The Impacts of Climate Change on the Irrigation Water Demand, Grain Yield, and Biomass Yield of Wheat Crop in Nepal
Abstract
:1. Introduction
2. Materials and Methods
2.1. Study Area
2.2. Study Overview
2.3. Cropping System Modelling with the Agricultural Productions Systems Simulator (APSIM)
2.4. Model Initialisation
2.4.1. Locations of Experimental Farm Plots
2.4.2. Historical and Future Climate Data
2.4.3. Soil Data
2.4.4. Crop Management
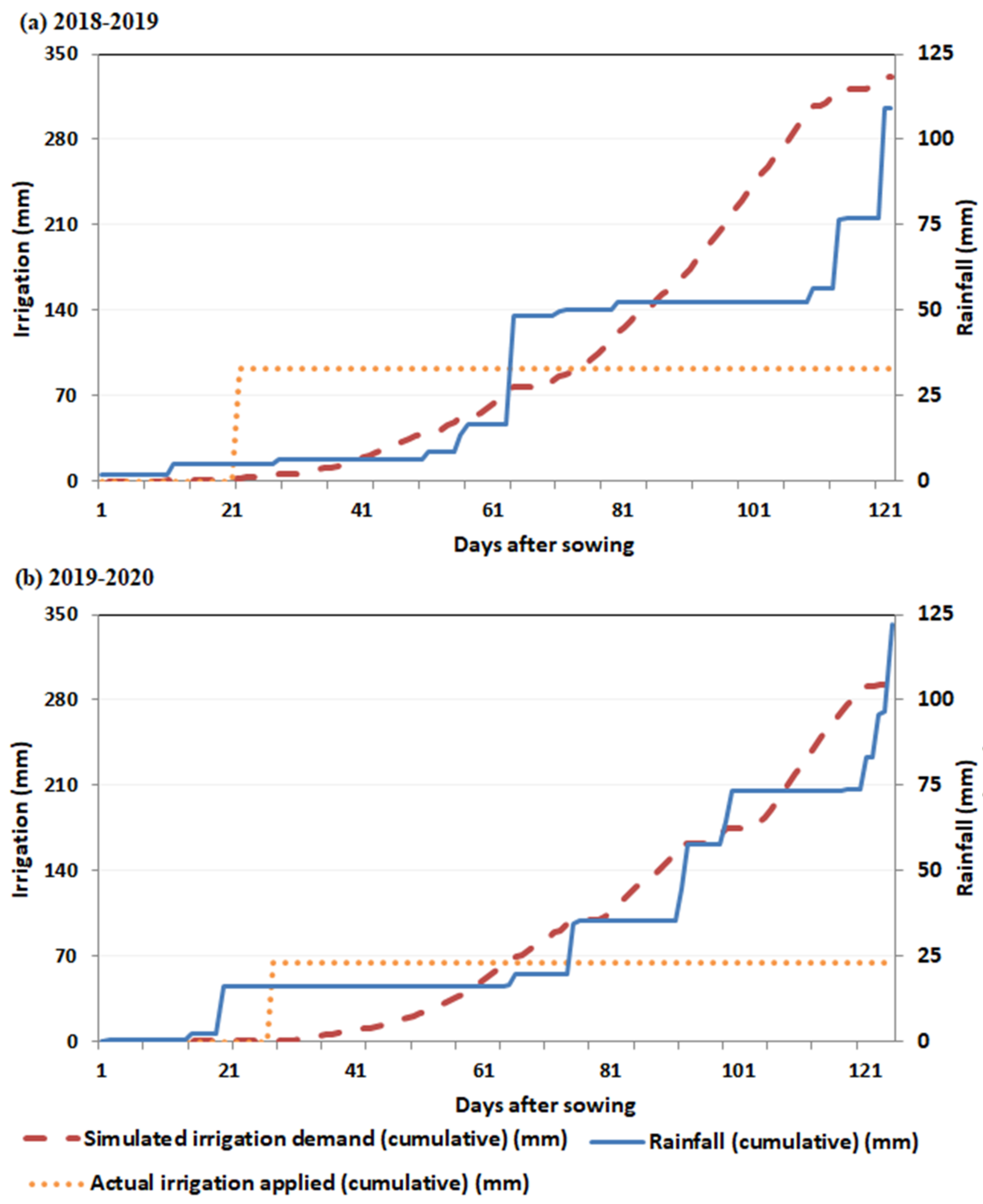
2.4.5. Irrigation Management
2.5. Model Parameterisation and Validation
2.6. Irrigated Yields and Water Use under Future Climates (Scenario Analysis)
3. Results
3.1. Impacts of Climate Change on Irrigation Requirements, Crop Growth, and Yields
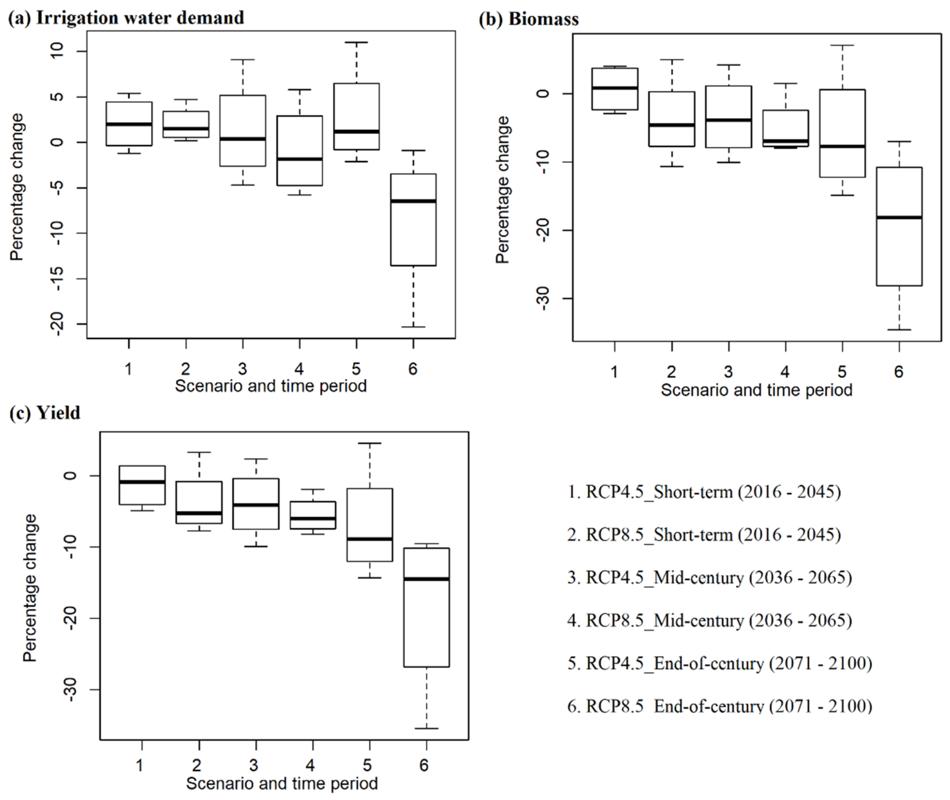
3.2. Variability in Projected Irrigation Water Demand, Biomass, and Grain Yield under Future Climates
3.3. Irrigation Required to Achieve Potential Grain Yields under the Current Climates
4. Discussion
5. Conclusions
Supplementary Materials
Author Contributions
Funding
Data Availability Statement
Acknowledgments
Conflicts of Interest
References
- Ramankutty, N.; Mehrabi, Z.; Waha, K.; Jarvis, L.; Kremen, C.; Herrero, M.; Rieseberg, L.H. Trends in Global Agricultural Land Use: Implications for Environmental Health and Food Security. Annu. Rev. Plant Biol. 2018, 69, 789–815. [Google Scholar] [CrossRef] [PubMed]
- Alcock, D.J.; Harrison, M.; Rawnsley, R.; Eckard, R.J. Can animal genetics and flock management be used to reduce greenhouse gas emissions but also maintain productivity of wool-producing enterprises? Agric. Syst. 2015, 132, 25–34. [Google Scholar] [CrossRef]
- Chang-Fung-Martel, J.; Harrison, M.T.; Rawnsley, R.; Smith, A.P.; Meinke, H. The impact of extreme climatic events on pasture-based dairy systems: A review. Crop Pasture Sci. 2017, 68, 1158. [Google Scholar] [CrossRef]
