Next Article in Journal
Assessing the Inclusion of Water Circularity Principles in Environment-Related City Concepts Using a Bibliometric Analysis
Previous Article in Journal
Analysis and Forecasting of Wetness-Dryness Encountering of a Multi-Water System Based on a Vine Copula Function-Bayesian Network
 
 
Font Type:
Arial Georgia Verdana
Font Size:
Aa Aa Aa
Line Spacing:
Column Width:
Background:
Article

Effects of Nitrogen in Sewage Treatment Plant Effluent on Organic Matter Target Indicator of TMDLs in Korea

Department of Urban Planning and Real Estate, Cheongju University, 298 Daeseongro, Cheongwon-gu, Cheongju-si 28503, Korea
Water 2022, 14(11), 1702; https://doi.org/10.3390/w14111702
Submission received: 26 April 2022 / Revised: 17 May 2022 / Accepted: 24 May 2022 / Published: 25 May 2022
(This article belongs to the Section Water Quality and Contamination)

Abstract

This study examined the relationship between water quality indicators (five-day biochemical oxygen demand (BOD5) and ammonia nitrogen (NH3-N)) by modeling them at sewage treatment plants (STPs) and receiving waters. Discharge loads from 2016 to 2018 were input into the QUAL-MEV water quality model, which is used for the total maximum daily loads (TMDLs) in Korea, and the results showed that the simulated BOD5 values decreased according to the reduction in the BOD discharged pollution load, while the observed water quality increased. This was caused by an increase in the total nitrogen discharged pollution load and the NH3-N effluence ratio from the STPs. Hence, the model was modified to reflect real-world conditions. After inputting a calibration factor calculated based on real data and the measured ratio of each type of nitrogen, the simulation was repeated, achieving results within ±20% of observed values. This model confirmed that BOD5 in the lower part of the river varies according to the change in the NH3-N ratio of the STP effluent. To better manage BOD5 and to establish achievable water quality targets, a plan that reflects the linkage among water quality indicators, such as the TMDLs used in the United States, should be introduced in Korea.

1. Introduction

The concept of total maximum daily loads (TMDLs) has been in effect in Korea since 1994. It refers to a regulatory system that manages the total quantity of pollutants discharged in each watershed within an allowable pollution load limit to achieve and maintain water quality targets set for each water system section [1]. However, the allowable pollution load in Korea differs from that for the TMDLs used in the United States (US), which are planned and managed based on the delivered pollution load. In Korea, the discharged pollution load is calculated to satisfy the water quality target under standard flow rate conditions [2]. Since the implementation of TMDLs in Korea, more than 60% of watersheds have achieved the water quality target based on the five-day biochemical oxygen demand (BOD5), with a discharged pollution load compliance rate of approximately 85%; thus, the system is functioning effectively [3].
The Korean TMDLs specify that the representative indicator for the management of organic matter in rivers is BOD5, which is the amount of oxygen consumed when biodegradable organic matter in water is decomposed by microorganisms over five days. It is generally recognized as carbonaceous oxygen demand (CBOD). However, if the concentration of ammonia nitrogen (NH3-N) in a body of water is higher, the nitrogenous oxygen demand (NOD) can affect the BOD5. In general, the nitrifying bacteria responsible for NOD have only a small effect on BOD5 over their five days of incubation due to their slow growth. However, if treated water that relies on biological treatment is introduced or a sufficient population of nitrifying bacteria are distributed in the body of water, the nitrifying bacteria can consume oxygen within five days, thereby significantly affecting the BOD5. For this reason, the standard methods in the US [4] and Japan exclude NOD from BOD measurements by injecting a nitrification inhibitor when measuring the efficiency of a sewage treatment plant (STP) or measuring the BOD of river water for compliance with effluent water quality criteria. However, while the Standard Methods for the Examination of Water Pollution in Korea [5] suggests adding a nitrification inhibitor, such as CBOD, when BOD5 is measured, BOD5 is not separately regulated by CBOD. BOD5 is managed as a representative water quality indicator to evaluate the efficiency of an STP or the pollution level of a river [6].
Thus, although TMDLs have proven to be an effective part of watershed management policy for water quality control in Korea, there may be limitations in their ability to facilitate evaluation and diagnosis of river water quality based only on the amounts of pollutants discharged from the watershed. This is because watersheds are subject to change due to various factors, such as flow rate, temporary runoff from unidentified pollutants, and NOD. Moreover, the water quality management policies of Korea, as well as TMDLs, focus on BOD5 and total phosphorus (TP). While the effluent water quality criteria for STPs and wastewater treatment plants (WWTPs) for BOD5 and TP are stringent and continuously enforced, the management criteria for total nitrogen (TN) are relatively lax [7]. However, nitrogen can induce an increase in BOD5 in STP and WWTP effluent, as well as promote eutrophication of water bodies; thus, in other countries, to consider the effects of BOD5 by NOD, the standard for effluent water quality from treatment facilities and management items for river water quality are set and managed in terms of NH3-N. In contrast, in Korea, STPs face difficulty with nitrogen treatment during periods of low water temperature, which affects the NOD of rivers. Nevertheless, NH3-N is not a regulatory item for rivers and effluent from treatment facilities, and the Korean government does not acquire basic data about nitrogen by type of treatment plant from annual national pollutant surveys [8].
According to previous research, in rivers that receive high volumes of STP effluent, NOD is likely to increase when the NH3-N content is high. In addition, changes in BOD5 may be larger than changes in CBOD and total organic carbon (TOC) because of nitrification in STP effluents [9]. In addition, the contribution of NOD to BOD5 in a river unaffected by STP effluent is approximately 3%; however, it is 19–26% in rivers receiving effluent incompletely denitrified through treatment. This affects the increase in the concentration of organic matter and NH3-N in the water [10,11].
Consequently, if large volumes of effluent with high levels of NH3-N flow into a watershed, BOD5 measurements in the waterways of that watershed may be distorted; thus, even if a plan to reduce organic matter emitted from pollutants in the watershed is implemented to improve BOD5, it may have little effect.
In fact, in some watersheds, the annual BOD discharge pollution load is decreasing, but the water quality continues to deteriorate; thus, it is necessary to identify the cause of the discrepancy between the discharge pollution load and the water quality and to take appropriate water quality management measures.
In this study, after selecting watersheds where such a phenomenon was suspected, the effects of NH3-N discharged from the STP on the organic matter target indicators, presented as TMDLs, were identified through field survey and water quality modeling. Based on it, an improvement plan for Korean TMDLs was developed considering the linkage between water quality indicators.

