Investigation on Pressure Fluctuation of the Impellers of a Double-Entry Two-Stage Double Suction Centrifugal Pump
Abstract
1. Introduction
2. Physical Configuration and Numerical Model
2.1. Calculation Domain
2.2. Grid and Boundary Conditions
2.3. Monitoring Points
3. Results and Discussion
3.1. Pump General Performance
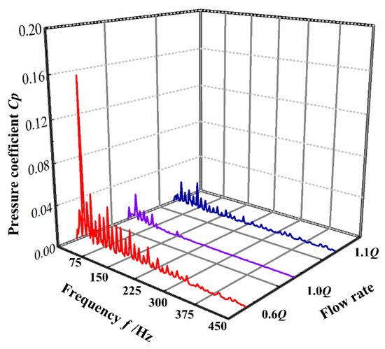
3.2. Characteristics of Pressure Fluctuation of First-Stage Single Suction Impeller
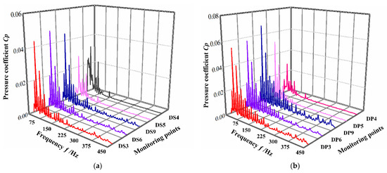
3.3. Comparison of Pressure Fluctuation of Two Single-Suction Impellers
3.4. Characteristics of Pressure Fluctuation of Second-stage Double-Suction Impeller
4. Conclusions
- (1)
- The pressure fluctuation characteristics of the first-stage single-suction impeller are obtained. In the first-stage single-suction impeller, the pressure fluctuation changes periodically with time. The dominant frequency of the impeller regions is 2 times the rotational frequency. The dominant frequency amplitude increases from the blade inlet to the blade outlet. The value of the blade outlet is about 2 times that of the blade inlet. Among the three typical conditions, the dominant frequency amplitude at 0.6 Q is the maximum, which is about three times that of 1.0 Q.
- (2)
- The effects of a taper pipe suction chamber and semi-spiral suction chamber on the pressure pulsation of a single-suction impeller are compared. Both the impellers show that along the streamline direction, the dominant frequency amplitude of pressure fluctuation increases. The dominant frequency amplitude of the same region reaches a maximum when the flow rate is low. Different from the straight chamber of the single-stage single-suction centrifugal pump, the semi-spiral suction chamber of the pump affects the dominant frequency amplitude of the first-stage single-suction impeller.
- (3)
- The pressure fluctuation characteristics of the second-stage double-suction impeller are obtained. In the second-stage double-suction impeller, the dominant frequency is twice that of the rotational frequency. It increases from the blade entrance to the blade outlet. At 0.6 Q, the dominant frequency amplitude is about twice that at 1.0 Q. The dominant frequency amplitude of the blade pressure side inlet is about 5 times that of the first-stage single-suction impeller due to the differences of the suction chambers.
