The Effect of Particle Concentration on Bed Particle Diffusion in Dilute Flows
Abstract
1. Introduction
2. Description of the Lagrangian Model
2.1. Description of the Forces Included in the Saltation Model
2.1.1. Submerged Weight ()
2.1.2. Drag Force ()
2.1.3. Lift Force ()
2.1.4. Basset Force ()
2.1.5. Magnus Force ()
2.1.6. Added Mass Force ()
2.1.7. Fluid Acceleration Force ()
2.2. Sub-Model for the Particle Free-Flight
2.3. Sub-Model for Collision of Particles with the Bottom Wall
2.4. Sub-Model for Collision among Particles
2.5. Diffusion
3. Study Case
3.1. Experimental Information for Validation
3.2. Computational Implementation
3.3. Description of How the Model Works
3.4. Cases to Be Analyzed
4. Results and Discussion
4.1. Model Validation
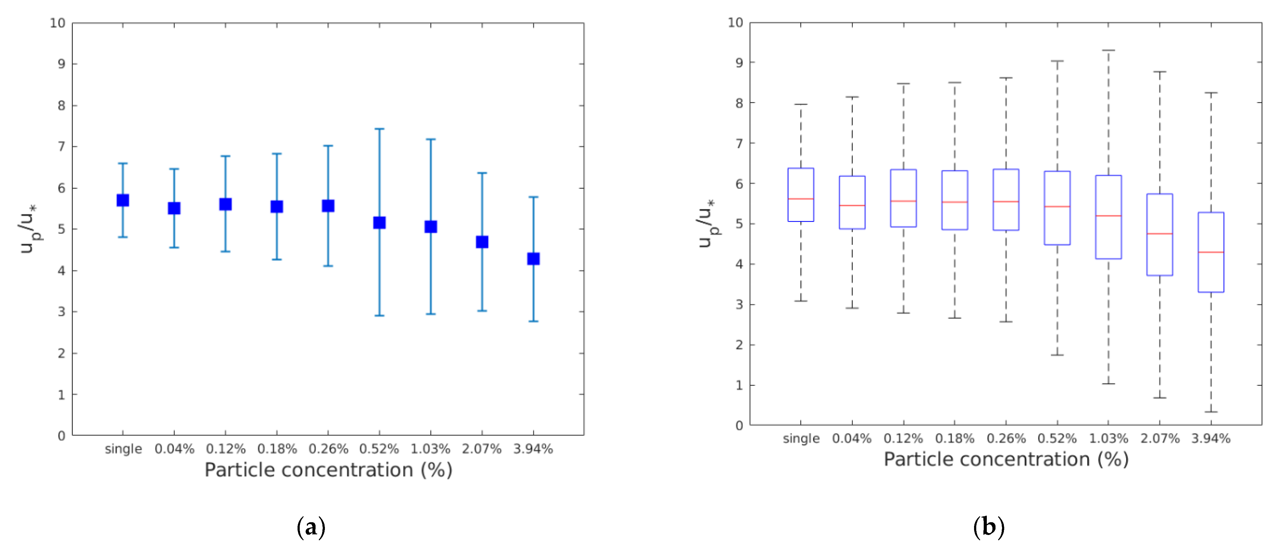
4.2. Particle Concentration
4.3. Computational Resources
4.4. Particle Diffusion
5. Conclusions
- The particle model results, coupled with a high-resolution LES-WALE model, are in good agreement with the experimental information available in the literature for the saltation motion of sands. The particle-jump statistics follow the mean trend and variance of experimental results.
- In the local range and at concentrations smaller than 2%, both diffusion coefficients and are equal to 0.98. This value is very close to the theoretical value of 1.0 proposed by Nikora et al. for ballistic motion. At the largest concentration of 3.94%, both coefficients decrease to a value of 0.9 regardless of the flow intensity. This slightly smaller value is attributed to the effect of the increase in particle concentration, which restricts the particle movement al the local scale.
- In the intermediate range, it is very clear that greatly increases, and it is on average larger than , which also increases. For , , whereas for the smallest flow intensity, , . This suggests that the magnitude of the changes of particle direction in the streamwise direction caused by the momentum exchange of particle collisions are counteracted by the increase in the momentum exchange from the flow to the moving particles as the flow intensity rises.
- For a fixed flow intensity, there is a trend in the intermediate range to have larger diffusion coefficients as particle concentration increases. This is caused by the increase in the interparticle collision rates.
