Cu(II) Adsorption from Aqueous Solution onto Poly(Acrylic Acid/Chestnut Shell Pigment) Hydrogel
Abstract
1. Introduction
2. Materials and Methods
2.1. Materials
2.2. CSP Preparation
2.3. Poly(AA/CSP) Synthesis
2.4. Poly(AA/CSP) Characterization
2.5. Adsorption Experiments
3. Results
3.1. Surface Morphology of Poly(AA/CSP)
3.2. FT–IR of Poly(AA/CSP)
3.3. Effect of pH on Adsorption
3.4. Adsorption Kinetics
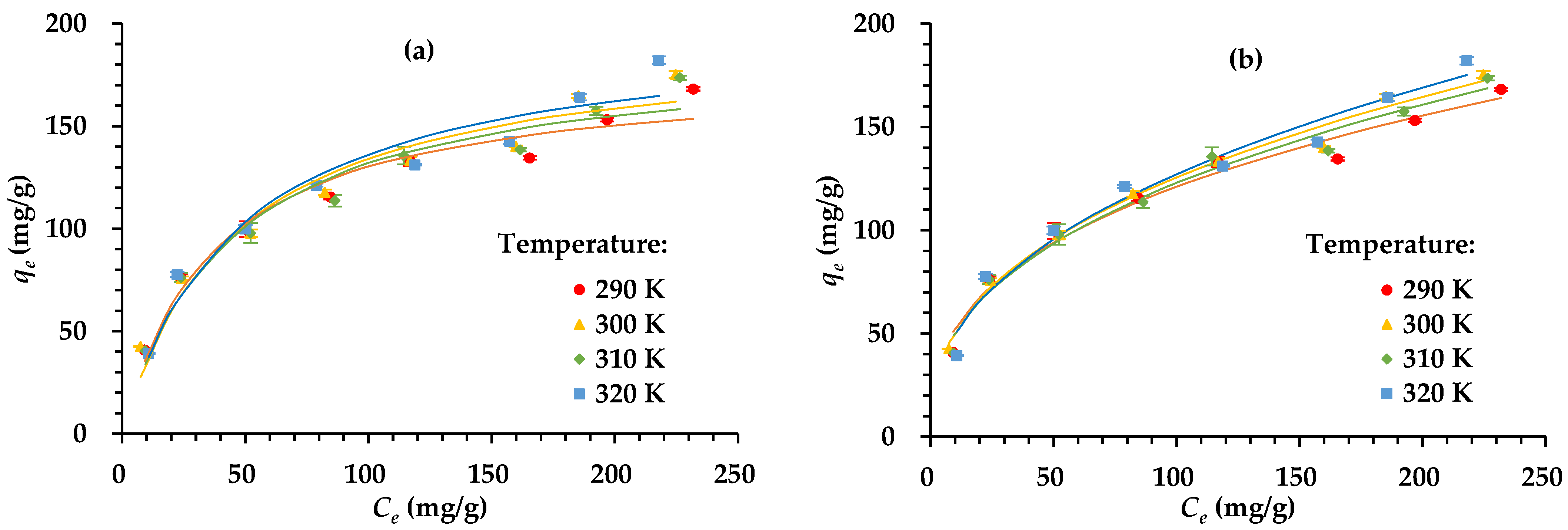
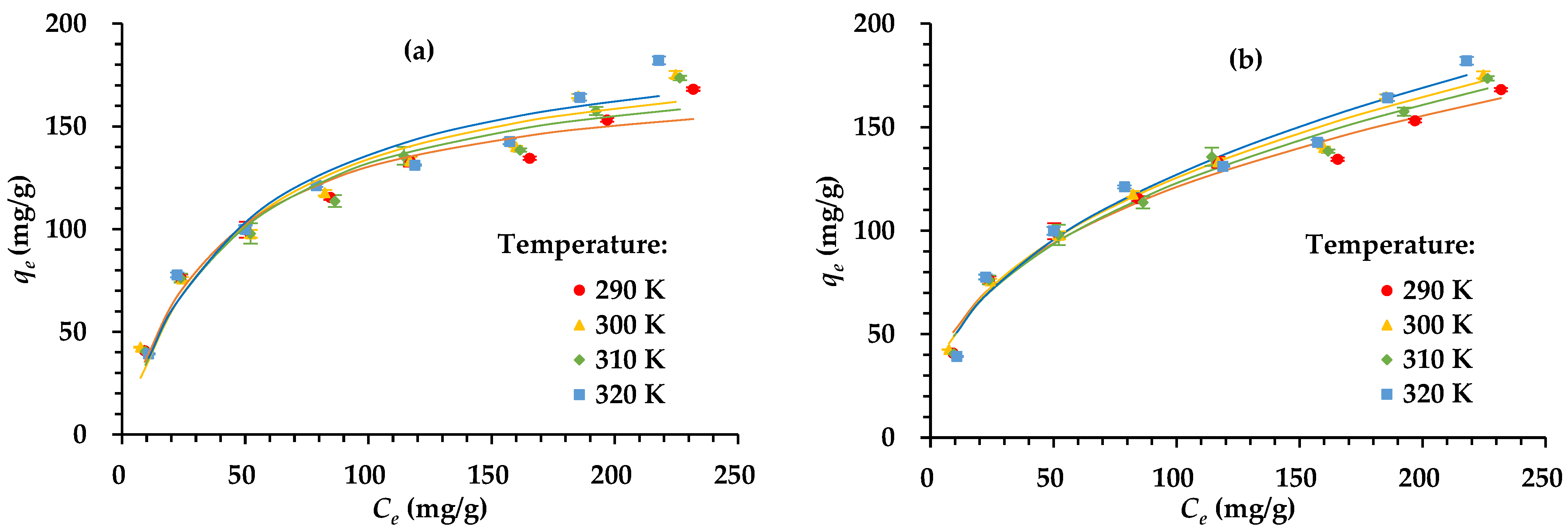
3.5. Adsorption Equilibrium
3.6. Adsorption Thermodynamics
4. Discussion
4.1. Synthesis of Hydrogel Adsorbent
4.2. Adsorption Performance
4.3. Adsorption Mechanisms
5. Conclusions
Author Contributions
Funding
Institutional Review Board Statement
Informed Consent Statement
Data Availability Statement
Conflicts of Interest
References
- Yang, F.; Pei, R.; Zhang, Z.; Liao, J.; Yu, W.; Qiao, N.; Han, Q.; Li, Y.; Hu, L.; Guo, J. Copper induces oxidative stress and apoptosis through mitchondria-mediated pathway in chicken hepatocytes. Toxicol. In Vitro 2019, 54, 310–316. [Google Scholar] [CrossRef] [PubMed]
- Fu, W.Q.; Wen, Y.; Tang, W.J.; Yao, Z.Y. Cu(II) removal from aqueous solution by ultrafiltration assisted with chestnut shell pigment. Water Conserv. Sci. Eng. 2022. [CrossRef]
- Chen, Z.; Wei, W.; Chen, H.; Ni, B.J. Recent advances in waste-derived functional materials for wastewater remediation. Eco-Environ. Health 2022, 1, 86–104. [Google Scholar] [CrossRef]
- Simić, M.; Petrović, J.; Šoštarić, T.; Ercegović, M.; Milojković, J.; Lopičić, Z.; Kojić, M. A Mechanism Assessment and Differences of Cadmium Adsorption on Raw and Alkali-Modified Agricultural Waste. Processes 2022, 10, 1957. [Google Scholar] [CrossRef]
- Petrović, M.; Šoštarić, T.; Stojanović, M.; Petrović, J.; Mihajlović, M.; Ćosović, A.; Stanković, S. Mechanism of adsorption of Cu2+ and Zn2+ on the corn silk (Zea mays L.). Ecol. Eng. 2017, 99, 83–90. [Google Scholar] [CrossRef]
- Chen, Z.; Wei, W.; Zou, W.; Li, J.; Zheng, R.; Wei, W.; Ni, B.J.; Chen, H. Integrating electrodeposition with electrolysis for closed-loop resource utilization of battery industrial wastewater. Green Chem. 2022, 24, 3208–3217. [Google Scholar] [CrossRef]
