Biosorption and Bioaccumulation Capacity of Arthospiraplatensis toward Europium Ions
Abstract
:1. Introduction
2. Materials and Methods
2.1. Arthospira platensis
2.2. Biosorption Experiment
2.3. Bioaccumulation Experiment
2.4. Amount of Biomass
2.5. Biochemical Tests
2.6. Antioxidant Activity
2.7. Statistical Analysis
3. Results and Discussion
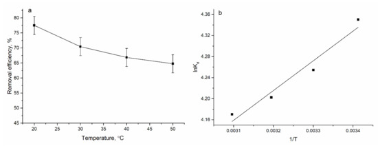
3.1. Biosorption
3.2. Bioaccummulation
4. Conclusions
Author Contributions
Funding
Institutional Review Board Statement
Informed Consent Statement
Data Availability Statement
Conflicts of Interest
References
- Pan, X.; Wu, W.; Lü, J.; Chen, Z.; Li, L.; Rao, W.; Guan, X. Biosorption and extraction of europium by Bacillus thuringiensis strain. Inorg. Chem. Commun. 2017, 75, 21–24. [Google Scholar] [CrossRef]
- Cadogan, E.I.; Lee, C.-H.; Popuri, S.R. Facile synthesis of chitosan derivatives and Arthrobacter sp. biomass for the removal of europium(III) ions from aqueous solution through biosorption. Int. Biodeterior. Biodegrad. 2015, 102, 286–297. [Google Scholar] [CrossRef]
- Maleke, M.; Valverde, A.; Vermeulen, J.-G.; Cason, E.D.; Gómez-Arias, A.; Moloantoa, K.; Coetsee-Hugo, L.; Swart, H.; Van Heerden, E.; Castillo, J. Biomineralization and Bioaccumulation of Europium by a Thermophilic Metal Resistant Bacterium. Front. Microbiol. 2019, 10, 81. [Google Scholar] [CrossRef] [PubMed]
- Jena, A.; Pradhan, S.; Mishra, S.; Sahoo, N.K. Evaluation of Europium Biosorption Using Deinococcus radiodurans. Environ. Process. 2021, 8, 251–265. [Google Scholar] [CrossRef]
- Baumer, T.; Hixon, A.E. Kinetics of europium sorption to four different aluminum (hydr)oxides: Corundum, γ-alumina, bayerite, and gibbsite. J. Environ. Radioact. 2018, 195, 20–25. [Google Scholar] [CrossRef]
- Arunraj, B.; Sathvika, T.; Rajesh, V.; Rajesh, N. Cellulose and Saccharomyces cerevisiae Embark to Recover Europium from Phosphor Powder. ACS Omega 2019, 4, 940–952. [Google Scholar] [CrossRef] [Green Version]
- Lazaris, D.; Liasko, R.; Leonardos, I.; Evangelou, A.; Kalfakakou, V. Toxic effects of europium chloride on developing zebrafish (Danio rerio) embryos. J. Biol. Res. 2012, 18, 291–296. [Google Scholar]
- Nörenberg, D.; Schmidt, F.; Schinke, K.; Frenzel, T.; Pietsch, H.; Giese, A.; Ertl-Wagner, B.; Levin, J. Investigation of potential adverse central nervous system effects after long term oral administration of gadolinium in mice. PLoS ONE 2020, 15, e0231495. [Google Scholar] [CrossRef] [Green Version]
- Das, N.; Das, D. Recovery of rare earth metals through biosorption: An overview. J. Rare Earths 2013, 31, 933–943. [Google Scholar] [CrossRef]
- Rabah, M.A. Recyclables recovery of europium and yttrium metals and some salts from spent fluorescent lamps. Waste Manag. 2008, 28, 318–325. [Google Scholar] [CrossRef]
- Cepoi, L.; Zinicovscaia, I.; Rudi, L.; Chiriac, T.; Djur, S.; Yushin, N.; Grozdov, D. Assessment of Metal Accumulation by Arthrospira platensis and Its Adaptation to Iterative Action of Nickel Mono- and Polymetallic Synthetic Effluents. Microorganisms 2022, 10, 1041. [Google Scholar] [CrossRef] [PubMed]