- When the number of particles is greater than 13,000 it was observed that the number of collisions grows linearly with the number of particles. However, the number of collisions per particle reaches a plateau, which is an indication that there exists an upper limiting value for the number of collisions per particle.
- Larger particle concentrations cause a reduction in mean particle jump height and length for lower flow intensities. As flow intensities increase, this effect still occurs but with a smaller magnitude.
- The computational effort of the model devoted to particle collisions becomes limiting as the particle concentrations increase within the dilute flow range. This is a very important aspect to account for when increasing the computational domain (larger amounts of particles within the dilute range) for real scale engineering structures, or when trying to mimic non-dilute conditions (concentrations higher than 5%, where two-way coupling must be also considered).
- The effect of particle concentration on particle velocity is important in two aspects: First, a significant reduction on its mean magnitude is computed in flows with sediment concentrations above 0.52%. Second, there is an increase in the variance of particle velocities for higher particle concentrations. More importantly, given that one particle may move nine times faster than other particles (under the same flow intensity for a given particle concentration), it thus introduces larger fluctuations in the bedload transport rates when compared to mean values. This is a very important finding, as most of the equations used to estimate sediment transport rates use mean values, not considering the fluctuations in particle statistics.
- Particle velocity is an important variable when computing sediment transport rates. If a small computational domain, limited simulation time, assuming particles of the same diameter, with fixed particles at the bed, moderate Reynolds numbers, with no changes of geometry or lateral flows (due to stream spatial changes) generates large particle velocity fluctuations, one can only imagine how the fluctuations will (most likely) increase up to a point where differences between sediment transport estimations and measurements can differ by orders of magnitude.
- Particle tracking codes such as the one used for this study may help understand the complex interactions occurring at the microscale (flow–particle, particle–particle, and particle–wall interactions) to find new expressions for the computation of rates of sediment transport that take into account its fluctuations.
Author Contributions
Funding
Institutional Review Board Statement
Informed Consent Statement
Data Availability Statement
Conflicts of Interest
Abbreviations
| Dimensionless bedload transport rate | |
| Shields parameter | |
| Critical Shields parameter | |
| Submerged specific gravity of the particle | |
| Particle mass | |
| Particle velocity in the X, Y and Z directions | |
| Flow velocity in the X, Y and Z directions | |
| Submerged weight | |
| Drag force | |
| Lift force | |
| Basset force | |
| Magnus force | |
| Added mass force | |
| Fluid acceleration force | |
| Water density | |
| Particle density | |
| Acceleration of gravity | |
| Particle diameter | |
| Magnitude of the relative particle velocity | |
| Drag coefficient | |
| Particle cross section in the direction of | |
| Magnitude of | |
| Lift coefficient | |
| Particle relative velocity at the top region | |
| Particle relative velocity at the bottom region | |
| Time | |