- Bolisetty, S.; Peydayesh, M.; Mezzenga, R. Sustainable technologies for water purification from heavy metals: Review and analysis. Chem. Soc. Rev. 2019, 48, 463–487. [Google Scholar] [CrossRef]
- Burakov, A.E.; Galunin, E.V.; Burakova, I.V.; Kucherova, A.E.; Agarwal, S.; Tkachev, A.G.; Gupta, V.K. Adsorption of heavy metals on conventional and nanostructured materials for wastewater treatment purposes: A review. Ecotoxicol. Environ. Saf. 2018, 148, 702–712. [Google Scholar] [CrossRef]
- Chen, Z.; Wei, W.; Ni, B.J.; Chen, H. Plastic wastes derived carbon materials for green energy and sustainable environmental applications. Environ. Funct. Mater. 2022, 1, 34–48. [Google Scholar] [CrossRef]
- Wang, H.Q.; Xu, W.L.; Song, S.S.; Feng, L.; Song, A.X.; Hao, J.C. Hydrogels facilitated by monovalent cations and their use as efficient dye adsorbents. J. Phys. Chem. B 2014, 118, 4693–4701. [Google Scholar] [CrossRef]
- Kaşgöz, H.; Durmuş, A.; Kaşgöz, A. Enhanced swelling and adsorption properties of AAm-AMPSNa/clay hydrogel nanocomposites for heavy metal ion removal. Polym. Adv. Technol. 2008, 19, 213–220. [Google Scholar] [CrossRef]
- Khan, M.; Lo, I.M. A holistic review of hydrogel applications in the adsorptive removal of aqueous pollutants: Recent progress, challenges, and perspectives. Water Res. 2016, 106, 259–271. [Google Scholar] [CrossRef] [PubMed]
- Hu, D.L.; Lian, Z.W.; Xian, H.Y.; Jiang, R.; Wang, N.; Weng, Y.Y.; Peng, X.W.; Wang, S.M.; Ouya, X.K. Adsorption of Pb(II) from aqueous solution by polyacrylic acid grafted magnetic chitosan nanocomposite. Int. J. Biol. Macromol. 2019, 154, 1537–1547. [Google Scholar] [CrossRef]
- Benamer, S.; Mahlous, M.; Tahtat, D.; Nacer-Khodja, A.; Arabi, M.; Lounici, H.; Mameri, N. Radiation synthesis of chitosan beads grafted with acrylic acid for metal ions sorption. Radiat. Phys. Chem. 2011, 80, 1391–1397. [Google Scholar] [CrossRef]
- Yao, Z.Y.; Qi, J.H.; Wang, L.H. Isolation, fractionation and characterization of melanin-like pigments from chestnut (Castanea mollissima) shells. J. Food Sci. 2012, 77, C671–C676. [Google Scholar] [CrossRef]
- Li, H.J.; Li, J.X.; Zhao, Z. Characterization of melanin extracted from apricot (Armeniaca sibirica) and its effect on hydrazine-induced rat hepatic injury. Sci. Asia. 2016, 42, 382–391. [Google Scholar] [CrossRef]