Author Contributions
Funding
Conflicts of Interest
Nomenclature
| D1 | Outer diameter of first-stage single suction impeller, mm |
| D2 | Outer diameter of second-stage double suction impeller, mm |
| Z1 | Blades number of first-stage single suction impeller |
| Z2 | Blades number of second-stage double suction impeller |
| H | Pump head, m |
| Q | Design flow rate, m3/s |
| n | Dated rotational speed, r/min |
| H | Pump efficiency, % |
| Dimensionless distance between the center of mass of the first layer of the grid to the wall | |
| Cp | Pressure coefficient |
| The difference between the pressure and its average, Pa | |
| Density, m3/s | |
| Circumferential velocity of impeller outlet, m/s | |
| D | Outer diameter of impeller, mm |
| SS | Single suction impeller Suction side |
| SP | Single suction impeller Pressure side |
| DS | Double suction impeller Suction side |
| DP | Double suction impeller Pressure side |
| DTDCP | double-entry two-stage double-suction centrifugal pump |
| f | Rotating frequency, Hz |
References
- Gülich, J.F. Pump types and performance data. In Centrifugal Pumps; Springer: Berlin/Heidelberg, Germany, 2014; pp. 43–78. [Google Scholar]
- Wei, Z.; Yang, W.; Xiao, R. Pressure fluctuation and flow characteristics in a two-stage double-suction centrifugal pump. Symmetry 2019, 11, 65. [Google Scholar] [CrossRef]
- Wang, C.; Tan, L.; Shi, W.; Chen, C.; Francis, E.M. Research on Influence of Rotation Center Eccentricity on Radial Force of Single-Blade Centrifugal Pump. Water 2022, 14, 2252. [Google Scholar] [CrossRef]
- Shadab, M.; Karimipour, M.; Najafi, A.F.; Paydar, R.; Nourbakhsh, S.A. Effect of impeller shroud trimming on the hydraulic performance of centrifugal pumps with low and medium specific speeds. Eng. Appl. Comput. Fluid Mech. 2022, 16, 514–535. [Google Scholar] [CrossRef]
- Posa, A. LES investigation on the dependence of the flow through a centrifugal pump on the diffuser geometry. Int. J. Heat Fluid Flow 2021, 87, 108750. [Google Scholar] [CrossRef]
- Wang, C.; Wang, F.; Li, C.; Chen, W.; Wang, H.; Lu, L. Investigation on energy conversion instability of pump mode in hydro-pneumatic energy storage system. J. Energy Storage 2022, 53, 105079. [Google Scholar] [CrossRef]
- Wang, C.; Zeng, Y.; Yao, Z.; Wang, F. Rigid vorticity transport equation and its application to vortical structure evolution analysis in hydro-energy machinery. Eng. Appl. Comput. Fluid Mech. 2021, 15, 1016–1033. [Google Scholar] [CrossRef]
- Tiwari, R.; Bordoloi, D.J.; Dewangan, A. Blockage and cavitation detection in centrifugal pumps from dynamic pressure signal using deep learning algorithm. Measurement 2021, 173, 108676. [Google Scholar] [CrossRef]
- Azad, S.; Lotfi, H.; Riasi, A. The effects of viscoelastic fluid on the cavitation inception and development within a centrifugal pump: An experimental study. Int. Commun. Heat Mass Transf. 2019, 107, 106–113. [Google Scholar] [CrossRef]
- Li, H.; Zhang, Y. Lightweight design of the transonic centrifugal impeller based on fluid–structure coupling. Phys. Fluids 2022, 34, 107109. [Google Scholar] [CrossRef]
- Xie, Z.; Shi, W.; Tian, Q.; Zheng, Y.; Tan, L. Fatigue life assessment and damage investigation of centrifugal pump runner. Eng. Fail. Anal. 2021, 124, 105256. [Google Scholar] [CrossRef]
- Zeng, Y.; Yao, Z.; Tao, R.; Liu, W.; Xiao, R. Effects of lean mode of blade trailing edge on pressure fluctuation characteristics of a vertical centrifugal pump with vaned diffuser. J. Fluids Eng. 2021, 143, 111201. [Google Scholar] [CrossRef]
