SPH-Based Numerical Study on the Influence of Baffle Height and Inclination on the Interaction between Granular Flows and Baffles
Abstract
:1. Introduction
2. Materials and Methods
2.1. Governing Equations and Constitutive Model
2.2. SPH Implementation
3. Results
3.1. Influence of Baffle on Flow Kinematics of Granular Flows
3.2. Influence of Baffle Height
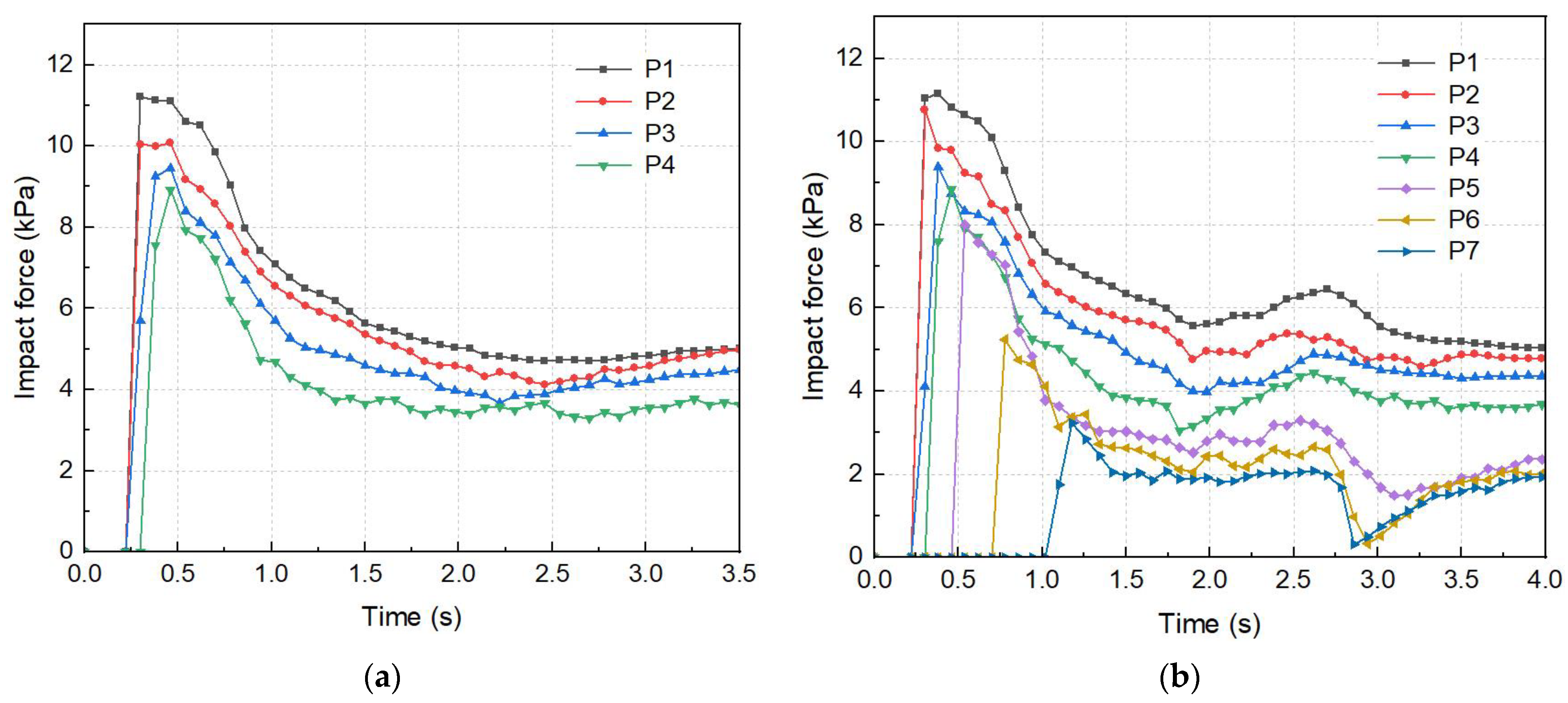
3.3. Impact Force Analysis
4. Discussion
5. Conclusions
Author Contributions
Funding
Conflicts of Interest
References
- Hungr, O.; Leroueil, S.; Picarelli, L. The Varnes classification of landslide types, an update. Landslides 2013, 11, 167–194. [Google Scholar] [CrossRef]
- Zhu, C.; Huang, Y.; Sun, J. Solid-like and liquid-like granular flows on inclined surfaces under vibration–Implications for earthquake-induced landslides. Comput. Geotech. 2020, 123, 103598. [Google Scholar] [CrossRef]
- Ji, F.; Dai, Z.; Li, R. A multivariate statistical method for susceptibility analysis of debris flow in southwestern China. Nat. Hazard Earth Sys. 2020, 20, 1321–1334. [Google Scholar] [CrossRef]
- Mizuyama, T. Structural countermeasures for debris flow disasters. Int. J. Erosion. Control. Eng. 2008, 1, 38–43. [Google Scholar] [CrossRef]
- Ng, C.W.W.; Song, D.; Choi, C.E.; Liu, L.H.D.; Kwan, J.S.H.; Koo, R.C.H.; Pun, W.K. Impact mechanisms of granular and viscous flows on rigid and flexible barriers. Can. Geotech. J. 2017, 54, 188–206. [Google Scholar] [CrossRef]
- Li, X.; Zhao, J. A unified CFD-DEM approach for modeling of debris flow impacts on flexible barriers. Int. J. Numer. Anal. Methods Geomech. 2018, 42, 1643–1670. [Google Scholar]
- Zhou, G.G.D.; Hu, H.S.; Song, D.; Zhao, T.; Chen, X.Q. Experimental study on the regulation function of slit dam against debris flows. Landslides 2019, 16, 75–90. [Google Scholar] [CrossRef]
- Song, D.; Choi, C.E.; Ng, C.W.W.; Zhou, G.G.D. Geophysical flows impacting a flexible barrier: Effects of solid-fluid interaction. Landslides 2018, 15, 99–110. [Google Scholar] [CrossRef]
- Zhu, C.; Chen, Z.; Huang, Y. Coupled moving particle simulation–finite-element method analysis of fluid–structure interaction in geodisasters. Int. J. Geomech. 2021, 21, 04021081. [Google Scholar] [CrossRef]
- Li, S.; Peng, C.; Wu, W.; Wang, S.; Chen, X.; Chen, J.; Zhou, G.G.D.; Chitneedi, B.K. Role of baffle shape on debris flow impact in step-pool channel: An SPH study. Landslides 2020, 17, 2099–2111. [Google Scholar] [CrossRef]
- Goodwin, G.R.; Choi, C.E.; Yune, C.Y. Towards rational use of baffle arrays on sloped and horizontal terrain for filtering boulders. Can. Geotech. J. 2021, 58, 1571–1589. [Google Scholar] [CrossRef]
