Achieving Sustainable Development Goal 6 Electrochemical-Based Solution for Treating Groundwater Polluted by Fuel Station
Abstract
:1. Introduction
2. Materials and Methods
2.1. Characterization of Groundwater Effluent
2.2. EO Experiments
2.3. Analytical Methods
2.4. Electrochemical Flow Reactor Characterization
3. Results
3.1. Effluent Characterization
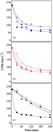
3.2. Influence of the Applied j and the Effect of Different Anode Materials Using the Batch Reactor
| Parameter | Before Treatment | MAV a |
|---|---|---|
| pH | 6.59 | - |
| Conductivity (mS cm−1) | 0.292 | - |
| Phenol content (μg L−1) | 6 | 3 |
| Benzene (μg L−1) | 96.6 | 5 |
| Toluene (μg L−1) | 2441 | 170 |
| Ethylbenzene (μg L−1) | 925.5 | 200 |
| Xylene (o-, p- and m-) (μg L−1) | 5435.5 | 300 |
| BOD (mg L−1) | 80.5 | - |
| COD (mg L−1) | 230 | - |
| TOC (mg L−1) | 91.5 | - |
| Total petroleum hydrocarbons (TPHs) (mg L−1) | 4.66 | - |
| Color (DFZ at 436, 525, and 620 nm, respectively) | 9.5, 6.5, 4.9 | - |
| Absorbance at 254 nm (AU) | 0.714 | - |
| SUVA254 | 0.78 | - |
| Turbidity (NTU) | 7.9 | - |
3.3. Comparative Groundwater EO Using Different Anodes Adding Sulfate as Supporting Electrolyte
3.4. EO of Groundwater at the Pre-Pilot Plant
4. Conclusions
Author Contributions
Funding
Institutional Review Board Statement
Informed Consent Statement
Data Availability Statement
Acknowledgments
Conflicts of Interest
References
- Foster, S.; Chilton, J. Policy experience with groundwater protection from diffuse pollution—A review. Curr. Opin. Environ. Sci. Health 2021, 23, 100288. [Google Scholar] [CrossRef]
- Yang, Y.; Cheng, Y. Evaluating the ability of transformed urban agglomerations to achieve Sustainable Development Goal 6 from the perspective of the water planet boundary: Evidence from Guanzhong in China. J. Clean. Prod. 2021, 314, 128038. [Google Scholar] [CrossRef]
- United Nations. Sustainable Development Goal 6 Synthesis Report 2018 on Water and Sanitation; United Nations: New York, NY, USA, 2018. [Google Scholar]
- Chamanehpour, E.; Sayadi, M.H.; Yousefi, E. The potential evaluation of groundwater pollution based on the intrinsic and the specific vulnerability index. Groundw. Sustain. Dev. 2019, 10, 100313. [Google Scholar] [CrossRef]
- Ibigbami, O.A.; Adeyeye, E.I.; Adelodun, A.A. Polychlorinated Biphenyls and Polycyclic Aromatic Hydrocarbons in Groundwater of Fuel-Impacted Areas in Ado-Ekiti, Nigeria. Polycycl. Aromat. Compd. 2020, 42, 2433–2446. [Google Scholar] [CrossRef]
- Liu, S.-H.; Lai, C.-Y.; Ye, J.-W.; Lin, C.-W. Increasing removal of benzene from groundwater using stacked tubular air-cathode microbial fuel cells. J. Clean. Prod. 2018, 194, 78–84. [Google Scholar] [CrossRef]
- Lien, P.; Yang, Z.; Chang, Y.; Tu, Y.; Kao, C. Enhanced bioremediation of TCE-contaminated groundwater with coexistence of fuel oil: Effectiveness and mechanism study. Chem. Eng. J. 2016, 289, 525–536. [Google Scholar] [CrossRef]
- Misra, A.K. Climate change and challenges of water and food security. Int. J. Sustain. Built Environ. 2014, 3, 153–165. [Google Scholar] [CrossRef]
