On the Numerical Solution of Sparse Linear Systems Emerging in Finite Volume Discretizations of 2D Boussinesq-Type Models on Unstructured Grids
Abstract
1. Introduction
2. Governing Equations
3. The Numerical Model
3.1. The FV Approximation
3.2. The Resulting Linear System for the Velocity Field Recovery
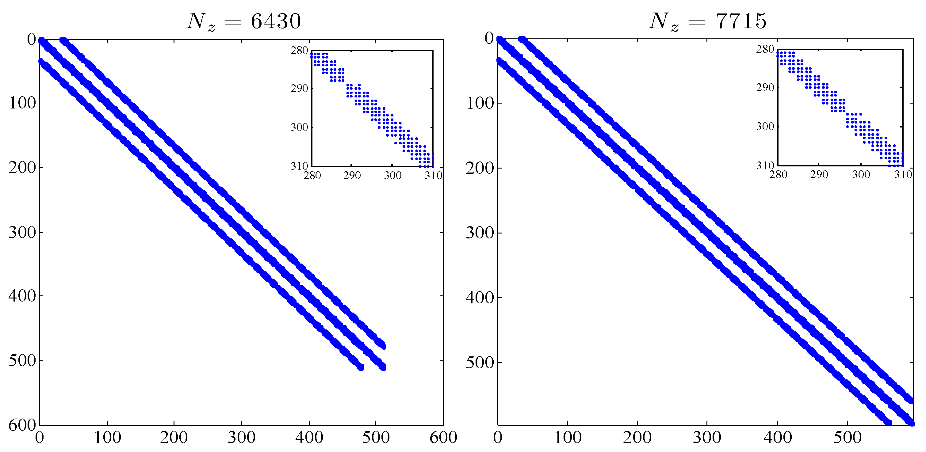
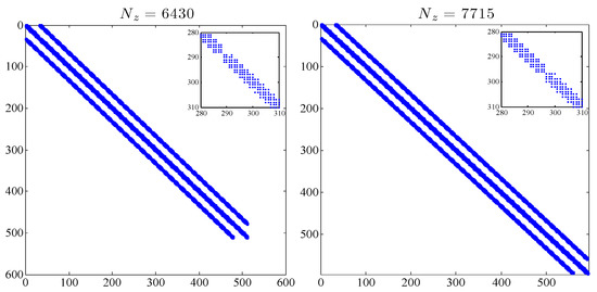
3.3. System’s Matrix Properties
4. Iterative Methods, Preconditioning and Reordering
4.1. Application of Iterative Methods
4.2. Application of Preconditioning Methods
4.2.1. The ILU(0) Preconditioner
4.2.2. The ILU(k) Preconditioner
