Towards a Better Understanding of Long-Term Self-Forming Dynamic Membrane Bioreactor (SFDMBR) Performance: Effect of Aeration Intensity
Abstract
:1. Introduction
2. Materials and Methods
2.1. Experimental System and Operating Conditions
2.2. Analytical Methods
2.2.1. Routine Measurements
2.2.2. SFDM Sample Collection
2.2.3. PSD and EPS Analysis of Mixed Liquor and SFDM Samples
2.2.4. SEM Analysis of SFDM Samples
2.2.5. Filtration Resistance, Specific Resistance and the Increasing Rate of Filtration Resistance
3. Results and Discussion
3.1. Effect of Aeration Intensity on SFDMBR Performance
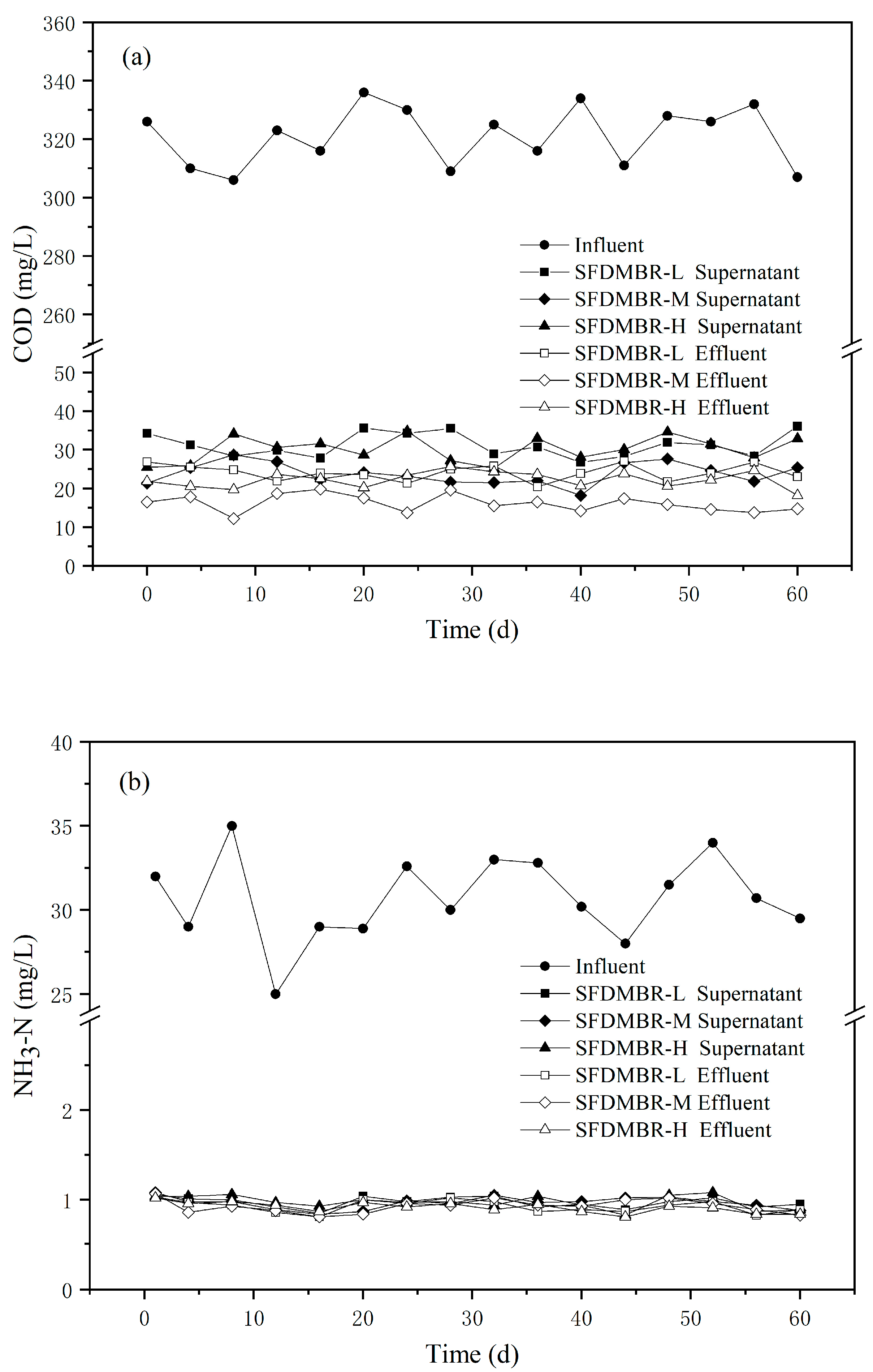
3.1.1. COD and NH3-N Removal Performance of SFDMBRs at Different Aeration Intensities
3.1.2. Filtration Performance of SFDMBRs at Different Aeration Intensities
3.2. Effect of Aeration Intensity on SFDM Filtration Resistance
3.3. Effect of Aeration Intensity on Particle Size Distribution and SFDM Structure
3.4. Effect of Aeration Intensity on Extracellular Polymeric Substances
4. Conclusions
Author Contributions
Funding
Conflicts of Interest
References
- Fan, B.; Huang, X. Characteristics of a self-forming dynamic membrane coupled with a bioreactor for municipal wastewater treatment. Environ. Sci. Technol. 2002, 36, 5245–5251. [Google Scholar] [CrossRef] [PubMed]
- Wang, C.; Chen, W.; Hu, Q.; Ji, M.; Gao, X. Dynamic fouling behavior and cake layer structure changes in nonwoven membrane bioreactor for bath wastewater treatment. Chem. Eng. J. 2015, 264, 462–469. [Google Scholar] [CrossRef]
- Hu, Y.; Wang, X.C.; Tian, W.; Ngo, H.H.; Chen, R. Towards stable operation of a dynamic membrane bioreactor (DMBR): Operational process, behavior and retention effect of dynamic membrane. J. Membr. Sci. 2016, 498, 20–29. [Google Scholar] [CrossRef]
- Vergine, P.; Salerno, C.; Berardi, G.; Pollice, A. Sludge cake and biofilm formation as valuable tools in wastewater treatment by coupling Integrated Fixed-film Activated Sludge (IFAS) with Self Forming Dynamic Membrane BioReactors (SFD-MBR). Bioresour. Technol. 2018, 268, 121–127. [Google Scholar] [CrossRef] [PubMed]
- Kumar Khuntia, H.; Hameed, S.; Janardhana, N.; Chanakya, H. Greywater treatment in aerobic bio-reactor with macropore mesh filters. J. Water Process. Eng. 2019, 28, 269–276. [Google Scholar] [CrossRef]
- Kiso, Y.; Jung, Y.J.; Ichinari, T.; Park, M.; Kitao, T.; Nishimura, K.; Min, K.S. Wastewater treatment performance of a filtration bio-reactor equipped with a mesh as a filter material. Water Res. 2000, 34, 4143–4150. [Google Scholar] [CrossRef]
- Meng, F.; Chae, S.R.; Drews, A.; Kraume, M.; Shin, H.S.; Yang, F. Recent advances in membrane bioreactors (MBRs): Membrane fouling and membrane material. Water Res. 2009, 43, 1489–1512. [Google Scholar] [CrossRef]
- Ren, X.; Shon, H.K.; Jang, N.; Lee, Y.G.; Bae, M.; Lee, J.; Cho, K.; Kim, I.S. Novel membrane bioreactor (MBR) coupled with a nonwoven fabric filter for household wastewater treatment. Water Res. 2010, 44, 751–760. [Google Scholar] [CrossRef] [Green Version]