- Law, P.H. Computational Study of Granular Debris Flow Impact on Rigid Barriers and Baffles. Ph.D. Thesis, The Hong Kong University of Science and Technology Civil and Environmental Engineering, Hong Kong, 2015. [Google Scholar]
- Cosenza, E.; Cozzolino, L.; Pianese, D.; Fabbrocino, G.; Acanfora, M. Concrete structures for mitigation of debris-flow hazard in the Montoro Inferiore Area, Southern Italy. In 2nd International Congress; International Federation for Structural Concrete: Naples, Italy, 2006; pp. 1–12. [Google Scholar]
- Hu, H.; Zhou, G.G.D.; Song, D.; Cui, K.F.E.; Huang, Y.; Choi, C.E.; Chen, H. Effect of slit size on the impact load against debris-flow mitigation dams. Eng. Geol. 2020, 274, 105764. [Google Scholar] [CrossRef]
- Choi, C.E.; Ng, C.W.W.; Law, P.H.; Song, D.; Kwan, J.H.S.; Ho, K.K.S. Computational investigation of baffle configuration on impedance of channelized debris flow. Can. Geotech. J. 2015, 52, 182–197. [Google Scholar] [CrossRef]
- Hakonardottir, K.M. The Interaction between Snow Avalanches and Dams. Ph.D. Thesis, University of Bristol, School of Mathematics, Bristol, UK, 2004. [Google Scholar]
- Mast, C.M.; Arduino, P.; Miller, G.R.; Mackenzie-Helnwein, P. Avalanche and landslide simulation using the material point method: Flow dynamics and force interaction with structures. Computat. Geosci. 2014, 18, 817–830. [Google Scholar] [CrossRef]
- Thompson, P.L.; Kilgore, R.T. Hydraulic Design of Energy Dissipators for Culverts and Channels: Hydraulic Engineering Circular Number 14 (No. FHWA-NHI-06-086); National Highway Institute (US): San Diego, CA, USA, 2006. [Google Scholar]
- Ng, C.W.W.; Choi, C.E.; Song, D.; Kwan, J.H.S.; Koo, R.C.H.; Shiu, H.Y.K.; Ho, K.K.S. Physical modeling of baffles influence on landslide debris mobility. Landslides 2015, 12, 1–18. [Google Scholar] [CrossRef]
- Choi, C.E. Flume and Discrete Element Investigation of Granular Flow Mechanisms and Interaction with Baffles. Ph.D. Thesis, The Hong Kong University of Science and Technology Civil and Environmental Engineering, Hong Kong, 2013. [Google Scholar]
- Choi, C.E.; Ng, C.W.W.; Song, D.; Kwan, J.H.S.; Shiu, H.Y.K.; Ho, K.K.S.; Koo, R.C.H. Flume investigation of landslide debris–resisting baffles. Can. Geotech. J. 2014, 51, 540–553. [Google Scholar] [CrossRef]
- Wang, D.; Li, Q.; Bi, Y.; He, S. Effects of new baffles system under the impact of rock avalanches. Eng. Geol. 2020, 264, 105261. [Google Scholar] [CrossRef]
- Zhang, B.; Huang, Y.; Liu, J. Micro-mechanism and efficiency of baffle structure in deceleration of granular flows. Acta Geotech. 2021, 16, 3667–3688. [Google Scholar] [CrossRef]
