Characteristics and Controlling Factors of Groundwater Hydrochemistry in Dongzhi Tableland Area of the Loess Plateau of Eastern Gansu—A Case Study of Ning County Area, North China
Abstract
1. Introduction
2. Study Area
3. Materials and Methods
3.1. Sampling and Testing
3.2. Geochemical Data Analysis
3.3. Cation Exchange
3.4. Hydrogeochemical Modeling
3.4.1. Saturation Index (SI)
3.4.2. Mass Balance
4. Results
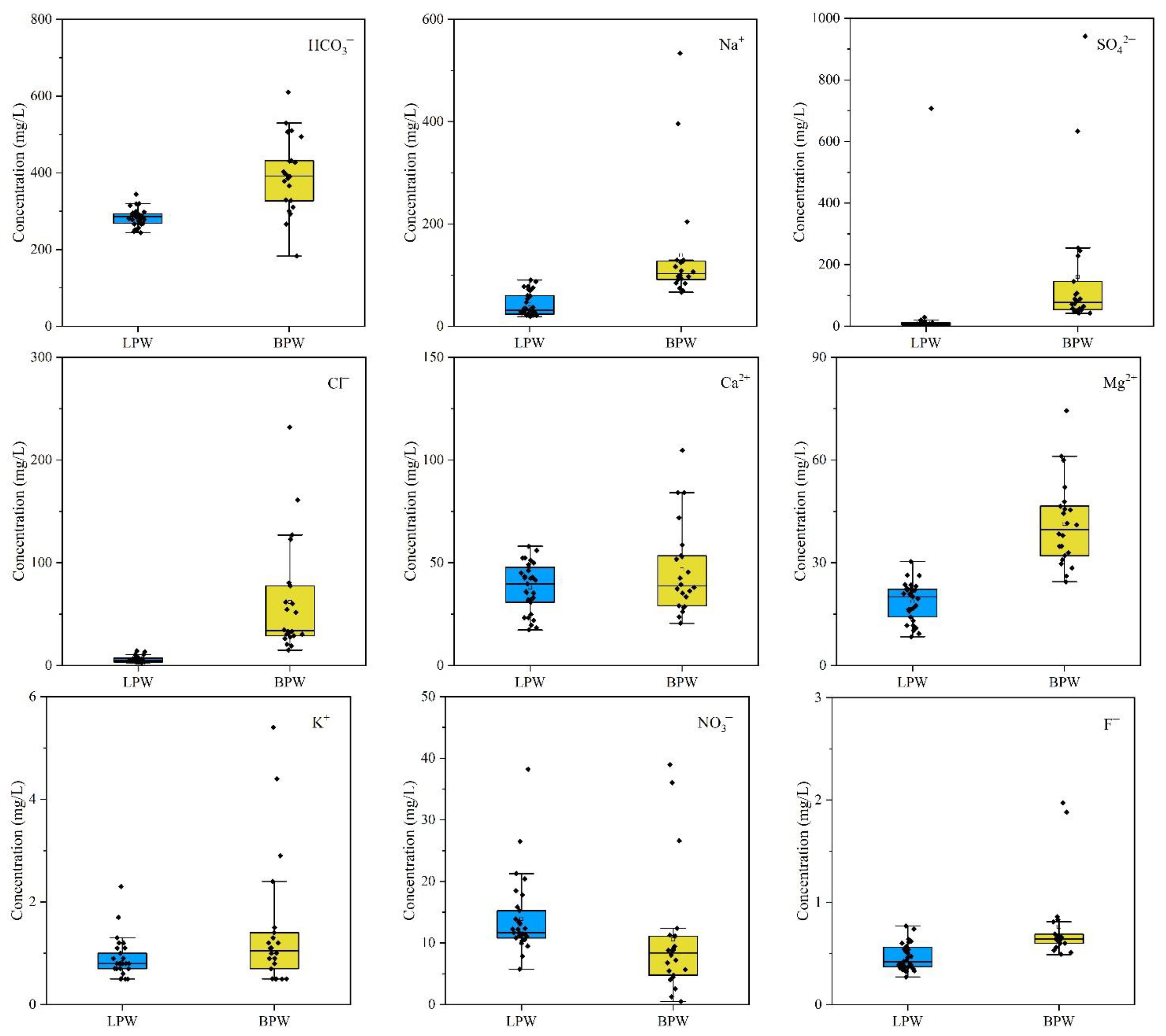
4.1. Statistical Characteristics of Hydrochemistry
4.2. Hydrochemical Type of Groundwater
4.3. δ2H and δ18O Composition Characteristics
4.4. Hydrogeochemical Reverse Simulation
4.4.1. Selection of Simulation Path
4.4.2. Selection of Possible Mineral Phases
5. Discussion
5.1. Hydrochemical Characteristics of Groundwater
5.2. Hydrochemical Genetic Mechanism
5.2.1. Rock Weathering
5.2.2. Mineral Dissolution
5.2.3. Cation Exchange
5.3. Analysis of Groundwater Recharge Sources
5.4. Hydrogeochemical Simulation Results
5.4.1. Saturation Index (SI)
5.4.2. Mineral Transfer Mass
5.5. Suggestions for Regional Groundwater Research
6. Conclusions
- (1)
- The groundwater of NCA was weakly alkaline as a whole, mainly classified as hard fresh water, and HCO3·Ca was the dominant hydrochemical type. Except for pH, the concentrations of major chemical components in BPW were higher than those in LPW.