- Harrison, M.T.; Evans, J.R.; Dove, H.; Moore, A.D. Recovery dynamics of rainfed winter wheat after livestock grazing 2. Light interception, radiation-use efficiency and dry-matter partitioning. Crop Pasture Sci. 2011, 62, 960–971. [Google Scholar] [CrossRef]
- Phelan, D.C.; Harrison, M.T.; McLean, G.; Cox, H.; Pembleton, K.G.; Dean, G.J.; Parsons, D.; Richter, M.E.D.A.; Pengilley, G.; Hinton, S.J.; et al. Advancing a farmer decision support tool for agronomic decisions on rainfed and irrigated wheat cropping in Tasmania. Agric. Syst. 2018, 167, 113–124. [Google Scholar] [CrossRef]
- Bell, M.; Eckard, R.J.; Harrison, M.T.; Neal, J.S.; Cullen, B.R. Effect of warming on the productivity of perennial ryegrass and kikuyu pastures in south-eastern Australia. Crop Pasture Sci. 2013, 64, 61–70. [Google Scholar] [CrossRef]
- Pembleton, K.G.; Cullen, B.R.; Rawnsley, R.P.; Harrison, M.T.; Ramilan, T. Modelling the resilience of forage crop production to future climate change in the dairy regions of Southeastern Australia using APSIM. J. Agric. Sci. 2016, 154, 1131–1152. [Google Scholar] [CrossRef]
- Harrison, M.T.; Cullen, B.R.; Tomkins, N.W.; McSweeney, C.; Cohn, P.; Eckard, R.J. The concordance between greenhouse gas emissions, livestock production and profitability of extensive beef farming systems. Anim. Prod. Sci. 2016, 56, 370. [Google Scholar] [CrossRef]
- Harrison, M.T.; Jackson, T.; Cullen, B.R.; Rawnsley, R.P.; Ho, C.; Cummins, L.; Eckard, R.J. Increasing ewe genetic fecundity improves whole-farm production and reduces greenhouse gas emissions intensities. Agric. Syst. 2014, 131, 23–33. [Google Scholar] [CrossRef]