- Bi, Y.; Du, Y.; He, S.; Sun, X.; Wang, D.; Li, X.; Liang, H.; Wu, Y. Numerical analysis of effect of baffle configuration on impact force exerted from rock avalanches. Landslides 2018, 15, 1029–1043. [Google Scholar] [CrossRef]
- Zhou, G.G.D.; Du, J.; Song, D.; Choi, C.E.; Hu, H.; Jiang, C. Numerical study of granular debris flow run-up against slit dams by discrete element method. Landslides 2020, 17, 585–595. [Google Scholar] [CrossRef]
- Law, P.H.; Choi, C.E.; Ng, C.W.W. Discrete-element investigation of influence of granular debris flow baffles on rigid barrier impact. Can. Geotech. J. 2016, 53, 179–185. [Google Scholar] [CrossRef]
- Bi, Y.; Wang, D.; Fu, X.; Lin, Y.; Sun, X.; Jiang, Z. Optimal array layout of cylindrical baffles to reduce energy of rock avalanche. J. Mt. Sci. 2022, 19, 493–512. [Google Scholar] [CrossRef]
- Li, X.; Yan, Q.; Zhao, S.; Luo, Y.; Wu, Y.; Wang, D. Investigation of influence of baffles on landslide debris mobility by 3D material point method. Landslides 2020, 17, 1129–1143. [Google Scholar] [CrossRef]
- Lucy, L.B. A numerical approach to the testing of the fission hypothesis. Astron. J. 1977, 82, 1013–1024. [Google Scholar] [CrossRef]
- Han, Z.; Su, B.; Li, Y.; Dou, J.; Wang, W.; Zhao, L. Modeling the progressive entrainment of bed sediment by viscous debris flows using the three-dimensional SC-HBP-SPH method. Water Res. 2020, 182, 116031. [Google Scholar] [CrossRef]
- Han, Z.; Yang, F.; Li, Y.; Dou, J.; Chen, N.; Hu, G.; Chen, G.; Xu, L. GIS-based three-dimensional SPH simulation for the 11 april 2018 yabakei landslide at oita nakatsu, Japan. Water 2021, 13, 3012. [Google Scholar] [CrossRef]
- Huang, Y.; Cheng, H.; Dai, Z.; Xu, Q.; Liu, F.; Sawada, K.; Moriguchi, S.; Yashima, A. SPH–based numerical simulation of catastrophic debris flows after the 2008 Wenchuan earthquake. B Eng. Geol. Environ. 2015, 74, 1137–1151. [Google Scholar] [CrossRef]
- Tayyebi, S.M.; Pastor, M.; Stickle, M.M. Two-phase SPH numerical study of pore-water pressure effect on debris flows mobility: Yu Tung debris flow. Comput. Geotech. 2021, 132, 103973. [Google Scholar] [CrossRef]
- Zhang, W.; Xiao, D. Numerical analysis of the effect of strength parameters on the large-deformation flow process of earthquake-induced landslides. Eng. Geol. 2019, 260, 105239. [Google Scholar] [CrossRef]
- Dai, Z.; Huang, Y.; Cheng, H.; Xu, Q. SPH model for fluid–structure interaction and its application to debris flow impact estimation. Landslides 2017, 14, 917–928. [Google Scholar] [CrossRef]
- Moriguchi, S.; Borja, R.I.; Yashima, A.; Sawada, K. Estimating the impact force generated by granular flow on a rigid obstruction. Acta Geotech. 2009, 4, 57–71. [Google Scholar] [CrossRef]