- Mishra, B.K.; Chakraborty, S.; Kumar, P.; Saraswat, C. Correction to: Sustainable Solutions for Urban Water Security. In Sustainable Solutions for Urban Water Security: Innovative Studies; Mishra, B.K., Chakraborty, S., Kumar, P., Saraswat, C., Eds.; Springer International Publishing: Cham, Switzerland, 2020; p. C1. ISBN 978-3-030-53110-2. [Google Scholar]
- Martínez-Huitle, C.A.; Panizza, M. Electrochemical oxidation of organic pollutants for wastewater treatment. Curr. Opin. Electrochem. 2018, 11, 62–71. [Google Scholar] [CrossRef]
- Martínez-Huitle, C.A.; Sirés, I.; Rodrigo, M.A. Editorial overview: Electrochemical technologies for wastewater treatment with a bright future in the forthcoming years to benefit of our society. Curr. Opin. Electrochem. 2021, 30, 100905. [Google Scholar] [CrossRef]
- Ganiyu, S.O.; Martínez-Huitle, C.A. The use of renewable energies driving electrochemical technologies for environmental applications. Curr. Opin. Electrochem. 2020, 22, 211–220. [Google Scholar] [CrossRef]
- Henrique, J.M.; Monteiro, M.K.; Cardozo, J.C.; Martínez-Huitle, C.A.; da Silva, D.R.; dos Santos, E.V. Integrated-electrochemical approaches powered by photovoltaic energy for detecting and treating paracetamol in water. J. Electroanal. Chem. 2020, 876, 114734. [Google Scholar] [CrossRef]
- Martínez-Huitle, C.A.; Rodrigo, M.A.; Sirés, I.; Scialdone, O. Single and Coupled Electrochemical Processes and Reactors for the Abatement of Organic Water Pollutants: A Critical Review. Chem. Rev. 2015, 115, 13362–13407. [Google Scholar] [CrossRef] [PubMed]
- Panizza, M.; Cerisola, G. Direct And Mediated Anodic Oxidation of Organic Pollutants. Chem. Rev. 2009, 109, 6541–6569. [Google Scholar] [CrossRef] [PubMed]
- Brillas, E.; Martínez-Huitle, C.A. Decontamination of wastewaters containing synthetic organic dyes by electrochemical methods. An updated review. Appl. Catal. B Environ. 2015, 166–167, 603–643. [Google Scholar] [CrossRef]
- Tavares, M.G.; da Silva, L.V.; Solano, A.M.S.; Tonholo, J.; Martínez-Huitle, C.A.; Zanta, C.L. Electrochemical oxidation of Methyl Red using Ti/Ru0.3Ti0.7O2 and Ti/Pt anodes. Chem. Eng. J. 2012, 204–206, 141–150. [Google Scholar] [CrossRef]
- Solano, A.M.S.; Martínez-Huitle, C.A.; Garcia-Segura, S.; El-Ghenymy, A.; Brillas, E. Application of electrochemical advanced oxidation processes with a boron-doped diamond anode to degrade acidic solutions of Reactive Blue 15 (Turqueoise Blue) dye. Electrochim. Acta 2016, 197, 210–220. [Google Scholar] [CrossRef]
- Martínez-Huitle, C.A.; Brillas, E. A critical review over the electrochemical disinfection of bacteria in synthetic and real wastewaters using a boron-doped diamond anode. Curr. Opin. Solid State Mater. Sci. 2021, 25, 100926. [Google Scholar] [CrossRef]
- Ganiyu, S.O.; Martínez-Huitle, C.A.; Oturan, M.A. Electrochemical advanced oxidation processes for wastewater treatment: Advances in formation and detection of reactive species and mechanisms. Curr. Opin. Electrochem. 2020, 27, 100678. [Google Scholar] [CrossRef]
- Bergmann, H. Electrochemical disinfection—State of the art and tendencies. Curr. Opin. Electrochem. 2021, 28, 100694. [Google Scholar] [CrossRef]
