.net/policies/state/vietnam/surface.htm (accessed on 30 March 2021).
- Kuenzer, C.; Guo, H.; Huth, J.; Leinenkugel, P.; Li, X.; Dech, S. Flood Mapping and Flood Dynamics of the Mekong Delta: ENVISAT-ASAR-WSM Based Time Series Analyses. Remote Sens. 2013, 5, 687–715. [Google Scholar] [CrossRef] [Green Version]
- Vietnamese Government Resolution No. 120/NQ-CP-Resolution on Sustainable Climate-Resilient Development of the Vietnamese Mekong Delta, Vietnames Government, Vietnam. 2017; Available online: https://english.luatvietnam.vn/resolution-no120-nq-cp-dated-november-17-2017-of-the-government-on-sustainable-and-climate-resilient-development-of-the-mekong-river-delta-118378-Doc1.html (accessed on 18 November 2021).
- Wilbers, G.-J.; Becker, M.; Nga, L.T.; Sebesvari, Z.; Renaud, F.G. Spatial and Temporal Variability of Surface Water Pollution in the Mekong Delta, Vietnam. Sci. Total Environ. 2014, 485–486, 653–665. [Google Scholar] [CrossRef] [PubMed]
- Dinh, Q.; Balica, S.; Popescu, I.; Jonoski, A. Climate Change Impact on Flood Hazard, Vulnerability and Risk of the Long Xuyen Quadrangle in the Mekong Delta. Int. J. River Basin Manag. 2012, 10, 103–120. [Google Scholar] [CrossRef]
- Duc Tran, D.; van Halsema, G.; Hellegers, P.J.G.J.; Phi Hoang, L.; Quang Tran, T.; Kummu, M.; Ludwig, F. Assessing Impacts of Dike Construction on the Flood Dynamics of the Mekong Delta. Hydrol. Earth Syst. Sci. 2018, 22, 1875–1896. [Google Scholar] [CrossRef] [Green Version]
- Manh, N.V.; Dung, N.V.; Hung, N.N.; Merz, B.; Apel, H. Large-Scale Suspended Sediment Transport and Sediment Deposition in the Mekong Delta. Hydrol. Earth Syst. Sci. 2014, 18, 3033–3053. [Google Scholar] [CrossRef] [Green Version]
- Le Anh Tuan, C.T.H.; Miller, F.; Sinh, B.T. Flood and Salinity Management in the Mekong Delta, Vietnam. The Sustainable Mekong Research Network (Sumernet): Bangkok, Thailand, 2007; pp. 15–68. [Google Scholar]
- Balica, S.; Dinh, Q.; Popescu, I.; Vo, T.Q.; Pham, D.Q. Flood Impact in the Mekong Delta, Vietnam. J. Maps 2014, 10, 257–268. [Google Scholar] [CrossRef]
- DoNRE. An Giang. Summary Report on Environmental Monitoring Results in An Giang Province in 2020; DoNRE: Long Xuyen, Vietnam, 2020; p. 361. [Google Scholar]
- San Diego-McGlone, M.L.; Smith, S.V.; Nicolas, V.F. Stoichiometric Interpretations of C:N:P Ratios in Organic Waste Materials. Mar. Pollut. Bull. 2000, 40, 325–330. [Google Scholar] [CrossRef]
- Minh, H.V.T.; Tam, N.T.; Nhu, Đ.T.; Ty, T.V. Assessment of the Surface Water Quality and Effectiveness of Triple-Glutinous Rice Cropping System in the Full–Dike Protected Area of Bac Vam Nao, An Giang Province. Vietnam J. Hydrometeorol. 2021, 732, 38–48. [Google Scholar] [CrossRef]
- UNEP. Pollutants from Land-Based Sources in the Mediterranean; UNEP Regional Seas Reports and Studies No. 3; UNEP (United Nations Environment Programme): Washingtone DC, USA, 1984; p. 104. [Google Scholar]
- Le, X.S.; Le, V.N. Load of Pollutions onto Da Nang Bay. J. Mar. Sci. Technol. 2015, 15, 165–175. [Google Scholar] [CrossRef] [Green Version]
