Parameters Tuning of Fractional-Order Proportional Integral Derivative in Water Turbine Governing System Using an Effective SDO with Enhanced Fitness-Distance Balance and Adaptive Local Search
Abstract
1. Introduction
2. Effective Supply-Demand-Based Optimization (ESDO)
2.1. Supply-Demand-Based Optimization (SDO)
2.2. Proposed Method
2.2.1. Combining Enhanced Fitness-Distance Balance (EFDB) and Levy Flight
2.2.2. The Mutation Mechanism
2.2.3. Adaptive Local Search (ALS) Strategy
2.2.4. The Proposed ESDO Algorithm
3. Experimental Results and Analysis
3.1. Test Functions and Parameter Setting
3.2. Exploitation Analysis
3.3. Exploration Analysis
3.4. Statistical Analysis
4. ESDO for FOPID Controller of Water Turbine Governor System
4.1. System Description
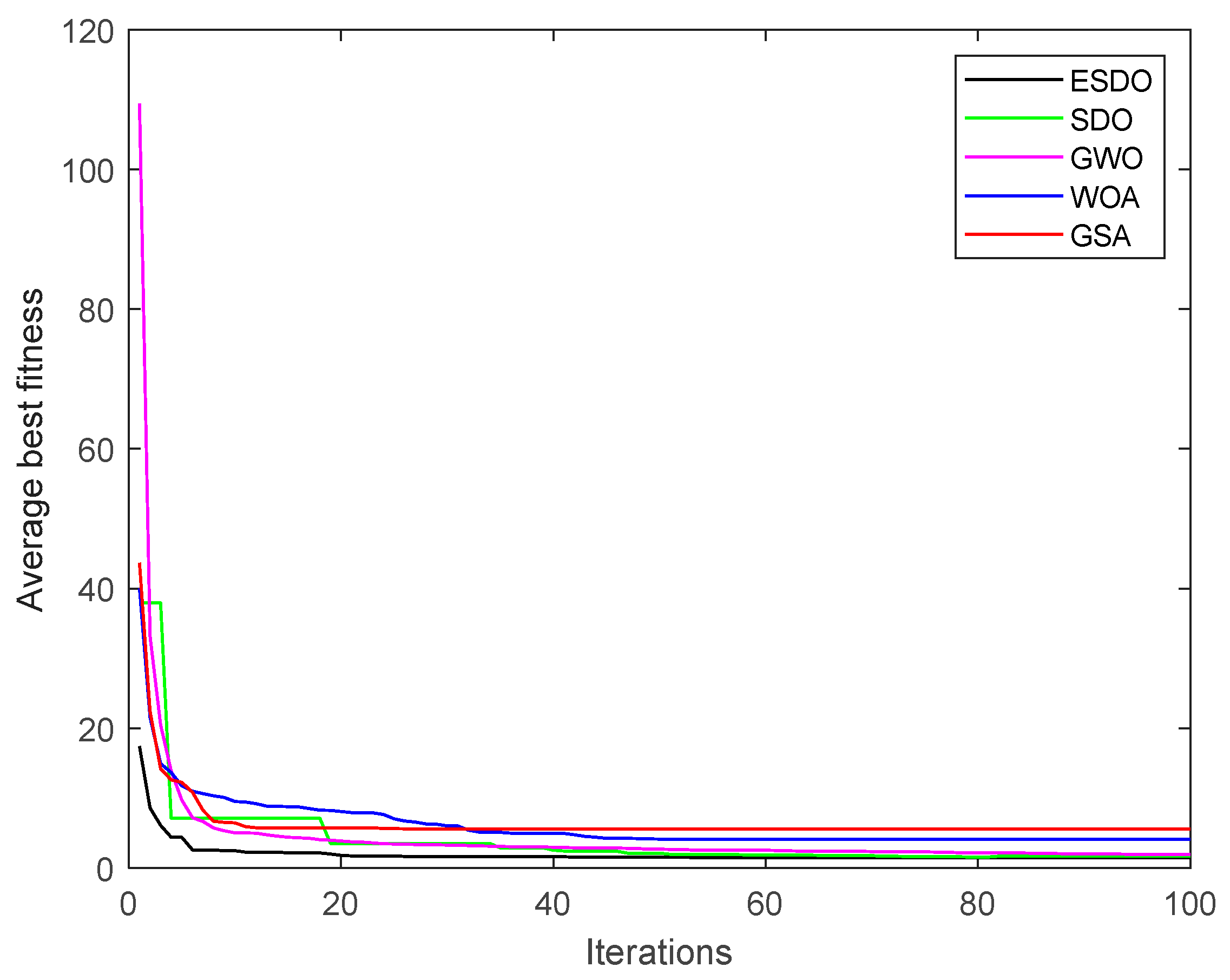
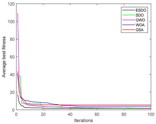
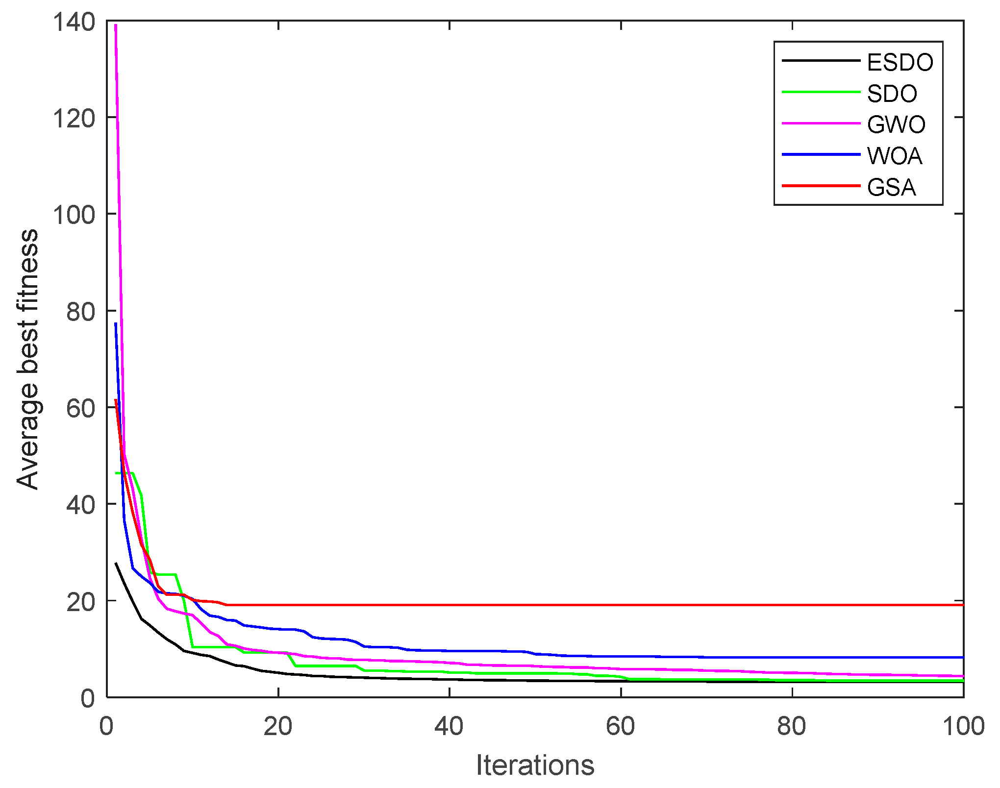
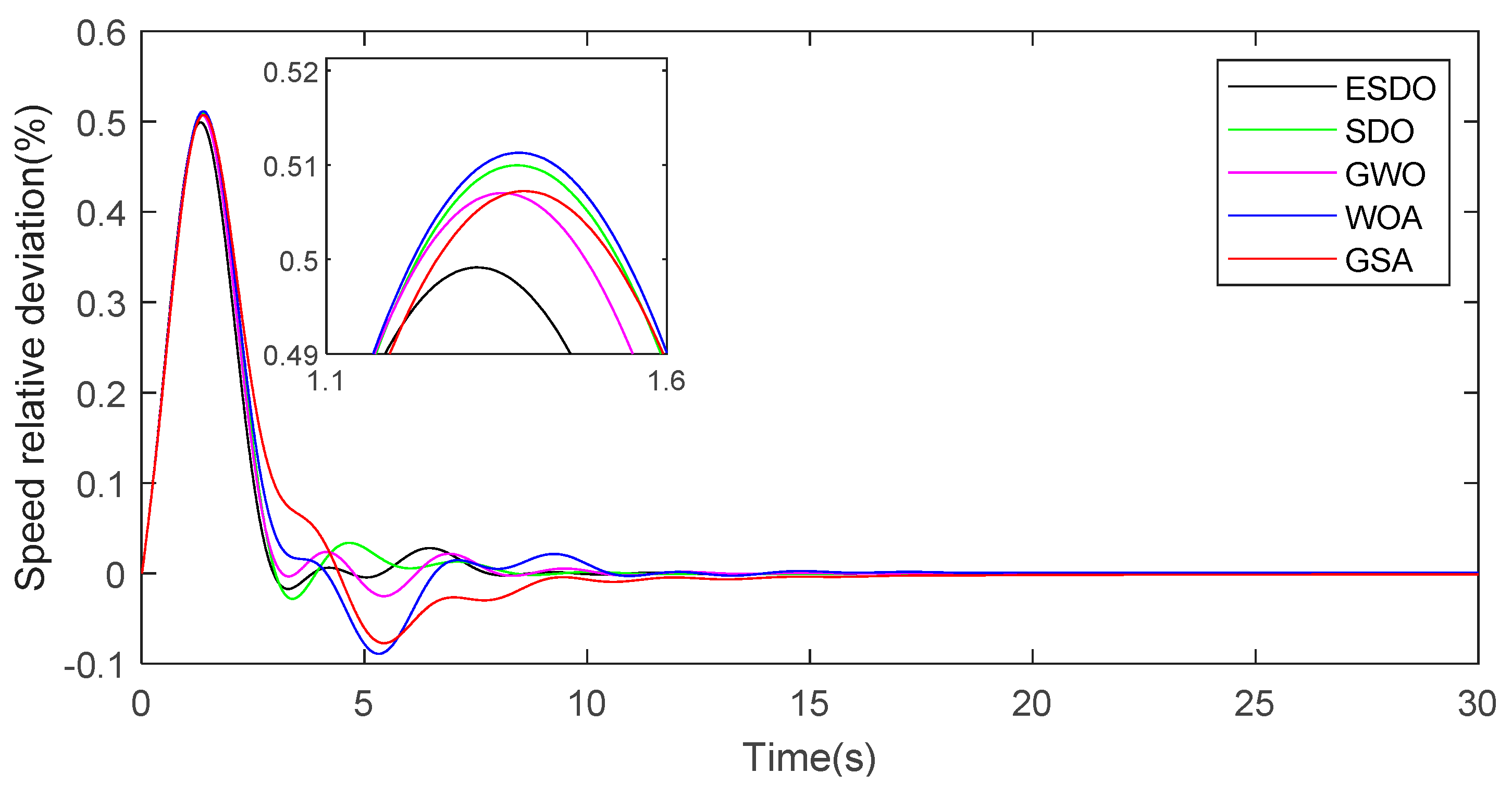
4.2. Experimental Results and Analysis
5. Conclusions
Author Contributions
Funding
Institutional Review Board Statement
Informed Consent Statement
Data Availability Statement
Conflicts of Interest
Appendix A
| Name | Function | D | Range | |
| Sphere | ||||
| Schwefel2.22 | ||||
| Schwefel1.2 | ||||
| Schwefel2.21 | ||||
| Rosenbrock | ||||
| Step | ||||
| Quartic |
| Name | Function | D | Range | |
| Schwefel | ||||
| Rastrigin | ||||
| Ackley | ||||
| Griewank | ||||
| Penalized | ||||
| Penalized2 |
| Name | Function | D | Range | |
| Foxholes | ||||
| Kowalik | ||||
| Six Hump Camel | ||||
| Branin | ||||
| GoldStein-Price | ||||
| Hartman 3 | ||||
| Hartman 6 | ||||
| Shekel 5 | ||||
| Shekel 7 | ||||
| Shekel 10 |
References
- Lu, R.R.; Wang, J.Y.; Fu, X.T.; Lin, S.H.; Wang, Q.; Zhang, B. Performance analysis and optimization for UAV-based FSO communication systems. Phys. Commun. 2022, 51, 101594. [Google Scholar] [CrossRef]
- Beus, M.; Krpan, M.; Kuzle, I.; Pandžić, H.; Parisio, A. A model predictive control approach to operation optimization of an ultracapacitor bank for frequency control. IEEE Trans. Energy Convers. 2021, 36, 1743–1755. [Google Scholar] [CrossRef]
- Chang, C.; Han, M. Production scheduling optimization of prefabricated building components based on dde algorithm. Math. Probl. Eng. 2021, 2021, 6672753. [Google Scholar] [CrossRef]
- Hu, G.; Du, B.; Wang, X.; Wei, G. An enhanced black widow optimization algorithm for feature selection. Knowl.-Based Syst. 2022, 235, 107638. [Google Scholar] [CrossRef]
- Yoo, S.; Oh, S. Flow analysis and optimization of a vertical axis wind turbine blade with a dimple. Eng. Appl. Comp. Fluid Mech. 2021, 15, 1666–1681. [Google Scholar] [CrossRef]
- Wang, L.; Cao, Q.; Zhang, Z.; Mirjalili, S.; Zhao, W. Artificial rabbits optimization: A new bio-inspired meta-heuristic algorithm for solving engineering optimization problems. Eng. Appl. Artif. Intell. 2022, 114, 105082. [Google Scholar] [CrossRef]
- Yildiz, A.R.; Mehta, P. Manta ray foraging optimization algorithm and hybrid Taguchi salp swarm-Nelder–Mead algorithm for the structural design of engineering components. Mater. Test. 2020, 64, 706–713. [Google Scholar] [CrossRef]
- Zeinalzadeh, A.; Pakatchian, M.R. Evaluation of novel-objective functions in the design optimization of a transonic rotor by using deep learning. Eng. Appl. Comp. Fluid Mech. 2021, 15, 561–583. [Google Scholar] [CrossRef]