- Escalona-Durán, F.; da Silva, D.R.; Martínez-Huitle, C.A.; Villegas-Guzman, P. The synergic persulfate-sodium dodecyl sulfate effect during the electro-oxidation of caffeine using active and non-active anodes. Chemosphere 2020, 253, 126599. [Google Scholar] [CrossRef]
- Chaplin, B.P. The Prospect of Electrochemical Technologies Advancing Worldwide Water Treatment. Accounts Chem. Res. 2019, 52, 596–604. [Google Scholar] [CrossRef] [PubMed]
- Ganiyu, S.O.; Martínez-Huitle, C.A. Nature, Mechanisms and Reactivity of Electrogenerated Reactive Species at Thin-Film Boron-Doped Diamond (BDD) Electrodes During Electrochemical Wastewater Treatment. ChemElectroChem 2019, 6, 2379–2392. [Google Scholar] [CrossRef]
- Nidheesh, P.V.; Divyapriya, G.; Oturan, N.; Trellu, C.; Oturan, M.A. Environmental Applications of Boron-Doped Diamond Electrodes: 1. Applications in Water and Wastewater Treatment. ChemElectroChem 2019, 6, 2124–2142. [Google Scholar] [CrossRef]
- He, Y.; Lin, H.; Guo, Z.; Zhang, W.; Li, H.; Huang, W. Recent developments and advances in boron-doped diamond electrodes for electrochemical oxidation of organic pollutants. Sep. Purif. Technol. 2018, 212, 802–821. [Google Scholar] [CrossRef]
- Du, X.; Oturan, M.A.; Zhou, M.; Belkessa, N.; Su, P.; Cai, J.; Trellu, C.; Mousset, E. Nanostructured electrodes for electrocatalytic advanced oxidation processes: From materials preparation to mechanisms understanding and wastewater treatment applications. Appl. Catal. B Environ. 2021, 296, 120332. [Google Scholar] [CrossRef]
- Pérez, J.; Llanos, J.; Sáez, C.; López, C.; Cañizares, P.; Rodrigo, M. Development of an innovative approach for low-impact wastewater treatment: A microfluidic flow-through electrochemical reactor. Chem. Eng. J. 2018, 351, 766–772. [Google Scholar] [CrossRef]
- Yang, N.; Yu, S.; Macpherson, J.V.; Einaga, Y.; Zhao, H.; Zhao, G.; Swain, G.M.; Jiang, X. Conductive diamond: Synthesis, properties, and electrochemical applications. Chem. Soc. Rev. 2018, 48, 157–204. [Google Scholar] [CrossRef]
- Manan, T.S.B.A.; Khan, T.; Mohtar, W.H.M.W.; Beddu, S.; Kamal, N.L.M.; Yavari, S.; Jusoh, H.; Qazi, S.; Supaat, S.K.B.I.; Adnan, F.; et al. Dataset on specific UV absorbances (SUVA254) at stretch components of Perak River basin. Data Brief 2020, 30, 105518. [Google Scholar] [CrossRef]
- German Institute for Standardization. Water Quality - Examination and Determination of Colour (ISO 7887:2012-04), 2012. Available online: https://shop.standards.ie/en-ie/standards/din-en-iso-7887-2012-04-399902_saig_din_din_875612/ (accessed on 9 September 2022).
- Martínez-Huitle, C.A.; Quiroz, M.A.; Comninellis, C.; Ferro, S.; De Battisti, A. Electrochemical incineration of chloranilic acid using Ti/IrO2, Pb/PbO2 and Si/BDD electrodes. Electrochim. Acta 2004, 50, 949–956. [Google Scholar] [CrossRef]
- Moreira, F.C.; Boaventura, R.A.R.; Brillas, E.; Vilar, V.J.P. Electrochemical advanced oxidation processes: A review on their application to synthetic and real wastewaters. Appl. Catal. B Environ. 2017, 202, 217–261. [Google Scholar] [CrossRef]
- Brazilian National Council of the Environment. Resolution Number 396, 3 April 2008. Available online: https://www.braziliannr.com/brazilian-environmental-legislation/conama-resolution-39608/ (accessed on 9 September 2022).