- Ho, C.K.M.; Jackson, T.; Harrison, M.T.; Eckard, R.J. Increasing ewe genetic fecundity improves whole-farm production and reduces greenhouse gas emissions intensities: 2. Economic performance. Anim. Prod. Sci. 2014, 54, 1248–1253. [Google Scholar] [CrossRef]
- Christie, K.; Smith, A.; Rawnsley, R.; Harrison, M.; Eckard, R. Simulated seasonal responses of grazed dairy pastures to nitrogen fertilizer in SE Australia: N loss and recovery. Agric. Syst. 2020, 182, 102847. [Google Scholar] [CrossRef]
- Christie, K.M.; Smith, A.P.; Rawnsley, R.P.; Harrison, M.T.; Eckard, R.J. Simulated seasonal responses of grazed dairy pastures to nitrogen fertilizer in SE Australia: Pasture production. Agric. Syst. 2018, 166, 36–47. [Google Scholar] [CrossRef]
- Rawnsley, R.P.; Smith, A.P.; Christie, K.; Harrison, M.T.; Eckard, R.J. Current and future direction of nitrogen fertiliser use in Australian grazing systems. Crop Pasture Sci. 2020, 70, 1034. [Google Scholar] [CrossRef]
- Cohen, B.; Cowie, A.; Babiker, M.; Leip, A.; Smith, P. Co-benefits and trade-offs of climate change mitigation actions and the Sustainable Development Goals. Sustain. Prod. Consum. 2021, 26, 805–813. [Google Scholar] [CrossRef]
- Moreno-Pérez, M.F.; Roldán-Cañas, J. Assessment of irrigation water management in the Genil-Cabra (Córdoba, Spain) irrigation district using irrigation indicators. Agric. Water Manag. 2013, 120, 98–106. [Google Scholar] [CrossRef]
- Schultz, B.; Tardieu, H.; Vidal, A. Role of water management for global food production and poverty alleviation. Irrig. Drain. 2009, 58, S3–S21. [Google Scholar] [CrossRef]
- FAO. Water Withdrawal by Sector, around 2010. Available online: http://www.fao.org/nr/Water/aquastat/tables/WorldData-Withdrawal_eng.pdf (accessed on 23 August 2017).
