Clustering for Regional Time Trend in the Nonstationary Extreme Distribution
Abstract
1. Introduction
2. Nonstationary Distribution with a Linear Time-Variant Mean
3. Proposed Method
3.1. Regularization Method for Regression Models
3.2. Recovering Procedure
3.3. Model Selection
3.4. Optimization
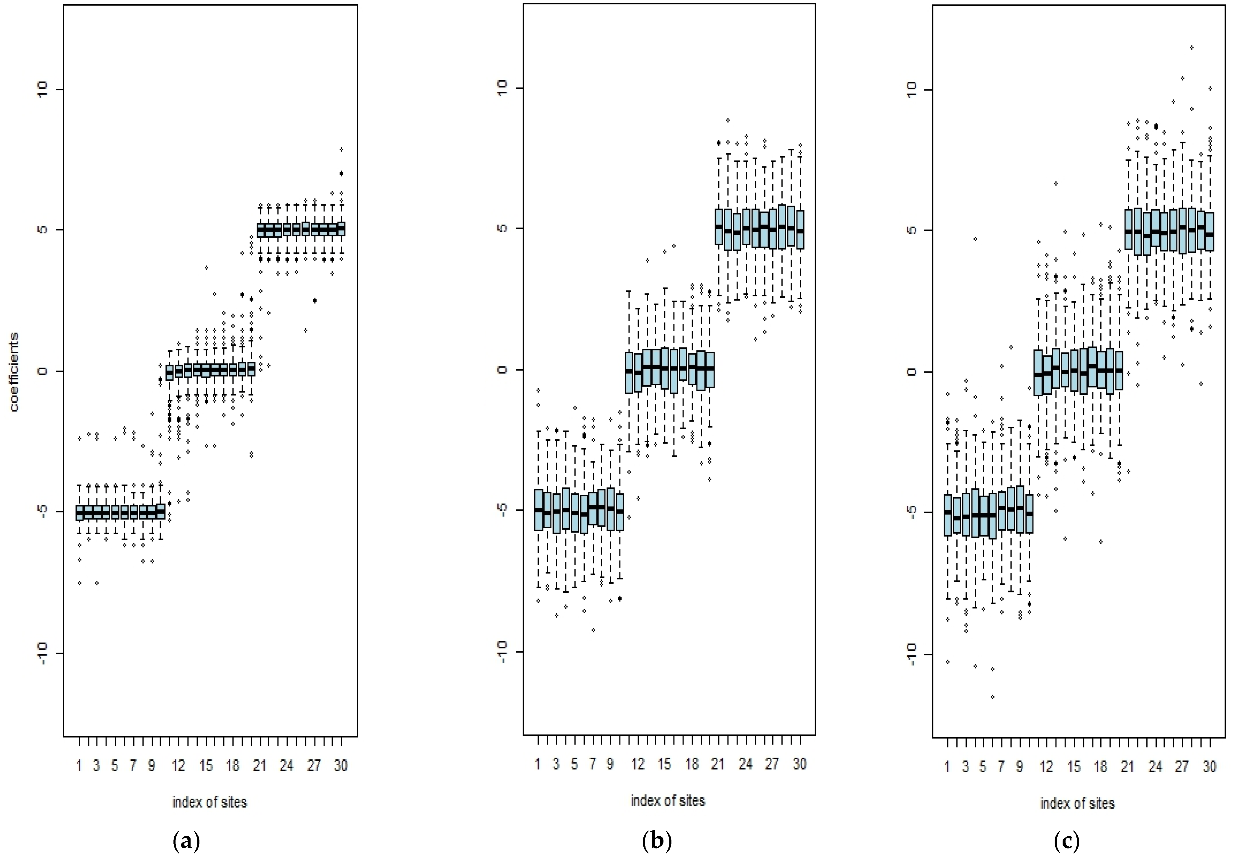
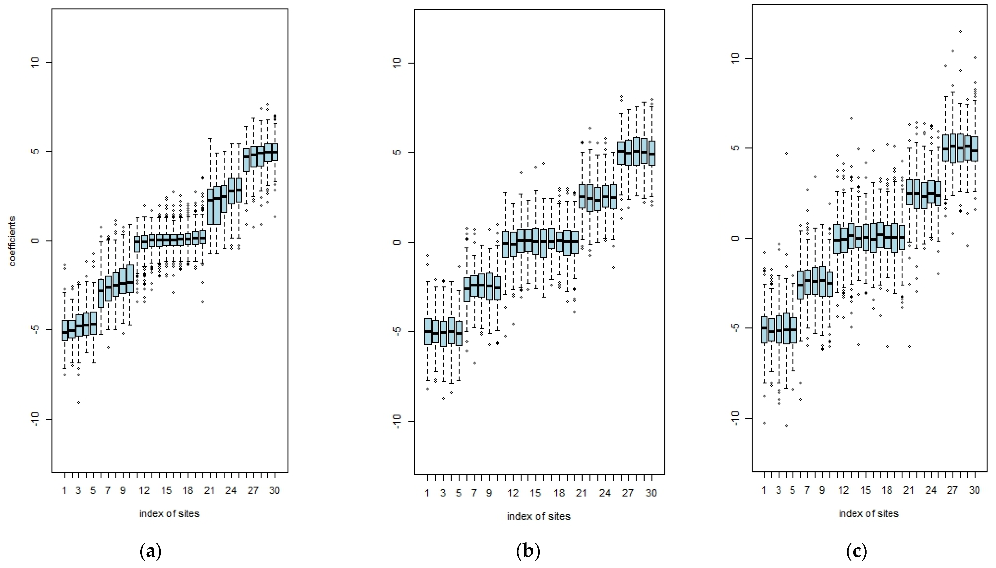
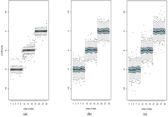
4. Numerical Studies
4.1. Simulation
4.2. Real Data Analysis
5. Discussion and Concluding Remarks
Author Contributions
Funding
Institutional Review Board Statement
Informed Consent Statement
Data Availability Statement
Conflicts of Interest
Appendix A
| Site ID | Site | Latitude | Longitude | Site ID | Site | Latitude | Longitude |
|---|---|---|---|---|---|---|---|
| 90 | Sokcho | 38°15′ | 128°33′ | 202 | Yangpyeong | 37°29′ | 127°29′ |
| 100 | Daegwallyeong | 37°40′ | 128°43′ | 203 | Icheon | 37°15′ | 127°29′ |
| 101 | Chuncheon | 37°54′ | 127°44′ | 211 | Inje | 38°03′ | 128°10′ |
| 105 | Gangneung | 37°45′ | 128°53′ | 212 | Hongcheon | 37°41′ | 127°52′ |
| 108 | Seoul | 37°34′ | 126°57′ | 221 | Jecheon | 37°09′ | 128°11′ |
| 112 | Incheon | 37°28′ | 126°37′ | 226 | Boeun | 36°29′ | 127°44′ |
| 114 | Wonju | 37°20′ | 127°56′ | 232 | Cheonan | 36°46′ | 127°07′ |
| 115 | Ulleung | 37°28′ | 130°53′ | 235 | Boryeong | 36°19′ | 126°33′ |
| 119 | Suwon | 37°16′ | 126°59′ | 236 | Buyeo | 36°16′ | 126°55′ |
| 129 | Seosan | 36°46′ | 126°29′ | 238 | Geumsan | 36°06′ | 127°28′ |
| 130 | Uljin | 36°59′ | 129°24′ | 243 | Buan | 35°43′ | 126°42′ |
| 131 | Cheongju | 36°38′ | 127°26′ | 244 | Imsil | 35°36′ | 127°17′ |
| 133 | Daejeon | 36°22′ | 127°22′ | 245 | Jeongeup | 35°33′ | 126°51′ |
| 135 | Chupungnyeong | 36°13′ | 127°59′ | 247 | Namwon | 35°24′ | 127°19′ |
| 136 | Andong | 36°34′ | 128°42′ | 256 | Juam | 35°04′ | 127°14′ |
| 138 | Pohang | 36°01′ | 129°22′ | 260 | Jangheung | 34°41′ | 126°55′ |
| 140 | Gunsan | 36°00′ | 126°45′ | 261 | Haenam | 34°33′ | 126°34′ |
| 143 | Daegu | 35°53′ | 128°37′ | 262 | Goheung | 34°37′ | 127°16′ |
| 146 | Jeonju | 35°49′ | 127°09′ | 272 | Yeongju | 36°52′ | 128°31′ |
| 152 | Ulsan | 35°33′ | 129°19′ | 273 | Mungyeong | 36°37′ | 128°08′ |
| 156 | Gwangju | 35°10′ | 126°53′ | 277 | Yeongdeok | 36°31′ | 129°24′ |