2. Materials and Methods

2.1. Study Area

Korean rivers can be divided into four basins, as shown in Figure 1. To implement TMDLs, these river basins were divided into 227 unit watersheds, and the target water quality was set and managed at the end of the river in each unit watershed. To select watersheds suspected of having a large nitrogen effect from the discharge facility in the river, a total of 77 unit watersheds were assigned a score based on water pollution levels and flow contribution rates of the discharge facility (treatment facility discharge/river flow), concentration of BOD5 and TN, BOD5/chemical oxygen demand (COD) ratio, and TN discharged pollution load contribution ratio (treatment facility load/river load). This included 21 unit watersheds in the Han River, 27 in the Nakdong River, 18 in the Geum River, and 11 in the Yeongsan and Seomjin Rivers. The unit watersheds excluded the mainstream and lake sections. The analysis period was from January 2017 to December 2018.
Based on the results, the highest-scoring unit watersheds were Bokha A for the Han River, Geumho C for the Nakdong River, Tapcheon A for the Geum River, and Jiseok A for the Yeongsan–Seomjin River (Table 1). Among them, Bokha A was selected as the target watershed for this study, as the concentration of water pollutants was high, making it relatively simple to analyze the effects of the discharge facilities (Table 1).
The BOD discharged pollution load of Bokha A, calculated from the pollution source survey data, decreased annually, suggesting that the discharged pollution load was decreasing. However, the water quality continually worsened. Thus, it was necessary to identify the cause of this discrepancy between the discharge load and the water quality and to prepare appropriate water quality management measures.
Bokha A is spread across 309.39 km2, and its human population as of 2018 was 185,347, with 26,473 cattle and 188,573 pigs. Mountains and agricultural land comprise 75% of the entire land area.
For the field monitoring survey, one STP and one WWTP were chosen as sites for discharge monitoring. These included the IC-STP (with a discharge of 10,000 m3/day or higher) and the SK-WWTP (with a discharge of 3000 m3/day or higher and a TN discharge concentration of 10.000 mg/L or higher). The SK-WWTP has three outlets, with outlets 1 and 3 discharging to the same place. Ten river survey sites were selected, located within 1 km of the STP effluent or tributary inflow and unit watershed endpoints.
The monitoring survey sites for the unit watersheds surveyed in this study and the plant capacity and effluent water quality of the STP are shown in Figure 1 and Table 2 [8].

2.2. Water Quality Survey and Analysis Method

For the field monitoring survey, rivers and treatment plants were surveyed eight times at monthly intervals between October 2019 and June 2020, except for January 2020 since the cost and conditions associated with the monitoring were not ideal. Water temperature was measured in the field, and the CODMn, BOD5, TP, phosphate (PO4-P), NOD, TN, NH3-N, nitrite nitrogen (NO2-N), and nitrate nitrogen (NO3-N) concentrations were analyzed according to the Standard Methods for the Examination of Water Pollution in Korea [5]. NOD was calculated as the difference between the BOD5 concentration measured without the addition of a nitrification inhibitor and the CBOD concentration measured by adding the seed solution and nitrification inhibitor [12].
The concentration of dissolved inorganic nitrogen (DIN) was calculated as the sum of the concentrations of NH3-N, NO2-N, and NO3-N. The organic nitrogen concentration was calculated as the difference between TN and DIN concentrations because particulate inorganic nitrogen is generally absent.
BH 8 to 10 at the end of the river were analyzed for nine days to analyze the changes in BOD5 and NH3-N over time. Based on the results of this analysis, the water quality model factors, carbonaceous deoxygenation rate constant (K1), and rate constant for the biological oxidation of NH31) were calculated and applied to the QUAL-MEV model.
The K1 value was calculated using the nonlinear curve equation for the BOD and CBOD concentrations over time, and the β1 value was calculated from the nonlinear curve equation for the NH3-N concentration over time using the same method as for the K1 value. The K1 calculated in this study differed by river, location, and time, but was within 0.05–0.39 day−1, which is in the range of 25–75% of the default value of the water quality model applied in Korea. This is similar to the BOD mean K1, 0.18 day−1, which was measured in eight water bodies, including the Han River, by Jang et al. [13].
β1 was calculated using the same method as for K1 because there are few accurate calculation methods and previous studies on this. It was found to be in the range of 0.143–0.351 day−1 (Table 3).