- (2)
- δ2H and δ18O analysis illustrated that the main recharge source of groundwater in NCA was atmospheric precipitation and was affected by evaporation. The linear relationships of the δ2H and δ18O of LPW and BPW were δ2H = 6.998δ18O−3.802 (R2 = 0.98) and δ2H = 6.283δ18O − 10.536 (R2 = 0.96), respectively.
- (3)
- The main controlling factors of LPW and BPW in the study area were rock weathering and cation exchange. Ca2+, Mg2+, and HCO3− in groundwater mainly originated from the dissolution of calcite and dolomite. In addition, the dissolution of gypsum also had a significant effect on the water chemical composition of BPW.
- (4)
- Hydrogeochemical inverse simulations indicated that cation exchange; the dissolution of calcite, illite, and hornblende; and the precipitation of dolomite, plagioclase, and microcline occurred on both the LPW and BPW pathways. In addition, the dissolution of gypsum and chlorite also occurred on the BWP path, and the precipitation of chlorite occurred on the LPW path.
Author Contributions
Funding
Institutional Review Board Statement
Informed Consent Statement
Data Availability Statement
Conflicts of Interest
References
- Jaydhar, A.K.; Pal, S.C.; Saha, A.; Islam, A.R.M.T.; Ruidas, D. Hydrogeochemical evaluation and corresponding health risk from elevated arsenic and fluoride contamination in recurrent coastal multi-aquifers of eastern India. J. Clean. Prod. 2022, 369, 133150. [Google Scholar] [CrossRef]
- Pal, S.C.; Ruidas, D.; Saha, A.; Islam, A.R.M.T.; Chowdhuri, I. Application of novel data-mining technique based nitrate concentration susceptibility prediction approach for coastal aquifers in India. J. Clean. Prod. 2022, 346, 131205. [Google Scholar] [CrossRef]
- Ruidas, D.; Pal, S.C.; Saha, A.; Chowdhuri, I.; Shit, M. Hydrogeochemical characterization based water resources vulnerability assessment in India’s first Ramsar site of Chilka lake. Mar. Pollut. Bull. 2022, 184, 114107. [Google Scholar] [CrossRef] [PubMed]
- Ruidas, D.; Pal, S.C.; Islam, A.R.M.T.; Saha, A. Characterization of groundwater potential zones in water-scarce hardrock regions using data driven model. Environ. Earth Sci. 2021, 80, 809. [Google Scholar] [CrossRef]
- Vaiphei, S.P.; Kurakalva, R.M. Hydrochemical characteristics and nitrate health risk assessment of groundwater through seasonal variations from an intensive agricultural region of upper Krishna River basin, Telangana, India. Ecotoxicol. Environ. Saf. 2021, 213, 112073. [Google Scholar] [CrossRef]
- Wang, X.; Zheng, W.; Tian, W.; Gao, Y.; Wang, X.; Tian, Y.; Li, J.; Zhang, X. Groundwater hydrogeochemical characterization and quality assessment based on integrated weight matter-element extension analysis in Ningxia, upper Yellow River, northwest China. Ecol. Indic. 2022, 135, 108525. [Google Scholar] [CrossRef]
- Keum, G.; Kim, Y.; Lee, K.-S.; Jeong, J. The geochemistry and isotopic compositions of the Nakdong River, Korea: Weathering and anthropogenic effects. Environ. Monit. Assess. 2022, 194, 487. [Google Scholar] [CrossRef]