- Alexandratos, N.; Bruinsma, J. World Agriculture towards 2030/2050: The 2012 Revision; ESA Working Paper No. 12-03; FAO: Rome, Italy, 2012. [Google Scholar]
- Harrison, M.T.; Cullen, B.R.; Armstrong, D. Management options for dairy farms under climate change: Effects of intensification, adaptation and simplification on pastures, milk production and profitability. Agric. Syst. 2017, 155, 19–32. [Google Scholar] [CrossRef]
- Phelan, D.C.; Harrison, M.T.; Kemmerer, E.P.; Parsons, D. Management opportunities for boosting productivity of cool-temperate dairy farms under climate change. Agric. Syst. 2015, 138, 46–54. [Google Scholar] [CrossRef]
- Shahpari, S.; Allison, J.; Harrison, M.T.; Stanley, R. An Integrated Economic, Environmental and Social Approach to Agricultural Land-Use Planning. Land 2021, 10, 364. [Google Scholar] [CrossRef]
- Taylor, C.A.; Harrison, M.T.; Telfer, M.; Eckard, R. Modelled greenhouse gas emissions from beef cattle grazing irrigated leucaena in northern Australia. Anim. Prod. Sci. 2016, 56, 594–604. [Google Scholar] [CrossRef]
- Alcamo, J.; Dronin, N.; Endejan, M.; Golubev, G.; Kirilenko, A. A new assessment of climate change impacts on food production shortfalls and water availability in Russia. Glob. Environ. Change 2007, 17, 429–444. [Google Scholar] [CrossRef]
- Lobell, D.B.; Burke, M.B.; Tebaldi, C.; Mastrandrea, M.D.; Falcon, W.P.; Naylor, R.L. Prioritizing climate change adaptation needs for food security in 2030. Science 2008, 319, 607–610. [Google Scholar] [CrossRef] [PubMed]
- Douglas, I. Climate change, flooding and food security in south Asia. Food Secur. 2009, 1, 127–136. [Google Scholar] [CrossRef]
- Woznicki, S.A.; Nejadhashemi, A.P.; Parsinejad, M. Climate change and irrigation demand: Uncertainty and adaptation. J. Hydrol. Reg. Stud. 2015, 3, 247–264. [Google Scholar] [CrossRef]
- Mirgol, B.; Nazari, M.; Eteghadipour, M. Modelling climate change impact on irrigation water requirement and yield of winter wheat (Triticum aestivum L.), barley (Hordeum vulgare L.), and fodder maize (Zea mays L.) in the semi-arid Qazvin Plateau, Iran. Agriculture 2020, 10, 60. [Google Scholar] [CrossRef]
- Mostafa, S.M.; Wahed, O.; El-Nashar, W.Y.; El-Marsafawy, S.M.; Abd-Elhamid, H.F. Impact of climate change on water resources and crop yield in the Middle Egypt region. J. Water Supply Res. Technol. 2021, 70, 1066–1084. [Google Scholar] [CrossRef]
- Poonia, V.; Das, J.; Goyal, M.K. Impact of climate change on crop water and irrigation requirements over eastern Himalayan region. Stoch. Hydrol. Hydraul. 2021, 35, 1175–1188. [Google Scholar] [CrossRef]
- Bouras, E.; Jarlan, L.; Khabba, S.; Er-Raki, S.; Dezetter, A.; Sghir, F.; Tramblay, Y. Assessing the impact of global climate changes on irrigated wheat yields and water requirements in a semi-arid environment of Morocco. Sci. Rep. 2019, 9, 19142. [Google Scholar] [CrossRef]
- Sahu, N.; Saini, A.; Behera, S.; Sayama, T.; Nayak, S.; Sahu, L.; Duan, W.; Avtar, R.; Yamada, M.; Singh, R.; et al. Impact of Indo-Pacific Climate Variability on Rice Productivity in Bihar, India. Sustainability 2020, 12, 7023. [Google Scholar] [CrossRef]
- Sahu, N.; Saini, A.; Behera, S.K.; Sayama, T.; Sahu, L.; Nguyen, V.-T.; Takara, K. Why apple orchards are shifting to the higher altitudes of the Himalayas? PLoS ONE 2020, 15, e0235041. [Google Scholar]
- Harrison, M.T.; Evans, J.R.; Moore, A.D. Using a mathematical framework to examine physiological changes in winter wheat after livestock grazing: 1. Model derivation and coefficient calibration. Field Crop. Res. 2012, 136, 116–126. [Google Scholar] [CrossRef]