| Dynamic fluid viscosity | |
| Shear stress | |
| Angular velocity of the particle | |
| Magnus coefficient | |
| Added mass coefficient | |
| Shear velocity | |
| Factorization coefficient | |
| Explicit Reynolds number of the particle | |
| Kinematic fluid viscosity | |
| Angle formed by the bed and the horizontal plane | |
| Non-dimensional component of the rotation vector in the spanwise direction | |
| Angular velocity of the particle along the spanwise direction | |
| Direction normal to the channel bed | |
| Material derivate | |
| Particle Reynolds number | |
| Particle fall velocity | |
| Non-dimensional particle rotation vector | |
| Coefficient used in the computation of the particle angular momentum equation | |
| Coefficients used in the computation of the particle angular momentum equation | |
| Non-dimensional vector of relative rotation of the particle with respect to the fluid vorticity | |
| Restitution coefficient | |
| Friction coefficient | |
| Diffusion factor on the X-axis | |
| Diffusion factor on the Z-axis | |
| Second order moments of the particle position in X and Z | |
| Constant coefficient used in the computation of the particle diffusion in the X- and Z-directions | |
| First order moment of the particle position in X and Z | |
| 〈 〉 | Ensemble average |
| Particle jump height | |
| Particle jump length | |
| Channel height | |
| Friction Reynolds number | |
| Reynolds number | |
| Y-plus mean value measured from the wall to the first finite volume | |
| Distance from the wall to half of the first finite volume |
References
- Julien, P.Y. Erosion and Sedimentation; Cambridge University Press: Cambridge, UK, 2010; ISBN 9780521830386. [Google Scholar]
- Cortés, J.; Riebensahm, M.; Schiller, C.; Schafer, O.; Tischeler, K. System for the Transport of an Ore Pulp in a Line System Located along a Gradient, and Components of Such a System. U.S. Patent No 8461702, 11 June 2013. [Google Scholar]
- Paterson, A.J.C. The Pipeline Transport of High Density Slurries: A Historical Review of Past Mistakes, Lessons Learned and Current Technologies. Min. Technol. 2012, 121, 37–45. [Google Scholar] [CrossRef]
- Moreno-Casas, P.A.; Bombardelli, F.A.; Toro, J.P. Generalized Algorithms for Particle Motion and Collision with Streambeds. Int. J. Sediment Res. 2019, 34, 295–306. [Google Scholar] [CrossRef]
- García, M.H. Sedimentation Engineering; Garcia, M., Ed.; American Society of Civil Engineers: Reston, VA, USA, 2008; ISBN 978-0-7844-0814-8. [Google Scholar]
- Einstein, H.A. The Bed-Load Function for Sediment Transportation in Open Channel Flows. US Department of Agriculture; ASCE Technical Bulletin No 1026: Washington, DC, USA, 1950. [Google Scholar]
- Francis, J.R.D. Experiments on the Motion of Solitary Grains along the Bed of a Water-Stream. Proc. R. Soc. Lond. A Math. Phys. Sci. 1973, 332, 443–471. [Google Scholar] [CrossRef]
- Lee, H.; Hsu, I. Investigation of Saltating Particle Motions. J. Hydraul. Eng. 1994, 120, 831–845. [Google Scholar] [CrossRef]
- Meyer-Peter, E.; Müller, R. Formulas for Bed-Load Transport. In Proceedings of the IAHR 2nd Meeting, Stockholm, Appendix 2, Stockholm, Sweden, 7 June 1948. [Google Scholar]
- Ancey, C. Bedload Transport: A Walk between Randomness and Determinism. Part 2. Challenges and Prospects. J. Hydraul. Res. 2020, 58, 18–33. [Google Scholar] [CrossRef]
- Maurin, R.; Chauchat, J.; Chareyre, B.; Frey, P. A Minimal Coupled Fluid-Discrete Element Model for Bedload Transport. Phys. Fluids 2015, 27, 113302. [Google Scholar] [CrossRef]