- Fuoco, I.; De Rosa, R.; Barca, D.; Figoli, A.; Gabriele, B.; Apollaro, C. Arsenic polluted waters: Application of geochemical modelling as a tool to understand the release and fate of the pollutant in crystalline aquifers. J. Environ. Manag. 2022, 301, 113796. [Google Scholar] [CrossRef]
- Li, C.; Gao, Z.; Chen, H.; Wang, J.; Liu, J.; Li, C.; Teng, Y.; Liu, C.; Xu, C. Hydrochemical analysis and quality assessment of groundwater in southeast North China Plain using hydrochemical, entropy-weight water quality index, and GIS techniques. Environ. Earth Sci. 2021, 80, 523. [Google Scholar] [CrossRef]
- Liu, J.; Peng, Y.; Li, C.; Gao, Z.; Chen, S. Characterization of the hydrochemistry of water resources of the Weibei Plain, Northern China, as well as an assessment of the risk of high groundwater nitrate levels to human health. Environ. Pollut. 2021, 268, 115947. [Google Scholar] [CrossRef]
- Peng, H.; Yang, W.; Ferrer, A.S.N.; Xiong, S.; Li, X.; Niu, G.; Lu, T. Hydrochemical characteristics and health risk assessment of groundwater in karst areas of southwest China: A case study of Bama, Guangxi. J. Clean. Prod. 2022, 341, 130872. [Google Scholar] [CrossRef]
- Xiao, Y.; Hao, Q.; Zhang, Y.; Zhu, Y.; Yin, S.; Qin, L.; Li, X. Investigating sources, driving forces and potential health risks of nitrate and fluoride in groundwater of a typical alluvial fan plain. Sci. Total Environ. 2022, 802, 149909. [Google Scholar] [CrossRef] [PubMed]
- Saha, A.; Pal, S.C.; Chowdhuri, I.; Roy, P.; Chakrabortty, R. Effect of hydrogeochemical behavior on groundwater resources in Holocene aquifers of moribund Ganges Delta, India: Infusing data-driven algorithms. Environ. Pollut. 2022, 314, 120203. [Google Scholar] [CrossRef] [PubMed]
- Schwarzenbach, R.P.; Egli, T.; Hofstetter, T.B.; Von Gunten, U.V.; Wehrli, B. Global Water Pollution and Human Health. Annu. Rev. Environ. Resour. 2010, 35, 109–136. [Google Scholar] [CrossRef]
- Misstear, B.; Vargas, C.R.; Lapworth, D.; Ouedraogo, I.; Podgorski, J. A global perspective on assessing groundwater quality. Hydrogeol. J. 2022. [Google Scholar] [CrossRef]
- Mohammed, A.M.; Refaee, A.; El-Din, G.K.; Harb, S. Hydrochemical characteristics and quality assessment of shallow groundwater under intensive agriculture practices in arid region, Qena, Egypt. Appl. Water Sci. 2022, 12, 92. [Google Scholar] [CrossRef]
- Lapworth, D.; Boving, T.; Kreamer, D.; Kebede, S.; Smedley, P. Groundwater quality: Global threats, opportunities and realising the potential of groundwater. Sci. Total Environ. 2022, 811, 152471. [Google Scholar] [CrossRef]
- Fuoco, I.; Marini, L.; De Rosa, R.; Figoli, A.; Gabriele, B.; Apollaro, C. Use of reaction path modelling to investigate the evolution of water chemistry in shallow to deep crystalline aquifers with a special focus on fluoride. Sci. Total Environ. 2022, 830, 154566. [Google Scholar] [CrossRef]
- Liu, Y.; Engel, B.A.; Flanagan, D.C.; Gitau, M.W.; McMillan, S.K.; Chaubey, I. A review on effectiveness of best management practices in improving hydrology and water quality: Needs and opportunities. Sci. Total Environ. 2017, 601–602, 580–593. [Google Scholar] [CrossRef]