- Cardozo, J.C.; da Silva, D.R.; Martínez-Huitle, C.A.; Quiroz, M.A.; dos Santos, E.V. The versatile behavior of diamond electrodes—Electrochemical examination of the anti-psychotic drug olanzapine (OL) oxidation as a model organic aqueous solution. Electrochim. Acta 2022, 411, 140063. [Google Scholar] [CrossRef]
- Ganiyu, S.O.; dos Santos, E.V.; Martínez-Huitle, C.A.; Waldvogel, S.R. Opportunities and challenges of thin-film boron-doped diamond electrochemistry for valuable resources recovery from waste: Organic, inorganic, and volatile product electrosynthesis. Curr. Opin. Electrochem. 2021, 32, 100903. [Google Scholar] [CrossRef]
- Panizza, M.; Cerisola, G. Applicability of electrochemical methods to carwash wastewaters for reuse. Part 1: Anodic oxidation with diamond and lead dioxide anodes. J. Electroanal. Chem. 2010, 638, 28–32. [Google Scholar] [CrossRef]
- Ganiyu, S.O.; dos Santos, E.V.; Costa, E.C.T.D.A.; Martínez-Huitle, C.A. Electrochemical advanced oxidation processes (EAOPs) as alternative treatment techniques for carwash wastewater reclamation. Chemosphere 2018, 211, 998–1006. [Google Scholar] [CrossRef]
- Segundo, I.D.B.; Martins, R.J.; Boaventura, R.A.; Silva, T.F.; Moreira, F.C.; Vilar, V.J. Finding a suitable treatment solution for a leachate from a non-hazardous industrial solid waste landfill. J. Environ. Chem. Eng. 2021, 9, 105168. [Google Scholar] [CrossRef]
- Brito, L.R.; Ganiyu, S.O.; dos Santos, E.V.; Oturan, M.A.; Martínez-Huitle, C.A. Removal of antibiotic rifampicin from aqueous media by advanced electrochemical oxidation: Role of electrode materials, electrolytes and real water matrices. Electrochim. Acta 2021, 396, 139254. [Google Scholar] [CrossRef]
- Solano, A.M.S.; de Araújo, C.K.C.; de Melo, J.V.; Peralta-Hernandez, J.M.; da Silva, D.R.; Martínez-Huitle, C.A. Decontamination of real textile industrial effluent by strong oxidant species electrogenerated on diamond electrode: Viability and disadvantages of this electrochemical technology. Appl. Catal. B Environ. 2012, 130–131, 112–120. [Google Scholar] [CrossRef]
- de Moura, D.C.; Brito, C.D.N.; Quiroz, M.A.; Pergher, S.; Martinez-Huitle, C.A. Cl-mediated electrochemical oxidation for treating an effluent using platinum and diamond anodes. J. Water Process Eng. 2015, 8, e31–e36. [Google Scholar] [CrossRef]
- Sirés, I.; Brillas, E.; Oturan, M.A.; Rodrigo, M.A.; Panizza, M. Electrochemical Advanced Oxidation Processes: Today and Tomorrow. A Review. Environ. Sci. Pollut. Res. 2014, 21, 8336–8367. [Google Scholar] [CrossRef]
- Divyapriya, G.; Nidheesh, P. Electrochemically generated sulfate radicals by boron doped diamond and its environmental applications. Curr. Opin. Solid State Mater. Sci. 2021, 25, 100921. [Google Scholar] [CrossRef]
- Barreto, J.P.D.P.; Araújo, K.; de Araújo, D.M.; Martinez-Huitle, C.A. Effect of sp3/sp2 Ratio on Boron Doped Diamond Films for Producing Persulfate. ECS Electrochem. Lett. 2015, 4, E9–E11. [Google Scholar] [CrossRef]
- Araújo, K.C.D.F.; da Silva, D.R.; dos Santos, E.V.; Varela, H.; Martínez-Huitle, C.A. Investigation of persulfate production on BDD anode by understanding the impact of water concentration. J. Electroanal. Chem. 2020, 860, 113927. [Google Scholar] [CrossRef]
- Srivastava, V.; Kumar, M.S.; Nidheesh, P.V.; Martínez-Huitle, C.A. Electro catalytic generation of reactive species at diamond electrodes and applications in microbial inactivation. Curr. Opin. Electrochem. 2021, 30, 100849. [Google Scholar] [CrossRef]
- Serrano, K.G. A critical review on the electrochemical production and use of peroxo-compounds. Curr. Opin. Electrochem. 2020, 27, 100679. [Google Scholar] [CrossRef]
- Scaria, J.; Nidheesh, P.V. Comparison of hydroxyl-radical-based advanced oxidation processes with sulfate radical-based advanced oxidation processes. Curr. Opin. Chem. Eng. 2022, 36, 100830. [Google Scholar] [CrossRef]
