A Water Resilience Evaluation Model for Urban Cities
Abstract
:1. Introduction
- Per capita, water resources are scarce, and the contradiction between supply and demand has intensified. According to relevant statistics, China’s per capita water re-sources share is 2200 cubic meters, while the average share of water resources in the world population is about 9000 cubic meters, making it one of the most water-scarce countries in the world. With the continuous development of society, China’s industrial water use and urban water consumption continues to increase while supplies decrease, thus representing a major obstacle to both industrial and social development.
- The utilization rate of water resources is low and the management of water resources in some cities and regions is poor. Rapid urbanization and overdevelopment represent a serious challenge, resulting in an unreasonable distribution of water re-sources both upstream and downstream, affecting the normal life of surrounding residents. In areas with abundant water resources, the phenomenon of water waste is a serious concern, and the utilization rate of water resources is low. Intermittent interruptions in water-scarce areas, leading to water shortages, is such that this cannot guarantee the basic livelihoods of communities as well as support the ecological environment.
- There exists an uneven distribution of water resources due to the uneven spatial distribution of rainwater. Cities located in the southeast are abundant with water re-sources, and the average annual precipitation generally reaches more than 1000 mm, while the northwest region has less precipitation, with an average annual precipitation of less than 400 mm, bringing about serious water shortages.
- Serious pollution problems caused by the rapid economic development of cities, has brought with it the major pollution of water resources. A summary of China’s water consumption in 2015–2020 is shown in Figure 1. From the figure, we can see that China’s annual consumption of water resources generally shows a downward trend, which has a lot to do with the water-saving policies introduced by the state and the improvement of people’s awareness of water conservation, the sharp reduction in water consumption in 2020 is mainly due to the emergence of the new crown epidemic, many industries are in a state of stagnation, reducing the consumption of water resources.
2. Literature Review
3. Construction of DEMATEL–ANP Evaluation Model
3.1. Determining the Evaluation Indicators of Urban Water Resilience
3.2. Impact Analysis of Evaluation Indicators Based on DEMATEL Method
- (1)
- To calculate the direct relationship matrix, invitations were sent to five relevant organizations involved in urban construction, and each organization was invited to send five experts to form an expert group. An expert survey method was used to compare the factors and score the degree of influence between each factor. Then, using a numerical value between 0–4 to judge the influence relationship between the indicator sets, the direct relationship matrix A was constructed.
- (2)
- Compute normalizes the direct relation matrix B. The normalization of matrix A can obtain a direct impact on matrix x.
- (3)
- Calculate the synthesis impact matrix D. The comprehensive impact matrix reflects the influence structure relationship between the indicators after continuous influence action.
- (4)
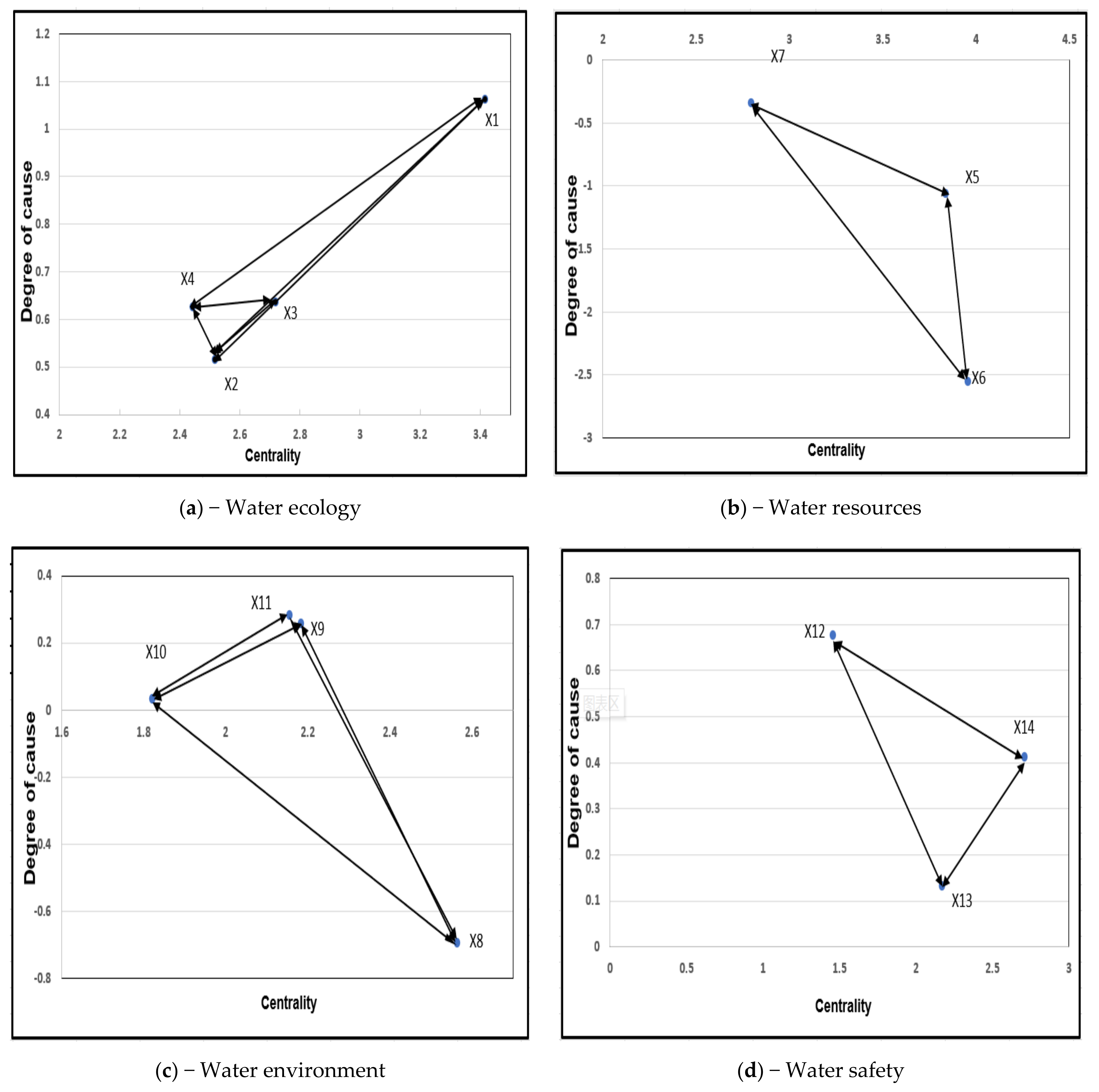
- Calculate the degree of influence between factors, the degree of influence, and the degree of centrality and cause and construct a causal map.