- Sonawat, A.; Kim, S.; Ma, S.B.; Kim, S.J.; Lee, J.B.; Yu, M.S.; Kim, J.H. Investigation of unsteady pressure fluctuations and methods for its suppression for a double suction centrifugal pump. Energy 2022, 252, 124020. [Google Scholar] [CrossRef]
- Chalghoum, I.; Elaoud, S.; Kanfoudi, H.; Akrout, M. The effects of the rotor-stator interaction on unsteady pressure pulsation and radial force in a centrifugal pump. J. Hydrodyn. 2018, 30, 672–681. [Google Scholar] [CrossRef]
- Zhang, Z.; Chen, H.; Yin, J.; Ma, Z.; Gu, Q.; Lu, J.; Liu, H. Unsteady flow characteristics in centrifugal pump based on proper orthogonal decomposition method. Phys. Fluids 2021, 33, 075122. [Google Scholar] [CrossRef]
- Gangipamula, R.; Ranjan, P.; Patil, R.S. Study of rotor–stator interaction phenomenon in a double-suction centrifugal pump with impeller vane trailing edge as a design parameter. Phys. Fluids 2022, 34, 095131. [Google Scholar] [CrossRef]
- Fu, D.C.; Wang, F.J.; Zhou, P.J.; Xiao, R.F.; Yao, Z.F. Impact of impeller stagger angles on pressure fluctuation for a double-suction centrifugal pump. Chin. J. Mech. Eng. 2018, 31, 10. [Google Scholar] [CrossRef]
- Tan, M.; Lian, Y.; Wu, X.; Liu, H. Numerical investigationof clocking effect of impellerson a multistage pump. Eng. Comput. 2019, 36, 1469–1482. [Google Scholar] [CrossRef]
- Ping, X.; Yang, F.; Zhang, H.; Zhang, J.; Zhang, W.; Song, G. Introducing machine learning and hybrid algorithm for prediction and optimization of multistage centrifugal pump in an ORC system. Energy 2021, 222, 120007. [Google Scholar] [CrossRef]
- Nguyen, V.T.T.; Vo, T.M.N. Centrıfugal Pump Design: An Optimization. Eurasia Proc. Sci. Technol. Eng. Math. 2022, 17, 136–151. [Google Scholar] [CrossRef]
- Wang, C.N.; Yang, F.C.; Nguyen VT, T.; Vo, N.T. CFD analysis and optimum design for a centrifugal pump using an effectively artificial intelligent algorithm. Micromachines 2022, 13, 1208. [Google Scholar] [CrossRef]
- Gourari, S.; Mebarek-Oudina, F.; Hussein, A.K.; Kolsi, L.; Hassen, W.; Younis, O. Numerical study of natural convection between two coaxial inclined cylinders. Int. J. Heat Technol. 2019, 37, 779–786. [Google Scholar] [CrossRef]
- Hassan, M.; Mebarek-Oudina, F.; Faisal, A.; Ghafar, A.; Ismail, A.I. Thermal energy and mass transport of shear thinning fluid under effects of low to high shear rate viscosity. Int. J. Thermofluids 2022, 15, 100176. [Google Scholar] [CrossRef]
- Wang, L.; Liu, H.; Wang, K.; Zhou, L.; Jiang, X.; Li, Y. Numerical simulation of the sound field of a five-stage centrifugal pump with different turbulence models. Water 2019, 11, 1777. [Google Scholar] [CrossRef]
- Barrio, R.; Parrondo, J.; Blanco, E. Numerical analysis of the unsteady flow in the near-tongue region in a volute-type centrifugal pump for different operating points. Comput. Fluids 2010, 39, 859–870. [Google Scholar] [CrossRef]
- Tarodiya, R.; Gandhi, B.K. Numerical simulation of a centrifugal slurry pump handling solid-liquid mixture: Effect of solids on flow field and performance. Adv. Powder Technol. 2019, 30, 2225–2239. [Google Scholar] [CrossRef]
- Tan, L.; Zhu, B.; Wang, Y.; Cao, S.; Gui, S. Numerical study on characteristics of unsteady flow in a centrifugal pump volute at partial load condition. Eng. Comput. 2015, 32, 1549–1566. [Google Scholar] [CrossRef]