4.2.3. ILUT() Preconditioner:
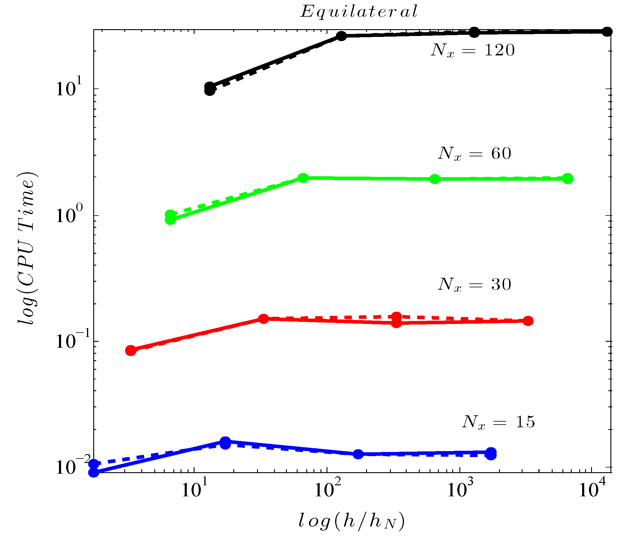
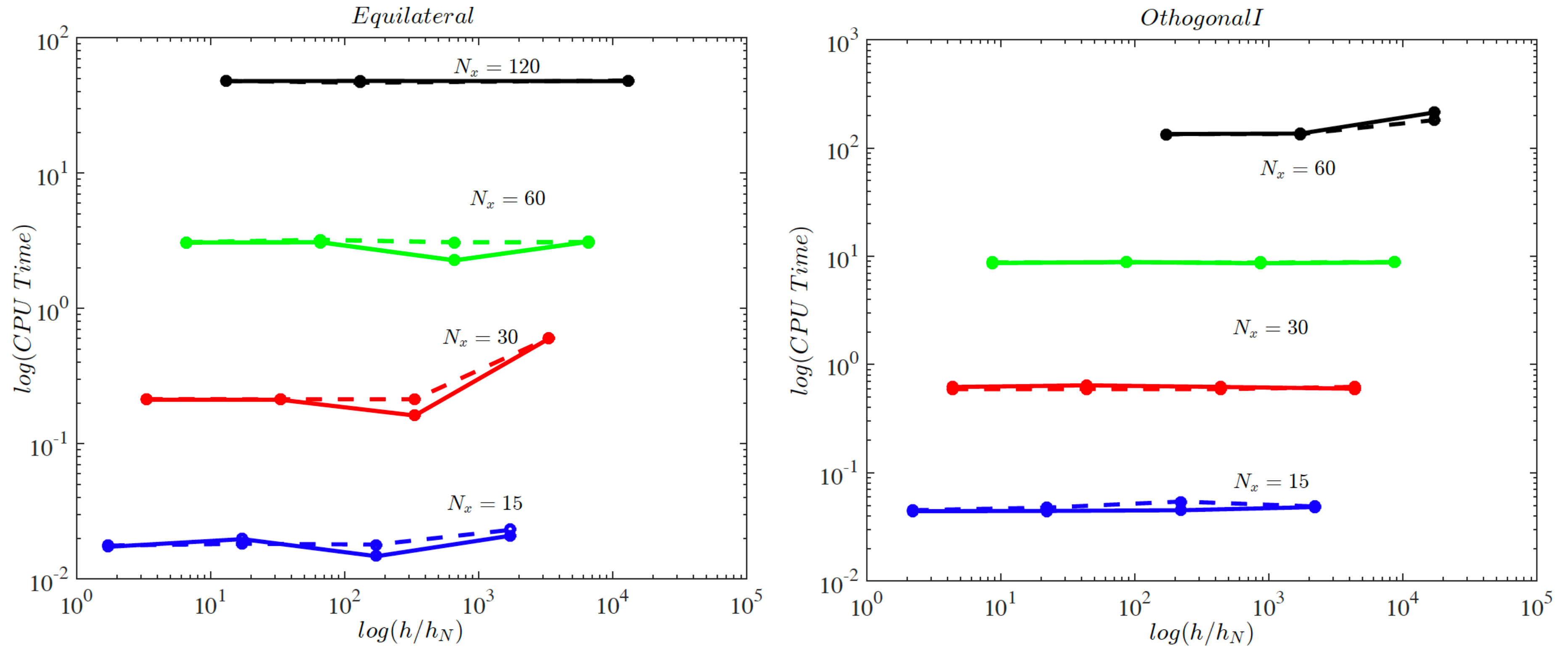
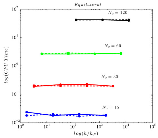
5. Reordering
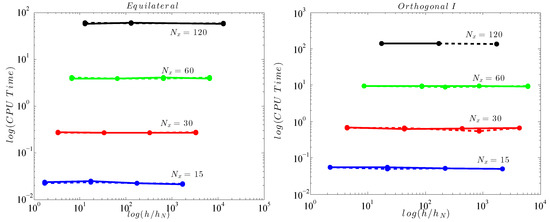
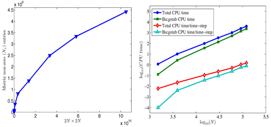
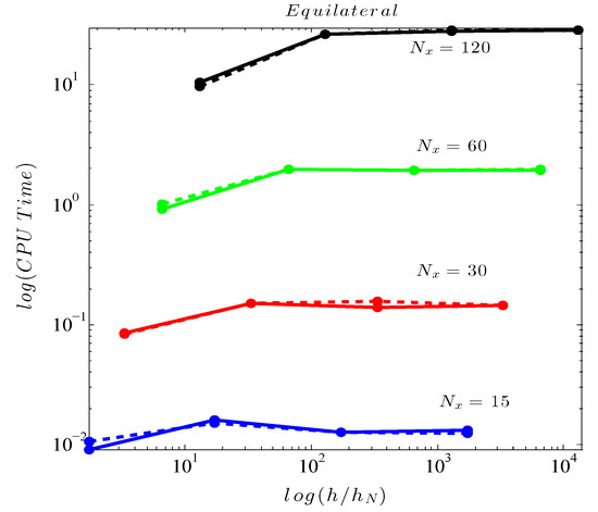
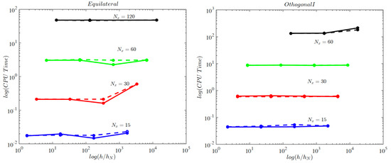
Spatial Accuracy and Efficiency
6. Conclusions
- BiCGSTAB and GMRES iterative methods give almost similar results for the resulting systems, with the BiCGSTAB to have been proven more robust in some cases and is the method of choice following from this work.