- Saleem, M.; Alibardi, L.; Cossu, R.; Lavagnolo, M.C.; Spagni, A. Analysis of fouling development under dynamic membrane filtration operation. Chem. Eng. J. 2017, 312, 136–143. [Google Scholar] [CrossRef]
- Li, L.; Xu, G.; Yu, H.; Xing, J. Dynamic membrane for micro-particle removal in wastewater treatment: Performance and influencing factors. Sci. Total Environ. 2018, 627, 332–340. [Google Scholar] [CrossRef]
- Xiong, J.; Fu, D.; Singh, R.P. Self-adaptive dynamic membrane module with a high flux and stable operation for the municipal wastewater treatment. J. Membr. Sci. 2014, 471, 308–318. [Google Scholar] [CrossRef]
- Pollice, A.; Vergine, P. Self-forming dynamic membrane bioreactors (SFD MBR) for wastewater treatment: Principles and applications. In Advanced Membrane Separation Processes for Sustainable Water and Wastewater Management-Case Studies and Sustainability Analysis; Mannina, G., Pandey, A., Larroche, C., Ng, H.Y., Ngo, H.H., Eds.; Elsevier: Amsterdam, The Netherlands, 2020; pp. 235–258. [Google Scholar]
- Rezvani, F.; Mehrnia, M.R.; Poostchi, A.A. Optimal operating strategies of SFDM formation for MBR application. Sep. Purif. Technol. 2014, 124, 124–133. [Google Scholar] [CrossRef]
- Sabaghian, M.; Mehrnia, M.R.; Esmaieli, M.; Nourmohammadi, D. Influence of static mixer on the formation and performance of dynamic membrane in a dynamic membrane bioreactor. Sep. Purif. Technol. 2018, 206, 324–334. [Google Scholar] [CrossRef]
- Huang, J.; Wu, X.; Cai, D.; Chen, G.; Li, D.; Yu, Y.; Petrik, L.F.; Liu, G. Linking solids retention time to the composition, structure, and hydraulic resistance of biofilms developed on support materials in dynamic membrane bioreactors. J. Membr. Sci. 2019, 581, 158–167. [Google Scholar] [CrossRef]
- Meng, F.; Yang, F.; Shi, B.; Zhang, H. A comprehensive study on membrane fouling in submerged membrane bioreactors operated under different aeration intensities. Sep. Purif. Technol. 2008, 59, 91–100. [Google Scholar] [CrossRef]
- Sabaghian, M.; Mehrnia, M.R.; Esmaieli, M.; Noormohammadi, D. Formation and performance of self-forming dynamic membrane (SFDM) in membrane bioreactor (MBR) for treating low-strength wastewater. Water Sci. Technol. 2018, 78, 904–912. [Google Scholar] [CrossRef]
- Fan, F.S.; Zhou, H.D. Interrelated effects of aeration and mixed liquor fractions on membrane fouling for submerged membrane bioreactor processes in wastewater treatment. Environ. Sci. Technol. 2007, 41, 2523–2528. [Google Scholar] [CrossRef]
- Liang, S.; Qu, L.; Meng, F.; Han, X.; Zhang, J. Effect of sludge properties on the filtration characteristics of self-forming dynamic membranes (SFDMs) in aerobic bioreactors: Formation time, filtration resistance, and fouling propensity. J. Membr. Sci. 2013, 436, 186–194. [Google Scholar] [CrossRef]
- Chang, W.-K.; Hu, A.Y.-J.; Horng, R.-Y.; Tzou, W.-Y. Membrane bioreactor with nonwoven fabrics as solid–liquid separation media for wastewater treatment. Desalination 2007, 202, 122–128. [Google Scholar] [CrossRef]