2.3. Overview of Korean TMDLs

According to the Korean TMDL planning process, first, the master and implementation plans for five to ten years are established, followed by an annual implementation evaluation to assess whether the plans are being properly implemented. The discharged pollution load is calculated based on the annual implementation evaluation to determine whether the load allocation is exceeded.
In the case of a unit watershed that exceeds the load allocation or water quality in the final target year, no approval or permission for urban development projects and industrial and tourism complexes are given as sanctions for non-compliance with the TMDL [14]. The load allocation managed in the TMDL plan starts with the setting of the target water quality, which utilizes the water quality model. Based on the discharged pollution load calculated from the pollution source survey data, the discharged pollution load for the target year is predicted by considering the population growth rate, urban development plan, and load reduction plan. After establishing a water quality model that reflects the watershed environment, including the discharged pollution load in the planned year, calibration and verification are performed on the water quality in the planned year.
When constructing the water quality model, the discharged pollution load for the input planned year was changed to the predicted pollution load for the target year. Moreover, the water quality model was re-run, and the predicted water quality was made the target water quality. The load allocation was obtained by multiplying the target water quality by the standard flow rate and excluding a 10% margin of safety (MOS).
There are various water quality models available in the literature based on the characteristics of the target body of water, the water quality factors targeted for prediction and analysis, and the required basic data and their availability. The water quality model applied in Korean TMDLs is a static model of the QUAL family, and the most utilized model is QUAL-MEV [15], which was especially optimized for TMDLs based on the QUAL2E model [16]. QUAL-MEV has the same basic functionality as QUAL2E but modifies the simulation for the existing CBOD so that it can reflect the effects of nitrogen and algae on BOD (Figure 2). This study also selected the QUAL-MEV model because it is universally applied for the establishment of target values and the evaluation of achievement in water environment policies in Korea, including TMDLs.
In Korean TMDLs, the flow rate condition, which is the standard for setting the BOD target value, is the 10-year average dry condition flow (10Q275). For values applied to the model, including the observed values and ratios, measurements during a period similar to the standard flow rate of the dry season were used.

3. Results

3.1. Verification of the Model’s Reproduction of Recent Water Quality

The water quality of the existing model was assessed to determine whether it was reproduced according to the change in the discharged pollution load by year. The discharge pollution load for each year calculated during the implementation evaluation were input into the QUAL-MEV model built during the establishment of the existing TMDL. The model was then assessed to ensure that it reflected the observed water quality for each year. Bokha A is located in Gyeonggi-do, Korea. The base year of the Gyeonggi-do TMDLs master plan [17] was 2010. The water quality model was developed and operated to reflect the watershed environment at this time. The predicted value of 2.1 mg/L, which was simulated by predicting the discharged pollution load in the target year (2020) and inputting it into the model, was suggested as the target. Recent pollutant source data from Yeoju, Icheon, and Yongin cities from 2016–2018 and discharge flow rate and water quality data of STPs by year were investigated and input into the model. The simulation result showed that the simulated BOD5 values decreased by the same amount that the BOD discharged pollution load was reduced. However, the average observed water quality during the dry season increased each year from 2010. Thus, the model could not reproduce the real-world water quality from 2016–2018 (Figure 3). Moreover, the target value that should have been achieved in 2020 was 2.1 mg/L; however, the measured values were 3.5–4.5 mg/L. This suggested that the TN discharged pollution load was increasing, unlike the BOD discharged pollution load, and the model built to establish the conventional TMDL did not reflect the effect of nitrogen according to the actual watershed environment.
Consequently, the schematic diagram was changed so that the model reflects the actual watershed environment. The existing schematic diagram of the plan was built under the assumption that the industrial discharge facilities directly flowed into the mainstream of the Bokha River (element 52); however, it was modified to flow into the upstream of Jukdangcheon and the upstream of Jeontteulcheon, matching the actual watershed environment. The model was constructed based on 2010 conditions, which used 0.399 m3/s for the daily mean discharge flow of the SK-WWTP. However, the mean discharge flow for 2016–2018 was 0.869 m3/s and was, therefore, modified to reflect this change (Table 4). That is, two reaches were added to the schematic diagram such that outlets 1 and 3 of the industrial discharge facilities would flow into Jukdangcheon, while outlet 2 would flow into Jeontteulcheon, a tributary of the Jukdangcheon. Consequently, as shown in Table 4 and Figure 4, the schematic diagram was the same as the master plan schematic diagram until reach 4 and element 10, at which point reaches 5 and 6 were added so that Jukdangcheon would flow into reach 7. In Table 5 and Figure 4, the catchment numbers that subdivided and partitioned the Bokha A unit watershed for TMDL implementation are provided.
The base year was first set as 2010 to be consistent with the master plan. However, because the flow rate and water quality data of the Jukdangcheon head water were not available, the base year was changed to 2016 to use the monthly monitoring data for the three years from 2016 to 2018, which were investigated in a previous study [18]. When the model was reconstructed based on 2016, a calibration factor was applied (as it was when establishing the basic plan). The nitrogen ratio values by type for each discharge facility were also entered in the same manner as in the basic plan and then changed to the nitrogen ratio by type as investigated in 2016, to verify whether the dry-season water quality of 2016 could be reproduced. In other words, after entering a calibration factor similar to that of the master plan into the reconstructed model, the NH3-N of the industrial discharge facility was increased to approximately 60% based on the data found in a previous study [17], but the BOD5 change was insignificant (Table 6).
The reason for this may be attributed to the calibration factor applied to the model when establishing the TMDLs, which was input based on the K1 and organic sedimentation rate (K3); thus, the change in BOD5 for the increased NH3-N rate and the TN discharged pollution load increase were not reflected.
Consequently, it was necessary to consider the application of a calibration factor when simulating the model for watersheds and sections that were expected to be affected by NOD. Recalibration was performed by inputting K1 and β1 based on Table 3, which was calculated from the water quality changes over time at the end of Bokhacheon (BH8, BH9, BH10), as determined in this study.
In this study, K1 was input with the mean BOD of 0.127 day−1 for April to June, which is the dry season. For β1, the mean value used in the model for the dry season (from April to June) was 0.189 day−1.
Simulation was performed by inputting the discharged pollution loads for 2010, 2017, and 2018 in the model, recalibrated by applying the calibration factor calculated in this study based on 2016. As a result, the water quality for the dry season by year was simulated within ±20% of the observed value, as shown in Figure 5, thus confirming the reproducibility of the BOD5 values in the dry season for Bokha A. In the Korean TMDL technical guidelines, when the water quality model is verified, the error range of the simulated water quality is presented within ±20% [19].
Consequently, the need for water quality prediction and water quality target setting for the management of BOD5 considering the TN discharged pollution load and nitrogen contribution rate by type of discharge facility (STP or WWTP) could be verified.