3.3. Calculate the Relevant Weights for Each Level of Metrics
- (1)
- (2)
- Delphi method
- (3)
- Construct a judgment matrix and a consistency test
- (4)
- Calculation of super matrices, weighted matrices, and limit matrices
4. Evaluation Model of Water Resilience in Wuhan
- (1)
- Calculate the combined impact matrix
- (2)
- DEMATEL model calculation results
- (3)
- Indicator causality analysis.
- (4)
- Index Weight
- (5)
5. Discussion
6. Conclusions
- First of all, through the literature review and the Delphi method, an urban water elasticity evaluation system was established, with a total of 14 indicators. According to the DEMATEL method, the numerical values and rankings of the degree of influence, the degree of influence, the degree of cause, and the degree of centrality are obtained, and the degree of influence between them is determined. We conclude that the total amount of urban runoff control has a significant direct impact on the urban water elasticity of Wuhan, affecting the exertion of water elasticity, and can also have a positive impact on other indicators, which has become an important driving factor for improving urban water resilience. Water resources have the strongest influence among the influencing factors of urban water resilience and are the key indicators towards improving urban water resilience.
- The innovation of this research lies in the research perspective, combined with the background of the sponge city development currently proposed in China. Further, the study of the elasticity of urban water resources is carried out by selecting Wuhan City as the research goal. In the process of this research, two currently popular evaluation methods were combined, namely DEMATEL and ANP. After determining the degree of influence between the evaluation indicators through DEMATEL, the weight of each evaluation index was obtained by combining the ANP method with the Super Decision software. Four key indicators of the fourteen evaluation indicators were extracted, namely the rainwater resource utilization rate (X6), the reclaimed water utilization rate (X5), the total annual runoff control rate (X1), and the water resources satisfaction degree (X7). These are in line with the actual construction of a water elastic city in Wuhan, and the model can effectively reflect the actual situation of water elastic development in Wuhan. This represents a sound scientific and reasonable basis towards increasing the elasticity of urban water and can help focus efforts towards considering some of the key factors that affect the elasticity of water elasticity.
- The key research results are that combining the DEMATEL method and the ANP method provides a more comprehensive account of the interaction between the evaluation indicators of water elasticity in Wuhan. This has determined the importance of each index based on the causal relationship between the indicators, with the four indicators of rainwater resource utilization, reclaimed water utilization rate, urban annual runoff total control rate, and water resource satisfaction degree being the key indicators of the urban water resilience evaluation system. This provides a more scientific and robust analysis basis for the urban development of Wuhan, especially in the process of improving urban water elasticity. This will enable developers and government departments to focus on some of the key factors affecting water resilience that rank high in the weights extracted through this research process.
Author Contributions
Funding
Institutional Review Board Statement
Informed Consent Statement
Data Availability Statement
Conflicts of Interest
Appendix A
| X1 | X2 | X3 | X4 | X5 | X6 | X7 | X8 | X9 | X10 | X11 | X12 | X13 | X14 | |
|---|---|---|---|---|---|---|---|---|---|---|---|---|---|---|
| X1 | 0.52572 | 0.45725 | 0.46488 | 0.50579 | 0.46380 | 0.55923 | 0.54755 | 0.55580 | 0.54912 | 0.52275 | 0.54990 | 0.44369 | 0.55360 | 0.43861 |
| X2 | 0.24532 | 0.25237 | 0.24395 | 0.23491 | 0.25005 | 0.18921 | 0.20846 | 0.25891 | 0.20520 | 0.24806 | 0.22964 | 0.26454 | 0.21289 | 0.26827 |
| X3 | 0.18278 | 0.19982 | 0.23616 | 0.21280 | 0.23149 | 0.18223 | 0.23485 | 0.13639 | 0.20686 | 0.17755 | 0.16734 | 0.19165 | 0.23540 | 0.4031 |