- Khemakhem, M.; Papadimitriou, V.; Sotiroudis, G.; Zoumpoulakis, P.; Arbez-Gindre, C.; Bouzouita, N.; Sotiroudis, T.G. Melanin and humic acid-like polymer complex from olive mill waste waters. Part I. Isolation and characterization. Food Chem. 2016, 203, 540–547. [Google Scholar]
- Chen, S.G.; Xue, C.H.; Wang, J.F.; Feng, H.; Wang, Y.M.; Ma, Q.; Wang, D.F. Adsorption of Pb (II) and Cd (II) by squid Ommastrephes bartrami melanin. Bioinorg. Chem. Appl. 2009, 2009, 901563. [Google Scholar] [CrossRef]
- Thaira, H.; Raval, K.; Manirethan, V.; Balakrishnan, R.M. Melanin nano-pigments for heavy metal remediation from water. Sep. Sci. Technol. 2018, 54, 265–274. [Google Scholar] [CrossRef]
- Zdybel, M.; Chodurek, E.; Pilawa, B. Free radicals in ultraviolet irradiated melanins and melanin complexes with Cd (II) and Cu (II)–EPR examination. J. Appl. Biomed. 2015, 13, 131–141. [Google Scholar] [CrossRef]
- Hong, L.; Simon, J.D. Current understanding of the binding sites, capacity, affinity, and biological significance of metals in melanin. J. Appl. Biomed. B 2007, 111, 7938–7947. [Google Scholar] [CrossRef] [PubMed]
- Zhou, M.; Su, P.; Qi, J.H.; Hu, Y.; Yao, Z.Y. Double-catalyzed base-acid synthesis of chestnut shell pigment resin cross-linked with formaldehyde. Appl. Mech. Mater. 2014, 587, 663–668. [Google Scholar] [CrossRef]
- Su, P.; Zhou, M.; Qi, J.H.; Kan, H.; Yao, Z.Y. Synthesis and copper sorption of chestnut-shell-pigment/SiO2 composite. Adv. Mater. Res. 2014, 1035, 53–57. [Google Scholar] [CrossRef]
- Yao, Z.Y.; Qi, J.H.; Hu, Y.; Wang, Y. Insolubilization of chestnut shell pigment for Cu (II) adsorption from water. Molecules 2016, 21, 405. [Google Scholar] [CrossRef]
- Fiol, N.; Villaescusa, I. Determination of sorbent point zero charge: Usefulness in sorption studies. Environ. Chem. Lett. 2009, 7, 79–84. [Google Scholar] [CrossRef]
- Ahmad, N.H.; Isa, M.I.N. Structural and ionic conductivity studies of CMC based polymerelectrolyte doped with NH4Cl. Adv. Mater. Res. 2015, 1107, 247–252. [Google Scholar] [CrossRef]
- Centeno, S.A.; Shamir, J. Surface enhanced Raman scattering (SERS) and FTIR characterization of the sepia melanin pigment used in works of art. J. Mol. Struct. 2008, 873, 149–159. [Google Scholar] [CrossRef]
- Yu, Y.; Peng, R.; Yang, C.; Tang, Y. Eco-friendly and cost-effective superabsorbent sodium polyacrylate composites for environmental remediation. Asian J. Mater. Sci. 2015, 50, 5799–5808. [Google Scholar] [CrossRef]