- Pei, H.; Cui, Y.; Kong, B.; Jiang, Y.; Shi, H. Structural parameters optimization of submerged inlet using least squares support vector machines and improved genetic algorithm-particle swarm optimization approach. Eng. Appl. Comp. Fluid Mech. 2021, 15, 503–511. [Google Scholar] [CrossRef]
- Hu, G.; Zhong, J.; Du, B.; Wei, G. An enhanced hybrid arithmetic optimization algorithm for engineering applications. Comput. Meth. Appl. Mech. Eng. 2022, 394, 114901. [Google Scholar] [CrossRef]
- Wolpert, D.H.; Macready, W.G. No free lunch theorems for optimization. IEEE Trans. Evol. Comput. 1997, 1, 67–82. [Google Scholar] [CrossRef]
- Holland, J.H. Adaptation in Natural and Artificial Systems: An Introductory Analysis with Applications to Biology, Control, and Artificial Intelligence; MIT Press: Cambridge, MA, USA, 1992. [Google Scholar]
- Koza, J.R. Genetic programming as a means for programming computers by natural selection. Stat. Comput. 1994, 4, 87–112. [Google Scholar] [CrossRef]
- Huning, A. Evolutionsstrategie. optimierung technischer systeme nach prinzipien der biologischen evolution. Arch. Philos. Law Soc. Philos. 1976, 62, 298–300. [Google Scholar]
- David, B.F. Artificial Intelligence through Simulated Evolution. In Evolutionary Computation: The Fossil Record; Wiley-IEEE Press: Hoboken, NJ, USA, 1998; pp. 227–296. [Google Scholar] [CrossRef]
- Rashedi, E.; Nezamabadi-Pour, H.; Saryazdi, S. GSA: A gravitational search algorithm. Inf. Sci. 2009, 179, 2232–2248. [Google Scholar] [CrossRef]
- Zhao, W.; Wang, L.; Zhang, Z. Atom search optimization and its application to solve a hydrogeologic parameter estimation problem. Knowl.-Based Syst. 2019, 163, 283–304. [Google Scholar] [CrossRef]
- Xing, B.; Gao, W.J. Electromagnetism-like Mechanism Algorithm. In Innovative Computational Intelligence: A Rough Guide to 134 Clever Algorithms; Intelligent Systems Reference Library; Springer: Cham, Switzerland, 2014; Volume 62, pp. 347–354. [Google Scholar] [CrossRef]
- Formato, R.A. Central force optimization: A new metaheuristic with applications in applied electromagnetics. Prog. Electromagn. Res. 2007, 77, 425–491. [Google Scholar] [CrossRef]
- Pál, K.F. Hysteretic optimization for the Sherrington-Kirkpatrick spin glass. Phys. A Stat. Mech. Its Appl. 2006, 367, 261–268. [Google Scholar] [CrossRef][Green Version]
- Kaveh, A.; Talatahari, S. A novel heuristic optimization method: Charged system search. Acta Mech. 2010, 213, 267–289. [Google Scholar] [CrossRef]
- Pereira, J.L.J.; Francisco, M.B.; Diniz, C.A.; Oliver, G.A.; Cunha, S.S., Jr.; Gomes, G.F. Lichtenberg algorithm: A novel hybrid physics-based meta-heuristic for global optimization. Expert Syst. Appl. 2021, 170, 114522. [Google Scholar] [CrossRef]
- Hashim, F.A.; Houssein, E.H.; Mabrouk, M.S.; Al-Atabany, W.; Mirjalili, S. Henry gas solubility optimization: A novel physics-based algorithm. Futur. Gener. Comp. Syst. 2019, 101, 646–667. [Google Scholar] [CrossRef]
- Kashan, A.H. A new metaheuristic for optimization: Optics inspired optimization (OIO). Comput. Oper. Res. 2015, 55, 99–125. [Google Scholar] [CrossRef]
- Eberhart, R.; Kennedy, J. A new optimizer using particle swarm theory. In Proceedings of the Sixth International Symposium on Micro Machine and Human Science, IEEE, Nagoya, Japan, 4–6 October 1995; pp. 39–43. [Google Scholar] [CrossRef]