- Harrison, M.T.; Evans, J.R.; Moore, A.D. Using a mathematical framework to examine physiological changes in winter wheat after livestock grazing: 2. Model validation and effects of grazing management. Field Crop. Res. 2012, 136, 127–137. [Google Scholar] [CrossRef]
- Ibrahim, A.; Harrison, M.; Meinke, H.; Fan, Y.; Johnson, P.; Zhou, M. A regulator of early flowering in barley (Hordeum vulgare L.). PLoS ONE 2018, 13, e0200722. [Google Scholar] [CrossRef] [PubMed]
- Asres, S.B. Evaluating and enhancing irrigation water management in the upper Blue Nile basin, Ethiopia: The case of Koga large scale irrigation scheme. Agric. Water Manag. 2016, 170, 26–35. [Google Scholar] [CrossRef]
- Checkol, G.; Alamirew, T. Technical and Institutional Evaluation of Geray Irrigation Scheme in West Gojjam Zone, Amhara Region, Ethiopia. J. Spat. Hydrol. 2008, 8, 36–48. [Google Scholar]
- Nam, W.-H.; Hong, E.-M.; Choi, J.-Y. Assessment of water delivery efficiency in irrigation canals using performance indicators. Irrig. Sci. 2016, 34, 129–143. [Google Scholar] [CrossRef]
- Allen, R.G.; Pereira, L.S.; Raes, D.; Smith, M. Crop Evapotranspiration (Guidelines for Computing Crop Water Requirements); FAO Irrigation and Drainage Paper 56; Food and Agriculture Organization of the United Nations: Rome, Italy, 1998; p. 300. [Google Scholar]
- Liu, K.; Harrison, M.T.; Hunt, J.; Angessa, T.T.; Meinke, H.; Li, C.; Tian, X.; Zhou, M. Identifying optimal sowing and flowering periods for barley in Australia: A modelling approach. Agric. For. Meteorol. 2020, 282, 107871. [Google Scholar] [CrossRef]
- Liu, K.; Harrison, M.T.; Ibrahim, A.; Manik, S.M.N.; Johnson, P.; Tian, X.; Meinke, H.; Zhou, M. Genetic factors increasing barley grain yields under soil waterlogging. Food Energy Secur. 2020, 9, e238. [Google Scholar] [CrossRef]
- Department of Water Resources and Irrigation. Water Resources and Irrigation Annual Booklet; Department of Water Resources and Irrigation: Lalitpur, Nepal, 2019. [Google Scholar]
- Keating, B.A.; Carberry, P.S.; Hammer, G.L.; Probert, M.E.; Robertson, M.J.; Holzworth, D.; Huth, N.I.; Hargreaves, J.N.; Meinke, H.; Hochman, Z.; et al. An overview of APSIM, a model designed for farming systems simulation. Eur. J. Agron. 2003, 18, 267–288. [Google Scholar] [CrossRef]
- APSIM-Crop Module Documentation. Crop Module Documentation. Available online: https://www.apsim.info/documentation/model-documentation/crop-module-documentation/ (accessed on 18 October 2020).
- Bilotto, F.; Harrison, M.T.; Migliorati, M.D.A.; Christie, K.M.; Rowlings, D.W.; Grace, P.R.; Smith, A.P.; Rawnsley, R.P.; Thorburn, P.J.; Eckard, R.J. Can seasonal soil N mineralisation trends be leveraged to enhance pasture growth? Sci. Total Environ. 2021, 772, 145031. [Google Scholar] [CrossRef] [PubMed]
- Harrison, M.T.; Roggero, P.P.; Zavattaro, L. Simple, efficient and robust techniques for automatic multi-objective function parameterisation: Case studies of local and global optimisation using APSIM. Environ. Model. Softw. 2019, 117, 109–133. [Google Scholar] [CrossRef]
- Liu, H.L.; Yang, J.Y.; Drury, C.F.; Reynolds, W.D.; Tan, C.S.; Bai, Y.L.; He, P.; Jin, J.; Hoogenboom, G. Using the DSSAT-CERES-Maize model to simulate crop yield and nitrogen cycling in fields under long-term continuous maize production. Nutr. Cycl. Agroecosyst. 2011, 89, 313–328. [Google Scholar] [CrossRef]
- Zheng, B.; Chenu, K.; Doherty, A.; Chapman, S. The APSIM-Wheat Module (7.5 R3008); The Commonwealth Scientific and Industrial Research Organisation (CSIRO) and Queensland State Government Agencies: Brisbane, Australia, 2015. [Google Scholar]
- Asseng, S.; Keating, B.; Fillery, I.; Gregory, P.; Bowden, J.; Turner, N.; Palta, J.; Abrecht, D. Performance of the APSIM-wheat model in Western Australia. Field Crop. Res. 1998, 57, 163–179. [Google Scholar] [CrossRef]