- de Oliveira, L.K.; Molina, E.F.; Moura, A.L.A.; de Faria, E.H.; Ciuffi, K.J. Synthesis, Characterization, and Environmental Applications of Hybrid Materials Based on Humic Acid Obtained by the Sol–Gel Route. ACS Appl. Mater. Interfaces 2016, 8, 1478–1485. [Google Scholar] [CrossRef]
- Wander, M.M.; Bidart, M.G. Tillage practice influences on the physical protection, bioavailability and composition of particulate organic matter. Biol. Fertil. Soils 2000, 32, 360–367. [Google Scholar] [CrossRef]
- Fu, J.L.; Liu, X.D.; Liu, L.; Meng, H.M.; Wang, X.B. Infrared and Raman spectral analysis of the polycrystalline copper hydroxonitrates. IOP Conf. Ser. Mater. Sci. Eng. 2020, 774, 012060. [Google Scholar] [CrossRef]
- Lagergren, S. About theory of so-called adsorption of soluble substances. K. Sven. Vetenskapsakad. Handl. 1898, 24, 1–39. [Google Scholar]
- Ho, Y.S.; McKay, G. Kinetic models for the sorption of dye from aqueous solution by wood. Trans. IChemE Part B 1998, 76, 183–191. [Google Scholar] [CrossRef]
- Langmuir, I. The adsorption of gases on plane surfaces of glass, mica and platinum. J. Am. Chem. Soc. 1918, 40, 1361–1403. [Google Scholar] [CrossRef]
- Freundlich, H.M.A. Concerning adsorption in solutions. J. Chem. Phys. 1906, 57, 385–470. [Google Scholar]
- Dawood, S.; Sen, T.K.; Phan, C. Synthesis and characterisation of novel-activated carbon from waste biomass pine cone and its application in the removal of Congo red dye from aqueous solution by adsorption. Water Air Soil Poll. 2014, 225, 1818. [Google Scholar] [CrossRef]
- Shen, S.H.; Zhang, Y.Y.; Li, T.B.; Zeng, Q.L. Preparation and water absorbency of superabsorbent kaolin/PAA-AM composite. Adv. Mater. Res. 2013, 2203, 1968–1976. [Google Scholar] [CrossRef]
- Zhang, J.P.; Wang, L.; Wang, A.Q. Preparation and properties of chitosan-g-poly (acrylic acid)/montmorillonite superabsorbent nanocomposite via in situ intercalative polymerization. Ind. Eng. Chem. Res. 2007, 46, 2497–2502. [Google Scholar] [CrossRef]
- Li, A.; Wang, A.Q.; Chen, J.M. Studies on poly (acrylic acid)/attapulgite superabsorbent composite. I. Synthesis and characterization. J. Appl. Polym. Sci. 2004, 92, 1596–1603. [Google Scholar] [CrossRef]