- Passino, K.M. Biomimicry of bacterial foraging for distributed optimization and control. IEEE Control Syst. Mag. 2002, 22, 52–67. [Google Scholar] [CrossRef]
- Zhao, W.; Zhang, Z.; Wang, L. Manta ray foraging optimization: An effective bio-inspired optimizer for engineering applications. Eng. Appl. Artif. Intell. 2020, 87, 103300. [Google Scholar] [CrossRef]
- Li, M.D.; Zhao, H.; Weng, X.W.; Han, T. A novel nature-inspired algorithm for optimization: Virus colony search. Adv. Eng. Softw. 2016, 92, 65–88. [Google Scholar] [CrossRef]
- Yang, X.S.; Deb, S. Cuckoo search via Levy flights. In Proceedings of the World Congress on Nature & Biologically Inspired Computing (NaBIC 2009), Coimbatore, India, 9–11 December 2009; IEEE Publications: Piscataway, NJ, USA; pp. 210–214. [Google Scholar] [CrossRef]
- Zhao, W.; Wang, L.; Zhang, Z. Artificial ecosystem-based optimization: A novel nature-inspired meta-heuristic algorithm. Neural Comput. Appl. 2020, 32, 9383–9425. [Google Scholar] [CrossRef]
- Alimoradi, M.; Azgomi, H.; Asghari, A. Trees social relations optimization algorithm: A new Swarm-Based metaheuristic technique to solve continuous and discrete optimization problems. Math. Comput. Simul. 2022, 194, 629–664. [Google Scholar] [CrossRef]
- Xie, L.; Han, T.; Zhou, H.; Zhang, Z.R.; Han, B.; Tang, A. Tuna swarm optimization: A novel swarm-based metaheuristic algorithm for global optimization. Comput. Intell. Neurosci. 2021, 2021, 9210050. [Google Scholar] [CrossRef]
- Peña-Delgado, A.F.; Peraza-Vázquez, H.; Almazán-Covarrubias, J.H.; Torres Cruz, N.; García-Vite, P.M.; Morales-Cepeda, A.B.; Ramirez-Arredondo, J.M. A novel bio-inspired algorithm applied to selective harmonic elimination in a three-phase eleven-level inverter. Math. Probl. Eng. 2020, 2020, 8856040. [Google Scholar] [CrossRef]
- Zhao, W.; Wang, L.; Zhang, Z. Supply-Demand-Based Optimization: A Novel Economics-Inspired Algorithm for Global Optimization. IEEE Access 2019, 7, 73182–73206. [Google Scholar] [CrossRef]
- Ali, A.M.; Nasrat, L.; Hassan, M.H.; Elsayed, S.K.; Kamel, S. Supply Demand-Based Optimization Algorithm for Estimating Break Down Voltage of Silicon Rubber Insulators. In Proceedings of the 2021 IEEE CHILEAN Conference on Electrical, Electronics Engineering, Information and Communication Technologies (CHILECON), Valparaíso, Chile, 6–9 December 2021; IEEE: Piscataway, NJ, USA, 2021; pp. 1–9. [Google Scholar] [CrossRef]
- Ginidi, A.R.; Shaheen, A.M.; El-Sehiemy, R.A.; Elattar, E. Supply demand optimization algorithm for parameter extraction of various solar cell models. Energy Rep. 2021, 7, 5772–5794. [Google Scholar] [CrossRef]
- Alturki, F.A.; Al-Shamma’a, A.A.; Farh, H.M.; AlSharabi, K. Optimal sizing of autonomous hybrid energy system using supply-demand-based optimization algorithm. Int. J. Energy Res. 2021, 45, 605–625. [Google Scholar] [CrossRef]
- Jing, C.; Wang, H.; Li, H. Deformation Prediction of Foundation Pit Based on Exponential Power Product Model of Improved Algorithm. Geofluids 2021, 2021, 7055693. [Google Scholar] [CrossRef]
- Ibrahim, S.A.; Kamel, S.; Hassan, M.H.; Elsayed, S.K.; Nasrat, L. Developed Algorithm Based on Supply-Demand-Based Optimizer for Parameters Estimation of Induction Motor. In Proceedings of the 2021 IEEE International Conference on Automation/XXIV Congress of the Chilean Association of Automatic Control (ICA-ACCA), Valparaíso, Chile, 22–26 March 2021; IEEE: Piscataway, NJ, USA, 2021; pp. 1–6. [Google Scholar]