| X4 | 0.04617 | 0.09056 | 0.05502 | 0.04650 | 0.05467 | 0.06933 | 0.05495 | 0.04890 | 0.03882 | 0.05164 | 0.05312 | 0.05693 | 0.04185 | 0.05772 |
| X5 | 0.24985 | 0.21025 | 0.28571 | 0.38853 | 0.25000 | 0.25000 | 0.25000 | 0.31326 | 0.14286 | 0.25000 | 0.25000 | 0.25000 | 0.25000 | 0.25000 |
| X6 | 0.65481 | 0.69424 | 0.57143 | 0.28811 | 0.25000 | 0.25000 | 0.25000 | 0.38741 | 0.42857 | 0.25000 | 0.25000 | 0.25000 | 0.25000 | 0.25000 |
| X7 | 0.09534 | 0.09551 | 0.14286 | 0.08324 | 0.25000 | 0.25000 | 0.25000 | 0.09519 | 0.21429 | 0.25000 | 0.25000 | 0.25000 | 0.25000 | 0.25000 |
| X8 | 0.52915 | 0.31112 | 0.42879 | 0.24012 | 0.25000 | 0.25000 | 0.25000 | 0.20414 | 0.21429 | 0.25000 | 0.25000 | 0.25000 | 0.25000 | 0.25000 |
| X9 | 0.21851 | 0.43172 | 0.33623 | 0.33252 | 0.30000 | 0.28571 | 0.27928 | 0.22965 | 0.27969 | 0.17443 | 0.28720 | 0.31962 | 0.25828 | 0.26837 |
| X10 | 0.15747 | 0.06970 | 0.06677 | 0.52784 | 0.60000 | 0.57143 | 0.63939 | 0.64833 | 0.62670 | 0.69406 | 0.63484 | 0.55842 | 0.63699 | 0.61441 |
| X11 | 0.09488 | 0.18746 | 0.16822 | 0.13965 | 0.10000 | 0.14286 | 0.08132 | 0.12202 | 0.09362 | 0.13151 | 0.07796 | 0.12196 | 0.10473 | 0.11722 |
| X12 | 0.31962 | 0.24021 | 0.26837 | 0.31081 | 0.13111 | 0.29696 | 0.21584 | 0.42857 | 0.17437 | 0.27969 | 0.31081 | 0.23115 | 0.31081 | 0.36806 |
| X13 | 0.55842 | 0.54995 | 0.61441 | 0.49339 | 0.66076 | 0.53961 | 0.68165 | 0.42857 | 0.63371 | 0.62670 | 0.49339 | 0.70852 | 0.49339 | 0.54981 |
| X14 | 0.12196 | 0.20984 | 0.11722 | 0.14286 | 0.20813 | 0.16342 | 0.10251 | 0.14286 | 0.19192 | 0.09362 | 0.19580 | 0.06033 | 0.19580 | 0.08213 |
| X1 | X2 | X3 | X4 | X5 | X6 | X7 | X8 | X9 | X10 | X11 | X12 | X13 | X14 | |
|---|---|---|---|---|---|---|---|---|---|---|---|---|---|---|
| X1 | 0.12125 | 0.12125 | 0.12125 | 0.12125 | 0.12125 | 0.12125 | 0.12125 | 0.12125 | 0.12125 | 0.12125 | 0.12125 | 0.12125 | 0.12125 | 0.12125 |
| X2 | 0.05076 | 0.05076 | 0.05076 | 0.05076 | 0.05076 | 0.05076 | 0.05076 | 0.05076 | 0.05076 | 0.05076 | 0.05076 | 0.05076 | 0.05076 | 0.05076 |
| X3 | 0.04448 | 0.04448 | 0.04448 | 0.04448 | 0.04448 | 0.04448 | 0.04448 | 0.04448 | 0.04448 | 0.04448 | 0.04448 | 0.04448 | 0.04448 | 0.04448 |
| X4 | 0.01355 | 0.01355 | 0.01355 | 0.01355 | 0.01355 | 0.01355 | 0.01355 | 0.01355 | 0.01355 | 0.01355 | 0.01355 | 0.01355 | 0.01355 | 0.01355 |
| X5 | 0.14326 | 0.14326 | 0.14326 | 0.14326 | 0.14326 | 0.14326 | 0.14326 | 0.14326 | 0.14326 | 0.14326 | 0.14326 | 0.14326 | 0.14326 | 0.14326 |
| X6 | 0.32284 | 0.32284 | 0.32284 | 0.32284 | 0.32284 | 0.32284 | 0.32284 | 0.32284 | 0.32284 | 0.32284 | 0.32284 | 0.32284 | 0.32284 | 0.32284 |
| X7 | 0.06080 | 0.06080 | 0.06080 | 0.06080 | 0.06080 | 0.06080 | 0.06080 | 0.06080 | 0.06080 | 0.06080 | 0.06080 | 0.06080 | 0.06080 | 0.06080 |
| X8 | 0.07683 | 0.07683 | 0.07683 | 0.07683 | 0.07683 | 0.07683 | 0.07683 | 0.07683 | 0.07683 | 0.07683 | 0.07683 | 0.07683 | 0.07683 | 0.07683 |
| X9 | 0.07622 | 0.07622 | 0.07622 | 0.07622 | 0.07622 | 0.07622 | 0.07622 | 0.07622 | 0.07622 | 0.07622 | 0.07622 | 0.07622 | 0.07622 | 0.07622 |
| X10 | 0.01160 | 0.01160 | 0.01160 | 0.01160 | 0.01160 | 0.01160 | 0.01160 | 0.01160 | 0.01160 | 0.01160 | 0.01160 | 0.01160 | 0.01160 | 0.01160 |
| X11 | 0.02123 | 0.02123 | 0.02123 | 0.02123 | 0.02123 | 0.02123 | 0.02123 | 0.02123 | 0.02123 | 0.02123 | 0.02123 | 0.02123 | 0.02123 | 0.02123 |
| X12 | 0.01551 | 0.01551 | 0.01551 | 0.01551 | 0.01551 | 0.01551 | 0.01551 | 0.01551 | 0.01551 | 0.01551 | 0.01551 | 0.01551 | 0.01551 | 0.01551 |
| X13 | 0.03253 | 0.03253 | 0.03253 | 0.03253 | 0.03253 | 0.03253 | 0.03253 | 0.03253 | 0.03253 | 0.03253 | 0.03253 | 0.03253 | 0.03253 | 0.03253 |
| X14 | 0.00915 | 0.00915 | 0.00915 | 0.00915 | 0.00915 | 0.00915 | 0.00915 | 0.00915 | 0.00915 | 0.00915 | 0.00915 | 0.00915 | 0.00915 | 0.00915 |
References
- Li, C.; Liu, M.; Hu, Y.; Wang, H.; Zhou, R.; Wu, W.; Wang, Y. Spatial distribution patterns and potential exposure risks of urban floods in Chinese megacities. J. Hydrol. 2022, 610, 127838. [Google Scholar] [CrossRef]
- Herslund, L.; Mguni, P. Examining urban water management practices—Challenges and possibilities for transitions to sustainable urban water management in Sub-Saharan cities. Sustain. Cities Soc. 2019, 48, 101573. [Google Scholar] [CrossRef]