- Poostchi, A.A.; Mehrnia, M.R.; Rezvani, F.; Sarrafzadeh, M.H. Low-cost monofilament mesh filter used in membrane bioreactor process: Filtration characteristics and resistance analysis. Desalination 2012, 286, 429–435. [Google Scholar] [CrossRef]
- Fuchs, W.; Resch, C.; Kernstock, M.; Mayer, M.; Schoeberl, P.; Braun, R. Influence of operational conditions on the performance of a mesh filter activated sludge process. Water Res. 2005, 39, 803–810. [Google Scholar] [CrossRef] [PubMed]
- Salerno, C.; Vergine, P.; Berardi, G.; Pollice, A. Influence of air scouring on the performance of a Self Forming Dynamic Membrane BioReactor (SFD MBR) for municipal wastewater treatment. Bioresour. Technol. 2017, 223, 301–306. [Google Scholar] [CrossRef] [PubMed]
- APHA. Standard Methods for the Examination of Water and Wastewater, 20th ed.; American Public Health Association: Washington, DC, USA, 1998.
- Frolund, B.; Palmgren, R.; Keiding, K.; Nielsen, P.H. Extraction of extracellular polymers from activated sludge using a cation exchange resin. Water Res. 1996, 30, 1749–1758. [Google Scholar] [CrossRef]
- Lowry, O.; Rosebrough, N.; Farr, A.L.; Randall, R. Protein Measurement with the Folin Phenol Reagent. J. Biol. Chem. 1951, 193, 265–275. [Google Scholar] [CrossRef]
- Dubois, M.; Gilles, K.A.; Hamilton, J.K.; Rebers, P.A.; Smith, F. Colorimetric method for determination of sugars and related substances. Anal. Chem. 1956, 28, 350–356. [Google Scholar] [CrossRef]
- Sun, F.; Zhang, N.; Li, F.; Wang, X.; Zhang, J.; Song, L.; Liang, S. Dynamic analysis of self-forming dynamic membrane (SFDM) filtration in submerged anaerobic bioreactor: Performance, characteristic, and mechanism. Bioresour. Technol. 2018, 270, 383–390. [Google Scholar] [CrossRef]
- Lee, W. Sludge characteristics and their contribution to microfiltration in submerged membrane bioreactors. J. Membr. Sci. 2003, 216, 217–227. [Google Scholar] [CrossRef]
- Chen, F.; Wen, X.; Huang, X.; Wu, Y. Function of dynamic membrane in self-forming dynamic membrane coupled bioreactor. Water Sci. Technol. 2005, 51, 107–114. [Google Scholar] [CrossRef]
- Ersahin, M.E.; Tao, Y.; Ozgun, H.; Spanjers, H.; van Lier, J.B. Characteristics and role of dynamic membrane layer in anaerobic membrane bioreactors. Biotechnol. Bioeng. 2016, 113, 761–771. [Google Scholar] [CrossRef]
- Guan, D.; Dai, J.; Watanabe, Y.; Chen, G. Changes in the physical properties of the dynamic layer and its correlation with permeate quality in a self-forming dynamic membrane bioreactor. Water Res. 2018, 140, 67–76. [Google Scholar] [CrossRef]
- Lin, H.J.; Xie, K.; Mahendran, B.; Bagley, D.M.; Leung, K.T.; Liss, S.N.; Liao, B.Q. Sludge properties and their effects on membrane fouling in submerged anaerobic membrane bioreactors (SAnMBRs). Water Res. 2009, 43, 3827–3837. [Google Scholar] [CrossRef] [PubMed]