- The usage of preconditioning and/or reordering is mandatory as to achieve convergence for the different mesh types used.
- Using preconditioning and reordering we gained convergence for (all) systems in every water depth. Using only preconditioning we were able to solve efficiently systems that have a small condition number (usually derived from equilateral grids).
- Using a drop tolerance (for ILU(k) and ILUT preconditioners): CPU time using ILUT is less than that of using ILU(k) in average water depths. The usage of ILU(k) maybe more expensive in time but results on an overall the same CPU time in any water depth for the same grid resolution for convergence.
- As to correct the limitation of ILUT we decreased the drop tolerance and we observed that for larger water depths both iterative methods converge, but of course with an additional time cost. Like before the CPU time is independent on the relative water depth on each matrix.
- The Reverse Cuthill–McKee (RCM) ordering was proven more efficient compared to the Cuthill–McKee (CMK) ordering. This is found to greatly improve the efficiency of the ILUT preconditioner, since it constrains the factorized matrix to lie within a much narrower bandwidth and hence the incomplete factorization is generally more accurate for a prespecified amount of storage.
Author Contributions
Funding
Data Availability Statement
Conflicts of Interest
References
- Peregrine, D.H. Long waves on a beach. J. Fluid Mech. 1967, 27, 815–882. [Google Scholar] [CrossRef]
- Madsen, P.; Sørensen, O.R.; Schäffer, H.A. Surf zone dynamics simulated by a Boussinesq-type model: Part I. Model description and cross-shore motion of regular waves. Coast. Eng. 1997, 32, 255–288. [Google Scholar] [CrossRef]
- Nwogu, O. An alternative form of the Boussinesq equations for nearshore wave propagation. J. Waterw. Port Coastal Ocean Eng. 1994, 119, 618–638. [Google Scholar] [CrossRef]
- Madsen, P.A.; Sørensen, O.R. A new form of the Boussinesq equations with improved linear dispersion characteristics. Part 2: A slowing varying bathymetry. Coast. Eng. 1992, 18, 183–204. [Google Scholar] [CrossRef]
- Gobbi, M.F.; Kirby, J.T.; Wei, G. A fully non-linear Boussinesq model for surface waves. Part 2. Extension to O(kh4). J. Fluid Mech. 2000, 405, 181. [Google Scholar] [CrossRef]
- Lynett, P.; Liu, P.L.F. A two-layer approach to wave modeling. Proc. R. Soc. Lond. Ser. 2004, 460, 2637–2669. [Google Scholar] [CrossRef]
- Tissier, M.; Bonneton, P.; Marche, F.; Chazel, F.; Lannes, D. A new approach to handle wave breaking in fully non-linear Boussinesq models. Coast. Eng. 2012, 67, 54–66. [Google Scholar] [CrossRef]
- Wei, G.; Kirby, J.T. A time-dependent numerical code for extended Boussinesq equations. J. Waterw. Port Coastal Ocsean Eng. 1995, 120, 251–261. [Google Scholar] [CrossRef]
- Brocchini, M. A reasoned overview on Boussinesq-type models: The interplay between physics, mathematics and numerics. Proc. R. Soc. A 2013, 469. [Google Scholar] [CrossRef]
- Fuhrman, D.R.; Madsen, P.A. Simulation of nonlinear wave run-up with a high-order Boussinesq model. Coast. Eng. 2008, 55, 139–154. [Google Scholar] [CrossRef]
- Eskilsson, C.; Sherwin, S.J. Spectral/hp discontinuous Galerkin methods for modelling 2D Boussinesq equations. J. Comp. Phys. 2006, 210, 566. [Google Scholar] [CrossRef]
- Walkey, M.; Berzins, M. A finite element method for the two-dimensional extended Boussinesq equations. Int. J. Numer. Meth. Fluids 2002, 39, 865. [Google Scholar] [CrossRef]
- Ricchiuto, M.; Filippini, A.G. Upwind residual discretization of enhanced Boussinesq equations. J. Comp. Phys. 2014, 271, 306–341. [Google Scholar] [CrossRef]