- Xu, W.; Zhong, M.; Hong, Y.; Lin, K. Enhancing community resilience to urban floods with a network structuring model. Saf. Sci. 2020, 127, 104699. [Google Scholar] [CrossRef]
- Sun, M.; Kato, T. Spatial-temporal analysis of urban water resource vulnerability in china. Ecol. Indic. 2021, 133, 108436. [Google Scholar] [CrossRef]
- Zölch, T.; Henze, L.; Keilholz, P.; Pauleit, S. Regulating urban surface runoff through nature-based solutions—An assessment at the micro-scale. Environ. Res. 2017, 157, 135–144. [Google Scholar] [CrossRef]
- Muñoz, E.; Guzmán, C.; Medina, Y.; Boll, J.; Parra, V.; Arumí, J.L. An Adaptive Basin Management Rule to Improve Water Allocation Resilience under Climate Variability and Change—A Case Study in the Laja Lake Basin in Southern Chile. Water 2019, 11, 1733. [Google Scholar] [CrossRef] [Green Version]
- Song, C. Application of nature-based measures in China’s sponge city initiative: Current trends and perspectives. Nat.-Based Solut. 2022, 2, 100010. [Google Scholar] [CrossRef]
- World Water Development Report. Available online: https://www.h2o-china.com/news/322579.html (accessed on 22 March 2021).
- Darnthamrongkul, W.; Mozingo, L.A. Toward sustainable stormwater management: Understanding public appreciation and recognition of urban Low Impact Development (LID) in the San Francisco Bay Area. J. Environ. Manag. 2021, 300, 113716. [Google Scholar] [CrossRef]
- Amirzadeh, M.; Sobhaninia, S.; Sharifi, A. Urban resilience: A vague or an evolutionary concept. Sustain. Cities Soc. 2022, 81, 103853. [Google Scholar] [CrossRef]
- Pyke, C.; Warren, M.P.; Johnson, T.; LaGro, J.; Scharfenberg, J.; Groth, P.; Freed, R.; Schroeer, W.; Main, E. Assessment of low impact development for managing stormwater with changing precipitation due to climate change. Landsc. Urban Plan. 2011, 103, 166–173. [Google Scholar] [CrossRef]
- Andrés-Doménech, I.; Hernández-Crespo, C.; Martín, M.; Andrés-Valeri, V.C. Characterization of wash-off from urban impervious surfaces and SuDS design criteria for source control under semi-arid conditions. Sci. Total Environ. 2018, 612, 1320–1328. [Google Scholar] [CrossRef]
- Din Dar, M.U.; Shah, A.I.; Bhat, S.A.; Kumar, R.; Huisingh, D.; Kaur, R. Blue Green infrastructure as a tool for sustainable urban development. J. Clean. Prod. 2021, 318, 128474. [Google Scholar] [CrossRef]
- Coombes, P.J.; Argue, J.R.; Kuczera, G. Figtree Place: A case study in water sensitive urban development (WSUD). Urban Water 2000, 1, 335–343. [Google Scholar] [CrossRef]
- Qiu, B. The connotation, approach and prospect of sponge city (uD). Water Supply Drain. 2015, 1, 1–7. [Google Scholar]
- Voyde, E.; Fassman, E.; Simcock, R. Hydrology of an extensive living roof under sub-tropical climate conditions in Auckland. J. Hydrol. 2010, 394, 384–395. [Google Scholar] [CrossRef]
- Tingsanchali, T. Urban flood disaster management. Procedia Eng. 2012, 32, 25–37. [Google Scholar] [CrossRef] [Green Version]
- Adedeji, T.; Proverbs, D.; Xiao, H.; Cobbing, P.; Oladokun, V. Making Birmingham a Flood Resilient City: Challenges and Opportunities. Water 2019, 11, 1699. [Google Scholar] [CrossRef] [Green Version]
- Nguyen, T.T.; Ngo, H.H.; Guo, W.; Xiaochang, C.W.; Ren, N.; Li, G.; Ding, J.; Liang, H. Implementation of a specific urban water management—Sponge City. Sci. Total Environ. 2019, 652, 147–162. [Google Scholar] [CrossRef]
- Hou, J.; Mao, H.; Li, J.; Sun, S. Spatial simulation of the ecological processes of stormwater for sponge cities. J. Environ. Manag. 2019, 232, 574–583. [Google Scholar] [CrossRef]
- Qiao, X.; Kristoffersson, A.; Thomas, B.R. Challenges to implementing urban sustainable stormwater management from a governance perspective: A literature review. J. Clean. Prod. 2018, 196, 943–952. [Google Scholar] [CrossRef]
- Shanfeng, H.E.; Xin, W. Urban waterlogging disaster risk management under changing environment: Challenges and responses. J. Henan Polytech. Univ. 2019, 20, 48–53. [Google Scholar]
- Wang, Y.; Liu, Z.; Wang, G.; Xue, W. Cellular automatabased framework for evaluating mitigation strategies of sponge city. Sci. Total Environ. 2021, 796, 148991. [Google Scholar] [CrossRef] [PubMed]