- Campagnol, J.; Radice, A.; Ballio, F.; Nikora, V. Particle Motion and Diffusion at Weak Bed Load: Accounting for Unsteadiness Effects of Entrainment and Disentrainment. J. Hydraul. Res. 2015, 53, 633–648. [Google Scholar] [CrossRef]
- Ancey, C. Bedload Transport: A Walk between Randomness and Determinism. Part 1. The State of the Art. J. Hydraul. Res. 2020, 58, 1–17. [Google Scholar] [CrossRef]
- Ballio, F.; Tait, S. Sediment Transport Mechanics. Acta Geophys. 2012, 60, 1493–1499. [Google Scholar] [CrossRef]
- Zeeshan Ali, S.; Dey, S. Bed Particle Saltation in Turbulent Wall-Shear Flow: A Review. Proc. R. Soc. A Math. Phys. Eng. Sci. 2019, 475, 20180824. [Google Scholar] [CrossRef] [PubMed]
- Ancey, C.; Davison, A.C.; Böhm, T.; Jodeau, M.; Frey, P. Entrainment and Motion of Coarse Particles in a Shallow Water Stream down a Steep Slope. J. Fluid Mech. 2008, 595, 83–114. [Google Scholar] [CrossRef]
- Dhont, B.; Rousseau, G.; Ancey, C. Continuous Monitoring of Bed-Load Transport in a Laboratory Flume Using an Impact Sensor. J. Hydraul. Eng. 2017, 143, 04017005. [Google Scholar] [CrossRef]
- Dietze, M.; Lagarde, S.; Halfi, E.; Laronne, J.B.; Turowski, J.M. Joint Sensing of Bedload Flux and Water Depth by Seismic Data Inversion. Water Resour. Res. 2019, 55, 9892–9904. [Google Scholar] [CrossRef]
- Wyss, C.R.; Rickenmann, D.; Fritschi, B.; Turowski, J.M.; Weitbrecht, V.; Travaglini, E.; Bardou, E.; Boes, R.M. Laboratory Flume Experiments with the Swiss Plate Geophone Bed Load Monitoring System: 2. Application to Field Sites with Direct Bed Load Samples. Water Resour. Res. 2016, 52, 7760–7778. [Google Scholar] [CrossRef]
- Maurin, R. Investigation of Granular Behavior in Bedload Transport Using an Eulerian-Lagrangian Model. Ph.D. Thesis, Université Grenoble Alpes, Saint-Martin-d’Hères, France, 2015. [Google Scholar]
- Prosperetti, A.; Tryggvason, G. Computational Methods for Multiphase Flow; Cambridge University Press: Cambridge, UK, 2009. [Google Scholar]
- Crowe, C.T.; Schwarzkopf, J.D.; Sommerfeld, M.; Tsuji, Y. Multiphase Flows with Droplets and Particles; CRC Press: Boca Raton, FL, USA, 2011; ISBN 9780429106392. [Google Scholar]
- Vowinckel, B. Incorporating Grain-Scale Processes in Macroscopic Sediment Transport Models. Acta Mech. 2021, 232, 2023–2050. [Google Scholar] [CrossRef]
- Hanes, D.M.; Bowen, A.J. A Granular-Fluid Model for Steady Intense Bed-Load Transport. J. Geophys. Res. 1985, 90, 9149. [Google Scholar] [CrossRef]
- Aussillous, P.; Chauchat, J.; Pailha, M.; Médale, M.; Guazzelli, É. Investigation of the Mobile Granular Layer in Bedload Transport by Laminar Shearing Flows. J. Fluid Mech. 2013, 736, 594–615. [Google Scholar] [CrossRef]
- Revil-Baudard, T.; Chauchat, J. A Two-Phase Model for Sheet Flow Regime Based on Dense Granular Flow Rheology. J. Geophys. Res. Oceans 2013, 118, 619–634. [Google Scholar] [CrossRef]
- Jenkins, J.T.; Hanes, D.M. Collisional Sheet Flows of Sediment Driven by a Turbulent Fluid. J. Fluid. Mech. 1998, 370, 29–52. [Google Scholar] [CrossRef]
- Hsu, T.-J.; Jenkins, J.T.; Liu, P.L.-F. On Two-Phase Sediment Transport: Sheet Flow of Massive Particles. Proc. R. Soc. Lond. Ser. A Math. Phys. Eng. Sci. 2004, 460, 2223–2250. [Google Scholar] [CrossRef]
- Deb, S.; Tafti, D.K. A Novel Two-Grid Formulation for Fluid–Particle Systems Using the Discrete Element Method. Powder Technol 2013, 246, 601–616. [Google Scholar] [CrossRef]
- Kidanemariam, A.G.; Uhlmann, M. Direct Numerical Simulation of Pattern Formation in Subaqueous Sediment. J. Fluid Mech. 2014, 750, R2. [Google Scholar] [CrossRef]