- Dreccer, M.F.; Fainges, J.; Whish, J.; Ogbonnaya, F.C.; Sadras, V.O. Comparison of sensitive stages of wheat, barley, canola, chickpea and field pea to temperature and water stress across Australia. Agric. For. Meteorol. 2018, 248, 275–294. [Google Scholar] [CrossRef]
- Flohr, B.; Hunt, J.; Kirkegaard, J.; Evans, J. Water and temperature stress define the optimal flowering period for wheat in south-eastern Australia. Field Crop. Res. 2017, 209, 108–119. [Google Scholar] [CrossRef]
- Houshmandfar, A.; Fitzgerald, G.J.; O’Leary, G.; Tausz-Posch, S.; Fletcher, A.; Tausz, M. The relationship between transpiration and nutrient uptake in wheat changes under elevated atmospheric CO2. Physiol. Plant. 2018, 163, 516–529. [Google Scholar] [CrossRef]
- Luo, Q.; Kathuria, A. Modelling the response of wheat grain yield to climate change: A sensitivity analysis. Arch. Meteorol. Geophys. Bioclimatol. Ser. B 2013, 111, 173–182. [Google Scholar] [CrossRef]
- Peake, A.; Huth, N.; Carberry, P.; Raine, S.; Smith, R. Quantifying potential yield and lodging-related yield gaps for irrigated spring wheat in sub-tropical Australia. Field Crop. Res. 2014, 158, 1–14. [Google Scholar] [CrossRef]
- Zhao, G.; Bryan, B.A.; Song, X. Sensitivity and uncertainty analysis of the APSIM-wheat model: Interactions between cultivar, environmental, and management parameters. Ecol. Model. 2014, 279, 1–11. [Google Scholar] [CrossRef]
- Bai, H.; Wang, J.; Fang, Q.; Huang, B. Does a trade-off between yield and efficiency reduce water and nitrogen inputs of winter wheat in the North China Plain? Agric. Water Manag. 2020, 233, 106095. [Google Scholar] [CrossRef]
- Chen, C.; Wang, E.; Yu, Q. Modeling Wheat and Maize Productivity as Affected by Climate Variation and Irrigation Supply in North China Plain. Agron. J. 2010, 102, 1037–1049. [Google Scholar] [CrossRef]
- Chen, C.; Wang, E.; Yu, Q. Modelling the effects of climate variability and water management on crop water productivity and water balance in the North China Plain. Agric. Water Manag. 2010, 97, 1175–1184. [Google Scholar] [CrossRef]
- Zhang, Y.; Feng, L.P.; Wang, J.; Wang, E.L.; Xu, Y.L. Using APSIM to explore wheat yield response to climate change in the North China Plain: The predicted adaptation of wheat cultivar types to vernalization. J. Agric. Sci. 2013, 151, 836–848. [Google Scholar] [CrossRef]
- Zhao, Z.; Wang, E.; Wang, Z.; Zang, H.; Liu, Y.; Angus, J.F. A reappraisal of the critical nitrogen concentration of wheat and its implications on crop modeling. Field Crop. Res. 2014, 164, 65–73. [Google Scholar] [CrossRef]
- Sida, T.S.; Baudron, F.; Kim, H.; Giller, K.E. Climate-smart agroforestry: Faidherbia albida trees buffer wheat against climatic extremes in the Central Rift Valley of Ethiopia. Agric. For. Meteorol. 2018, 248, 339–347. [Google Scholar] [CrossRef]
- Deihimfard, R.; Mahallati, M.N.; Koocheki, A. Yield gap analysis in major wheat growing areas of Khorasan province, Iran, through crop modelling. Field Crop. Res. 2015, 184, 28–38. [Google Scholar] [CrossRef]
- Singh, B.; Humphreys, E.; Gaydon, D.; Eberbach, P. Evaluation of the effects of mulch on optimum sowing date and irrigation management of zero till wheat in central Punjab, India using APSIM. Field Crop. Res. 2016, 197, 83–96. [Google Scholar] [CrossRef] [PubMed]
- Holzworth, D.; Huth, N.; Fainges, J.; Brown, H.; Zurcher, E.; Cichota, R.; Verrall, S.; Herrmann, N.; Zheng, B.; Snow, V. APSIM Next Generation: Overcoming challenges in modernising a farming systems model. Environ. Model. Softw. 2018, 103, 43–51. [Google Scholar] [CrossRef]
- Kaini, S.; Nepal, S.; Pradhananga, S.; Gardner, T.; Sharma, A.K. Representative general circulation models selection and downscaling of climate data for the transboundary Koshi river basin in China and Nepal. Int. J. Clim. 2020, 40, 4131–4149. [Google Scholar] [CrossRef]