- Vanchinathan, K.; Selvaganesan, N. Adaptive fractional order PID controller tuning for brushless DC motor using artificial bee colony algorithm. Results Control Optim. 2021, 4, 100032. [Google Scholar] [CrossRef]
- Karahan, O. Design of optimal fractional order fuzzy PID controller based on cuckoo search algorithm for core power control in molten salt reactors. Prog. Nucl. Energy 2021, 139, 103868. [Google Scholar] [CrossRef]
- Munagala, V.K.; Jatoth, R.K. Improved fractional PIλDμ controller for AVR system using Chaotic Black Widow algorithm. Comput. Electr. Eng. 2022, 97, 107600. [Google Scholar] [CrossRef]
- Kahraman, H.T.; Aras, S.; Gedikli, E. Fitness-distance balance (FDB): A new selection method for meta-heuristic search algorithms. Knowl.-Based Syst. 2020, 190, 105169. [Google Scholar] [CrossRef]
- Kati, M.; Kahraman, H.T. Improving supply-demand-based optimization algorithm with fdb method: A comprehensive research on engineering design problems. Mühendislik Bilimleri Ve Tasarım Derg. 2020, 8, 156–172. [Google Scholar] [CrossRef]
- Hu, G.; Chen, L.; Wang, X.; Wei, G. Differential Evolution-Boosted Sine Cosine Golden Eagle Optimizer with Lévy Flight. J. Bionic Eng. 2022, 2022, 1–36. [Google Scholar] [CrossRef]
- Lai, V.; Huang, Y.F.; Koo, C.H.; Ahmed, A.N.; El-Shafie, A. Optimization of reservoir operation at Klang Gate Dam utilizing a whale optimization algorithm and a Lévy flight and distribution enhancement technique. Eng. Appl. Comp. Fluid Mech. 2021, 15, 1682–1702. [Google Scholar] [CrossRef]
- Liu, J.; Shi, J.; Hao, F.; Dai, M. A novel enhanced global exploration whale optimization algorithm based on Lévy flights and judgment mechanism for global continuous optimization problems. Eng. Comput. 2022, 2022, 1–29. [Google Scholar] [CrossRef]
- Mantegna, R.N. Fast, accurate algorithm for numerical simulation of Levy stable stochastic processes. Phys. Rev. E 1994, 49, 4677–4683. [Google Scholar] [CrossRef] [PubMed]
- Viswanathan, G.M.; Afanasyev, V.; Buldyrev, S.V.; Murphy, E.J.; Prince, P.A.; Stanley, H.E. Lévy flight search patterns of wandering albatrosses. Nature 1996, 381, 413–415. [Google Scholar] [CrossRef]
- Higashi, N.; Iba, H. Particle swarm optimization with Gaussian mutation. In Proceedings of the 2003 IEEE Swarm Intelligence Symposium. SIS’03 (Cat. No. 03EX706), Indianapolis, IN, USA, 26 April 2003; pp. 72–79. [Google Scholar] [CrossRef]
- Gharehchopogh, F.S. An Improved Tunicate Swarm Algorithm with Best-random Mutation Strategy for Global Optimization Problems. J. Bionic Eng. 2022, 19, 1177–1202. [Google Scholar] [CrossRef]
- Alireza, A.L.F.I. PSO with adaptive mutation and inertia weight and its application in parameter estimation of dynamic systems. Acta Autom. Sin. 2011, 37, 541–549. [Google Scholar] [CrossRef]
- Lu, H.; Sriyanyong, P.; Song, Y.H.; Dillon, T. Experimental study of a new hybrid PSO with mutation for economic dispatch with non-smooth cost function. Int. J. Electr. Power Energy Syst. 2010, 32, 921–935. [Google Scholar] [CrossRef]
- Tang, Z.; Tao, S.; Wang, K.; Lu, B.; Todo, Y.; Gao, S. Chaotic Wind Driven Optimization with Fitness Distance Balance Strategy. Int. J. Comput. Intell. Syst. 2022, 15, 46. [Google Scholar] [CrossRef]