- Divyapriya, G.; Singh, S.; Martínez-Huitle, C.A.; Scaria, J.; Karim, A.V.; Nidheesh, P. Treatment of real wastewater by photoelectrochemical methods: An overview. Chemosphere 2021, 276, 130188. [Google Scholar] [CrossRef]
- Ferreira, M.B.; Solano, A.M.S.; Dos Santos, E.V.; Martínez-Huitle, C.A.; Ganiyu, S.O. Coupling of Anodic Oxidation and Soil Remediation Processes: A Review. Materials 2020, 13, 4309. [Google Scholar] [CrossRef]
- Ganiyu, S.O.; El-Din, M.G. Insight into in-situ radical and non-radical oxidative degradation of organic compounds in complex real matrix during electrooxidation with boron doped diamond electrode: A case study of oil sands process water treatment. Appl. Catal. B Environ. 2020, 279, 119366. [Google Scholar] [CrossRef]
- Segundo, I.D.B.; Moreira, F.C.; Silva, T.F.; Webler, A.D.; Boaventura, R.A.; Vilar, V.J. Development of a treatment train for the remediation of a hazardous industrial waste landfill leachate: A big challenge. Sci. Total Environ. 2020, 741, 140165. [Google Scholar] [CrossRef]
- Mishra, B.K.; Chakraborty, S.; Kumar, P.; Saraswat, C. Sustainable Solutions for Urban Water Security; Springer International Publishing: New York, NY, USA, 2020. [Google Scholar] [CrossRef]






| j (mA cm−2) | ||||
|---|---|---|---|---|
| Electrode | 10 a | 30 a | 60 a | 30 b |
| Ti/RuO2 | 0.023 | 0.068 | 0.174 | 0.050 |
| Ti/Pt | 0.020 | 0.073 | 0.195 | 0.068 |
| Nb/BDD | 0.028 | 0.098 | 0.272 | 0.085 |
| Parameter | Before Treatment | After Treatment | MAV a |
|---|---|---|---|
| COD (mg O2 L−1) | 230 | 30 | - |
| TOC (mg C L−1) | 91.5 | 36.7 | - |
| pH | 6.59 | 6.72 | - |
| Phenol content (μg L−1) | 6 | <1 | 3 |
| Benzene (μg L−1) | 96.6 | <1.5 | 5 |
| Toluene (μg L−1) | 2441 | <1.5 | 170 |
| Ethylbenzene (μg L−1) | 925.5 | <1.5 | 200 |
| Xylene (o-, p- and m-) (μg L−1) | 5435.5 | 500 | 300 |
| PAHs (mg L−1) | 4.66 | 4 | - |
| Color (DFZ at 436, 525, and 620 nm) | 9.5; 6.5; 4.9 | 3.5; 2.2; 1.7 | - |
| Absorbance at 254 nm (AU) | 0.714 | 0.402 | |
| SUVA254 | 0.78 | 1.09 | - |
Publisher’s Note: MDPI stays neutral with regard to jurisdictional claims in published maps and institutional affiliations. |
© 2022 by the authors. Licensee MDPI, Basel, Switzerland. This article is an open access article distributed under the terms and conditions of the Creative Commons Attribution (CC BY) license (https://creativecommons.org/licenses/by/4.0/).
Share and Cite
da Silva, J.C.O.; Solano, A.M.S.; Barbosa Segundo, I.D.; dos Santos, E.V.; Martínez-Huitle, C.A.; da Silva, D.R. Achieving Sustainable Development Goal 6 Electrochemical-Based Solution for Treating Groundwater Polluted by Fuel Station. Water 2022, 14, 2911. https://doi.org/10.3390/w14182911
da Silva JCO, Solano AMS, Barbosa Segundo ID, dos Santos EV, Martínez-Huitle CA, da Silva DR. Achieving Sustainable Development Goal 6 Electrochemical-Based Solution for Treating Groundwater Polluted by Fuel Station. Water. 2022; 14(18):2911. https://doi.org/10.3390/w14182911
Chicago/Turabian Styleda Silva, Júlio César Oliveira, Aline Maria Sales Solano, Inalmar D. Barbosa Segundo, Elisama Vieira dos Santos, Carlos A. Martínez-Huitle, and Djalma Ribeiro da Silva. 2022. "Achieving Sustainable Development Goal 6 Electrochemical-Based Solution for Treating Groundwater Polluted by Fuel Station" Water 14, no. 18: 2911. https://doi.org/10.3390/w14182911
APA Styleda Silva, J. C. O., Solano, A. M. S., Barbosa Segundo, I. D., dos Santos, E. V., Martínez-Huitle, C. A., & da Silva, D. R. (2022). Achieving Sustainable Development Goal 6 Electrochemical-Based Solution for Treating Groundwater Polluted by Fuel Station. Water, 14(18), 2911. https://doi.org/10.3390/w14182911