- Cheng, T.; Huang, B.; Yang, Z.; Qiu, J.; Zhao, B.; Xu, Z. On the effects of flood reduction for green and grey sponge city measures and their synergistic relationship—Case study in Jinan sponge city pilot area. Urban Clim. 2022, 42, 101058. [Google Scholar] [CrossRef]
- Chan, F.K.S.; James, A.G.; Higgitt, D.; Xu, S.; Zhu, F.; Tang, Y.; Xu, Y.; Thorne, C.R. “Sponge City” in China—A breakthrough of planning and flood risk management in the urban context. Land Use Policy 2018, 76, 772–778. [Google Scholar] [CrossRef]
- Hao, W.; Chao, M.; Liu, J.; Shao, W. A new strategy for integrated urban water management in China: Sponge city. Sci. China Technol. Sci. 2018, 61, 317–329. [Google Scholar]
- Palazzo, E. From water sensitive to floodable: Defining adaptive urban design for water resilient cities. J. Urban Des. 2019, 24, 137–157. [Google Scholar] [CrossRef]
- Maureen. Threshold Space. Reynt Prannin ben Urban Greenspunger-Ekoloji Carrent Water Regulatiang Anderstadim. Urbande Flomen Tresecchi 2012, 5, 130–134. [Google Scholar]
- Guoru, H. Analysis of urban rainstorm waterlogging prevention and control and sponge city construction. China Flood Control. Drought Control 2018, 28, 8–14. [Google Scholar]
- Wu, J.; Guan, J. A Review of the Research Progress of Sponge City Concept and Its Theory. South. Archit. 2018, 3, 34–39. [Google Scholar]
- Hongqun, C.; Jiaxue, S.; Rui, J.; Huiling, Q. Research on Performance Evaluation of Sponge City Construction Based on Group Evaluation. Sci. Technol. Manag. Res. 2016, 36, 42–47. [Google Scholar]
- Huang, L.; Zhang, P. Index Weight Setting Analysis for Sponge City Performance Evaluation. Green Technol. 2016, 22, 117–122. [Google Scholar]
- Zhu, L.; Xu, X.; Zhu, L.; Hua, Y. Construction and practice of sponge city evaluation index system in Wuxi. Water Conserv. Plan. Des. 2018, 6, 17–18. [Google Scholar]
- Huang, J.; Wu, X.; Jiang, S. Geological impact and suitability evaluation of sponge city construction: A case study of Xuzhou. Geol. Rev. 2018, 64, 1472–1480. [Google Scholar]
- She, L.; Wei, M.; You, X. Multi-objective layout optimization for sponge city by annealing algorithm and its environmental benefits analysis. Sustain. Cities Soc. 2021, 66, 102706. [Google Scholar] [CrossRef]
- Chaocheng, C.J. Construction and Application of Sponge City Evaluation System; Southeast University: Nanjing, China, 2017. [Google Scholar]
- Babaei, S.; Ghazavi, R.; Erfanian, M. Urban flood simulation and prioritization of critical urban sub-catchments using SWMM model and PROMETHEE II approach. Phys. Chem. Earth Parts A B C 2018, 105, 3–11. [Google Scholar] [CrossRef]
- Li, Q.; Wang, F.; Yu, Y.; Huang, Z.; Li, M.; Guan, Y. Comprehensive performance evaluation of LID practices for the sponge city construction: A case study in Guangxi, China. J. Environ. Manag. 2019, 231, 10–20. [Google Scholar] [CrossRef]
- Yang, L.; Li, J.; Kang, A. The Effect of Nonstationarity in Rainfall on Urban Flooding Based on Coupling SWMM and MIKE21. Water. Resour. Manag. 2020, 34, 1535–1551. [Google Scholar] [CrossRef]
- Zawilski, M.; Sakson, G.; Brzezińska, A. Opportunities for sustainable management of rainwater: Case study of Łódź, Poland. Ecohydrol. Hydrobiol. 2014, 14, 220–228. [Google Scholar] [CrossRef]
- Irina, F.B.B.; Ferreira, F.A.F.; Ferreira, J.J.M.; Correia, R.J.C.; Pereira, L.F.; Falcão, P.F. A DEMATEL analysis of smart city determinants. Technol. Soc. 2021, 66, 101687. [Google Scholar]
- Ma, Y.; Jiang, Y.; Swallow, S. China’s sponge city development for urban water resilience and sustainability: A policy discussion. Sci. Total Environ. 2020, 729, 139078. [Google Scholar] [CrossRef]
- Ekmekcioğlu, Ö.; Koc, K.; Özger, M. Towards flood risk mapping based on multi-tiered decision making in a densely urbanized metropolitan city Istanbul. Sustain. Cities Soc. 2022, 80, 103759. [Google Scholar] [CrossRef]
- Wang, L.; Zhao, G.; Wang, C. Identification and Countermeasures of Sponge City Development Constraints Based on DEMATEL Method. Green Gases. 2021, 23, 237–241. [Google Scholar]
- Chai, N.; Zhou, W.; Wan, B. Research on performance evaluation and obstacle diagnosis or urban water ecological civilization construction based on GFAHP-cloud-FSE model: The case of Shizuishan, China. Stoch. Environ. Res. Risk Assess. 2022, 13, 1–27. [Google Scholar] [CrossRef]