3.2. Effect on River Water Quality According to Change in Nitrogen Ratio by Type of STP

To examine the extent of the effect of BOD5 in the rivers according to changes in the nitrogen ratio by type of STP, a reconstruction model that reproduces water quality for three years was simulated by changing the nitrogen ratio by type of discharge facility investigated. The ratios of NH3-N and NO3-N were larger than those applied in 2010, and the ratio of Org-N was smaller based on eight investigations at the Bokha A watershed (Table 7).
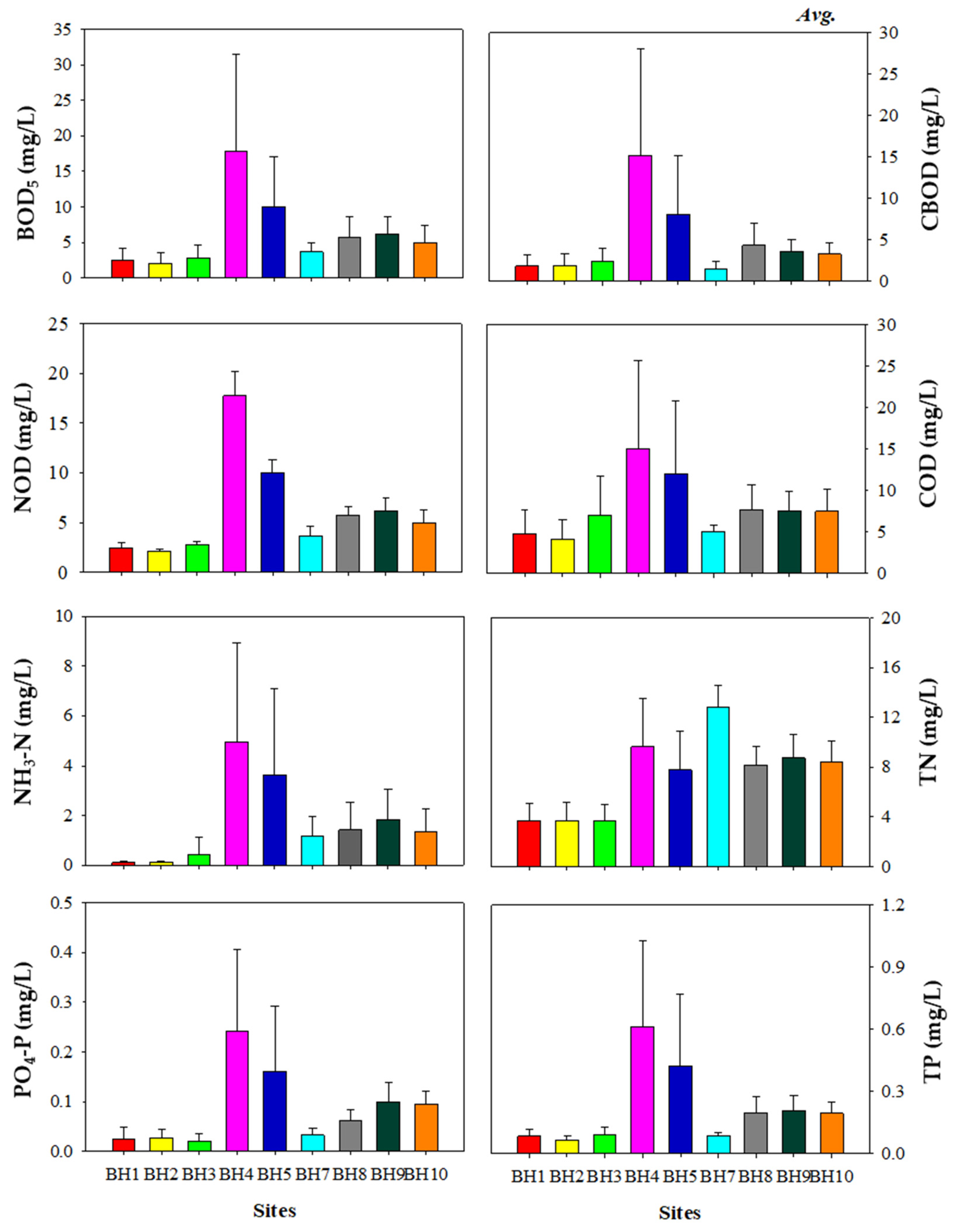
Reviewing the results of the river monitoring survey in the Bokha River (Figure 6) revealed large differences in the observed values for all eight items at BH3 and BH4 before and after the inflow of the IC-STP. The values of BOD5, NOD, and NH3-N were approximately five times higher at BH4 than at BH3.
To identify the cause of this, the water quality observed at the IC-STP telemonitoring system (TMS) survey site was analyzed (Figure 7). The water quality complied with the following STP effluent water quality standards: BOD5 ≤ 5 mg/L, COD ≤ 20 mg/L, TN ≤ 20 mg/L, and TP ≤ 0.2 mg/L. The water quality at BH4 was found to be too high to be attributed to the effect of the IC-STP. At the TMS survey site of STPs, the Ministry of Environment in Korea has installed automatic measuring devices at the outlets of STPs and WWTPs with discharge levels of at least 700 m3/day, and the water quality data are collected over the internet. That is, the system monitors the discharge status of water pollutants for 24 h, and the collection point of the TMS is inside the facility before it is discharged into the river. Therefore, to investigate other possible causes, an additional field survey was performed at the location where effluent was discharged from the IC-STP to the river, and the concentration was found to be higher than the TMS water quality data (Figure 7). Furthermore, the average water quality at the end of the Bokha River (BH10) was 5.9 mg/L, nearly three times the target value.
The results of water quality and flow rate surveys at additional sites from April to June showed that the water quality was high but that the ratio of NH3-N was approximately 56.4% of TN (Figure 8). The discharge flow rate was approximately 0.727 m3/s, 0.265 m3/s higher than the annual average flow rate of 0.462 m3/s of the IC-STP. Thus, a simulation was performed to model the effect of BOD5 at the end of the river by applying