- Mazzuoli, M.; Blondeaux, P.; Vittori, G.; Uhlmann, M.; Simeonov, J.; Calantoni, J. Interface-Resolved Direct Numerical Simulations of Sediment Transport in a Turbulent Oscillatory Boundary Layer. J. Fluid Mech. 2020, 885, A28. [Google Scholar] [CrossRef]
- Maurin, R.; Chauchat, J.; Frey, P. Dense Granular Flow Rheology in Turbulent Bedload Transport. J. Fluid Mech. 2016, 804, 490–512. [Google Scholar] [CrossRef]
- Niño, Y.; García, M. Gravel Saltation: 2. Modeling. Water Resour. Res. 1994, 30, 1915–1924. [Google Scholar] [CrossRef]
- Moreno-Casas, P.A.; Bombardelli, F.A. Computation of the Basset Force: Recent Advances and Environmental Flow Applications. Environ. Fluid Mech. 2016, 16, 193–208. [Google Scholar] [CrossRef]
- Wiberg, P.L.; Smith, J.D. A Theoretical Model for Saltating Grains in Water. J. Geophys. Res. 1985, 90, 7341. [Google Scholar] [CrossRef]
- Yen, B.C. Sediment Fall Velocity in Oscillating Flow; Water Resources and Environmental Engineering Research Report 11; University of Virginia, Department of Civil Engineering: Charlottesville, VA, USA, 1992. [Google Scholar]
- Yamamoto, Y.; Potthoff, M.; Tanaka, T.; Kajishima, T.; Tsuji, Y. Large-Eddy Simulation of Turbulent Gas–Particle Flow in a Vertical Channel: Effect of Considering Inter-Particle Collisions. J. Fluid Mech. 2001, 442, 303–334. [Google Scholar] [CrossRef]
- Tsuji, Y.; Oshima, T.; Morikawa, Y. Numerical Simulation of Pneumatic Conveying in a Horizontal Pipe. KONA Powder Part. J. 1985, 3, 38–51. [Google Scholar] [CrossRef]
- Nikora, V.; Heald, J.; Goring, D.; McEwan, I. Diffusion of Saltating Particles in Unidirectional Water Flow over a Rough Granular Bed. J. Phys. A Math. Gen. 2001, 34, L743–L749. [Google Scholar] [CrossRef]
- Nikora, V.; Habersack, H.; Huber, T.; McEwan, I. On Bed Particle Diffusion in Gravel Bed Flows under Weak Bed Load Transport. Water Resour. Res. 2002, 38, 17-1–17-9. [Google Scholar] [CrossRef]
- Lee, H.-Y.; Lin, Y.-T.; Yunyou, J.; Wenwang, H. On Three-Dimensional Continuous Saltating Process of Sediment Particles near the Channel Bed. J. Hydraul. Res. 2006, 44, 374–389. [Google Scholar] [CrossRef]
- Niño, Y.; García, M. Experiments on Saltation of Sand in Water. J. Hydraul. Eng. 1998, 124, 1014–1025. [Google Scholar] [CrossRef]
- Niño, Y.; García, M.; Ayala, L. Gravel Saltation: 1. Experiments. Water Resour. Res 1994, 30, 1907–1914. [Google Scholar] [CrossRef]
- Lee, H.Y.; Chen, Y.H.; You, J.Y.; Lin, Y.T. Investigations of continuous bed load saltating process. J. Hydraul. Eng. 2000, 126, 691–700. [Google Scholar] [CrossRef]
- Schmeeckle, M.W.; Nelson, J.M.; Pitlick, J.; Bennett, J.P. Interparticle collision of natural sediment grains in water. Water Resour. Res. 2001, 37, 2377–2391. [Google Scholar] [CrossRef]
- Tsuji, Y.; Morikawa, Y.; Tanaka, T.; Nakatsukasa, N.; Nakatani, M. Numerical simulation of gas-solid two-phase flow in a two-dimensional horizontal channel. Int. J. Multiph. Flow 1987, 13, 671–684. [Google Scholar] [CrossRef]
- Nicoud, F.; Ducros, F. Subgrid-Scale Stress Modelling Based on the Square of the Velocity Gradient Tensor. Flow Turbul. Combust. 1999, 62, 183–200. [Google Scholar] [CrossRef]











| Authors | Recording Method | Particle Size (mm) | Number of Jumps | ||
|---|---|---|---|---|---|
| Lee et al. (2006) [41] | Standard video camera | 0.6 | Not available | 0.039–0.068 | Mean values |
| Lee et al. (2000) [44] | Standard video camera | 6 | Not available | 0.038–0.054 | Mean values |
| Niño and García (1998) [42] | High-speed video camera | 0.5–0.8 | 1–2 jumps every 100 particles | 0.021–0.026 | Mean and standard deviation |