- Vijayaraghavan, K.; Sathishkumar, M.; Balasubramanian, R. Biosorption of Lanthanum, Cerium, Europium, and Ytterbium by a Brown Marine Alga, Turbinaria Conoides. Ind. Eng. Chem. Res. 2010, 49, 4405–4411. [Google Scholar] [CrossRef]
- Diniz, V.; Volesky, B. Biosorption of La, Eu and Yb using Sargassum biomass. Water Res. 2005, 39, 239–247. [Google Scholar] [CrossRef] [PubMed]
- Zinicovscaia, I.; Cepoi, L.; Rudi, L.; Chiriac, T.; Grozdov, D.; Pavlov, S.; Djur, S. Accumulation of dysprosium, samarium, terbium, lanthanum, neodymium and ytterbium by Arthrospira platensis and their effects on biomass biochemical composition. J. Rare Earths 2020, 39, 1133–1143. [Google Scholar] [CrossRef]
- Cepoi, L.; Rudi, L.; Miscu, V.; Cojocari, A.; Chiriac, T.; Sadovnic, D. Antioxidative activity of ethanol extracts from Spirulina platensis and Nostoc linckia measured by various methods. Analele Univ. Oradea Fasc. Biol. 2009, 16, 43–48. [Google Scholar]
- Tan, X.; Fang, M.; Li, J.; Lu, Y.; Wang, X. Adsorption of Eu(III) onto TiO2: Effect of pH, concentration, ionic strength and soil fulvic acid. J. Hazard. Mater. 2009, 168, 458–465. [Google Scholar] [CrossRef]
- Furuhashi, Y.; Honda, R.; Noguchi, M.; Hara-Yamamura, H.; Kobayashi, S.; Higashimine, K.; Hasegawa, H. Optimum conditions of pH, temperature and preculture for biosorption of europium by microalgae Acutodesmus acuminatus. Biochem. Eng. J. 2019, 143, 58–64. [Google Scholar] [CrossRef]
- Boparai, H.K.; Joseph, M.; O’Carroll, D.M. Kinetics and thermodynamics of cadmium ion removal by adsorption onto nano zerovalent iron particles. J. Hazard. Mater. 2011, 186, 458–465. [Google Scholar] [CrossRef]
- Wu, F.-C.; Tseng, R.-L.; Juang, R.-S. Characteristics of Elovich equation used for the analysis of adsorption kinetics in dye-chitosan systems. Chem. Eng. J. 2009, 150, 366–373. [Google Scholar] [CrossRef]
- Wenhua, L.; Ruming, Z.; Zhixiong, X.; Xiangdong, C.; Ping, S. Effects of La3+ on Growth, Transformation, and Gene Expression of Escherichia coli. Biol. Trace Element Res. 2003, 94, 167–177. [Google Scholar] [CrossRef]
- Jin, X.; Chu, Z.; Yan, F.; Zeng, Q. Effects of lanthanum(III) and EDTA on the growth and competition of Microcystis aeruginosa and Scenedesmus quadricauda. Limnologica 2009, 39, 86–93. [Google Scholar] [CrossRef] [Green Version]
- Wang, Y.; Li, Y.; Luo, X.; Ren, Y.; Gao, E.; Gao, H. Effects of yttrium and phosphorus on growth and physiological characteristics of Microcystis aeruginosa. J. Rare Earths 2018, 36, 781–788. [Google Scholar] [CrossRef]
- Wang, Y.; Li, J.; Lü, Y.; Jin, H.; Deng, S.; Zeng, Y. Effects of cerium on growth and physiological characteristics of Anabaena flosaquae. J. Rare Earths 2012, 30, 1287–1292. [Google Scholar] [CrossRef]
- Cepoi, L.; Zinicovscaia, I.; Rudi, L.; Chiriac, T.; Miscu, V.; Djur, S.; Strelkova, L.; Vergel, K.; Nekhoroshkov, P. Growth and heavy metals accumulation by Spirulina platensis biomass from multicomponent copper containing synthetic effluents during repeated cultivation cycles. Ecol. Eng. 2020, 142, 105637. [Google Scholar] [CrossRef]