the nitrogen ratio by type at the location where the effluent was discharged to the river: (1) at the TMS site of the STP investigated in this study, and (2) at an additional survey location where the effluent was discharged to the river. The model reported in Section 3.1 was designed to reflect the Bokha A watershed conditions as closely as possible and was used to simulate scenarios (1) and (2).
This comparison revealed that the flow rates measured at the end of the Bokha River from April to June were close to the standard flow in the dry season. Thus, the simulation applied the average values by type of STP observed at this time.
When the nitrogen ratio by type investigated at the TMS site was applied at the end of the Bokha River, the location where the water quality target was set, the BOD5 increased from 4.3 to 4.6 mg/L. When the ratio was investigated at the point of discharge into the river, an increase in the ratio of NH3-N from 15.9% to 56.4% was observed, and the BOD5 at the end of the Bokha River increased from 4.3 to 4.9 mg/L. This value was similar to the water quality of Bokha A (BH10) that was investigated during the same period. Among the nitrogen types discharged from the STP, the ratio of NH3-N can affect the BOD5 measured at the end of the river. Hence, this should be reflected in the management plan when the water quality target is set (Table 8, Figure 9).
The year 2020, partly included in the monitoring period surveyed in this study, was the final target year for step 1 of the TMDL for Bokha A; the average annual BOD5 value in 2020 was more than double the target value of 2.1 mg/L.
As mentioned above, this system can impose penalties for unit watersheds that exceed the target water quality and load allocation for the TMDL in the target year. Local governments included in the unit watershed subject to a penalty must submit the results from analyses of the target water quality and the causes of the load allocation being exceeded during a certain period to the Ministry of Environment, and regulatory action will only be reverted if the analysis results are reasonable.
In the future, based on the results of this study regarding the reflection of actual environmental conditions when establishing the first TMDL plan, the calibration factor of the model, the nitrogen ratio by type of STP, and the management of the TN discharged pollution load, it will be possible to explain the cause of the exceedingly high target water quality of Bokha A.

