Analysis of One-Dimensional Consolidation Considering Non-Darcian Flow Described by Non-Newtonian Index Incorporating Impeded Drainage Boundaries
Abstract
:1. Introduction
2. Material Model and Methods
2.1. Problem Description
2.2. Differential Iteration Format of The Governing Equation
2.3. Degrees of Consolidation
3. Verification of the Solution
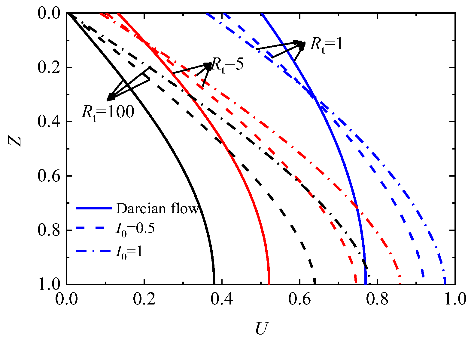
4. Consolidation Characteristics Analysis
5. Discussion of the Applicability of Darcy’s Law
6. Conclusions
- (1)
- Whether it is a single-sided or a double-sided impeded drainage boundary, there will be a critical depth phenomenon when considering non-Darcian flow incorporating impeded drainage boundaries.
- (2)
- Below the critical depth, the distribution of pore pressure along the depth considering non-Darcian flow with the non-Newtonian index will be slower than that of Darcy’s law, while above the critical depth, the pore pressure will dissipate faster when the non-Darcian flow rule is considered. When the impeded drainage parameter Rt or Rb increases, the critical depth gradually decreases, but the effect of this above-critical-depth phenomenon on the overall dissipation of pore pressure is not enough to affect the overall consolidation rate of the soil layer, that is, the overall dissipation rate of the soft soil layer still reflects that the overall consolidation process is delayed when considering non-Darcian flow.
- (3)
- Both the impeded drainage boundary parameters and flow parameters have obvious effects on the 1-D consolidation of soft soils. The larger the impeded drainage boundary parameters are, the faster the overall consolidation rate of the soft clay ground is, and when the drainage is greater than 100, it no longer has a significant effect on the consolidation process; that is, the boundary can be regarded as full drainage. Considering non-Darcian flow will delay the consolidation rate of the soft soils, and the larger the nondimensional flow parameter I0 is, the more obvious this delay phenomenon will be.
- (4)
- When the value of I0 is small (less than 0.1 under the condition of a one-sided impeded drainage boundary and less than 0.2 under the condition of a double-sided impeded drainage boundary), the maximum deviation caused by Darcy’s law for consolidation calculation is less than 5%.
Author Contributions
Funding
Institutional Review Board Statement
Informed Consent Statement
Data Availability Statement
Conflicts of Interest
References
- Terzaghi, K. Theoretical Soil Mechanics; John Wiley: New York, NY, USA, 1943. [Google Scholar] [CrossRef]
- Schiffman, R.L. Consolidation of soil under time-dependent loading and varying permeability. In Highway Research Board Proceedings; National Academy of Sciences-National Research Council: Washington, DC, USA.
- Baligh, M.M.; Levadoux, J.N. Consolidation theory for cyclic loading. J. Geotech. Eng. Divis. 1978, 104, 415–431. [Google Scholar] [CrossRef]
- Xie, K.-H.; Xie, X.-Y.; Li, X.-B. Analytical theory for one-dimensional consolidation of clayey soils exhibiting rheological characteristics under time-dependent loading. Int. J. Numer. Anal. Methods Géoméch. 2008, 32, 1833–1855. [Google Scholar] [CrossRef]
- Liu, J.; Griffiths, D. A general solution for 1-D consolidation induced by depth-and time-dependent changes in stress. Geotechnique 2015, 65, 66–72. [Google Scholar] [CrossRef]
- Mesri, G. One-dimensional consolidation of a clay layer with impeded drainage boundaries. Water Resour. Res. 1973, 9, 1090–1093. [Google Scholar] [CrossRef]
- Gray, H. Simultaneous Consolidation contiguous layers of unlike compressible soil. Trans. Am. Soc. Civ. Eng. 1945, 110, 1327–1356. [Google Scholar]
- Schiffman, R.L.; Stein, J.R. One-dimensional consolidation of layered systems. J. Soil Mech. Found. Div. 1970, 96, 1499–1504. [Google Scholar] [CrossRef]
- Xie, K.-H.; Xie, X.-Y.; Gao, X. Theory of one dimensional consolidation of two-layered soil with partially drained boundaries. Comput. Geotech. 1999, 24, 265–278. [Google Scholar] [CrossRef]
- Cai, Y.Q.; Liang, X.; Wu, S.M. One-dimensional consolidation of layered soils with impeded boundaries under time-dependent loadings. Appl. Math. Mech. 2004, 25, 937–944. [Google Scholar] [CrossRef]
- Wang, L.; Sun, D.A.; Li, L.Z.; Xu, Y. Semi-analytical solutions to one-dimensional consolidation for unsaturated soils with symmetric semi-permeable drainage boundary. Comput. Geotech. 2017, 89, 71–80. [Google Scholar] [CrossRef]