- Mai, T.H.; Ngô, X.N.; Trần, V.T.; Mai, T.H. Research to Determine Pollutant Load into Truong Giang River, Quang Nam Province. J. Clim. Change Science 2018, 34, 71–79. [Google Scholar]
- Dung, N.V.; Merz, B.; Bárdossy, A.; Thang, T.D.; Apel, H. Multi-Objective Automatic Calibration of Hydrodynamic Models Utilizing Inundation Maps and Gauge Data. Hydrol. Earth Syst. Sci. 2011, 15, 1339–1354. [Google Scholar] [CrossRef] [Green Version]
- Saito, Y.; Nguyen, V.L.; Ta, T.K.O.; Tamura, T.; Kanai, Y.; Nakashima, R. Tide and River Influences on Distributary Channels of the Mekong River Delta; American Geophysical Union: Washington, DC, USA, 2015; Volume 2015, p. GC41F-1148. [Google Scholar]
- Wolanski, E.; Huan, N.N.; Nhan, N.H.; Thuy, N.N. Fine-Sediment Dynamics in the Mekong River Estuary, Vietnam. Estuar. Coast. Shelf Sci. 1996, 43, 565–582. [Google Scholar] [CrossRef]
- Moriasi, D.N.; Arnold, J.G.; Van Liew, M.W.; Bingner, R.L.; Harmel, R.D.; Veith, T.L. Model Evaluation Guidelines for Systematic Quantification of Accuracy in Watershed Simulations. Trans. ASABE 2007, 50, 885–900. [Google Scholar] [CrossRef]
- Phan, H.M.; Ye, Q.; Reniers, A.J.; Stive, M.J. Tidal Wave Propagation along The Mekong Deltaic Coast. Estuar. Coast. Shelf Sci. 2019, 220, 73–98. [Google Scholar] [CrossRef]
- Gagliano, S.; McIntire, W. Reports on the Mekong Delta; Technical Report; Louisiana State University Coastal Studies Institute: Baton Rouge, LA, USA, 1968; Volume 57. [Google Scholar]
- Wang, Q.; Li, S.; Jia, P.; Qi, C.; Ding, F. A Review of Surface Water Quality Models. Sci. World J. 2013, 2013, 231768. [Google Scholar] [CrossRef] [Green Version]
- Wang, Q.; Zhao, X.; Yang, M.; Zhao, Y.; Liu, K.; Ma, Q. Water Quality Model Establishment for Middle and Lower Reaches of Hanshui River, China. Chin. Geogr. Sci. 2011, 21, 646–655. [Google Scholar] [CrossRef]
- Burn, D.H.; McBean, E.A. Optimization Modeling of Water Quality in an Uncertain Environment. Water Resour. Res. 1985, 21, 934–940. [Google Scholar] [CrossRef]
- Gao, L.; Li, D. A Review of Hydrological/Water-Quality Models. Front. Agric. Sci. Eng. 2015, 1, 267–276. [Google Scholar] [CrossRef] [Green Version]
- Cox, B. A Review of Currently Available In-Stream Water-Quality Models and Their Applicability for Simulating Dissolved Oxygen in Lowland Rivers. Sci. Total Environ. 2003, 314, 335–377. [Google Scholar] [CrossRef]
- McCulloch, W.S.; Pitts, W. A Logical Calculus of the Ideas Immanent in Nervous Activity. Bull. Math. Biophys. 1943, 5, 115–133. [Google Scholar] [CrossRef]
- Stamenković, L.J. Application of ANN and SVM for Prediction Nutrients in Rivers. J. Environ. Sci. Health Part A 2021, 56, 867–873. [Google Scholar] [CrossRef]
- Cuong, N.P.; Ty, T.V.; An, T.V.; Minh, H.V.T. Application of Artificial Neural Network (ANN) to Predict Water Levels for Urban Inundation Prediction in Can Tho City. Agric. Rural Dev. J. 2019, 1, 53–60. [Google Scholar]
- Panda, R.K.; Pramanik, N.; Bala, B. Simulation of River Stage Using Artificial Neural Network and MIKE 11 Hydrodynamic Model. Comput. Geosci. 2010, 36, 735–745. [Google Scholar] [CrossRef]