- Sarkar, M.; Pal, S.C.; Islam, A.R.M.T. Groundwater quality assessment for safe drinking water and irrigation purposes in Malda district, Eastern India. Environ. Earth Sci. 2022, 81, 52. [Google Scholar] [CrossRef]
- Rivera-Rodríguez, D.A.; Beltrán-Hernández, R.I.; Lucho-Constantino, C.A.; Coronel-Olivares, C.; Hernández-González, S.; Villanueva-Ibáñez, M.; Nolasco-Arizmendi, V.; Vázquez-Rodríguez, G.A. Water quality indices for groundwater impacted by geogenic background and anthropogenic pollution: Case study in Hidalgo, Mexico. Int. J. Environ. Sci. Technol. 2019, 16, 2201–2214. [Google Scholar] [CrossRef]
- Karkhaneh, T.; Sarikhani, R.; Dehnavi, A.G.; Baker, L.L.; Moradpour, A. Controlling factors of groundwater chemistry and statistical analysis of the samples related to ophiolite of Nourabad-Harsin, West of Iran. Environ. Monit. Assess. 2022, 194, 123. [Google Scholar] [CrossRef] [PubMed]
- Chen, X.; Jiang, C.; Zheng, L.; Zhang, L.; Fu, X.; Chen, S.; Chen, Y.; Hu, J. Evaluating the genesis and dominant processes of groundwater salinization by using hydrochemistry and multiple isotopes in a mining city. Environ. Pollut. 2021, 283, 117381. [Google Scholar] [CrossRef] [PubMed]
- Liu, J.; Peng, Y.; Li, C.; Gao, Z.; Chen, S. An investigation into the hydrochemistry, quality and risk to human health of groundwater in the central region of Shandong Province, North China. J. Clean. Prod. 2021, 282, 125416. [Google Scholar] [CrossRef]
- Abdulsalam, A.; Ramli, M.F.; Jamil, N.R.; Ashaari, Z.H.; Umar, D.U.A. Hydrochemical characteristics and identification of groundwater pollution sources in tropical savanna. Environ. Sci. Pollut. Res. Int. 2022, 29, 37384–37398. [Google Scholar] [CrossRef]
- Liu, J.; Gao, Z.; Wang, Z.; Xu, X.; Su, Q.; Wang, S.; Qu, W.; Xing, T. Hydrogeochemical processes and suitability assessment of groundwater in the Jiaodong Peninsula, China. Environ. Monit. Assess. 2020, 192, 384. [Google Scholar] [CrossRef]
- Apollaro, C.; Di Curzio, D.; Fuoco, I.; Buccianti, A.; Dinelli, E.; Vespasiano, G.; Castrignanò, A.; Rusi, S.; Barca, D.; Figoli, A.; et al. A multivariate non-parametric approach for estimating probability of exceeding the local natural background level of arsenic in the aquifers of Calabria region (Southern Italy). Sci. Total Environ. 2022, 806, 150345. [Google Scholar] [CrossRef]
- Tyagi, S.; Sarma, K. Expounding major ions chemistry of groundwater with significant controlling factors in a suburban district of Uttar Pradesh, India. J. Earth Syst. Sci. 2021, 130, 169. [Google Scholar] [CrossRef]
- Chitsazan, M.; Aghazadeh, N.; Mirzaee, Y.; Golestan, Y. Hydrochemical characteristics and the impact of anthropogenic activity on groundwater quality in suburban area of Urmia city, Iran. Environ. Dev. Sustain. 2019, 21, 331–351. [Google Scholar] [CrossRef]
- Liu, R.-P.; Zhu, H.; Liu, F.; Dong, Y.; El-Wardany, R.M. Current situation and human health risk assessment of fluoride enrichment in groundwater in the Loess Plateau: A case study of Dali County, Shaanxi Province, China. China Geol. 2021, 4, 487–497. [Google Scholar] [CrossRef]