- Erduran, K.S. Further application of hybrid solution to another form of Boussinesq equations and comparisons. Int. J. Numer. Methods Fluids 2007, 53, 827–849. [Google Scholar] [CrossRef]
- El Asmar, W.; Nwogu, O. Finite volume solution of Boussinesq-type equations on an unstructured grid. In Proceedings of the 30th International Conference on Coastal Engineering, San Diego, CA, USA, 3–8 September 2006; McKee Smith, J., Ed.; World Scientific: Singapore, 2006; pp. 73–85. [Google Scholar]
- Shi, F.; Kirby, J.T.; Harris, J.C.; Geiman, J.D.; Grilli, S.T. A high-order adaptive time-stepping TVD solver for Boussinesq modeling of breaking waves and coastal inundation. Ocean Model. 2012, 43–44, 36–51. [Google Scholar] [CrossRef]
- Roeber, V.; Cheung, K.F.; Kobayashi, M.H. Shock-capturing Boussinesq-type model for nearshore wave processes. Coast. Eng. 2010, 57, 407–423. [Google Scholar] [CrossRef]
- Tonelli, M.; Petti, M. Hybrid finite-volume finite-difference scheme for 2DH improved Boussinesq equations. Coast. Eng. 2009, 56, 609–620. [Google Scholar] [CrossRef]
- Kazolea, M.; Delis, A.I.; Nikolos, I.A.; Synolakis, C.E. An unstructured finite volume numerical scheme for extended 2D Boussinesq-type equations. Coast. Eng. 2012, 69, 42–66. [Google Scholar] [CrossRef]
- Kazolea, M.; Delis, A.I.; Synolakis, C.E. Numerical treatment of wave breaking on unstructured finite volume approximations for extended Boussinesq-type equations. J. Comp. Phys. 2014, 271, 281–305. [Google Scholar] [CrossRef]
- Zhang, S.; Zhu, L.; Li, J. Numerical Simulation of Wave Propagation, Breaking, and Setup on Steep Fringing Reefs. Water 2018, 10, 1147. [Google Scholar] [CrossRef]
- Liu, W.; Ning, Y.; Zhang, Y.; Zhang, J. Shock-Capturing Boussinesq Modelling of Broken Wave Characteristics Near a Vertical Seawall. Water 2018, 10, 1876. [Google Scholar] [CrossRef]
- Kazolea, M.; Delis, A. Irregular wave propagation with a 2DH Boussinesq-type model and an unstructured finite volume scheme. Eur. J. Mech. B/Fluids 2018, 72, 432–448. [Google Scholar] [CrossRef]
- Saad, Y. Iterative Methods for Sparse Linear Systems; SIAM: Philadelphia, PA, USA, 2003. [Google Scholar]
- Benzi, M. Preconditioning Techniques for Large Linear Systems: A Survey. J. Comp. Phys. 2002, 182, 418–477. [Google Scholar] [CrossRef]
- Saad, Y. SPARSKIT: A Basic Tool Kit for Sparse Matrix Computations, Version 2. Available online: https://people.sc.fsu.edu/~jburkardt/f77_src/sparsekit/sparsekit.html (accessed on 20 January 2021).
- Roe, P.L. Approximate Riemann Solvers, Parameter Vectors, and Difference Schemes. J. Comp. Phys. 1981, 43, 357–372. [Google Scholar] [CrossRef]
- van Leer, B. Towards the ultimate conservative difference scheme V. A second order sequel to Godunov’s method. J. Comp. Phys. 1979, 32, 101. [Google Scholar] [CrossRef]
- Barth, T.J. A 3-D Upwind Euler Solver for Unstructured Meshes; AIAA Paper 91-1548CP; AIAA: Reston, VA, USA, 1991. [Google Scholar]
- Delis, A.I.; Nikolos, I.K.; Kazolea, M. Performance and comparison of cell-centered and node-centered unstructured finite volume discretizations for shallow water free surface flows. Arch. Comput. Methods Eng. 2011, 18, 57–118. [Google Scholar] [CrossRef]
- Smith, T.M.; Barone, M.F.; Bond, R.B. Comparison of reconstruction techniques for unstructured mesh vertex centered finite volume schemes. In Proceedings of the 18th AIAA Computational Fluid Dynamics Conference, Miami, FL, USA, 25– 28 June 2007; pp. 1–22. [Google Scholar]
- Spiteri, R.J.; Ruuth, S.J. A new class of optimal high-order strong-stability-preserving time discretization methods. SIAM J. Numer. Anal. 2002, 40, 469. [Google Scholar] [CrossRef]
- Barth, T.J. Aspects of Unstructured grids and finite volume solvers for the Euler and NAvier-Stokes equations. In Special Course on Unstructured Grid Methods for Advection Dominated Flows; AGARD Report; NATO: Paris, France, 1992; Volume 787. [Google Scholar]