- Wang, L.; Xu, Y.; Xia, X.; Zhou, A. Semi-analytical solutions to the two-dimensional plane strain consolidation for unsaturated soil with the lateral semi-permeable drainage boundary under time-dependent loading. Comput. Geotech. 2020, 124, 103562. [Google Scholar] [CrossRef]
- Hansbo, S. Consolidation of clay, with special reference to influence of vertical sand drains. Swed. Geotech. Inst. Proceeding 1960, 18, 45–50. [Google Scholar]
- Olsen H, W. Osmosis: A cause of apparent deviation from Darcy’s law. Can. Geotech. J. 1985, 22, 238–241. [Google Scholar] [CrossRef]
- Ing, T.C.; Xiaoyan, N. Coupled consolidation theory with non-Darcian flow. Comput. Geotech. 2002, 29, 169–209. [Google Scholar] [CrossRef]
- Hansbo, S. Consolidation equation valid for both Darcian and non-Darcian flow. Geotechnique 2001, 51, 51–54. [Google Scholar] [CrossRef]
- Deng, Y.-B.; Liu, G.-B.; Zheng, R.-Y.; Xie, K.-H. Finite element analysis of biot’s consolidation with a coupled nonlinear flow model. Math. Probl. Eng. 2016, 2016, 1–13. [Google Scholar] [CrossRef]
- Indraratna, B.; Kianfar, K.; Rujikiatkamjorn, C. Radial consolidation model incorporating the effects of vacuum preloading and non-Darcian flow. Geotechnique. 2013, 63, 1060–1073. [Google Scholar] [CrossRef] [Green Version]
- Zhao, X.; Gong, W. Model for large strain consolidation with non-Darcian flow described by a flow exponent and threshold gradient. Int. J. Numer. Anal. Methods Géoméch 2019, 43, 2251–2269. [Google Scholar] [CrossRef]
- Liu, Z.; Cui, P.; Zhang, J.; Xia, Y. Consolidation analysis of ideal sand-drained ground with fractional-derivative Merchant model and non-Darcian flow described by non-Newtonian index. Math. Probl. Eng. 2019, 2019, 1–12. [Google Scholar] [CrossRef]
- Swartzendruber, D. Modification of Darcyʼs law for the flow of water in soils. Soil Sci. 1962, 93, 22–29. [Google Scholar] [CrossRef]
- Li, C.-X.; Xie, K.-H.; Lu, M.-M.; Wang, K. Analysis of one-dimensional consolidation with non-Darcy flow described by non-Newtonian index. Rock Soil Mech. 2011, 32, 281–287. (In Chinese) [Google Scholar] [CrossRef]
- Xu, C.; Liu, Z.; Zhang, J.; Huang, J. Analysis of large-strain elastic viscoplastic consolidation for soft clay with vertical drains considering non-Darcian flow. Appl. Math. Model. 2021, 92, 770–784. [Google Scholar] [CrossRef]
- Cui, P.; Cao, W.; Xu, Z.; Wei, Y.; Li, H. Analysis of one-dimensional nonlinear rheological consolidation of saturated clay considering self-weight stress and Swartzendruber’s flow rule. Int. J. Numer. Anal. Methods Géoméch. 2022, 46, 1205–1223. [Google Scholar] [CrossRef]
- Cui, P.L.; Liu, Z.Y.; Zhang, J.C.; Fan, J.C. Analysis of one-dimensional rheological consolidation of double-layered soil with fractional-derivative Merchant model and non-Darcian flow described by non-Newtonian index. J. Cent. South Univ. 2021, 28, 284–296. [Google Scholar] [CrossRef]














Publisher’s Note: MDPI stays neutral with regard to jurisdictional claims in published maps and institutional affiliations. |
© 2022 by the authors. Licensee MDPI, Basel, Switzerland. This article is an open access article distributed under the terms and conditions of the Creative Commons Attribution (CC BY) license (https://creativecommons.org/licenses/by/4.0/).
Share and Cite
Xu, Z.; Cao, W.; Cui, P.; Li, H.; Wei, Y. Analysis of One-Dimensional Consolidation Considering Non-Darcian Flow Described by Non-Newtonian Index Incorporating Impeded Drainage Boundaries. Water 2022, 14, 1740. https://doi.org/10.3390/w14111740
Xu Z, Cao W, Cui P, Li H, Wei Y. Analysis of One-Dimensional Consolidation Considering Non-Darcian Flow Described by Non-Newtonian Index Incorporating Impeded Drainage Boundaries. Water. 2022; 14(11):1740. https://doi.org/10.3390/w14111740
Chicago/Turabian StyleXu, Zan, Wengui Cao, Penglu Cui, Huixin Li, and Yunbo Wei. 2022. "Analysis of One-Dimensional Consolidation Considering Non-Darcian Flow Described by Non-Newtonian Index Incorporating Impeded Drainage Boundaries" Water 14, no. 11: 1740. https://doi.org/10.3390/w14111740
APA StyleXu, Z., Cao, W., Cui, P., Li, H., & Wei, Y. (2022). Analysis of One-Dimensional Consolidation Considering Non-Darcian Flow Described by Non-Newtonian Index Incorporating Impeded Drainage Boundaries. Water, 14(11), 1740. https://doi.org/10.3390/w14111740