4. Discussion

In the US, TMDLs, the water quality indicators used to assess river pollution and the target parameters measured in the field, are not always the same. For example, to achieve DO and Chl-a water quality targets, the load allocation of related water quality indicators, such as BOD, TN, and TP, are managed. In this case, the linkage between the indicator and the target parameters that need to be numerically achieved should be explained in the TMDL report [20]. In other words, a description of the cause-and-effect relationship between the pollutant and related water quality indicators is included [21]. Specifically, BOD (CBOD, NOD) and NH3-N are measured to manage DO. This indicates that the oxygen consumption rate based on the oxidation reaction of carbon and nitrogen microorganisms is managed because the DO of the river is influenced by CBOD, NOD, Algal BOD (ABOD), and sediment oxygen demand (SOD), as well as by water temperature. In the case of a river for which NH3-N is managed, the standard water quality or load by period is allocated to the discharge facilities and managed as well [22].
Korea is adopting BOD5 and TP as uniform water quality management indicators without considering the relationship between watershed pollution sources and other water quality indicators. Moreover, the survey cycle for the TMDL monitoring network that is suggested in the operation plan for the water quality survey sites in Korea [23] occurs more than 36 times annually, with an average interval of eight days, and the monitoring items include water temperature, pH, DO, BOD5, COD, TOC, suspended solids (SS), TN, TP, electrical conductivity, and flow rate. The daily monitoring items of discharge facilities (STP, WWTP) include flow rate, pH, DO, BOD5, COD, SS, TN, and TP. Thus, Korea does not investigate nitrogen and phosphorus by type at the measurement points in rivers including discharge facilities.
Furthermore, the system should be improved to make it mandatory to measure nitrogen by type among effluent quality survey items for large-discharge facilities, such as STPs and WWTPs. In addition, as in the STPs investigated in this study, there is a large difference in water quality between the TMS measurement point and the point at which effluent is discharged into the river, which makes it difficult to assess the water quality of a watershed. Therefore, it is necessary to verify the reliability of the TMS data of these discharge facilities and to consider appropriate sites to take measurements.
QUAL-MEV is an important water quality model used for setting target water quality in the Korean TMDL, but it only presents the default range for calibration coefficients.
As mentioned in Section 3.1, if only the K1 and K3 values are calibrated, the model cannot reproduce the actual water quality because the BOD change for the increase in the NH3-N ratio and the increase in the T-N discharge pollution load by year is not reflected. Therefore, it is necessary to investigate model calibration factors based on field survey data by watershed and period; moreover, a review of the applicability of the calculated calibration factors should follow.
In Korea, models are being developed and pilot studies planned to change the target indicator for organic matter management in TMDLs to TOC. From this perspective, the findings of this study can be used as basic data to show the limitations of BOD5 and the current management of the TMDLs, and for rapid conversion to TOC.

5. Conclusions

This study verified the relationships between water quality indicators for BOD5 and NH3-N through the distribution of observed water quality according to fluctuations in the annual discharged pollution load and whether the model reproduced the observed water quality by year. Furthermore, an examination of the analysis method for inconsistency between the discharged pollution load and the water quality confirmed that watersheds with a large contribution from STPs, such as Bokha A, should have a management plan for items subject to TMDLs that reflects the nitrogen ratio for each type of STP for the base and target years.
As discussed above, to effectively manage BOD5, the representative water quality indicator of the TMDLs in Korea, it is necessary to establish a plan that reflects the linkage between water quality indicators, as in the US.

Funding

This research was supported by National Institute of Environmental Research (NIER) funded by the Korea Ministry of Environment (MOE), grant number 11-1480523-004098-01.

Acknowledgments

This work was a research project for more effective implementation of TMDLs in Korea and received related data from the National Institute of Environmental Research. I would like to express my gratitude.

Conflicts of Interest

The author declares no conflict of interest.

