Improved Monthly and Seasonal Multi-Model Ensemble Precipitation Forecasts in Southwest Asia Using Machine Learning Algorithms
Abstract
:1. Introduction
2. Data
3. Methods
4. Results and Discussion
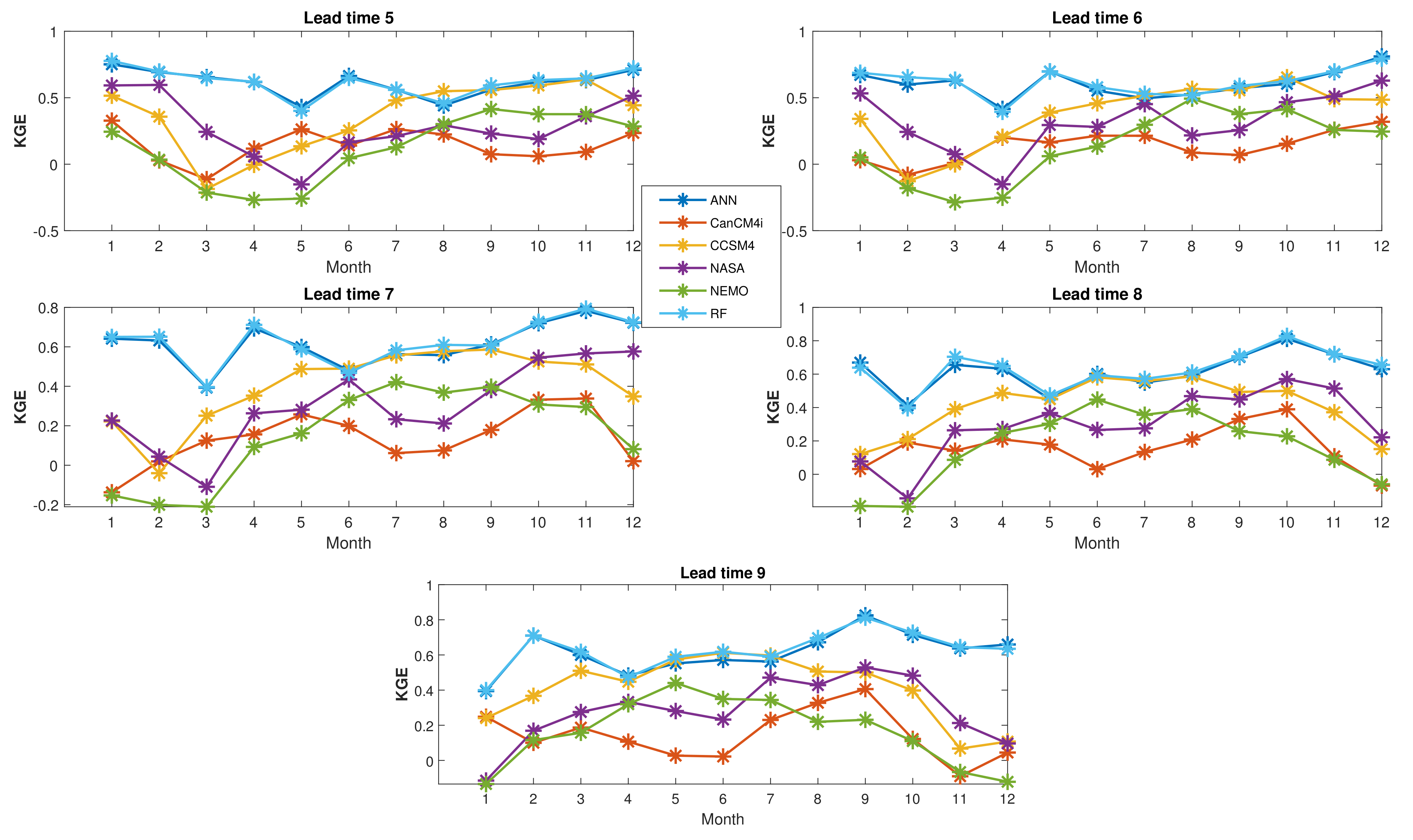
4.1. Monthly Forecasts
4.2. Seasonal Forecasts
5. Conclusions
Author Contributions
Funding
Data Availability Statement
Acknowledgments
Conflicts of Interest
Abbreviations
| ANN | artificial neural network |
| DJF | December, January, February (winter) |
| ERA5 | ECMWF re-analysis dataset 5 |
| JJA | June, July, August (summer) |
| KGE | Kling–Gupta efficiency coefficient |
| MAM | March, April, May (spring) |
| NMME | North American multi-model ensemble |
| NSE | Nash–Sutcliffe efficiency coefficient |
| RF | Random forest |
| RMSE | Root mean squared error |
| SON | September, October, November (autumn) |
References
- Yazdi, H.S.; Pakdaman, M.; Effati, S. Fuzzy circuit analysis. Int. J. Appl. Eng. Res. 2008, 3, 1061–1072. [Google Scholar]
- Yuval, J.; O’Gorman, P.A. Stable machine-learning parameterization of subgrid processes for climate modeling at a range of resolutions. Nat. Commun. 2020, 11, 3295. [Google Scholar] [PubMed]
- Chang, F.J.; Hsu, K.; Chang, L.C. Flood Forecasting Using Machine Learning Methods; MDPI: Basel, Switzerland, 2019. [Google Scholar]
- Pakdaman, M.; Falamarzi, Y.; Babaeian, I.; Javanshiri, Z. Post-processing of the North American multi-model ensemble for monthly forecast of precipitation based on neural network models. Theor. Appl. Climatol. 2020, 141, 405–417. [Google Scholar]
- Pakdaman, M.; Babaeian, I.; Javanshiri, Z.; Falamarzi, Y. European Multi Model Ensemble (EMME): A New Approach for Monthly Forecast of Precipitation. Water Resour. Manag. 2022, 36, 611–623. [Google Scholar]
- Valipour, M. Optimization of neural networks for precipitation analysis in a humid region to detect drought and wet year alarms. Meteorol. Appl. 2016, 23, 91–100. [Google Scholar]
- Banadkooki, F.B.; Ehteram, M.; Ahmed, A.N.; Fai, C.M.; Afan, H.A.; Ridwam, W.M.; Sefelnasr, A.; El-Shafie, A. Precipitation forecasting using multilayer neural network and support vector machine optimization based on flow regime algorithm taking into account uncertainties of soft computing models. Sustainability 2019, 11, 6681. [Google Scholar]
- Scheuerer, M.; Switanek, M.B.; Worsnop, R.P.; Hamill, T.M. Using artificial neural networks for generating probabilistic subseasonal precipitation forecasts over California. Mon. Weather Rev. 2020, 148, 3489–3506. [Google Scholar]