| 159 | Busan | 35°06′ | 129°01′ | 278 | Uiseong | 36°21′ | 128°41′ |
| 162 | Tongyeong | 34°50′ | 128°26′ | 279 | Gumi | 36°07′ | 128°19′ |
| 165 | Mokpo | 34°49′ | 126°22′ | 281 | Yeongcheon | 35°58′ | 128°57′ |
| 168 | Yeosu | 34°44′ | 127°44′ | 284 | Geochang | 35°40′ | 127°54′ |
| 170 | Wando | 34°23′ | 126°42′ | 285 | Hapcheon | 35°33′ | 128°10′ |
| 184 | Jeju | 33°30′ | 126°31′ | 288 | Miryang | 35°29′ | 128°44′ |
| 189 | Seogwipo | 33°14′ | 126°33′ | 289 | Sancheong | 35°24′ | 127°52′ |
| 192 | Jinju | 35°09′ | 128°02′ | 294 | Geoje | 34°53′ | 128°36′ |
| 201 | Ganghwa | 37°42′ | 126°26′ | 295 | Namhae | 34°48′ | 127°55′ |
| Site ID | Site | Trend Coef. | Site ID | Site | Trend Coef. |
|---|---|---|---|---|---|
| 90 | Sokcho | 0.474071 | 202 | Yangpyeong | 0.159259 |
| 100 | Daegwallyeong | −0.465909 | 203 | Icheon | 0.159259 |
| 101 | Chuncheon | 0.474071 | 211 | Inje | 0.474071 |
| 105 | Gangneung | 0.474071 | 212 | Hongcheon | 0.159259 |
| 108 | Seoul | −0.465909 | 221 | Jecheon | 0.474071 |
| 112 | Incheon | 0.070833 | 226 | Boeun | 0.159259 |
| 114 | Wonju | 0.159259 | 232 | Cheonan | 0.159259 |
| 115 | Ulleung | 0.766667 | 235 | Boryeong | 0.159259 |
| 119 | Suwon | 0.159259 | 236 | Buyeo | 0.159259 |
| 129 | Seosan | 0.159259 | 238 | Geumsan | 0.159259 |
| 130 | Uljin | 0.793181 | 243 | Buan | 0.159259 |
| 131 | Cheongju | 0.159259 | 244 | Imsil | 0.159259 |
| 133 | Daejeon | 0.159259 | 245 | Jeongeup | 0.474071 |
| 135 | Chupungnyeong | 0.159259 | 247 | Namwon | 0.474071 |
| 136 | Andong | 0.474071 | 256 | Juam | 0.474071 |
| 138 | Pohang | 0.474071 | 260 | Jangheung | 0.474071 |
| 140 | Gunsan | 0.159259 | 261 | Haenam | 0.159259 |
| 143 | Daegu | 0.474071 | 262 | Goheung | 0.474071 |
| 146 | Jeonju | 0.159259 | 272 | Yeongju | 0.159259 |
| 152 | Ulsan | 0.474071 | 273 | Mungyeong | 0.159259 |
| 156 | Gwangju | 0.159259 | 277 | Yeongdeok | 0.474071 |
| 159 | Busan | 0.474071 | 278 | Uiseong | −0.220588 |
| 162 | Tongyeong | 0.474071 | 279 | Gumi | 0.474071 |
| 165 | Mokpo | 0.023529 | 281 | Yeongcheon | 0.474071 |
| 168 | Yeosu | 0.474071 | 284 | Geochang | 0.474071 |
| 170 | Wando | −0.341463 | 285 | Hapcheon | 0.474071 |
| 184 | Jeju | 0.5 | 288 | Miryang | 0.474071 |
| 189 | Seogwipo | 1.634286 | 289 | Sancheong | 0.474071 |