- Lutz, A.; Immerzeel, W. Reference Climate Dataset for the Indus, Ganges and Brahmaputra River Basins. In Report FutureWater, HI-AWARE Research Component 1; HI-AWARE/FutureWater: Wageningen, The Netherlands, 2015; p. 146. [Google Scholar]
- Kaini, S.; Nepal, S.; Pradhananga, S.; Gardner, T.; Sharma, A.K. Impacts of climate change on the flow of the transboundary Koshi River, with implications for local irrigation. Int. J. Water Resour. Dev. 2021, 37, 929–954. [Google Scholar] [CrossRef]
- MOFE. Climate Change Scenarios for Nepal for National Adaptation Plan (NAP); Ministry of Forests and Environment: Kathmandu, Malaysia, 2019. [Google Scholar]
- Wijngaard, R.R.; Lutz, A.F.; Nepal, S.; Khanal, S.; Pradhananga, S.; Shrestha, A.B.; Immerzeel, W.W. Future changes in hydro-climatic extremes in the Upper Indus, Ganges, and Brahmaputra River basins. PLoS ONE 2017, 12, e0190224. [Google Scholar] [CrossRef] [PubMed]
- Dingman, S.L. Physical Hydrology, 3rd ed.; Waveland Press, Inc.: Long Grove, IL, USA, 2015. [Google Scholar]
- Grant, D.M. ISCO Open Channel Flow Measurement Handbook, 3rd ed.; ICVO Inc.: Omaha, NE, USA, 1989. [Google Scholar]
- Ibrahim, A.; Harrison, M.T.; Meinke, H.; Zhou, M. Examining the yield potential of barley near-isogenic lines using a genotype by environment by management analysis. Eur. J. Agron. 2019, 105, 41–51. [Google Scholar] [CrossRef]
- Kaini, S. Multiple use of irrigation water: Way towards sustainable irrigation management. In Proceedings of the National Irrigation Seminar on Irrigation Development and Management: Learning from the Past and Planning for the Future, Kavrepalanchok, Nepal, 10–11 June 2016; Department of Irrigation: Lalitpur, Nepal, 2016; p. 11. [Google Scholar]
- Kaini, S.; Hayde, L.G.; Schultz, B.; Marence, M. Seepage analysis underneath the headwork of Chanda Mohana Irrigation Scheme, Sunsari, Nepal. In Proceedings of the National Irrigation Seminar on Micro to Mega: Irrigation for Prosperous Nepal, Kathmandu, Nepal, 13–14 July 2011; Department of Irrigation: Lalitpur, Nepal, 2011; p. 21. [Google Scholar]
- Fischer, R. The effect of duration of the vegetative phase in irrigated semi-dwarf spring wheat on phenology, growth and potential yield across sowing dates at low latitude. Field Crop. Res. 2016, 198, 188–199. [Google Scholar] [CrossRef]
- Wang, B.; Lu, D.L.; O’Leary, G.J.; Asseng, S.; Macadam, I.; Lines-Kelly, R.; Yang, X.; Clark, A.; Crean, J.; Sides, T.; et al. Australian wheat production expected to decrease by the late 21st century. Glob. Change Biol. 2018, 24, 2403–2415. [Google Scholar] [CrossRef] [PubMed]
- Goodarzi, M.; Abedi-Koupai, J.; Heidarpour, M. Investigating impacts of climate change on irrigation water demands and its resulting consequences on groundwater using CMIP5 models. Groundwater 2019, 57, 259–268. [Google Scholar] [CrossRef]
- Garcia-Garcia, G.; Jagtap, S. Enhancement of a spent irrigation water recycling process: A case study in a food business. Appl. Sci. 2021, 11, 10355. [Google Scholar] [CrossRef]
- Yuan, Z.; Yan, D.; Yang, Z.; Yin, J.; Breach, P.; Wang, D. Impacts of climate change on winter wheat water requirement in Haihe River Basin. Mitig. Adapt. Strat. Glob. Change 2016, 21, 677–697. [Google Scholar] [CrossRef]
- Chattaraj, S.; Chakraborty, D.; Sehgal, V.; Paul, R.; Singh, S.; Daripa, A.; Pathak, H. Predicting the impact of climate change on water requirement of wheat in the semi-arid Indo-Gangetic Plains of India. Agric. Ecosyst. Environ. 2014, 197, 174–183. [Google Scholar] [CrossRef]
- Kaini, S.; Gardner, T.; Sharma, A.K. Assessment of Socio-Economic Factors Impacting on the Cropping Intensity of an Irrigation Scheme in Developing Countries. Irrig. Drain. 2020, 69, 363–375. [Google Scholar] [CrossRef]