- Mirjalili, S.; Lewis, A. The whale optimization algorithm. Adv. Eng. Softw. 2016, 95, 51–67. [Google Scholar] [CrossRef]
- Mirjalili, S.; Mirjalili, S.M.; Lewis, A. Grey wolf optimizer. Adv. Eng. Softw. 2014, 69, 46–61. [Google Scholar] [CrossRef]
- Derrac, J.; García, S.; Molina, D.; Herrera, F. A practical tutorial on the use of nonparametric statistical tests as a methodology for comparing evolutionary and swarm intelligence algorithms. Swarm Evol. Comput. 2011, 1, 3–18. [Google Scholar] [CrossRef]
- Friedman, M. The use of ranks to avoid the assumption of normality implicit in the analysis of variance. J. Am. Stat. Assoc. 2012, 32, 674–701. [Google Scholar] [CrossRef]
- Zhao, W.; Shi, T.; Wang, L.; Cao, Q.; Zhang, H. An adaptive hybrid atom search optimization with particle swarm optimization and its application to optimal no-load PID design of hydro-turbine governor. J. Comput. Des. Eng. 2021, 8, 1204–1233. [Google Scholar] [CrossRef]
- Hemeida, M.G.; Ibrahim, A.A.; Mohamed, A.A.A.; Alkhalaf, S.; El-Dine, A.M.B. Optimal allocation of distributed generators DG based Manta Ray Foraging Optimization algorithm (MRFO). Ain Shams Eng. J. 2021, 12, 609–619. [Google Scholar] [CrossRef]
- Chen, C.; Mo, C. A method for intelligent fault diagnosis of rotating machinery. Digit. Signal Prog. 2004, 14, 203–217. [Google Scholar] [CrossRef]
- Liu, J.; Li, D.; Wu, Y.; Liu, D. Lion swarm optimization algorithm for comparative study with application to optimal dispatch of cascade hydropower stations. Appl. Soft. Comput. 2020, 87, 105974. [Google Scholar] [CrossRef]
- Lu, P.; Zhou, J.; Wang, C.; Qiao, Q.; Mo, L. Short-term hydro generation scheduling of Xiluodu and Xiangjiaba cascade hydropower stations using improved binary-real coded bee colony optimization algorithm. Energy Conv. Manag. 2015, 91, 19–31. [Google Scholar] [CrossRef]
- Liu, J.; Liu, X.; Wu, Y.; Yang, Z.; Xu, J. Dynamic multi-swarm differential learning Harris Hawks Optimizer and its application to optimal dispatch problem of cascade hydropower stations. Knowl.-Based Syst. 2022, 242, 108281. [Google Scholar] [CrossRef]




















| Algorithm | Parameters | Values |
|---|---|---|
| GSA | Gravitational constant; decreasing coefficient | 100; 20 |
| WOA | Control parameter | [0, 2] |
| SDO | Convergence factor | linearly decreases from 2 to 0 |
| GWO | Control parameter | [0, 2] |
| ESDO | Convergence factor | linearly decreases from 2 to 0 |
| NO. | Index | ESDO | SDO | WOA | GWO | GSA |
|---|---|---|---|---|---|---|
| F1 | Mean | 9.09 × 10−231 | 1.49 × 10−165 | 2.62 × 10−83 | 1.87 × 10−33 | 3.66 × 10−17 |
| Std | 0 | 0 | 9.62 × 10−83 | 2.21 × 10−33 | 1.15 × 10−17 | |
| F2 | Mean | 4.93 × 10−116 | 1.30 × 10−71 | 2.40 × 10−53 | 8.85 × 10−20 | 3.21 × 10−8 |
| Std | 2.70 × 10−115 | 7.04 × 10−71 | 8.38 × 10−53 | 5.55 × 10−20 | 6.07 × 10−9 | |
| F3 | Mean | 3.86 × 10−194 | 3.66 × 10−128 | 30167.4659 | 1.01 × 10−7 | 5.38 × 102 |
| Std | 0.00 × 100 | 1.99 × 10−127 | 8562.673562 | 4.27 × 10−7 | 2.49 × 102 | |
| F4 | Mean | 3.28 × 10−113 | 3.22 × 10−75 | 36.64494791 | 1.83 × 10−8 | 3.31 × 100 |
| Std | 1.79 × 10−113 | 1.76 × 10−74 | 29.45025131 | 1.45 × 10−8 | 1.56 × 100 | |
| F5 | Mean | 2.40 × 100 | 2.59 × 101 | 2.75 × 101 | 2.64 × 101 | 3.85 × 101 |