| 192 | Jinju | 0.474071 | 294 | Geoje | 0.474071 |
| 201 | Ganghwa | −0.47 | 295 | Namhae | 0.474071 |
References
- Hosking, J.; Wallis, J. Some statistics useful in regional frequency analysis. Water Resour. Res. 1993, 29, 271–281. [Google Scholar] [CrossRef]
- Hosking, J.; Wallis, J. Regional frequency analysis. In Regional Frequency Analysis: An Approach Based on L-Moments; Cambridge University Press: Cambridge, UK, 1997; pp. 1–13. [Google Scholar] [CrossRef]
- Rao, A.R.; Srinivas, V.V. Regionalization of watersheds by fuzzy cluster analysis. J. Hydrol. 2006, 318, 57–79. [Google Scholar] [CrossRef]
- Shu, C.; Ouarda, T. Regional flood frequency analysis at ungauged sites using the adaptive neuro-fuzzy inference system. J. Hydrol. 2008, 349, 31–43. [Google Scholar] [CrossRef]
- Chebana, F.; Ouarda, T. BMJ. Multivariate L-moment homogeneity test. Water Resour. Res. 2007, 43, 1–14. [Google Scholar] [CrossRef]
- Sadri, S.; Burn, D.H. A Fuzzy C-Means approach for regionalization using a bivariate homogeneity and discordancy approach. J. Hydrol. 2011, 401, 231–239. [Google Scholar] [CrossRef]
- Yu, Y.; Shao, Q.; Lin, Z. Regionalization study of maximum daily temperature based on grid data by an objective hybrid clustering approach. J. Hydrol. 2018, 564, 149–163. [Google Scholar] [CrossRef]
- Asadi, P.; Engelke, S.; Davison, A.C. Optimal regionalization of extreme value distributions for flood estimation. J. Hydrol. 2018, 556, 182–193. [Google Scholar] [CrossRef]
- Leclerc, M.; Ouarda, T. Non-stationary regional flood frequency analysis at ungauged sites. J. Hydrol. 2007, 343, 254–265. [Google Scholar] [CrossRef]
- Sun, X.; Thyer, M.; Renard, B.; Lang, M. A general regional frequency analysis framework for quantifying local-scale climate effects: A case study of ENSO effects on Southeast Queensland rainfall. J. Hydrol. 2014, 512, 53–68. [Google Scholar] [CrossRef]
- Sung, J.H.; Kim, Y.O.; Jeon, J.J. Application of distribution-free nonstationary regional frequency analysis based on L-moments. Theor. Appl. Climatol. 2018, 133, 1219–1233. [Google Scholar] [CrossRef]
- Bracken, C.; Holman, K.D.; Rajagopalan, B.; Moradkhani, H. A Bayesian hierarchical approach to multivariate nonstationary hydrologic frequency analysis. Water Resour. Res. 2018, 54, 243–255. [Google Scholar] [CrossRef]