- Zinicovscaia, I.; Cepoi, L.; Rudi, L.; Chiriac, T.; Grozdov, D.; Vergel, K. Effect of zinc-containing systems on Spirulina platensis bioaccumulation capacity and biochemical composition. Environ. Sci. Pollut. Res. 2021, 28, 52216–52224. [Google Scholar] [CrossRef]
- Chojnacka, K. Biosorption and bioaccumulation—The prospects for practical applications. Environ. Int. 2010, 36, 299–307. [Google Scholar] [CrossRef]
- Zinicovscaia, I.; Yushin, N.; Grozdov, D.; Abdusamadzoda, D.; Safonov, A.; Rodlovskaya, E. Zinc-containing effluent treatment using Shewanella xiamenensis biofilm formed on zeolite. Materials 2021, 14, 1760. [Google Scholar] [CrossRef]
- Zinicovscaia, I.; Yushin, N.; Grozdov, D.; Vergel, K.; Popova, N.; Artemiev, G.; Safonov, A. Metal removal from nickel-containing effluents using mineral–organic hybrid adsorbent. Materials 2020, 13, 4462. [Google Scholar] [CrossRef]








| Kinetics | |||||||||
| Model | PFO | PSO | Elovich | ||||||
| Parameters | qe | k1 | R2 | qe | k2 | R2 | α | β | R2 |
| Eu(III) | 0.99 | 1.79 | 0.99 | 0.99 | 2.83·1044 | 0.99 | 1.07 ·1044 | 108 | 0.99 |
| Isotherms | |||||||||
| Model | Langmuir | Freundlich | |||||||
| Parameters | qm | b | R2 | KF | n | R2 | |||
| Eu(III) | 89.5 | 0.0009 | 0.99 | 0.09 | 1.06 | 0.98 | |||
| Sorbent | q, mg/g | Reference |
|---|---|---|
| Spirulina platensis | 89.5 | Present study |
| Bacillus thuringiensis | 160 | [1] |
| Native cellulose | 18.5 | [6] |
| Saccharomyces cerevisiae | 14.2 | [6] |
| Yeast-immobilized cellulose | 25.9 | [6] |
| Arthrobacter sp. | 9.53 | [2] |
| Chitosan powder | 48.3 | [2] |
| Chitosan beads | 18.4 | [2] |
| Acutodesmus acuminatus | 174.2 | [17] |
| Temperature, K | ∆G◦, kJ/mol | ∆H◦, kJ/mol | ∆S◦, J/mol·K |
|---|---|---|---|
| 293 | −10.5 | −4.7 | 19.9 |
| 303 | −10.7 | ||
| 313 | −10.9 | ||
| 323 | −11.1 |
Publisher’s Note: MDPI stays neutral with regard to jurisdictional claims in published maps and institutional affiliations. |
© 2022 by the authors. Licensee MDPI, Basel, Switzerland. This article is an open access article distributed under the terms and conditions of the Creative Commons Attribution (CC BY) license (https://creativecommons.org/licenses/by/4.0/).
Share and Cite
Yushin, N.; Zinicovscaia, I.; Cepoi, L.; Chiriac, T.; Rudi, L.; Grozdov, D. Biosorption and Bioaccumulation Capacity of Arthospiraplatensis toward Europium Ions. Water 2022, 14, 2128. https://doi.org/10.3390/w14132128
Yushin N, Zinicovscaia I, Cepoi L, Chiriac T, Rudi L, Grozdov D. Biosorption and Bioaccumulation Capacity of Arthospiraplatensis toward Europium Ions. Water. 2022; 14(13):2128. https://doi.org/10.3390/w14132128
Chicago/Turabian StyleYushin, Nikita, Inga Zinicovscaia, Liliana Cepoi, Tatiana Chiriac, Ludmila Rudi, and Dmitrii Grozdov. 2022. "Biosorption and Bioaccumulation Capacity of Arthospiraplatensis toward Europium Ions" Water 14, no. 13: 2128. https://doi.org/10.3390/w14132128
APA StyleYushin, N., Zinicovscaia, I., Cepoi, L., Chiriac, T., Rudi, L., & Grozdov, D. (2022). Biosorption and Bioaccumulation Capacity of Arthospiraplatensis toward Europium Ions. Water, 14(13), 2128. https://doi.org/10.3390/w14132128