- Chang, I.-S.; Zhao, M.; Chen, Y.; Guo, X.; Zhu, Y.; Wu, J.; Yuan, T. Evaluation on the integrated water resources management in China’s major cities—Based on City Blueprint Approach. J. Clean. Prod. 2020, 262, 121410. [Google Scholar] [CrossRef]
- Kiriscioglu, T.; David, M.H.; Turan, B. Urban and rural perceptions of ecological risks to water environments in southern and eastern Nevada. J. Environ. Psychol. 2013, 33, 86–95. [Google Scholar] [CrossRef]
- Veettil, A.V.; Ashok, K.M.; Green, T.R. Explaining water security indicators using hydrologic and agricultural systems models. J. Hydrol. 2022, 607, 127463. [Google Scholar] [CrossRef]
- Xue, B.; Kang, X. Study on the Pollution Control and Resource Recovery of Urban Street Rainwater. Energy Procedia 2012, 16, 2–7. [Google Scholar] [CrossRef] [Green Version]
- Zhang, T.; Guna, A.; Yu, W.; Shen, D. The recycled water use policy in China: Evidence from 114 cities. J. Clean. Prod. 2022, 344, 131038. [Google Scholar] [CrossRef]
- Li, Q.; Wang, W.; Jiang, X.; Lu, D.; Zhang, Y.; Li, J. Analysis of the potential of reclaimed water utilization in typical inland cities in northwest China via system dynamics. J. Environ. Manag. 2020, 270, 110878. [Google Scholar] [CrossRef]
- Xu, C.; Shi, X.; Jia, M.; Han, Y.; Zhang, R.; Ahmad, S.; Jia, H. China Sponge City database development and urban runoff source control facility configuration comparison between China and the US. J. Environ. Manag. 2022, 304, 114241. [Google Scholar] [CrossRef] [PubMed]
- Jia, H.; Wang, Z.; Zhen, X. China’s sponge city construction: A discussion on technical approaches. Front. Environ. Sci. Eng. 2017, 11, 1–11. [Google Scholar] [CrossRef]
- Pietrucha-Urbanik, K.; Rak, J.R. Consumers’ Perceptions of the Supply of Tap Water in Crisis Situations. Energies 2020, 13, 3617. [Google Scholar] [CrossRef]
- Al-Ghuraiz, Y.; Enshassi, A. Customers’ satisfaction with water supply service in the Gaza Strip. Build. Environ. 2006, 41, 1243–1250. [Google Scholar] [CrossRef]
- Aini, M.S.; Fakhru’l-Razi, A.; Siew Suan, K. Water crisis management: Satisfaction level, effect and coping of the consumers. Water. Resour. Manag. 2001, 15, 31–39. [Google Scholar] [CrossRef]







| Target Layer | Criterion Layer (Level 1 Indicator) | Indicator Layer (Secondary Indicator) | Description |
|---|---|---|---|
| Urban water resilience urban evaluation index system W. | Water ecological indicators A1. | Total annual runoff control rate of the city X1. | The total annual runoff control rate index refers to the proportion of the total annual rainfall in the site through natural and artificial intensified infiltration, storage, utilization, evaporation, transpiration, etc. Total annual runoff control rate = 100% − (annual outflow rainfall/annual total rainfall) ×100%. |
| Water surface rate of built-up areas X2. | The ratio of the water surface area of the urban administrative district to the total area of the area. | ||
| Green area rate in built-up areas X3. | Refers to the ratio of various types of green space in urban built-up areas to built-up areas. | ||
| Urban heat island value X4. | Refers to the increase in urban temperature due to the density of urban buildings, asphalt roads, and cement pavements that have a greater heat absorption rate and a smaller specific heat capacity than the soil and vegetation in the suburbs. | ||
| Water resource indicators A2. | Reclaimed water utilization X5. | Reclaimed water mainly refers to the water that has been or not treated by sewage treatment plants for the appropriate treatment of collected rainwater, industrial drainage, and domestic drainage, and can be reused to meet the specified water quality standards. Reclaimed water utilization rate = reclaimed water utilization/sewage discharge. | |
| Rainwater resource utilization X6. | The ratio of the total amount of rainwater collected for road watering, garden and green land irrigation, municipal miscellaneous uses, industrial and agricultural production, cooling, etc., to the average annual rainfall (converted into millimeters). | ||
| The degree of water satisfaction X7. | The ratio between demand and supply of water resources. | ||