- Parikh, T.; Mansour, M.; Thevenin, D. Investigations on the effect of tip clearance gap and inducer on the transport of air-water two-phase flow by centrifugal pumps. Chem. Eng. Sci. 2020, 218, 115554. [Google Scholar] [CrossRef]
- Rapur, J.S.; Tiwari, R. On-line time domain vibration and current signals based multi-fault diagnosis of centrifugal pumps using support vector machines. J. Nondestruct. Eval. 2019, 38, 6. [Google Scholar] [CrossRef]
- Al-Obaidi, A.R. Detection of cavitation phenomenon within a centrifugal pump based on vibration analysis technique in both time and frequency domains. Exp. Tech. 2020, 44, 329–347. [Google Scholar] [CrossRef]
- Kan, K.; Yang, Z.; Lyu, P.; Zheng, Y.; Shen, L. Numerical study of turbulent flow past a rotating axial-flow pump based on a level-set immersed boundary method. Renew. Energy 2021, 168, 960–971. [Google Scholar] [CrossRef]
- Kan, K.; Binama, M.; Chen, H.; Zheng, Y.; Zhou, D.; Su, W.; Muhirwa, A. Pump as turbine cavitation performance for both conventional and reverse operating modes: A review. Renew. Sustain. Energy Rev. 2022, 168, 112786. [Google Scholar] [CrossRef]
- Luo, H.; Zhou, P.; Shu, L.; Mou, J.; Zheng, H.; Jiang, C.; Wang, Y. Energy performance curves prediction of centrifugal pumps based on constrained PSO-SVR model. Energies 2022, 15, 3309. [Google Scholar] [CrossRef]
- Ye, C.L.; Wang, C.Y.; Zi, D.; Tang, Y.; van Esch, B.; Wang, F.J. Improvement of the SST γ-Reθt transition model for flows along a curved hydrofoil. J. Hydrodyn. 2021, 33, 520–533. [Google Scholar] [CrossRef]
- Zhang, S.; Yao, Z.; Wu, H.; Zhong, Q.; Tao, R.; Wang, F. A New Turbulent Viscosity Correction Model with URANS Solver for Unsteady Turbulent Cavitation Flow Computations. J. Fluids Eng. 2022, 144, 091403. [Google Scholar] [CrossRef]
- Wang, Y.; Tan, L.; Cao, S. Characteristics of transient flow and pressure fluctuation in impeller for centrifugal pump. J. Mech. Eng. 2014, 50, 163–169. [Google Scholar] [CrossRef]


















| Parameters | Values |
|---|---|
| D1 | 1050 mm |
| Z1 | 6 |
| D2 | 1000 mm |
| Z2 | 6 |
| n | |
| Q | |
| H | 158 m |
Publisher’s Note: MDPI stays neutral with regard to jurisdictional claims in published maps and institutional affiliations. |
© 2022 by the authors. Licensee MDPI, Basel, Switzerland. This article is an open access article distributed under the terms and conditions of the Creative Commons Attribution (CC BY) license (https://creativecommons.org/licenses/by/4.0/).
Share and Cite
Yan, H.; Heng, Y.; Zheng, Y.; Tao, R.; Ye, C. Investigation on Pressure Fluctuation of the Impellers of a Double-Entry Two-Stage Double Suction Centrifugal Pump. Water 2022, 14, 4065. https://doi.org/10.3390/w14244065
Yan H, Heng Y, Zheng Y, Tao R, Ye C. Investigation on Pressure Fluctuation of the Impellers of a Double-Entry Two-Stage Double Suction Centrifugal Pump. Water. 2022; 14(24):4065. https://doi.org/10.3390/w14244065
Chicago/Turabian StyleYan, Hongyeyu, Yaguang Heng, Yuan Zheng, Ran Tao, and Changliang Ye. 2022. "Investigation on Pressure Fluctuation of the Impellers of a Double-Entry Two-Stage Double Suction Centrifugal Pump" Water 14, no. 24: 4065. https://doi.org/10.3390/w14244065
APA StyleYan, H., Heng, Y., Zheng, Y., Tao, R., & Ye, C. (2022). Investigation on Pressure Fluctuation of the Impellers of a Double-Entry Two-Stage Double Suction Centrifugal Pump. Water, 14(24), 4065. https://doi.org/10.3390/w14244065