- Chen, J.J.; Ahmad, A.L.; Ooi, B.S. Poly (N-isopropylacrylamide-co-acrylic acid) hydrogels for copper ion adsorption: Equilibrium isotherms, kinetic and thermodynamic studies. J. Environ. Chem. Eng. 2013, 1, 339–348. [Google Scholar] [CrossRef]
- Zheng, Y.A.; Hua, S.B.; Wang, A.Q. Adsorption behavior of Cu2+ from aqueous solutions onto starch-g-poly (acrylic acid)/sodium humate hydrogels. Desalination 2010, 263, 170–175. [Google Scholar] [CrossRef]
- Zhao, B.X.; Wang, P.; Zheng, T.; Chen, C.Y.; Shu, J. Preparation and adsorption performance of a cellulosic-adsorbent resin for copper (II). J. Appl. Polym. Sci. 2006, 99, 2951–2956. [Google Scholar]
- Choi, H.Y.; Bae, J.H.; Hasegawa, Y.; An, S.; Kim, I.S.; Lee, H.; Kim, M. Thiol-functionalized cellulose nanofiber membranes for the effective adsorption of heavy metal ions in water. Carbohydr. Polym. 2020, 234, 115881. [Google Scholar] [CrossRef] [PubMed]
- Kayalvizhi, K.; Alhaji, N.M.I.; Saravanakkumar, D.; Mohamed, S.B.; Kaviyarasu, K.; Ayeshamariam, A.; AlMohaimeed, A.M.; AbdelGawwad, M.R.; Elshikh, M.S. Adsorption of copper and nickel by using sawdust chitosan nanocomposite beads—A kinetic and thermodynamic study. Environ. Res. 2022, 203, 111814. [Google Scholar] [CrossRef]
- He, H.C.; Huang, Y.B.; Yan, M.M.; Xie, Y.T.; Li, Y. Synergistic effect of electrostatic adsorption and ion exchange for efficient removal of nitrate. Colloids Surf. A 2020, 584, 123973. [Google Scholar] [CrossRef]
- Singh, A.; Kumar, D.; Gaur, J.P. Removal of Cu(II) and Pb(II) by Pithophora oedogonia: Sorption, desorption and repeated use of the biomass. J. Hazard. Mater. 2008, 152, 1011–1019. [Google Scholar] [CrossRef]
- Mohammadzadeh Pakdel, P.; Peighambardoust, S.J. A review on acrylic based hydrogels and their applications in wastewater treatment. J. Environ. Manag. 2018, 217, 123–143. [Google Scholar] [CrossRef]
- White, L.P. Melanin: A naturally occurring cation exchange material. Nature 1958, 182, 1427–1428. [Google Scholar] [CrossRef]
- Mensah, J.B.; Delidovich, I.; Hausoul, P.J.C.; Weisgerber, L.; Schrader, W.; Palkovits, R. Mechanistic studies of the Cu(OH)+-catalyzed isomerization of glucose into fructose in water. Chemsuschem 2018, 11, 2579–2586. [Google Scholar] [CrossRef]







| C0 (mg/L) | Pseudo-First Order | Pseudo-Second Order | ||||