References

  1. National Institute of Environmental Research. Book of the Explanation about Total Water Load Management Systems; National Institute of Environmental Research: Incheon, Korea, 2014. [Google Scholar]
  2. Lee, E.J.; Kim, T.G.; Choi, K.S. A Study of the Load Allocation using Watershed Model and Load Duration Curve in TMDL. KSCE J. Civ. Eng. 2018, 22, 3222–3232. [Google Scholar] [CrossRef]
  3. Ministry of Environment. The Master Plan of Water Environment Management; Ministry of Environment: Sejong, Korea, 2015.
  4. Clescerf, L.; Greenberg, A.E.; Eaton, A.D. Standard Methods for the Examination of Water and Wastewater, 20th ed.; American Public Health Association; American Water Works Association; Water Environment Federation: Washington, DC, USA, 1999; pp. 1364–1374. [Google Scholar]
  5. Ministry of Government Legislation. Standard Methods for the Examination of Water Pollution; ES 04305.1c; Ministry of Government Legislation: Sejong, Korea, 2021.
  6. National Institute of Environmental Research. Effect of Nitrogen on Water Target Indicators of Total Maximum Daily Loads; National Institute of Environmental Research: Incheon, Korea, 2019. [Google Scholar]
  7. Kim, H.K.; Jeong, H.S.; Bae, S.J. Deriving Water Quality Criteria of Total Nitrogen for Nutrient Management in the Stream. J. Korean Soc. Agric. Eng. 2015, 57, 121–127. [Google Scholar] [CrossRef]
  8. National Pollution Source Survey Data. Available online: https://wems.nier.go.kr (accessed on 15 December 2020).
  9. Han, S.H.; Kim, Y.Y.; Sung, Y.G.; Park, I.B.; Cho, D.H.; Nam, W.K.; Kim, C.G.; Oh, J.K. Characteristics of Organics and Ammonia Nitrogen Discharged by Pollution Source from Human Living. J. Korean Soc. Water Environ. 2015, 31, 377–386. [Google Scholar] [CrossRef][Green Version]
  10. Min, K.W.; Jeong, W.S.; Lee, D.H.; Seo, G.Y.; Kim, S.H.; Paik, K.J.; Mun, Y.W. Contribution of NOD to total BOD5 of Effluent from Biological Sewage Treatment Plan. J. Korean Soc. Environ. Anal. 2011, 14, 12–19. [Google Scholar]
  11. Kim, H.S.; Kim, S.G. Distribution of Organic Matter and Nitrogenous Oxygen Demand in Effluent of Sewage and Wastewater Treatment Plants. J. Korean Soc. Water Environ. 2020, 37, 20–31. [Google Scholar] [CrossRef]
  12. National Institute of Environmental Research. The Method of Water Quality Pollution Process Test, No. 2018-65; Notification of the National Institute of Environmental Research: Incheon, Korea, 2018. [Google Scholar]
  13. Ministry of Environment. Monitoring the Water Quality of Gyeongancheon, Jukdangcheon, and Guseokmalcheon; Ministry of Environment: Hanam, Korea, 2018.
  14. Ministry of Government Legislation. Act on Improvement of the Water Quality of the Han River Water Supply and Support for Residents; (Article 8-8); Ministry of Government Legislation: Sejong, Korea, 2021.
  15. National Institute of Environmental Research. The Improved Stream Water Quality Model QUAL-MEV (v1.0) and Model Interface System, User Documentation; National Institute of Environmental Research: Incheon, Korea, 2013. [Google Scholar]
  16. Brown, L.C.; Barnwell, T.O. The Enhanced Stream Water Quality Models QUAL2E and QUAL2E-UNCAS: Documentation and User Manual; United States Environmental Protection Agency: Washington, DC, USA, 1987; Volume 189.
  17. Gyeonggi-do. Report on the 1st Plan of Total Water Load Management System in Han River Basins in Gyeonggi-do; Gyeonggi-do: Suwon, Korea, 2010. [Google Scholar]
  18. Jang, C.W.; Kim, D.H.; Lee, J.Y.; Kim, Y.J.; Jung, S.M.; Shin, C.M.; Kim, B.C. Distribution of BOD Decay Rate in Streams and Reservoirs. J. Korean Soc. Water Environ. 2012, 28, 178–184. [Google Scholar]
  19. National Institute of Environmental Research. The Technical Guidelines of Total Maximum Daily Loads; National Institute of Environmental Research: Incheon, Korea, 2019. [Google Scholar]
  20. United States Environmental Protection Agency. Nitrification—Office of Ground Water and Drinking Water Distribution System Issue Paper; United States Environmental Protection Agency: Washington, DC, USA, 2002.
  21. United States Environmental Protection Agency. Protocol for Developing Nutrient TMDLs; United States Environmental Protection Agency: Washington, DC, USA, 1999.
  22. United States Environmental Protection Agency. Total Maximum Daily Loads of Carbonaceous Biochemical Oxygen Demand (CBOD) and Nitrogenous Biochemical Oxygen Demand (NBOD) for the Little Youghiogheny River; United States Environmental Protection Agency: Washington, DC, USA, 2001.
  23. Ministry of Environment. Water Quality Monitoring Program; Ministry of Environment: Sejong, Korea, 2021.
Figure 1. Study area.
Figure 1. Study area.
Water 14 01702 g001
Figure 2. Major reaction mechanisms of the QUAL-MEV model.
Figure 2. Major reaction mechanisms of the QUAL-MEV model.
Water 14 01702 g002
Figure 3. BOD5 simulation results of the 1st TMDL Plan model based on 2010.
Figure 3. BOD5 simulation results of the 1st TMDL Plan model based on 2010.
Water 14 01702 g003
Figure 4. Schematic diagrams of QUAL-MEV model: (a) schematic diagram applied to 1st TMDL Plan; (b) schematic diagram that shows tributaries added in this study.
Figure 4. Schematic diagrams of QUAL-MEV model: (a) schematic diagram applied to 1st TMDL Plan; (b) schematic diagram that shows tributaries added in this study.
Water 14 01702 g004
Figure 5. Verification of the reproduction of BOD5 based on 2016.
Figure 5. Verification of the reproduction of BOD5 based on 2016.