| Water environment indicators A3. | Surface water class III and above water body ratio X8. | The ratio of the number of state-controlled surface water environmental quality monitoring sections to the total number of sections of state-controlled surface water with water quality of Class III. | |
| Groundwater class III and above water body ratio X9. | The ratio between the amount of state-controlled groundwater and the total amount of groundwater in Class III. | ||
| Non-point source pollution control rate X10. | Non-point source pollution, is mainly composed of soil sediment particles, nitrogen and phosphorus and other nutrients, pesticides, various atmospheric particles, etc., and enters the water, soil, or atmospheric environment through surface runoff, soil erosion, farmland drainage, and other ways. | ||
| Groundwater overexertion rate X11. | The ratio between groundwater over-recovery and groundwater recover ability. | ||
| Water safety indicators A4. | Drinking water source water quality compliance rate X12. | The water quality compliance rate of urban drinking water sources is calculated as a percentage of the sum of the amount of water and the total amount of water withdrawn from the water source. | |
| Network base per capita X13. | Ratio of the total number of regional water pipe networks to the total population. | ||
| Leakage rate of the pipe network X14. | The leakage rate of the pipe network refers to the ratio of the amount of water leakage in the pipe network to the total amount of water supply. This is an indicator of the efficiency of the water supply in water supply systems. Leakage rate = (annual water supply − annual effective water supply)/annual water supply × 100%. |
| Characteristics | Number | |
|---|---|---|
| Age | 30–39 | 6 |
| 40–49 | 10 | |
| 9 | ||
| Job position | Company representative | 6 |
| Academic | 4 | |
| Government official | 7 | |
| Volunteer | 8 | |
| Expertise or research | Water resources management | 7 |
| Sponge city research | 5 | |
| Water resource reuse | 6 | |
| Water ecology | 7 | |
| Administrative Divisions | Total Water Supply | Water Consumption for Agriculture | Industrial Water Consumption | Domestic Water Consumption | Ecological and Environmental Water Consumption | Total Water Consumption | Population | Per Capita Water Consumption |
|---|---|---|---|---|---|---|---|---|
| Jiang’an | 1.047 | / | 0.062 | 0.943 | 0.042 | 1.047 | 96.530 | 108.464 |
| Jianghan | 0.693 | / | 0.010 | 0.653 | 0.030 | 0.693 | 64.790 | 107.023 |
| Qiaokou | 0.883 | / | 0.041 | 0.803 | 0.038 | 0.883 | 66.670 | 132.368 |
| Hanyang | 1.377 | / | 0.602 | 0.744 | 0.031 | 1.377 | 83.000 | 165.928 |
| Wuchang | 2.392 | / | 0.829 | 1.517 | 0.046 | 2.392 | 109.000 | 219.459 |
| Qingshan | 1.806 | / | 0.879 | 0.883 | 0.044 | 1.806 | 46.000 | 392.500 |
| Hongshan | 1.525 | 0.002 | 0.058 | 1.429 | 0.039 | 1.525 | 172.880 | 88.223 |
| Hannan | 1.472 | 0.039 | 0.525 | 0.871 | 0.038 | 1.472 | 48.000 | 306.729 |
| Dongxihu | 1.646 | 0.590 | 0.407 | 0.607 | 0.041 | 1.646 | 84.000 | 195.905 |
| Caidian | 1.585 | 1.083 | 0.165 | 0.315 | 0.022 | 1.585 | 12.120 | 1307.838 |
| Jiangxia | 2.570 | 1.465 | 0.387 | 0.672 | 0.047 | 2.570 | 97.470 | 263.681 |
| X1 | X2 | X3 | X4 | X5 | X6 | X7 | X8 | X9 | X10 | X11 | X12 | X13 | X14 | |
|---|---|---|---|---|---|---|---|---|---|---|---|---|---|---|
| X1 | 0.1167 | 0.0694 | 0.1696 | 0.1162 | 0.3677 | 0.4448 | 0.1661 | 0.1741 | 0.1695 | 0.0684 | 0.0786 | 0.0873 | 0.1327 | 0.0780 |
| X2 | 0.0383 | 0.1069 | 0.1516 | 0.0995 | 0.2603 | 0.2680 | 0.1384 | 0.0807 | 0.0390 | 0.1102 | 0.0476 | 0.0175 | 0.1025 | 0.0547 |
| X3 | 0.0531 | 0.1077 | 0.0551 | 0.1025 | 0.2167 | 0.3159 | 0.1397 | 0.1956 | 0.0940 | 0.0519 | 0.1055 | 0.0158 | 0.1072 | 0.11564 |
| X4 | 0.1538 | 0.1013 | 0.0707 | 0.0955 | 0.1091 | 0.2565 | 0.2427 | 0.1385 | 0.0587 | 0.1061 | 0.0295 | 0.0154 | 0.1056 | 0.0506 |
| X5 | 0.0487 | 0.0438 | 0.0432 | 0.0855 | 0.0860 | 0.2960 | 0.1666 | 0.1298 | 0.0421 | 0.0987 | 0.1443 | 0.0667 | 0.0353 | 0.1027 |
| X6 | 0.0176 | 0.0794 | 0.0238 | 0.0195 | 0.1024 | 0.1195 | 0.0335 | 0.0842 | 0.0132 | 0.0796 | 0.0196 | 0.0070 | 0.0756 | 0.0254 |