- Cheng, L.; Si, B.; Wang, Y.; Liu, W. Groundwater recharge mechanisms on the Loess Plateau of China: New evidence for the significance of village ponds. Agric. Water Manag. 2021, 257, 107148. [Google Scholar] [CrossRef]
- Li, Z.; Coles, A.E.; Xiao, J. Groundwater and streamflow sources in China’s Loess Plateau on catchment scale. Catena 2019, 181, 104075. [Google Scholar] [CrossRef]
- Li, H.X.; Han, S.B.; Wu, X.; Wang, S.; Liu, W.P.; Ma, T.; Zhang, M.N.; Wei, Y.T.; Yuan, F.Q.; Yuan, L. Distribution, characteristics and influencing factors of fresh groundwater resources in the Loess Plateau, China. China Geol. 2021, 4, 509–526. [Google Scholar] [CrossRef]
- Ling, X.; Ma, J.; Chen, P.; Liu, C.; Horita, J. Isotope implications of groundwater recharge, residence time and hydrogeochemical evolution of the Longdong Loess Basin, Northwest China. J. Arid Land 2022, 14, 34–55. [Google Scholar] [CrossRef]
- Wang, W.; Li, Z.; Su, H.; Xiao, J.; Han, F.; Li, Z. Spatial and seasonal variability, control factors and health risk of fluoride in natural water in the Loess Plateau of China. J. Hazard. Mater. 2022, 434, 128897. [Google Scholar] [CrossRef]
- Xiao, J.; Wang, L.; Deng, L.; Jin, Z. Characteristics, sources, water quality and health risk assessment of trace elements in river water and well water in the Chinese Loess Plateau. Sci. Total Environ. 2019, 650, 2004–2012. [Google Scholar] [CrossRef]
- Zhang, F.; Jin, Z.; Yu, J.; Zhou, Y.; Zhou, L. Hydrogeochemical processes between surface and groundwaters on the northeastern Chinese Loess Plateau: Implications for water chemistry and environmental evolutions in semi-arid regions. J. Geochem. Explor. 2015, 159, 115–128. [Google Scholar] [CrossRef]
- Gao, Z.; Han, C.; Xu, Y.; Zhao, Z.; Luo, Z.; Liu, J. Assessment of the water quality of groundwater in Bohai Rim and the controlling factors—A case study of northern Shandong Peninsula, north China. Environ. Pollut. 2021, 285, 117482. [Google Scholar] [CrossRef]
- Li, Y.-Z.; Gao, Z.-J.; Liu, J.-T.; Wang, M.; Han, C. Hydrogeochemical and isotopic characteristics of spring water in the Yarlung Zangbo River Basin, Qinghai-Tibet Plateau, Southwest China. J. Mt. Sci. 2021, 18, 2061–2078. [Google Scholar] [CrossRef]
- Rajendiran, T.; Sabarathinam, C.; Chandrasekar, T.; Keesari, T.; Senapathi, V.; Sivaraman, P.; Viswanathan, P.M.; Nagappan, G. Influence of variations in rainfall pattern on the hydrogeochemistry of coastal groundwater—An outcome of periodic observation. Environ. Sci. Pollut. Res. 2019, 26, 29173–29190. [Google Scholar] [CrossRef]
- Manoj, S.; Thirumurugan, M.; Elango, L. Hydrogeochemical modelling to understand the surface water–groundwater interaction around a proposed uranium mining site. J. Earth Syst. Sci. 2019, 128, 49. [Google Scholar] [CrossRef]
- Wang, Y.; Tong, J.; Hu, B.X.; Dai, H. Combining Isotope and Hydrogeochemistry Methods to Study the Seawater Intrusion: A Case Study in Longkou City, Shandong Province, China. Water 2022, 14, 789. [Google Scholar] [CrossRef]