- Das, S.; Chakraborty, R.; Maitra, A. A random forest algorithm for nowcasting of intense precipitation events. Adv. Space Res. 2017, 60, 1271–1282. [Google Scholar]
- Zarei, M.; Najarchi, M.; Mastouri, R. Bias correction of global ensemble precipitation forecasts by Random Forest method. Earth Sci. Inform. 2021, 14, 677–689. [Google Scholar]
- Shin, K.; Song, J.J.; Bang, W.; Lee, G. Quantitative Precipitation Estimates Using Machine Learning Approaches with Operational Dual-Polarization Radar Data. Remote Sens. 2021, 13, 694. [Google Scholar]
- Pakdaman, M.; Naghab, S.S.; Khazanedari, L.; Malbousi, S.; Falamarzi, Y. Lightning prediction using an ensemble learning approach for northeast of Iran. J. Atmos. Sol.-Terr. Phys. 2020, 209, 105417. [Google Scholar] [CrossRef]
- Pakdaman, M.; Falamarzi, Y.; Yazdi, H.S.; Ahmadian, A.; Salahshour, S.; Ferrara, F. A kernel least mean square algorithm for fuzzy differential equations and its application in earth’s energy balance model and climate. Alex. Eng. J. 2020, 59, 2803–2810. [Google Scholar] [CrossRef]
- Doughty, C.E.; Loarie, S.R.; Field, C.B. Theoretical impact of changing albedo on precipitation at the southernmost boundary of the ITCZ in South America. Earth Interact. 2012, 16, 1–14. [Google Scholar]
- Pakdaman, M.; Habibi Nokhandan, M.; Falamarzi, Y. Revisiting albedo from a fuzzy perspective. Kybernetes, 2021; ahead-of-print. [Google Scholar] [CrossRef]
- Han, X.; Wei, Z.; Zhang, B.; Li, Y.; Du, T.; Chen, H. Crop evapotranspiration prediction by considering dynamic change of crop coefficient and the precipitation effect in back-propagation neural network model. J. Hydrol. 2021, 596, 126104. [Google Scholar] [CrossRef]
- Aksoy, H.; Dahamsheh, A. Markov chain-incorporated and synthetic data-supported conditional artificial neural network models for forecasting monthly precipitation in arid regions. J. Hydrol. 2018, 562, 758–779. [Google Scholar]
- Chang, N.B.; Yang, Y.J.; Imen, S.; Mullon, L. Multi-scale quantitative precipitation forecasting using nonlinear and nonstationary teleconnection signals and artificial neural network models. J. Hydrol. 2017, 548, 305–321. [Google Scholar] [CrossRef]
- Tomassetti, B.; Verdecchia, M.; Giorgi, F. NN5: A neural network based approach for the downscaling of precipitation fields–Model description and preliminary results. J. Hydrol. 2009, 367, 14–26. [Google Scholar]