- Yang, Z. The unscented Kalman filter (UKF)-based algorithm for regional frequency analysis of extreme rainfall events in a nonstationary environment. J. Hydrol. 2021, 593, 125842. [Google Scholar] [CrossRef]
- Bondell, H.D.; Reich, B.J. Simultaneous regression shrinkage, variable selection, and supervised clustering of predictors with OSCAR. Biometrics 2018, 64, 115–123. [Google Scholar] [CrossRef] [PubMed]
- Shen, X.; Huang, H.C. Grouping pursuit through a regularization solution surface. J. Am. Stat. Assoc. 2010, 105, 727–739. [Google Scholar] [CrossRef]
- Petry, S.; Flexeder, C.; Tutz, G. Pairwise Fused Lasso; Technical Reports; LMU: Munich, Germany, 2011; p. 102. [Google Scholar] [CrossRef]
- Shen, X.; Huang, H.C.; Pan, W. Simultaneous supervised clustering and feature selection over a graph. Biometrika 2012, 99, 899–914. [Google Scholar] [CrossRef][Green Version]
- Ke, Z.T.; Fan, J.; Wu, Y. Homogeneity pursuit. J. Am. Stat. Assoc. 2015, 110, 175–194. [Google Scholar] [CrossRef]
- Jeon, J.J.; Kwon, S.; Choi, H. Homogeneity detection for the high-dimensional generalized linear model. Comput. Stat. Data Anal. 2017, 114, 61–74. [Google Scholar] [CrossRef]
- Li, F.; Sang, H. Spatial homogeneity pursuit of regression coefficients for large datasets. J. Am. Stat. Assoc. 2019, 114, 1050–1062. [Google Scholar] [CrossRef]
- Jung, S.H.; Ying, Z. Rank-based regression with repeated measurements data. Biometrika 2003, 90, 732–740. [Google Scholar] [CrossRef]
- Bassett, G., Jr.; Koenker, R. Asymptotic theory of least absolute error regression. J. Am. Stat. Assoc. 1978, 73, 618–622. [Google Scholar] [CrossRef]
- Pollard, D. Asymptotics for least absolute deviation regression estimators. Economet. Theory 1991, 7, 186–199. [Google Scholar] [CrossRef]
- Yu, K.; Lu, Z.; Stander, J. Quantile regression: Applications and current research areas. J. R. Stat. Soc. Ser. D-Stat. 2003, 52, 331–350. [Google Scholar] [CrossRef]
- Schwarz, G. Estimating the Dimension of a Model. Ann. Stat. 1978, 6, 461–464. Available online: https://www.jstor.org/stable/2958889 (accessed on 24 May 2022). [CrossRef]
- Tibshirani, R. Regression shrinkage and selection via the lasso. J. R. Stat. Soc. Ser. B-Stat. Methodol. 1996, 58, 267–288. [Google Scholar] [CrossRef]