| Niño et al. (1994) [43] | Standard video camera | 15–31 | 80 | 0.14–0.23 | Mean and standard deviation |
| Lee and Hsu (1994) [8] | Standard video camera | 1.36–2.47 | Not available | 0.036–0.105 | Mean values |
| Authors | ||
|---|---|---|
| Niño and García (1994) [33] | 0.75−0.25 | 0.89 |
| Schmeeckle et al. (2001) [45] | 0.65 | 0.10 |
| Tsuji et al. (1987) [46] | 0.80 | 0.40 |
| Number of Particles | Particle Concentration (%) * | CPU Time (s) |
|---|---|---|
| 1000 | 0.04 | 3251 |
| 3000 | 0.12 | 3548 |
| 4500 | 0.18 | 3761 |
| 6500 | 0.26 | 4053 |
| 13,000 | 0.52 | 5088 |
| 26,000 | 1.03 | 7662 |
| 52,000 | 2.07 | 14,543 |
| 99,000 | 3.94 | 31,858 |
| Flow Intensity | Local Range: γx | |||||||
|---|---|---|---|---|---|---|---|---|
| Particle Concentration (%) | ||||||||
| 0.04 | 0.12 | 0.18 | 0.26 | 0.52 | 1.03 | 2.07 | 3.94 | |
| 1.79 | 0.98 | 0.98 | 0.98 | 0.98 | 0.98 | 0.98 | 0.98 | 0.90 |
| 2.43 | 0.98 | 0.98 | 0.98 | 0.98 | 0.98 | 0.95 | 0.90 | 0.90 |
| 2.67 | 0.98 | 0.98 | 0.98 | 0.98 | 0.98 | 0.98 | 0.95 | 0.90 |
| Flow Intensity | Intermediate Range: γx | |||||||
|---|---|---|---|---|---|---|---|---|
| Particle Concentration (%) | ||||||||
| 0.04 | 0.12 | 0.18 | 0.26 | 0.52 | 1.03 | 2.07 | 3.94 | |
| 1.79 | 0.60 | 0.60 | 0.60 | 0.75 | 0.65 | 0.65 | 0.80 | 0.85 |
| 2.43 | 0.75 | 0.60 | 0.60 | 0.60 | 0.75 | 0.65 | 0.85 | 0.85 |
| 2.67 | 0.73 | 0.73 | 0.60 | 0.73 | 0.63 | 0.65 | 0.80 | 0.85 |
| Flow Intensity | Local Range: γz | |||||||
|---|---|---|---|---|---|---|---|---|
| Particle Concentration (%) | ||||||||
| 0.04 | 0.12 | 0.18 | 0.26 | 0.52 | 1.03 | 2.07 | 3.94 | |
| 1.79 | 0.98 | 0.98 | 0.98 | 0.98 | 0.98 | 0.98 | 0.90 | 0.90 |
| 2.43 | 0.98 | 0.98 | 0.98 | 0.98 | 0.98 | 0.98 | 0.90 | 0.90 |
| 2.67 | 0.98 | 0.98 | 0.98 | 0.98 | 0.98 | 0.98 | 0.90 | 0.90 |
| Flow Intensity | Intermediate Range: γz | |||||||
|---|---|---|---|---|---|---|---|---|
| Particle Concentration (%) | ||||||||
| 0.04 | 0.12 | 0.18 | 0.26 | 0.52 | 1.03 | 2.07 | 3.94 | |
| 1.79 | 0.50 | 0.50 | 0.55 | 0.60 | 0.60 | 0.70 | 0.70 | 0.65 |
| 2.43 | 0.45 | 0.50 | 0.60 | 0.60 | 0.60 | 0.65 | 0.70 | 0.65 |
| 2.67 | 0.55 | 0.55 | 0.55 | 0.55 | 0.60 | 0.60 | 0.65 | 0.70 |
Publisher’s Note: MDPI stays neutral with regard to jurisdictional claims in published maps and institutional affiliations. |
© 2022 by the authors. Licensee MDPI, Basel, Switzerland. This article is an open access article distributed under the terms and conditions of the Creative Commons Attribution (CC BY) license (https://creativecommons.org/licenses/by/4.0/).
Share and Cite
Moreno-Casas, P.A.; Toro, J.P.; Sepúlveda, S.; Abell, J.A.; González, E.; Paik, J. The Effect of Particle Concentration on Bed Particle Diffusion in Dilute Flows. Water 2022, 14, 3105. https://doi.org/10.3390/w14193105
Moreno-Casas PA, Toro JP, Sepúlveda S, Abell JA, González E, Paik J. The Effect of Particle Concentration on Bed Particle Diffusion in Dilute Flows. Water. 2022; 14(19):3105. https://doi.org/10.3390/w14193105
Chicago/Turabian StyleMoreno-Casas, Patricio A., Juan Pablo Toro, Sebastián Sepúlveda, José Antonio Abell, Eduardo González, and Joongcheol Paik. 2022. "The Effect of Particle Concentration on Bed Particle Diffusion in Dilute Flows" Water 14, no. 19: 3105. https://doi.org/10.3390/w14193105
APA StyleMoreno-Casas, P. A., Toro, J. P., Sepúlveda, S., Abell, J. A., González, E., & Paik, J. (2022). The Effect of Particle Concentration on Bed Particle Diffusion in Dilute Flows. Water, 14(19), 3105. https://doi.org/10.3390/w14193105