|---|---|---|---|---|---|---|
| qe (mg/g) | K1 (10−3/min) | R2 | qe (mg/g) | K2 (10−4g/mg/min) | R2 | |
| 100 | 72.04 ± 1.30 | 12.69 ± 2.29 | 0.9588 | 81.51 ± 1.61 | 1.931 ± 0.33 | 0.9631 |
| 200 | 147.5 ± 1.84 | 16.13 ± 1.61 | 0.9742 | 163.4 ± 2.17 | 1.182 ± 0.11 | 0.9692 |
| 400 | 190.4 ± 2.75 | 32.25 ± 2.41 | 0.8698 | 202.7 ± 3.33 | 2.682 ± 0.32 | 0.9088 |
| T/K | Langmuir | Freundlich | ||||
|---|---|---|---|---|---|---|
| qm (mg/g) | KL (L/g) | R² | KF (mg1−1/n/g·L−1/n) | 1/n | R² | |
| 290 | 178.1 ± 0.71 | 27.08 ± 0.50 | 0.9609 | 22.76 ± 0.56 | 0.3626 ± 0.0034 | 0.9751 |
| 300 | 194.5 ± 1.88 | 22.12 ± 1.59 | 0.9509 | 20.67 ± 0.96 | 0.3916 ± 0.0071 | 0.9878 |
| 310 | 188.4 ± 2.94 | 23.18 ± 2.08 | 0.9540 | 20.45 ± 1.17 | 0.3892 ± 0.0163 | 0.9796 |
| 320 | 200.3 ± 2.75 | 21.27 ± 1.65 | 0.9484 | 19.16 ± 1.02 | 0.4110 ± 0.0093 | 0.9702 |
| T (K) | ∆G° (kJ/mol) | ∆H° (kJ/mol) | ∆S° (J/mol·K) | R² |
|---|---|---|---|---|
| 290 | −17.97 ± 0.04 | −5.182 | 43.70 | 0.9878 |
| 300 | −18.08 ± 0.02 | |||
| 310 | −18.81 ± 0.05 | |||
| 320 | −19.18 ± 0.02 |
Publisher’s Note: MDPI stays neutral with regard to jurisdictional claims in published maps and institutional affiliations. |
© 2022 by the authors. Licensee MDPI, Basel, Switzerland. This article is an open access article distributed under the terms and conditions of the Creative Commons Attribution (CC BY) license (https://creativecommons.org/licenses/by/4.0/).
Share and Cite
Zhang, H.; Li, G.-W.; Feng, W.; Yao, Z.-Y. Cu(II) Adsorption from Aqueous Solution onto Poly(Acrylic Acid/Chestnut Shell Pigment) Hydrogel. Water 2022, 14, 3500. https://doi.org/10.3390/w14213500
Zhang H, Li G-W, Feng W, Yao Z-Y. Cu(II) Adsorption from Aqueous Solution onto Poly(Acrylic Acid/Chestnut Shell Pigment) Hydrogel. Water. 2022; 14(21):3500. https://doi.org/10.3390/w14213500
Chicago/Turabian StyleZhang, Hui, Guo-Wei Li, Wei Feng, and Zeng-Yu Yao. 2022. "Cu(II) Adsorption from Aqueous Solution onto Poly(Acrylic Acid/Chestnut Shell Pigment) Hydrogel" Water 14, no. 21: 3500. https://doi.org/10.3390/w14213500
APA StyleZhang, H., Li, G.-W., Feng, W., & Yao, Z.-Y. (2022). Cu(II) Adsorption from Aqueous Solution onto Poly(Acrylic Acid/Chestnut Shell Pigment) Hydrogel. Water, 14(21), 3500. https://doi.org/10.3390/w14213500