- Park, P.K.; Lee, C.H.; Lee, S. Determination of cake porosity using image analysis in a coagulation-microfiltration system. J. Membr. Sci. 2007, 293, 66–72. [Google Scholar] [CrossRef]
- Meng, F.; Zhang, H.; Yang, F.; Zhang, S.; Li, Y.; Zhang, X. Identification of activated sludge properties affecting membrane fouling in submerged membrane bioreactors. Sep. Purif. Technol. 2006, 51, 95–103. [Google Scholar] [CrossRef]
- Zhang, H.F. Impact of Soluble Microbial Products and Extracellular Polymeric Substances on Filtration Resistance in a Membrane Bioreactor. Environ. Eng. Sci. 2009, 26, 1115–1122. [Google Scholar] [CrossRef]
- Lin, H.; Liao, B.Q.; Chen, J.; Gao, W.; Wang, L.; Wang, F.; Lu, X. New insights into membrane fouling in a submerged anaerobic membrane bioreactor based on characterization of cake sludge and bulk sludge. Bioresour. Technol. 2011, 102, 2373–2379. [Google Scholar] [CrossRef]







| Rs (1010 m−1) | M (SS g/m2) | Specific Resistance (109 m/kg) | |
|---|---|---|---|
| SFDMBR-L | 5.43 | 41.56 | 1.31 |
| SFDMBR-M | 5.42 | 27.21 | 2.00 |
| SFDMBR-H | 5.03 | 14.14 | 3.56 |
| SFDM (mg/g SS) | Mixed Liquor (mg/g SS) | |||||||
|---|---|---|---|---|---|---|---|---|
| PN | PS | EPS | PN/PS | PN | PS | EPS | PN/PS | |
| SFDMBR-L | 118.90 ± 13.7 | 23.74 ± 5.6 | 142.64 ± 18.9 | 5.00 | 76.63 ± 9.8 | 18.67 ± 5.3 | 95.30 ± 14.2 | 4.10 |
| SFDMBR-M | 99.20 ± 12.3 | 21.46 ± 5.2 | 120.66 ± 17.1 | 4.62 | 87.06 ± 7.5 | 19.63 ± 4.2 | 106.69 ± 12.9 | 4.44 |
| SFDMBR-H | 150.7 ± 20.4 | 24.51 ± 4.7 | 175.21 ± 24.3 | 6.14 | 97.74 ± 8.8 | 21.86 ± 4.9 | 119.60 ± 13.2 | 4.69 |
Publisher’s Note: MDPI stays neutral with regard to jurisdictional claims in published maps and institutional affiliations. |
© 2022 by the authors. Licensee MDPI, Basel, Switzerland. This article is an open access article distributed under the terms and conditions of the Creative Commons Attribution (CC BY) license (https://creativecommons.org/licenses/by/4.0/).
Share and Cite
Sun, F.; Wang, H.; Peng, Q.; Zhang, J.; Liang, S.; Wang, X. Towards a Better Understanding of Long-Term Self-Forming Dynamic Membrane Bioreactor (SFDMBR) Performance: Effect of Aeration Intensity. Water 2022, 14, 1561. https://doi.org/10.3390/w14101561
Sun F, Wang H, Peng Q, Zhang J, Liang S, Wang X. Towards a Better Understanding of Long-Term Self-Forming Dynamic Membrane Bioreactor (SFDMBR) Performance: Effect of Aeration Intensity. Water. 2022; 14(10):1561. https://doi.org/10.3390/w14101561
Chicago/Turabian StyleSun, Fengkai, Huimin Wang, Qian Peng, Jian Zhang, Shuang Liang, and Xia Wang. 2022. "Towards a Better Understanding of Long-Term Self-Forming Dynamic Membrane Bioreactor (SFDMBR) Performance: Effect of Aeration Intensity" Water 14, no. 10: 1561. https://doi.org/10.3390/w14101561
APA StyleSun, F., Wang, H., Peng, Q., Zhang, J., Liang, S., & Wang, X. (2022). Towards a Better Understanding of Long-Term Self-Forming Dynamic Membrane Bioreactor (SFDMBR) Performance: Effect of Aeration Intensity. Water, 14(10), 1561. https://doi.org/10.3390/w14101561