| Std | 1.11 × 100 | 7.19 × 10−1 | 4.09 × 10−1 | 6.35 × 10−1 | 3.18 × 101 | |
| F6 | Mean | 0 | 0 | 3.33 × 10−2 | 0 | 6.33 × 10−1 |
| Std | 0 | 0 | 1.83 × 10−1 | 0 | 8.09 × 10−1 | |
| F7 | Mean | 7.49 × 10−5 | 9.85 × 10−5 | 2.14 × 10−3 | 1.14 × 10−3 | 3.09 × 10−2 |
| Std | 7.58 × 10−5 | 7.61 × 10−5 | 2.91 × 10−3 | 5.78 × 10−4 | 1.73 × 10−2 |
| NO. | Index | ESDO | SDO | WOA | GWO | GSA |
|---|---|---|---|---|---|---|
| F8 | Mean | −8525.069636 | −8498.031439 | −11,263.28556 | −5998.877219 | −2735.739471 |
| Std | 5.93 × 102 | 7.29 × 102 | 1.55 × 103 | 1.19 × 103 | 3.67 × 102 | |
| F9 | Mean | 0 | 0 | 0 | 1.517856678 | 18.27407681 |
| Std | 0 | 0 | 0 | 2.13 × 100 | 4.47 × 100 | |
| F10 | Mean | 8.88 × 10−16 | 8.88 × 10−16 | 5.27 × 10−15 | 4.21 × 10−14 | 5.05 × 10−9 |
| Std | 0 | 0 | 2.41 × 10−15 | 4.53 × 10−15 | 8.67 × 10−10 | |
| F11 | Mean | 0 | 0 | 0 | 5.48 × 10−3 | 1.76 × 101 |
| Std | 0 | 0 | 0 | 9.90 × 10−3 | 4.99 × 100 | |
| F12 | Mean | 5.77 × 10−5 | 2.62 × 10−4 | 5.68 × 10−3 | 2.94 × 10−2 | 6.31 × 10−1 |
| Std | 8.05 × 10−5 | 4.09 × 10−4 | 4.10 × 10−3 | 1.75 × 10−2 | 5.01 × 10−1 | |
| F13 | Mean | 2.32 × 10−3 | 1.93 × 10−2 | 2.21 × 10−1 | 3.40 × 10−1 | 2.59 × 100 |
| Std | 4.53 × 10−3 | 3.96 × 10−2 | 1.23 × 10−1 | 1.97 × 10−1 | 3.77 × 100 |
| NO. | Index | ESDO | SDO | WOA | GWO | GSA |
|---|---|---|---|---|---|---|
| F14 | Mean | 0.998003838 | 0.998003838 | 2.432300837 | 2.607801074 | 5.100884714 |
| Std | 0 | 0 | 3.36 × 100 | 2.44 × 100 | 2.80 × 100 | |
| F15 | Mean | 3.07 × 10−4 | 3.07 × 10−4 | 7.54 × 10−4 | 2.48 × 10−3 | 3.28 × 10−3 |
| Std | 1.03 × 10−14 | 1.30 × 10−17 | 6.96 × 10−4 | 6.07 × 10−3 | 1.83 × 10−3 | |
| F16 | Mean | −1.031628453 | −1.031628453 | −1.031628453 | −1.031628439 | −1.031628453 |
| Std | 6.78 × 10−16 | 6.78 × 10−16 | 1.05 × 10−10 | 1.46 × 10−8 | 5.05 × 10−16 | |
| F17 | Mean | 0.397887358 | 0.397887358 | 0.397889341 | 0.397913346 | 0.397887358 |
| Std | 0 | 0 | 4.92 × 10−6 | 1.34 × 10−4 | 0 | |
| F18 | Mean | 3 | 3 | 3.000019786 | 3.000012409 | 3 |
| Std | 1.12 × 10−15 | 1.18 × 10−15 | 5.81 × 10−5 | 1.44 × 10−5 | 3.24 × 10−15 | |
| F19 | Mean | −3.862782148 | −3.862782148 | −3.859813445 | −3.861222768 | −3.862782148 |
| Std | 2.70 × 10−15 | 2.71 × 10−15 | 3.69 × 10−3 | 2.62 × 10−3 | 2.31 × 10−15 | |
| F20 | Mean | −3.302179651 | −3.310105859 | −3.229898305 | −3.259834789 | −3.321995172 |
| Std | 4.51 × 10−2 | 3.63 × 10−2 | 9.89 × 10−2 | 7.99 × 10−2 | 1.37 × 10−15 | |
| F21 | Mean | −10.15319968 | −9.983266281 | −9.389732298 | −9.060734145 | −7.353288325 |
| Std | 7.01 × 10−15 | 9.31 × 10−1 | 2.01 × 100 | 2.26 × 100 | 3.54 × 100 | |
| F22 | Mean | −10.40294057 | −10.40294057 | −8.736752324 | −10.40158908 | −10.40294057 |
| Std | 1.04 × 10−16 | 9.90 × 10−16 | 2.85 × 100 | 6.32 × 10−4 | 9.33 × 10−16 | |
| F23 | Mean | −10.53640982 | −10.53640982 | −7.471755875 | −10.53516103 | −10.53640982 |
| Std | 1.21 × 10−15 | 1.98 × 10−15 | 3.59 × 100 | 5.47 × 10−4 | 2.29 × 10−15 |
| Fun. | SDO vs. ESDO | WOA vs. ESDO | ||||||
|---|---|---|---|---|---|---|---|---|
| p-Value | T+ | T− | Winner | p-Value | T+ | T− | Winner | |
| F1 | 1.73 × 10−6 | 0 | 465 | + | 1.73 × 10−6 | 0 | 465 | + |
| F2 | 1.73 × 10−6 | 0 | 465 | + | 1.73 × 10−6 | 0 | 465 | + |
| F3 | 1.73 × 10−6 | 0 | 465 | + | 1.73 × 10−6 | 0 | 465 | + |
| F4 | 1.73 × 10−6 | 0 | 465 | + | 1.73 × 10−6 | 0 | 465 | + |