| X7 | 0.0313 | 0.0392 | 0.1509 | 0.0350 | 0.0865 | 0.1652 | 0.1076 | 0.1799 | 0.1501 | 0.0843 | 0.0388 | 0.0069 | 0.0424 | 0.1082 |
| X8 | 0.0354 | 0.0285 | 0.1430 | 0.0869 | 0.0622 | 0.0921 | 0.1075 | 0.1159 | 0.0314 | 0.0222 | 0.0835 | 0.0057 | 0.0264 | 0.0936 |
| X9 | 0.0465 | 0.0969 | 0.0282 | 0.0311 | 0.2047 | 0.2268 | 0.0576 | 0.0527 | 0.0803 | 0.0363 | 0.0932 | 0.0147 | 0.1523 | 0.1003 |
| X10 | 0.0239 | 0.0892 | 0.0213 | 0.0227 | 0.1255 | 0.2538 | 0.0361 | 0.0423 | 0.0738 | 0.0898 | 0.0233 | 0.0087 | 0.0328 | 0.0850 |
| X11 | 0.0906 | 0.0980 | 0.0326 | 0.0307 | 0.1531 | 0.3459 | 0.0478 | 0.0575 | 0.0845 | 0.0397 | 0.0879 | 0.0143 | 0.0451 | 0.0911 |
| X12 | 0.1455 | 0.0254 | 0.0367 | 0.03185 | 0.1897 | 0.1787 | 0.0502 | 0.1097 | 0.0325 | 0.0280 | 0.0962 | 0.0785 | 0.0284 | 0.0336 |
| X13 | 0.1541 | 0.0826 | 0.0468 | 0.0382 | 0.2076 | 0.1224 | 0.1213 | 0.0631 | 0.0391 | 0.0336 | 0.0344 | 0.0212 | 0.0895 | 0.0962 |
| X14 | 0.2207 | 0.0316 | 0.0674 | 0.1123 | 0.2753 | 0.1664 | 0.1508 | 0.2036 | 0.0533 | 0.0433 | 0.0532 | 0.0291 | 0.0414 | 0.1111 |
| Index | Degree of Impact | Ranking | Degree of Influence | Ranking | Centrality | Ranking | Degree of Cause | Ranking |
|---|---|---|---|---|---|---|---|---|
| X1 | 2.239 | 1 | 1.177 | 5 | 3.416 | 3 | 1.062 | 1 |
| X2 | 1.516 | 5 | 1.001 | 9 | 2.517 | 8 | 0.515 | 5 |
| X3 | 1.677 | 2 | 1.041 | 7 | 2.718 | 5 | 0.636 | 3 |
| X4 | 1.535 | 4 | 0.908 | 12 | 2.443 | 9 | 0.627 | 4 |
| X5 | 1.39 | 6 | 2.447 | 2 | 3.837 | 2 | −1.057 | 13 |
| X6 | 0.701 | 14 | 3.253 | 1 | 3.954 | 1 | −2.552 | 14 |
| X7 | 1.227 | 7 | 1.567 | 4 | 2.794 | 4 | −20.34 | 11 |
| X8 | 0.935 | 12 | 1.628 | 3 | 2.563 | 7 | −20.693 | 12 |
| X9 | 1.222 | 8 | 0.962 | 10 | 2.184 | 10 | 0.26 | 8 |
| X10 | 0.928 | 13 | 0.893 | 13 | 1.821 | 13 | 0.035 | 10 |
| X11 | 1.219 | 9 | 0.936 | 11 | 2.155 | 12 | 0.283 | 7 |
| X12 | 1.066 | 11 | 0.389 | 14 | 1.455 | 14 | 0.677 | 2 |
| X13 | 1.151 | 10 | 1.018 | 8 | 2.169 | 11 | 0.133 | 9 |
| X14 | 1.56 | 3 | 1.147 | 6 | 2.707 | 6 | 0.413 | 6 |
| Wuhan urban water resilience evaluation index system. | Level 1 Indicators | Weight | Secondary Indicators | Weight |
| Water ecological evaluation indicators A1. | 0.229 | Total annual runoff control rate of the city X1. | 0.121 | |
| Water surface rate of built-up areas X2. | 0.051 | |||
| Green area rate in built-up areas X3. | 0.044 | |||
| Urban heat island value X4. | 0.013 | |||
| Water resources evaluation indicators A2. | 0.526 | Reclaimed water utilization X5. | 0.143 | |
| Rainwater resource utilization X6. | 0.323 | |||
| The degree of water satisfaction X7. | 0.060 | |||
| Water environment assessment indicators A3. | 0.186 | Surface water class III and above-water body ratio X8. | 0.077 | |
| Groundwater class III and above-water body ratio X9. | 0.077 | |||
| Non-point source pollution control rate X10. | 0.011 | |||
| Groundwater overexertion rate X11. | 0.021 | |||
| Water safety evaluation indicators A4. | 0.059 | Leakage rate of the pipe network X12. | 0.018 | |
| Drinking water source water quality compliance rate X13. | 0.032 | |||
| Network base per capita X14. | 0.009 |
Publisher’s Note: MDPI stays neutral with regard to jurisdictional claims in published maps and institutional affiliations. |
© 2022 by the authors. Licensee MDPI, Basel, Switzerland. This article is an open access article distributed under the terms and conditions of the Creative Commons Attribution (CC BY) license (https://creativecommons.org/licenses/by/4.0/).
Share and Cite
Xu, W.; Kong, Y.; Proverbs, D.; Zhang, Y.; Zhang, Y.; Xu, J. A Water Resilience Evaluation Model for Urban Cities. Water 2022, 14, 1942. https://doi.org/10.3390/w14121942
Xu W, Kong Y, Proverbs D, Zhang Y, Zhang Y, Xu J. A Water Resilience Evaluation Model for Urban Cities. Water. 2022; 14(12):1942. https://doi.org/10.3390/w14121942
Chicago/Turabian StyleXu, Wenping, Yuli Kong, David Proverbs, Yuwan Zhang, Yuan Zhang, and Jitao Xu. 2022. "A Water Resilience Evaluation Model for Urban Cities" Water 14, no. 12: 1942. https://doi.org/10.3390/w14121942
APA StyleXu, W., Kong, Y., Proverbs, D., Zhang, Y., Zhang, Y., & Xu, J. (2022). A Water Resilience Evaluation Model for Urban Cities. Water, 14(12), 1942. https://doi.org/10.3390/w14121942