- Yang, E.; Bui, H.H.; Nguyen, G.D.; Choi, C.E.; Ng, C.W.W.; De Sterck, H.; Bouazza, A. Numerical investigation of the mechanism of granular flow impact on rigid control structures. Acta Geotech. 2021, 16, 2505–2527. [Google Scholar] [CrossRef]
- Bui, H.H.; Kodikara, J.K.; Bouazza, A.; Haque, A.; Ranjith, P.G. A novel computational approach for large deformation and post-failure analyses of segmental retaining wall systems. Int. J. Numer. Anal. Methods Géoméch. 2014, 38, 1321–1340. [Google Scholar] [CrossRef]
- Huang, Y.; Jin, X.; Ji, J. Effects of barrier stiffness on debris flow dynamic Impact—II: Numerical simulation. Water 2022, 14, 182. [Google Scholar] [CrossRef]
- Sheikh, B.; Qiu, T.; Ahmadipur, A. Comparison of SPH boundary approaches in simulating frictional soil-structure interaction. Acta Geotech. 2021, 16, 2389–2408. [Google Scholar] [CrossRef]
- Hosseini, K.; Omidvar, P.; Kheirkhahan, M.; Farzin, S. Smoothed particle hydrodynamics for the interaction of Newtonian and non-Newtonian fluids using the μ (I) model. Powder Technol. 2019, 351, 325–337. [Google Scholar] [CrossRef]
- Massoudi, M.; Phuoc, T.X. Conduction and dissipation in the shearing flow of granular materials modeled as non-Newtonian fluids. Powder Technol. 2007, 175, 146–162. [Google Scholar] [CrossRef]
- Uzuoka, R.; Yashima, A.; Kawakami, T.; Konrad, J.M. Fluid dynamics based prediction of liquefaction induced lateral spreading. Comput. Geotech. 1998, 22, 243–282. [Google Scholar] [CrossRef]
- Liu, M.; Liu, G. Smoothed particle hydrodynamics (SPH): An overview and recent developments. Arch. Comput. Method E 2010, 17, 25–76. [Google Scholar] [CrossRef]
- Monaghan, J.J.; Lattanzio, J.C. A refined particle method for astrophysical problems. Astron. Astrophys. 1985, 149, 135–143. [Google Scholar]
- Zhang, W.; Maeda, K.; Saito, H.; Li, Z.; Huang, Y. Numerical analysis on seepage failures of dike due to water level-up and rainfall using a water–soil-coupled smoothed particle hydrodynamics model. Acta Geotech. 2016, 11, 1401–1418. [Google Scholar] [CrossRef]
- Tran, H.T.; Wang, Y.; Nguyen, G.D.; Kodikara, J.; Sanchez, M.; Bui, H.H. Modelling 3D desiccation cracking in clayey soils using a size-dependent SPH computational approach. Comput. Geotech. 2019, 116, 103209. [Google Scholar] [CrossRef]
- Zhang, W.; Ji, J.; Gao, Y. SPH-based analysis of the post-failure flow behavior for soft and hard interbedded earth slope. Eng. Geol. 2020, 267, 105446. [Google Scholar] [CrossRef]
- Cheng, H.; Huang, Y.; Zhang, W.; Xu, Q. Physical process-based runout modeling and hazard assessment of catastrophic debris flow using SPH incorporated with ArcGIS: A case study of the Hongchun gully. Catena 2022, 212, 106052. [Google Scholar] [CrossRef]