| F5 | 1.73 × 10−6 | 0 | 465 | + | 1.73 × 10−6 | 0 | 465 | + |
| F6 | 1 | 0 | 465 | = | 1 | 0 | 465 | = |
| F7 | 3.68 × 10−2 | 334 | 131 | − | 1.73 × 10−6 | 0 | 465 | + |
| F8 | 9.92 × 10−1 | 233 | 232 | = | 6.89 × 10−5 | 426 | 39 | − |
| F9 | 1 | 0 | 465 | = | 1 | 0 | 465 | = |
| F10 | 1 | 0 | 465 | = | 4.34 × 10−6 | 0 | 465 | + |
| F11 | 1 | 0 | 465 | = | 0.5 | 0 | 465 | = |
| F12 | 4.49 × 10−2 | 135 | 330 | + | 1.73 × 10−6 | 0 | 465 | + |
| F13 | 2.43 × 10−2 | 123 | 342 | + | 1.73 × 10−6 | 0 | 465 | + |
| F14 | 1 | 0 | 465 | = | 1.73 × 10−6 | 0 | 465 | + |
| F15 | 5.73 × 10−1 | 166 | 299 | = | 1.73 × 10−6 | 0 | 465 | + |
| F16 | 1 | 0 | 465 | = | 1.73 × 10−6 | 0 | 465 | + |
| F17 | 1 | 0 | 465 | = | 1.73 × 10−6 | 0 | 465 | + |
| F18 | 1 | 12 | 453 | = | 1.73 × 10−6 | 0 | 465 | + |
| F19 | 1 | 0 | 465 | = | 1.73 × 10−6 | 0 | 465 | + |
| F20 | 4.53 × 10−1 | 19 | 446 | = | 4.86 × 10−5 | 35 | 430 | + |
| F21 | 1 | 0 | 465 | = | 1.73 × 10−6 | 0 | 465 | + |
| F22 | 1 | 0 | 465 | = | 1.73 × 10−6 | 0 | 465 | + |
| F23 | 1 | 0 | 465 | = | 1.73 × 10−6 | 0 | 465 | + |
| Fun. | GWO vs. ESDO | GSA vs. ESDO | ||||||
|---|---|---|---|---|---|---|---|---|
| p-Value | T+ | T− | Winner | p-Value | T+ | T− | Winner | |
| F1 | 1.73 × 10−6 | 0 | 465 | + | 1.73 × 10−6 | 0 | 465 | + |
| F2 | 1.73 × 10−6 | 0 | 465 | + | 1.73 × 10−6 | 0 | 465 | + |
| F3 | 1.73 × 10−6 | 0 | 465 | + | 1.73 × 10−6 | 0 | 465 | + |
| F4 | 1.73 × 10−6 | 0 | 465 | + | 1.73 × 10−6 | 0 | 465 | + |
| F5 | 1.73 × 10−6 | 0 | 465 | + | 1.73 × 10−6 | 0 | 465 | + |
| F6 | 1 | 0 | 465 | = | 1.56 × 10−2 | 0 | 465 | + |
| F7 | 1.73 × 10−6 | 0 | 465 | + | 1.73 × 10−6 | 0 | 465 | + |
| F8 | 1.73 × 10−6 | 0 | 465 | + | 1.73 × 10−6 | 0 | 465 | + |
| F9 | 4.63 × 10−6 | 0 | 465 | + | 1.73 × 10−6 | 0 | 465 | + |
| F10 | 1.31 × 10−6 | 0 | 465 | + | 1.73 × 10−6 | 0 | 465 | + |
| F11 | 3.91× 10−3 | 0 | 465 | + | 1.73 × 10−6 | 0 | 465 | + |
| F12 | 2.35 × 10−6 | 3 | 462 | + | 1.73 × 10−6 | 0 | 465 | + |
| F13 | 1.92 × 10−6 | 1 | 464 | + | 1.24 × 10−5 | 20 | 445 | + |
| F14 | 1.73 × 10−6 | 0 | 465 | + | 1.73 × 10−6 | 0 | 465 | + |
| F15 | 1.73 × 10−6 | 0 | 465 | + | 1.73 × 10−6 | 0 | 465 | + |
| F16 | 1.73 × 10−6 | 0 | 465 | + | 1 | 0 | 465 | = |
| F17 | 1.73 × 10−6 | 0 | 465 | + | 1 | 0 | 465 | = |
| F18 | 1.73 × 10−6 | 0 | 465 | + | 5.34 × 10−7 | 15 | 450 | + |
| F19 | 1.73 × 10−6 | 0 | 465 | + | 1 | 0 | 465 | = |
| F20 | 2.41 × 10−4 | 54 | 411 | + | 6.25 × 10−2 | 15 | 450 | = |
| F21 | 1.73 × 10−6 | 0 | 465 | + | 1.75 × 10−4 | 0 | 465 | + |
| F22 | 1.73 × 10−6 | 0 | 465 | + | 1 | 0 | 465 | = |
| F23 | 1.73 × 10−6 | 0 | 465 | + | 1 | 0 | 465 | = |
| Function Types | ESDO vs. SDO (+/=/−) | ESDO vs. WOA (+/=/−) | ESDO vs. WOA (+/=/−) | ESDO vs. GSA (+/=/−) |
|---|---|---|---|---|
| Unimodal | 5/1/1 | 6/1/0 | 6/1/0 | 7/0/0 |
| Multimodal | 2/4/0 | 2/3/1 | 6/0/0 | 6/0/0 |
| Low-dimensional | 0/10/0 | 10/0/0 | 10/0/0 | 4/6/0 |
| Total | 7/15/1 | 18/4/1 | 22/1/0 | 17/6/0 |
| Population Size | Maximum Numbers of Iterations | |||||
|---|---|---|---|---|---|---|
| 30 | 100 | |||||
| 0.2 | 0.3 | 0.3 | 1 | 0.5 | 10 | 1 |
| Load | Average | Algorithms | ||||
|---|---|---|---|---|---|---|
| ESDO | SDO | GWO | WOA | GSA | ||
| 4% | ITAE | 1.5028 | 1.7009 | 1.9237 | 4.0746 | 5.5928 |
| Kp | 12.6487 | 12.0457 | 11.7392 | 10.3199 | 10.678 | |