- Maier, H.R.; Dandy, G.C. The Use of Artificial Neural Networks for the Prediction of Water Quality Parameters. Water Resour. Res. 1996, 32, 1013–1022. [Google Scholar] [CrossRef]












| Data | Sources | Period | Remarks |
|---|---|---|---|
| Water level | The Southern Region Hydro-Meteorological Centre (SRHMC) | Jan.–May, 2019 Jan.–May, 2020 | Time-step: Hourly data |
| Discharge | The Southern Region Hydro-Meteorological Centre (SRHMC) | Jan.–May, 2019 Jan.–May, 2020 | Time-step: Hourly data |
| Cross-section | GIZ | - | - |
| DO, Temperature, BOD5 | DoNRE, DARD | Jan.–May, 2019 Jan.–May, 2020 | Time-step: Monthly data |
| Pollution Load | BOD5 (mg·L−1) |
| Domestic waste load (kg/person/year) | 10–25 |
| Poultry (kg/unit/year) | 2.73 |
| Cow, buffalo (kg/unit/year) | 233.6 |
| Pig (kg/unit/year) | 73 |
| Sutchi catfish farming (kg/unit/year) | 8.1 |
| Time | 2019 | 2020 | |||||
|---|---|---|---|---|---|---|---|
| NSE | RMSE | R | NSE | RMSE | R | ||
| Water level | January | 0.90 | 0.15 | 0.96 | 0.85 | 0.20 | 0.94 |
| February | 0.88 | 0.18 | 0.96 | 0.85 | 0.20 | 0.96 | |
| March | 0.88 | 0.18 | 0.95 | 0.84 | 0.21 | 0.96 | |
| April | 0.87 | 0.18 | 0.95 | 0.84 | 0.22 | 0.96 | |
| May | 0.89 | 0.17 | 0.95 | 0.86 | 0.21 | 0.95 | |
| Jan–May | 0.89 | 0.17 | 0.95 | 0.85 | 0.21 | 0.96 | |
| Tidal amplitude | Jan–May | 0.89 | 0.04 | 0.73 | 0.71 | 0.05 | 0.79 |
Publisher’s Note: MDPI stays neutral with regard to jurisdictional claims in published maps and institutional affiliations. |
© 2022 by the authors. Licensee MDPI, Basel, Switzerland. This article is an open access article distributed under the terms and conditions of the Creative Commons Attribution (CC BY) license (https://creativecommons.org/licenses/by/4.0/).
Share and Cite
Thu Minh, H.V.; Tri, V.P.D.; Ut, V.N.; Avtar, R.; Kumar, P.; Dang, T.T.T.; Hoa, A.V.; Ty, T.V.; Downes, N.K. A Model-Based Approach for Improving Surface Water Quality Management in Aquaculture Using MIKE 11: A Case of the Long Xuyen Quadangle, Mekong Delta, Vietnam. Water 2022, 14, 412. https://doi.org/10.3390/w14030412
Thu Minh HV, Tri VPD, Ut VN, Avtar R, Kumar P, Dang TTT, Hoa AV, Ty TV, Downes NK. A Model-Based Approach for Improving Surface Water Quality Management in Aquaculture Using MIKE 11: A Case of the Long Xuyen Quadangle, Mekong Delta, Vietnam. Water. 2022; 14(3):412. https://doi.org/10.3390/w14030412
Chicago/Turabian StyleThu Minh, Huynh Vuong, Van Pham Dang Tri, Vu Ngoc Ut, Ram Avtar, Pankaj Kumar, Trinh Trung Tri Dang, Au Van Hoa, Tran Van Ty, and Nigel K. Downes. 2022. "A Model-Based Approach for Improving Surface Water Quality Management in Aquaculture Using MIKE 11: A Case of the Long Xuyen Quadangle, Mekong Delta, Vietnam" Water 14, no. 3: 412. https://doi.org/10.3390/w14030412
APA StyleThu Minh, H. V., Tri, V. P. D., Ut, V. N., Avtar, R., Kumar, P., Dang, T. T. T., Hoa, A. V., Ty, T. V., & Downes, N. K. (2022). A Model-Based Approach for Improving Surface Water Quality Management in Aquaculture Using MIKE 11: A Case of the Long Xuyen Quadangle, Mekong Delta, Vietnam. Water, 14(3), 412. https://doi.org/10.3390/w14030412