- Barth, T.J. Numerical Methods and Error Estimation for Conservation laws on Structured and Unstructured Meshes; VKI Computational Fluid Dynamics Lecture Series; VKI: Waterloosesteenweg, Belgium, 2003. [Google Scholar]
- Barth, T.J.; Ohlberger, M. Finite volume methods: Foundation and analysis. In Encyclopedia of Computational Mechanics; Stein, E., de Borst, R., Hudges, T., Eds.; John Wiley and Sons Ltd.: Hoboken, NJ, USA, 2004. [Google Scholar]
- Olshanskii, M.; Tyrtyshnikon, E. Iterative Methods for Linear Systems; SIAM: Philadelphia, PA, USA, 2015. [Google Scholar]
- Wathen, A. Preconditioning. Acta Numer. 2015, 24, 329–376. [Google Scholar] [CrossRef]
- Engsig-Karup, A.P. Unstructured Nodal DG-FEM Solution of High-Order Boussinesq-Type Equations. Ph.D. Thesis, Technical University of Denmark, Kongens Lyngby, Denmark, 2006. [Google Scholar]
- George, A.; Liu, J.W.H. Computer Solution of Large Sparce Positive Definite Systems; Prentice Hall: Englewood Cliffs, NJ, USA, 1981. [Google Scholar]
- Benzi, M.; Szyld, D.B.; Duin, A.V. Orderings for incomplete factorization preconditioning of nonsymmetric problems. SIAM J. Sci. Comput. 1999, 20, 1652–1670. [Google Scholar] [CrossRef]
















| Equilateral | Orthogonal I | Orthogonal II | Distorted | |
|---|---|---|---|---|
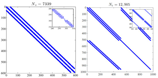
| 15 | 352,836 (7339) | 925,444 (12,905) | 262,144 (6430) | 352,836 (7715) |
| 30 | 4,857,616 (28,436) | 13,853,284 (50,806) | 3,694,084 (25,163) | 4,857,616 (29,746) |
| 60 | 7,4132,100 (118,293) | 214,388,164 (201,931) | 55,383,364 (99,258) | 74,132,100 (118,293) |
| Equilateral | Orthogonal I | Orthogonal II | Distorted | |
|---|---|---|---|---|
| 15 | 0.058 | 0.0456 | 0.0625 | 0.058 |
| 30 | 0.0301 | 0.0232 | 0.0323 | 0.0301 |
| 60 | 0.0152 | 0.017 | 0.0164 | 0.0152 |
| GMRES (s)/Iterations | BiCGStab (s)/Iterations | |
|---|---|---|
| 0.1/0.0456 | 1.588515759/2 | 1.588515759/3 |
| 1.0/0.0456 | 1.525697947/2 | 1.581536055/3 |
| 10/0.0456 | 1.580311775/3 | 1.591470003/3 |
| 0.1/0.0232 | 87.64499593/2 | 87.37235212/3 |
| 10/0.0232 | - | 87.47821903/3 |
| Equilateral (s) | Orthogonal I (s) | |
|---|---|---|
| 15 | 0.014 | 0.012 |
| 30 | 0.19 | 0.15 |
| 60 | 2.62 | 2.24 |
| 120 | - | - |
Publisher’s Note: MDPI stays neutral with regard to jurisdictional claims in published maps and institutional affiliations. |
© 2022 by the authors. Licensee MDPI, Basel, Switzerland. This article is an open access article distributed under the terms and conditions of the Creative Commons Attribution (CC BY) license (https://creativecommons.org/licenses/by/4.0/).
Share and Cite
Delis, A.I.; Kazolea, M.; Gaitani, M. On the Numerical Solution of Sparse Linear Systems Emerging in Finite Volume Discretizations of 2D Boussinesq-Type Models on Unstructured Grids. Water 2022, 14, 3584. https://doi.org/10.3390/w14213584
Delis AI, Kazolea M, Gaitani M. On the Numerical Solution of Sparse Linear Systems Emerging in Finite Volume Discretizations of 2D Boussinesq-Type Models on Unstructured Grids. Water. 2022; 14(21):3584. https://doi.org/10.3390/w14213584
Chicago/Turabian StyleDelis, Anargiros I., Maria Kazolea, and Maria Gaitani. 2022. "On the Numerical Solution of Sparse Linear Systems Emerging in Finite Volume Discretizations of 2D Boussinesq-Type Models on Unstructured Grids" Water 14, no. 21: 3584. https://doi.org/10.3390/w14213584
APA StyleDelis, A. I., Kazolea, M., & Gaitani, M. (2022). On the Numerical Solution of Sparse Linear Systems Emerging in Finite Volume Discretizations of 2D Boussinesq-Type Models on Unstructured Grids. Water, 14(21), 3584. https://doi.org/10.3390/w14213584