| Ki | 4.5888 | 4.2521 | 4.5135 | 5.0279 | 4.0414 | |
| Kd | 3.3403 | 3.0282 | 3.3705 | 3.6921 | 3.3575 | |
| λ | 1.0228 | 1.0230 | 1.0153 | 0.9987 | 1.0830 | |
| μ | 1.5079 | 1.4519 | 1.4280 | 1.3416 | 1.3857 | |
| Overshoot | 0.4992 | 0.5100 | 0.5070 | 0.5113 | 0.5072 | |
| Ts(s) | 10.16 | 10.81 | 15.20 | 21.78 | 28.5100 | |
| 8% | ITAE | 3.1891 | 3.4378 | 4.3942 | 8.2490 | 19.0396 |
| Kp | 11.4295 | 10.7352 | 10.2992 | 8.5996 | 10.2509 | |
| Ki | 4.2984 | 4.1532 | 4.1279 | 4.6332 | 4.2505 | |
| Kd | 3.39281 | 3.2958 | 3.1801 | 3.7471 | 3.7841 | |
| λ | 1.0234 | 1.0211 | 1.0156 | 0.9679 | 1.0563 | |
| μ | 1.4341 | 1.3563 | 1.3611 | 1.1568 | 1.3633 | |
| Overshoot | 1.0073 | 1.0274 | 1.0272 | 1.0601 | 1.0064 | |
| Ts(s) | 10.02 | 10.77 | 10.77 | 27.9500 | 28.7300 | |
| 12% | ITAE | 5.1116 | 5.2596 | 6.2520 | 12.2974 | 33.1630 |
| Kp | 10.6533 | 10.2649 | 10.2900 | 7.7878 | 8.9427 | |
| Ki | 4.0361 | 3.8655 | 3.7692 | 4.4630 | 3.3708 | |
| Kd | 3.7796 | 3.1963 | 3.1225 | 3.9908 | 4.0885 | |
| λ | 1.0233 | 1.0229 | 1.0236 | 0.9653 | 1.0339 | |
| μ | 1.4056 | 1.3735 | 1.4244 | 1.1403 | 1.3098 | |
| Overshoot | 1.5073 | 1.5338 | 1.5135 | 1.5806 | 1.5024 | |
| Ts(s) | 10.32 | 10.45 | 10.42 | 22.58 | 28.09 | |
| 16% | ITAE | 8.4368 | 9.0978 | 9.9455 | 18.8710 | 40.3035 |
| Kp | 10.1548 | 9.6269 | 9.2327 | 7.4238 | 9.2411 | |
| Ki | 3.4610 | 3.3166 | 3.3739 | 3.4810 | 3.1995 | |
| Kd | 3.7743 | 2.7425 | 3.2679 | 3.7848 | 3.9186 | |
| λ | 1.0243 | 1.0197 | 1.0170 | 0.9832 | 1.0734 | |
| μ | 1.3936 | 1.3859 | 1.3315 | 1.1247 | 1.3524 | |
| Overshoot | 2.0653 | 2.1087 | 2.1005 | 2.1538 | 2.0577 | |
| Ts(s) | 11.09 | 11.15 | 13.40 | 27.29 | 27.90 | |
Publisher’s Note: MDPI stays neutral with regard to jurisdictional claims in published maps and institutional affiliations. |
© 2022 by the authors. Licensee MDPI, Basel, Switzerland. This article is an open access article distributed under the terms and conditions of the Creative Commons Attribution (CC BY) license (https://creativecommons.org/licenses/by/4.0/).
Share and Cite
Zhao, W.; Zhang, H.; Zhang, Z.; Zhang, K.; Wang, L. Parameters Tuning of Fractional-Order Proportional Integral Derivative in Water Turbine Governing System Using an Effective SDO with Enhanced Fitness-Distance Balance and Adaptive Local Search. Water 2022, 14, 3035. https://doi.org/10.3390/w14193035
Zhao W, Zhang H, Zhang Z, Zhang K, Wang L. Parameters Tuning of Fractional-Order Proportional Integral Derivative in Water Turbine Governing System Using an Effective SDO with Enhanced Fitness-Distance Balance and Adaptive Local Search. Water. 2022; 14(19):3035. https://doi.org/10.3390/w14193035
Chicago/Turabian StyleZhao, Weiguo, Hongfei Zhang, Zhenxing Zhang, Kaidi Zhang, and Liying Wang. 2022. "Parameters Tuning of Fractional-Order Proportional Integral Derivative in Water Turbine Governing System Using an Effective SDO with Enhanced Fitness-Distance Balance and Adaptive Local Search" Water 14, no. 19: 3035. https://doi.org/10.3390/w14193035
APA StyleZhao, W., Zhang, H., Zhang, Z., Zhang, K., & Wang, L. (2022). Parameters Tuning of Fractional-Order Proportional Integral Derivative in Water Turbine Governing System Using an Effective SDO with Enhanced Fitness-Distance Balance and Adaptive Local Search. Water, 14(19), 3035. https://doi.org/10.3390/w14193035