- Harrison, M.T.; Christie, K.M.; Rawnsley, R.P. Assessing the reliability of dynamical and historical climate forecasts in simulating hindcast pasture growth rates. Anim. Prod. Sci. 2017, 57, 1525. [Google Scholar] [CrossRef] [Green Version]







| Depth (cm) | BD (g/cc) | AD (mm/mm) | LL15 (mm/mm) | DUL (mm/mm) | Sat (mm/mm) | Ks (mm/day) | Wheat PAWC (mm) |
|---|---|---|---|---|---|---|---|
| 0–10 | 1.35 | 0.01 | 0.157 | 0.374 | 0.414 | 600 | 21.7 |
| 10–20 | 1.4 | 0.01 | 0.169 | 0.38 | 0.443 | 600 | 21.1 |
| 20–30 | 1.35 | 0.01 | 0.137 | 0.319 | 0.356 | 600 | 18.2 |
| 30–50 | 1.38 | 0.01 | 0.171 | 0.312 | 0.349 | 600 | 28.2 |
| 50–70 | 1.5 | 0.011 | 0.186 | 0.315 | 0.331 | 600 | 25.8 |
| 70–90 | 1.49 | 0.011 | 0.184 | 0.302 | 0.359 | 600 | 23.6 |
| Phenological Stage | Parameterisation | Validation | ||
|---|---|---|---|---|
| Observed | Simulated | Observed | Simulated | |
| Sowing | 1 | 1 | 1 | 1 |
| Emergence | 7 | 5 | 7 | 5 |
| Floral initiation | 65 | 65 | 65 | 67 |
| Start grain filling | 91 | 93 | 91 | 94 |
| Harvest | 127 | 124 | 126 | 125 |
| Average Change | Short Term (2016–2045) | Mid-Century (2036–2065) | End of Century (2071–2100) | |||
|---|---|---|---|---|---|---|
| RCP4.5 | RCP8.5 | RCP4.5 | RCP8.5 | RCP4.5 | RCP8.5 | |
| Emergence | 0 | 0 | 0 | 0 | 0 | −1 |
| Floral initiation | 0 | −1 | −1 | −1 | −1 | −4 |
| Anthesis | 0 | −1 | −1 | −2 | −2 | −7 |
| Maturity | 0 | −1 | −1 | −2 | −2 | −5 |
| Change | Short Term (2016–2045) | Mid-Century (2036–2065) | End of Century (2071–2100) | |||||||||
|---|---|---|---|---|---|---|---|---|---|---|---|---|
| RCP4.5 | RCP8.5 | RCP4.5 | RCP8.5 | RCP4.5 | RCP8.5 | |||||||
| Absolute Change Values | Relative Change (%) | Absolute Change Values | Relative Change (%) | Absolute Change Values | Relative Change (%) | Absolute Change Values | Relative Change (%) | Absolute Change Values | Relative Change (%) | Absolute Change Values | Relative Change (%) | |
| Irrigation water demand (mm) | 10 | 2.3 | 10 | 2.3 | 6 | 1.4 | −2 | −0.5 | 12 | 2.8 | −36 | −8.4 |
| Grain yield (kg/ha) | −76 | −1.3 | −215 | −3.7 | −228 | −3.9 | −320 | −5.5 | −399 | −6.9 | −1072 | −18.5 |
| Biomass (kg/ha) | 120 | 0.7 | −671 | −3.7 | −613 | −3.4 | −919 | −5.1 | −1049 | −5.8 | −3509 | −19.5 |
Publisher’s Note: MDPI stays neutral with regard to jurisdictional claims in published maps and institutional affiliations. |
© 2022 by the authors. Licensee MDPI, Basel, Switzerland. This article is an open access article distributed under the terms and conditions of the Creative Commons Attribution (CC BY) license (https://creativecommons.org/licenses/by/4.0/).
Share and Cite
Kaini, S.; Harrison, M.T.; Gardner, T.; Nepal, S.; Sharma, A.K. The Impacts of Climate Change on the Irrigation Water Demand, Grain Yield, and Biomass Yield of Wheat Crop in Nepal. Water 2022, 14, 2728. https://doi.org/10.3390/w14172728
Kaini S, Harrison MT, Gardner T, Nepal S, Sharma AK. The Impacts of Climate Change on the Irrigation Water Demand, Grain Yield, and Biomass Yield of Wheat Crop in Nepal. Water. 2022; 14(17):2728. https://doi.org/10.3390/w14172728
Chicago/Turabian StyleKaini, Santosh, Matthew Tom Harrison, Ted Gardner, Santosh Nepal, and Ashok K. Sharma. 2022. "The Impacts of Climate Change on the Irrigation Water Demand, Grain Yield, and Biomass Yield of Wheat Crop in Nepal" Water 14, no. 17: 2728. https://doi.org/10.3390/w14172728
APA StyleKaini, S., Harrison, M. T., Gardner, T., Nepal, S., & Sharma, A. K. (2022). The Impacts of Climate Change on the Irrigation Water Demand, Grain Yield, and Biomass Yield of Wheat Crop in Nepal. Water, 14(17), 2728. https://doi.org/10.3390/w14172728