- Iverson, R.M.; Reid, M.E.; LaHusen, R.G. Debris-flow mobilization from landslides. Annu. Rev. Earth Planet. Sci. 1997, 25, 85–138. [Google Scholar] [CrossRef]
- Huang, Y.; Jin, X.; Ji, J. Effects of barrier stiffness on debris flow dynamic impact—I: Laboratory flume test. Water 2022, 14, 177. [Google Scholar] [CrossRef]
- Salehizadeh, A.M.; Shafiei, A.R. Modeling of granular column collaps-es with μ (I) rheology using smoothed particle hydrodynamic method. Granul. Matter. 2019, 21, 1–18. [Google Scholar] [CrossRef]
- Azema, E.; Radjai, F. Force chains and contact network topology in sheared packings of elongated particles. Phys. Rev. E 2012, 85, 031303. [Google Scholar] [CrossRef] [PubMed]
- Nguyen, N.H.; Bui, H.H.; Nguyen, G.D. Effects of material properties on the mobility of granular flow. Granul. Matter. 2020, 22, 1–17. [Google Scholar] [CrossRef]
- Song, D.; Zhou, G.G.D.; Xu, M.; Choi, C.E.; Li, S.; Zheng, Y. Quantitative analysis of debris-flow flexible barrier capacity from momentum and energy perspectives. Eng. Geol. 2019, 251, 81–92. [Google Scholar] [CrossRef]
- Jiang, Y.; Towhata, I. Experimental study of dry granular flow and impact behavior against a rigid retaining wall. Rock Mech. Rock Eng. 2013, 46, 713–729. [Google Scholar] [CrossRef]
- Zhang, B.; Huang, Y. Numerical and analytical analyses of the impact of monodisperse and bidisperse granular flows on a baffle structure. Landslides 2022. [Google Scholar] [CrossRef]











Publisher’s Note: MDPI stays neutral with regard to jurisdictional claims in published maps and institutional affiliations. |
© 2022 by the authors. Licensee MDPI, Basel, Switzerland. This article is an open access article distributed under the terms and conditions of the Creative Commons Attribution (CC BY) license (https://creativecommons.org/licenses/by/4.0/).
Share and Cite
Cheng, H.; Zhang, B.; Huang, Y. SPH-Based Numerical Study on the Influence of Baffle Height and Inclination on the Interaction between Granular Flows and Baffles. Water 2022, 14, 3063. https://doi.org/10.3390/w14193063
Cheng H, Zhang B, Huang Y. SPH-Based Numerical Study on the Influence of Baffle Height and Inclination on the Interaction between Granular Flows and Baffles. Water. 2022; 14(19):3063. https://doi.org/10.3390/w14193063
Chicago/Turabian StyleCheng, Hualin, Bei Zhang, and Yu Huang. 2022. "SPH-Based Numerical Study on the Influence of Baffle Height and Inclination on the Interaction between Granular Flows and Baffles" Water 14, no. 19: 3063. https://doi.org/10.3390/w14193063
APA StyleCheng, H., Zhang, B., & Huang, Y. (2022). SPH-Based Numerical Study on the Influence of Baffle Height and Inclination on the Interaction between Granular Flows and Baffles. Water, 14(19), 3063. https://doi.org/10.3390/w14193063