Water 14 01702 g005
Figure 6. Average water quality parameter values of eight surveys at each river survey site.
Figure 6. Average water quality parameter values of eight surveys at each river survey site.
Water 14 01702 g006
Figure 7. Comparison of water quality in the TMS and the discharge point of the IC-STP.
Figure 7. Comparison of water quality in the TMS and the discharge point of the IC-STP.
Water 14 01702 g007
Figure 8. Nitrogen ratio by type surveyed at the IC-STP: (a) water quality in the TMS site; (b) water quality at the point where the effluent is discharged to the river.
Figure 8. Nitrogen ratio by type surveyed at the IC-STP: (a) water quality in the TMS site; (b) water quality at the point where the effluent is discharged to the river.
Water 14 01702 g008
Figure 9. Effects on BOD5 according to change in nitrogen ratio in the STP effluent.
Figure 9. Effects on BOD5 according to change in nitrogen ratio in the STP effluent.
Water 14 01702 g009
Table 1. Criteria for survey targets in the first-priority unit watershed in each water system (2017–2018).
Table 1. Criteria for survey targets in the first-priority unit watershed in each water system (2017–2018).
Unit
Watershed
BOD5
(mg/L)
TN
(mg/L)
Contribution of Emissions to Flow Rate (%)BOD5/COD
(%)
Contribution Rate to TN LoadRemark
Bokha A4.510.01844.956.80.78Selected
Guemho A3.75.71226.043.70.40
Tapcheon A4.33.91730.241.30.89
Jiseok A2.12.4593.043.70.15
Table 2. Surveyed public STPs and WWTPs in the study area.
Table 2. Surveyed public STPs and WWTPs in the study area.
Treatment PlantDischarge
(m3/Day)
Water Quality of Discharge (mg/L)Discharged River
BODTNTP
IC-STP40,8141.28.9000.041Bokha
SK-WWTPOutlets 1, 371,2801.426.9000.052Jukdang
Outlet 212,7016.028.6000.059Jeontteul
Table 3. BOD decay rates and NH3 oxidation rates measured in this study.
Table 3. BOD decay rates and NH3 oxidation rates measured in this study.
MonthBH8BH9BH10Average
BODNH3BODNH3BODNH3BODNH3
2019.100.1210.1390.0970.1100.0520.1810.0900.143
2019.110.0580.3760.0360.1990.1710.4790.0880.351
2019.12-0.438-0.214-0.214-0.289
2020.020.3940.3550.3220.1440.2570.1420.3250.214
2020.030.2730.360-0.135-0.1090.2730.201
2020.040.160--0.187-0.1870.1600.187
2020.050.093--0.194-0.1800.0930.187
2020.06-0.170-0.199-0.213-0.194
Average (4~6)0.1270.170-0.193-0.1930.1270.189
Table 4. Average daily discharge and water quality parameter values of the WWTP (flow, m3/s; water quality, mg/L).
Table 4. Average daily discharge and water quality parameter values of the WWTP (flow, m3/s; water quality, mg/L).
SK-WWTP2010201620172018
Outlets 1, 3Outlet 2Outlets 1, 3Outlet 2Outlets 1, 3Outlet 2Outlets 1, 3Outlet 2
Flow0.2840.1150.6230.1430.7320.1450.8250.147
BOD53.79.43.82.64.04.81.46.0
TN21.03019.78924.71524.52023.60124.03226.90028.600
TP0.0320.0620.0500.0970.1320.0630.0520.059
Table 5. QUAL-MEV model segmentation scheme of Bokha A.
Table 5. QUAL-MEV model segmentation scheme of Bokha A.
RiverReach RepresentationDistance
(km)
ReachElementElement Length (km)
1st TMDL PlanBokhaBokhacheon1–End of river335660.5
This studyBokhaBokhacheon1–End of river335660.5
JukdangSK-WWTP–Before joining the mainstream92180.5
Table 6. Monitoring results of nitrogen in the Jukdang and Jeontteul rivers (%).
Table 6. Monitoring results of nitrogen in the Jukdang and Jeontteul rivers (%).
Monitoring SiteYearOrg-NNH3-NNO2-N NO3-N
Jukdang
(Located near Outlets 1, 3)
20167.552.20.040.4
20178.660.90.030.5
201810.928.00.061.1
Jeontteul
(Located near Outlet 2)
201613.760.00.026.3
201714.876.50.08.7
20186.691.80.01.6
Table 7. Nitrogen ratio (%) by the type of STP applied when the TMDL was planned compared with values from this study.
Table 7. Nitrogen ratio (%) by the type of STP applied when the TMDL was planned compared with values from this study.
ClassificationOrg-NNH3-NNO2-N NO3-NRemark
1st TMDLs31.415.90.052.71st TMDL plan
This study13.317.30.668.8surveyed eight times in total
Table 8. Effects of nitrogen ratio change in the STP effluent on BOD.
Table 8. Effects of nitrogen ratio change in the STP effluent on BOD.
IC-STPApplied Water Quality (Ratio, %)BOD5
NH3-NNO3-NOrg-NCalibrated ValueSimulated Value
Survey ratio in 1st TMDL plan1.702 (15.9)5.639 (52.7)3.358 (31.4)4.3
(1) Survey ratio of TMS in this study3.988 (37.3)5.586 (52.2)1.067 (10.0)4.34.6
(2) Survey ratio of outlet in this study6.031 (56.4)2.188 (20.5)2.302 (21.5)4.34.9
Publisher’s Note: MDPI stays neutral with regard to jurisdictional claims in published maps and institutional affiliations.

Share and Cite

MDPI and ACS Style

Lee, E.J. Effects of Nitrogen in Sewage Treatment Plant Effluent on Organic Matter Target Indicator of TMDLs in Korea. Water 2022, 14, 1702. https://doi.org/10.3390/w14111702

AMA Style

Lee EJ. Effects of Nitrogen in Sewage Treatment Plant Effluent on Organic Matter Target Indicator of TMDLs in Korea. Water. 2022; 14(11):1702. https://doi.org/10.3390/w14111702

Chicago/Turabian Style

Lee, Eun Jeong. 2022. "Effects of Nitrogen in Sewage Treatment Plant Effluent on Organic Matter Target Indicator of TMDLs in Korea" Water 14, no. 11: 1702. https://doi.org/10.3390/w14111702

APA Style

Lee, E. J. (2022). Effects of Nitrogen in Sewage Treatment Plant Effluent on Organic Matter Target Indicator of TMDLs in Korea. Water, 14(11), 1702. https://doi.org/10.3390/w14111702

Note that from the first issue of 2016, this journal uses article numbers instead of page numbers. See further details here.

Article Metrics

Back to TopTop