- Yu, F.; Zhou, D.; Li, Z.; Li, X. Hydrochemical Characteristics and Hydrogeochemical Simulation Research of Groundwater in the Guohe River Basin (Henan Section). Water 2022, 14, 1461. [Google Scholar] [CrossRef]
- Liu, J.; Wang, M.; Gao, Z.; Chen, Q.; Wu, G.; Li, F. Hydrochemical characteristics and water quality assessment of groundwater in the Yishu River basin. Acta Geophys. 2020, 68, 877–889. [Google Scholar] [CrossRef]
- Piper, A.M. A graphic procedure in the geochemical interpretation of water-analyses. Eos Trans. Am. Geophys. Union 1944, 25, 914–928. [Google Scholar] [CrossRef]
- Qian, H.; Li, P.; Wu, J.; Zhou, Y. Isotopic characteristics of precipitation, surface and ground waters in the Yinchuan plain, Northwest China. Environ. Earth Sci. 2012, 70, 57–70. [Google Scholar] [CrossRef]
- Liu, J.; Gao, Z.; Wang, M.; Li, Y.; Yu, C.; Shi, M.; Zhang, H.; Ma, Y. Stable isotope characteristics of different water bodies in the Lhasa River Basin. Environ. Earth Sci. 2019, 78, 71. [Google Scholar] [CrossRef]
- Li, H.; Cheng, X.; Ma, Y.; Liu, W.; Zhou, B. Characteristics and Formation Mechanism of Strontium-rich Groundwater in Malian River Drainage Basin. Geoscience 2021, 35, 682–692. [Google Scholar]
- Gibbs, R.J. Mechanisms Controlling World Water Chemistry. Science 1970, 170, 1088–1090. [Google Scholar] [CrossRef]
- Xiao, J.; Jin, Z.; Wang, J.; Zhang, F. Major ion chemistry, weathering process and water quality of natural waters in the Bosten Lake catchment in an extreme arid region, NW China. Environ. Earth Sci. 2015, 73, 3697–3708. [Google Scholar] [CrossRef]
- Wang, Y.; Cheng, X.; Zhang, M. Hydrochemistry and chemical weathering processes of Malian River Basin. Earth Environ. 2018, 46, 15–22. [Google Scholar]
- Craig, H. Isotopic Variations in Meteoric Waters. Science 1961, 133, 1702–1703. [Google Scholar] [CrossRef] [PubMed]
- Huang, J.Z.; Tan, H.B.; Wang, R.A.; Wen, X.W. Hydrogen and oxygen isotopic analysis of perennial meteoric water in northwest China. J. China Hydrol. 2015, 35, 33–39. [Google Scholar]











| LPW Path (NX32→NX34) | BPW Path (NX55→NX58) | |||
|---|---|---|---|---|
| Initial Point | Terminal Point | Initial Point | Terminal Point | |
| pH | 7.9 | 8.0 | 7.0 | 7.7 |
| TDS (mg/L) | 323.5 | 318.3 | 581.7 | 545.8 |
| K+ (mg/L) | 0.8 | 1.1 | 2.9 | 0.5 |
| Na+ (mg/L) | 21.1 | 25.3 | 97.5 | 129.2 |
| Ca2+ (mg/L) | 55.9 | 52.3 | 36.2 | 28.7 |
| Mg2+ (mg/L) | 26.2 | 26.3 | 45.4 | 30.8 |
| HCO3− (mg/L) | 278 | 295 | 427 | 393 |
| SO42− (mg/L) | 11.0 | 19.7 | 64.8 | 103.7 |
| Cl− (mg/L) | 13.5 | 6.4 | 51.8 | 33.3 |
| F− (mg/L) | 0.33 | 0.34 | 0.6 | 0.63 |
| NO3− (mg/L) | 38.2 | 21.3 | 26.6 | 8.0 |
| H4SiO4 (mg/L) | 28.4 | 29.2 | 36.7 | 25.0 |
| Mineral Name | Reaction Equation |
|---|---|
| Calcite | CaCO3 = Ca2+ + CO32− |
| Dolomite | CaMg(CO3)2 = Ca2+ + Mg2+ + 2CO32− |
| Gypsum | CaSO4·2H2O = Ca2+ + SO42− + 2H2O |
| Cation exchange | 2NaX + Ca2+ = 2Na+ + CaX2 |
| Chlorite | Mg5Al2Si3O10(OH)8 + 16H+ = 2Al3+ + 6H2O + 3H4SiO4 + 5Mg2+ |
| Illite | K0.6Mg0.25Al2.3Si3.5O10(OH)2 + 11.2H2O = 0.6K+ + 0.25Mg2+ + 2.3Al(OH)4− + 3.5H4SiO4 + 1.2H+ 2.3Al(OH)4− + 3.5H4SiO4 + 1.2H+ |