- Tibshirani, R.; Saunders, M.; Rosset, S.; Zhu, J.; Knight, K. Sparsity and smoothness via the fused lasso. J. R. Stat. Soc. Ser. B-Stat. Methodol. 2005, 67, 91–108. [Google Scholar] [CrossRef]
- Jeon, J.J.; Sung, J.H.; Chung, E.S. Abrupt change point detection of annual maximum precipitation using fused lasso. J. Hydrol. 2016, 538, 831–841. [Google Scholar] [CrossRef]
- Machado, J.A. Robust model selection and M-estimation. Economet. Theory. 1993, 9, 478–493. [Google Scholar] [CrossRef]
- Friedman, J.; Hastie, T.; Tibshirani, R. Regularization Paths for Generalized Linear Models via Coordinate Descent. J. Stat. Softw. 2010, 33, 1–22. Available online: https://www.ncbi.nlm.nih.gov/pmc/articles/PMC2929880/ (accessed on 24 May 2022). [CrossRef]
- Huber, P.J. Robust estimation of a location parameter. Ann. Stat. 1964, 35, 73–101. [Google Scholar]
- Boyd, S.; Parikh, N.; Chu, E.; Peleato, B.; Eckstein, J. Distributed optimization and statistical learning via the alternating direction method of multipliers. Found. Trends Mach. Learn. 2011, 3, 1–122. [Google Scholar] [CrossRef]
- Hunter, D.R.; Lange, K. A tutorial on MM algorithms. Am. Stat. 2004, 58, 30–37. [Google Scholar] [CrossRef]








Publisher’s Note: MDPI stays neutral with regard to jurisdictional claims in published maps and institutional affiliations. |
© 2022 by the authors. Licensee MDPI, Basel, Switzerland. This article is an open access article distributed under the terms and conditions of the Creative Commons Attribution (CC BY) license (https://creativecommons.org/licenses/by/4.0/).
Share and Cite
Hong, S.; Jeon, J.-J.; Kim, Y. Clustering for Regional Time Trend in the Nonstationary Extreme Distribution. Water 2022, 14, 1720. https://doi.org/10.3390/w14111720
Hong S, Jeon J-J, Kim Y. Clustering for Regional Time Trend in the Nonstationary Extreme Distribution. Water. 2022; 14(11):1720. https://doi.org/10.3390/w14111720
Chicago/Turabian StyleHong, Sungchul, Jong-June Jeon, and Yongdai Kim. 2022. "Clustering for Regional Time Trend in the Nonstationary Extreme Distribution" Water 14, no. 11: 1720. https://doi.org/10.3390/w14111720
APA StyleHong, S., Jeon, J.-J., & Kim, Y. (2022). Clustering for Regional Time Trend in the Nonstationary Extreme Distribution. Water, 14(11), 1720. https://doi.org/10.3390/w14111720