- Chen, H.; Chandrasekar, V.; Tan, H.; Cifelli, R. Rainfall estimation from ground radar and TRMM precipitation radar using hybrid deep neural networks. Geophys. Res. Lett. 2019, 46, 10669–10678. [Google Scholar] [CrossRef]
- Chen, G.; Wang, W.C. Short-term precipitation prediction for contiguous United States using deep learning. Geophys. Res. Lett. 2022, 49, e2022GL097904. [Google Scholar] [CrossRef]
- Shi, X. Enabling smart dynamical downscaling of extreme precipitation events with machine learning. Geophys. Res. Lett. 2020, 47, e2020GL090309. [Google Scholar] [CrossRef]
- Kim, J.W.; Pachepsky, Y.A. Reconstructing missing daily precipitation data using regression trees and artificial neural networks for SWAT streamflow simulation. J. Hydrol. 2010, 394, 305–314. [Google Scholar] [CrossRef]
- Hoell, A.; Cannon, F.; Barlow, M. Middle East and Southwest Asia daily precipitation characteristics associated with the madden–Julian oscillation during boreal winter. J. Clim. 2018, 31, 8843–8860. [Google Scholar] [CrossRef]
- Hoell, A.; Barlow, M.; Xu, T.; Zhang, T. Cold season southwest Asia precipitation sensitivity to El Niño–Southern Oscillation events. J. Clim. 2018, 31, 4463–4482. [Google Scholar] [CrossRef]
- Ehsan, M.A.; Kucharski, F.; Almazroui, M. Potential predictability of boreal winter precipitation over central-southwest Asia in the North American multi-model ensemble. Clim. Dyn. 2020, 54, 473–490. [Google Scholar] [CrossRef]
- Rana, S.; Renwick, J.; McGregor, J.; Singh, A. Seasonal prediction of winter precipitation anomalies over Central Southwest Asia: A canonical correlation analysis approach. J. Clim. 2018, 31, 727–741. [Google Scholar] [CrossRef]
- Cybenko, G. Approximation by superpositions of a sigmoidal function. Math. Control. Signals Syst. 1989, 2, 303–314. [Google Scholar] [CrossRef]
- Murphy, K.P. Machine Learning: A Probabilistic Perspective; MIT Press: Cambridge, MA, USA, 2012. [Google Scholar]
- Knoben, W.J.; Freer, J.E.; Woods, R.A. Inherent benchmark or not? Comparing Nash–Sutcliffe and Kling–Gupta efficiency scores. Hydrol. Earth Syst. Sci. 2019, 23, 4323–4331. [Google Scholar] [CrossRef]
- Nash, J.E.; Sutcliffe, J.V. River flow forecasting through conceptual models part I—A discussion of principles. J. Hydrol. 1970, 10, 282–290. [Google Scholar] [CrossRef]













| Models | Abbreviation | Members | Lead Times | Hindcast Period |
|---|---|---|---|---|