| Plagioclase | Na0.62Ca0.38Al1.38Si2.62O8 + 5.52H+ + 2.48H2O = 1.38Al3+ + 0.38Ca2+ + 2.62H4SiO4 + 0.62Na+ +0.38Ca2+ + 2.62H4SiO4 + 0.62Na+ |
| Hornblende | Ca2Mg5Si8O22(OH)2 + 14H+ + 8H2O = 2Ca2+ + 8H4SiO4 + 5Mg2+ |
| Microline | KAlSi3O8 + H2O = K+ + Al(OH)4− + 3H4SiO4 |
| LPW Path (NX32→NX34) | BPW Path (NX55→NX58) | |||
|---|---|---|---|---|
| Initial Point | Terminal Point | Initial Point | Terminal Point | |
| Calcite | 0.68 | 0.80 | −0.24 | 0.26 |
| Dolomite | 1.39 | 1.65 | −0.04 | 0.90 |
| Gypsum | −2.66 | −2.44 | −2.16 | −2.04 |
| Chlorite | −0.22 | 0.81 | −6.00 | −2.15 |
| Illite | −1.23 | −1.28 | 0.50 | −1.31 |
| Plagioclase | 9.16 | 9.21 | 9.72 | 9.35 |
| Hornblende | 7.22 | 9.49 | −3.11 | 3.52 |
| Microline | −2.21 | −2.06 | −1.36 | −2.61 |
| Charge balance coefficient | −2.5 × 10−4 | −5.88 × 10−4 | −1.48 × 10−3 | −1.35 × 10−3 |
| Mineral Transfer Mass (mol/L) | ||
|---|---|---|
| LPW Path | BPW Path | |
| Calcite | 8.197 × 10−4 | 3.667 × 10−3 |
| Dolomite | −2.658 × 10−4 | −2.826 × 10−3 |
| Gypsum | / | 3.297 × 10−4 |
| Chlorite | −2.170 × 10−4 | 2.850 × 10−4 |
| Illite | 1.231 × 10−4 | 4.899 × 10−4 |
| Plagioclase | −1.208 × 10−4 | −9.721 × 10−4 |
| Microline | −7.311 × 10−4 | −3.554 × 10−4 |
| Hornblende | 2.127 × 10−4 | 1.233 × 10−4 |
| NaX | 1.150 × 10−3 | 2.537 × 10−3 |
| CaX2 | −5.750 × 10−4 | −1.269 × 10−3 |
Publisher’s Note: MDPI stays neutral with regard to jurisdictional claims in published maps and institutional affiliations. |
© 2022 by the authors. Licensee MDPI, Basel, Switzerland. This article is an open access article distributed under the terms and conditions of the Creative Commons Attribution (CC BY) license (https://creativecommons.org/licenses/by/4.0/).
Share and Cite
Zhang, M.; Han, S.; Wang, Y.; Wang, Z.; Li, H.; Wang, X.; Liu, J.; Li, C.; Gao, Z. Characteristics and Controlling Factors of Groundwater Hydrochemistry in Dongzhi Tableland Area of the Loess Plateau of Eastern Gansu—A Case Study of Ning County Area, North China. Water 2022, 14, 3601. https://doi.org/10.3390/w14223601
Zhang M, Han S, Wang Y, Wang Z, Li H, Wang X, Liu J, Li C, Gao Z. Characteristics and Controlling Factors of Groundwater Hydrochemistry in Dongzhi Tableland Area of the Loess Plateau of Eastern Gansu—A Case Study of Ning County Area, North China. Water. 2022; 14(22):3601. https://doi.org/10.3390/w14223601
Chicago/Turabian StyleZhang, Mengnan, Shuangbao Han, Yushan Wang, Zhan Wang, Haixue Li, Xiaoyan Wang, Jiutan Liu, Changsuo Li, and Zongjun Gao. 2022. "Characteristics and Controlling Factors of Groundwater Hydrochemistry in Dongzhi Tableland Area of the Loess Plateau of Eastern Gansu—A Case Study of Ning County Area, North China" Water 14, no. 22: 3601. https://doi.org/10.3390/w14223601
APA StyleZhang, M., Han, S., Wang, Y., Wang, Z., Li, H., Wang, X., Liu, J., Li, C., & Gao, Z. (2022). Characteristics and Controlling Factors of Groundwater Hydrochemistry in Dongzhi Tableland Area of the Loess Plateau of Eastern Gansu—A Case Study of Ning County Area, North China. Water, 14(22), 3601. https://doi.org/10.3390/w14223601