| GEM-NEMO | NEMO | 10 | 12 (0.5–11.5 months) | 1981–2018 |
| NASA-GEOSS2S | NASA | 4 | 9 (0.5–8.5 months) | 1981–2017 |
| CanCM4i | CanCM4i | 10 | 12 (0.5–11.5 months) | 1981–2018 |
| COLA-RSMAS-CCSM4 | CCSM4 | 10 | 12 (0.5–11.5 months) | 1982–2021 |
| Lead Time | 1 | 2 | … | 9 | |
|---|---|---|---|---|---|
| Month | |||||
| 1 | M(1,1) | M(1,2) | … | M(1,9) | |
| 2 | M(2,1) | M(2,2) | … | M(2,9) | |
| ⋮ | ⋮ | ⋮ | … | ⋮ | |
| 12 | M(12,1) | M(12,2) | … | M(12,9) | |
| Lead Time | L1 | L2 | L3 | L4 | |
|---|---|---|---|---|---|
| Month | |||||
| January | January | February | March | April | |
| February | February | March | April | May | |
| March | March | April | May | June | |
| April | April | May | June | July | |
| May | May | June | July | August | |
| June | June | July | August | September | |
| July | July | August | September | October | |
| August | August | September | October | November | |
| September | September | October | November | December | |
| October | October | November | December | January | |
| November | November | December | January | February | |
| December | December | January | February | March | |
Publisher’s Note: MDPI stays neutral with regard to jurisdictional claims in published maps and institutional affiliations. |
© 2022 by the authors. Licensee MDPI, Basel, Switzerland. This article is an open access article distributed under the terms and conditions of the Creative Commons Attribution (CC BY) license (https://creativecommons.org/licenses/by/4.0/).
Share and Cite
Pakdaman, M.; Babaeian, I.; Bouwer, L.M. Improved Monthly and Seasonal Multi-Model Ensemble Precipitation Forecasts in Southwest Asia Using Machine Learning Algorithms. Water 2022, 14, 2632. https://doi.org/10.3390/w14172632
Pakdaman M, Babaeian I, Bouwer LM. Improved Monthly and Seasonal Multi-Model Ensemble Precipitation Forecasts in Southwest Asia Using Machine Learning Algorithms. Water. 2022; 14(17):2632. https://doi.org/10.3390/w14172632
Chicago/Turabian StylePakdaman, Morteza, Iman Babaeian, and Laurens M. Bouwer. 2022. "Improved Monthly and Seasonal Multi-Model Ensemble Precipitation Forecasts in Southwest Asia Using Machine Learning Algorithms" Water 14, no. 17: 2632. https://doi.org/10.3390/w14172632
APA StylePakdaman, M., Babaeian, I., & Bouwer, L. M. (2022). Improved Monthly and Seasonal Multi-Model Ensemble Precipitation Forecasts in Southwest Asia Using Machine Learning Algorithms. Water, 14(17), 2632. https://doi.org/10.3390/w14172632

