Rainfall Warning Model for Rainfall-Triggered Channelized Debris Flow Based on Physical Model Test—A Case Study of Laomao Mountain Debris Flow in Dalian City
Abstract
1. Introduction
2. Materials and Methods
2.1. Study Site
2.1.1. Geological Setting
2.1.2. Hydrological Settings
2.2. Hydraulic Debris Flow Initiation Mechanism Calculation Model (HIMM)
- Empirical method [33,35,36]: The relationship between the corresponding early effective rainfall and characteristic rainfall (10 min, 30 min, 1 h rainfall, etc.) is obtained through the statistical analysis of the actual rainfall and debris flow disaster data to draw the rainfall threshold curve, which is only applicable to areas with long-term observation history;
- Storm frequency method [38]: Assuming that the occurrence of a debris flow is the same as that of a rainstorm, the occurrence frequency of a rainstorm is calculated by statistical analysis of rainfall data, then the rainfall threshold inducing a debris flow is calculated, which is mainly suitable for areas with rich rainfall data and lacking debris flow disaster data.
3. Physical Simulation Experiment on Debris Flow Initiation
3.1. Design of Experiment
3.2. The Process of the Experiment
3.2.1. Characteristics of Material Source Damage under Different Rainfall Conditions
3.2.2. Material Source Destabilization Damage under Different Grading Conditions
3.3. Experimental Results and Analysis
3.3.1. Response of Material Source Destruction and Matrix Suction Change
3.3.2. Response of Material Source Destruction and Water Content Change
3.3.3. Conclusions of the Experiment
- Combined with the above experimental results and phenomenon analysis, the initiation mechanism of debris flow in this area can be described as follows: under the action of early rainfall, the moisture content of loose gully grain source increased, the matrix suction decreased, the soil strength became weak, the soil at the toe of the slope was first destroyed, the soil body produced integrity fine slip, and the trailing edge tension cracked. At this time, the soil structure was in the critical state of instability, and there was no integrity damage. An instantaneous rainstorm after abundant early rainfall made the catchment volume in the valley increase instantaneously, and the moisture content of the source soil continued to rise. Under the traction of the downward seepage of the internal water in the soil, the extrusion of the self-weight of the water in the trailing edge crack and its self-weight, the soil structure was destroyed and collapsed. After, the collapse of soil liquefaction rapidly with surface runoff declined, forming a debris flow.
- The matrix suction reflected the change in internal stress of the soil structure, which showed an evident decreasing rule after the rainfall started. The moisture content of the soil structure increased continuously with the rainfall. The matrix suction was rapidly reduced to dissipate, and the matrix suction at each monitoring point was 0 when the damage occurred. Accordingly, the matrix suction could support the test results but could not be used as an ideal forecasting index.
- The volumetric water content reflected the infiltration of rainwater in the slope with the rainfall. It showed an evident growth pattern before the damage and maintained a more stable state after the destabilization.
4. Multi-Parameter Warning Models
4.1. Traditional ID Model
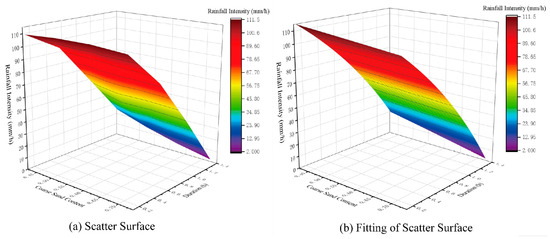
4.2. Modified Multi-Parameter Warning Models
4.3. Multi-Parameter Warning Models Validation
4.3.1. Prediction of Rainfall Threshold by Multi-Parameter Warning Models
4.3.2. Prediction of Rainfall Threshold by HIMM
4.3.3. Validation of Critical Rainfall Prediction Results in Laomao Mountain Area
5. Discussions
- The soils in each main gully were complex and diverse; hence, certain limitations occur in using single soil sample data in the calculation;
- The IPM and IPD models require a large amount of physical simulation experimental data in the fitting. Although we have performed multiple repetitions of experimental groups with typical experimental phenomena to avoid chance in the experiments, the contingency of experimental data cannot be completely avoided;
- Artificial rainfall simulation equipment was used to maintain the same intensity of continuous rainfall. Restricted by the existing experimental conditions, although four rain types were designed in the physical experiment, the randomness and continuous variability of rainfall intensity under natural rainfall still cannot be restored.
6. Conclusions
- The initiation mechanism of debris flow in this area can be described as follows: under the action of early rainfall, the moisture content of the loose gully grain source increased, the matrix suction decreased, the soil strength became weak, the soil at the toe of the slope was first destroyed, the soil body produced integrity fine slip, and the trailing edge tension cracked. At this time, the soil structure was in the critical state of instability, and there was no integrity damage. An instantaneous rainstorm after abundant early rainfall made the catchment volume in the valley increase instantaneously, and the moisture content of the source soil continued to rise. Under the traction of the downward seepage of the internal water in the soil, the extrusion of the self-weight of the water in the trailing edge crack and its self-weight, the soil structure was destroyed and collapsed. After this, the collapse of soil liquefaction rapidly with surface runoff declined, forming a debris flow.
- From the experimental results, the initiation pattern of the slope source under the same slope was mainly influenced and controlled by rainfall intensity and soil gradation conditions. The main manifestation of the influence of the rainfall intensity condition was as follows: the greater the rainfall intensity was, the less the soil body continued to be damaged after the rainfall stopped; an evident raindrop spattering phenomenon would occur, and the initiation duration was shorter. The main manifestation of the influence of the soil grade condition was as follows: the grade of the soil body tended to be destroyed as a whole and disintegrated after large pieces were separated from the slope surface, the initiation duration of the source was long, and extremely poor-grade soil was not damaged.
- We established multi-parameter warning models (IPM, IPD) for destabilization damage in the source area by combining the volumetric water content of the deep subsurface with rainfall intensity and rainfall ephemeris under different gradations to achieve effective corrections of the traditional ID model. The AMR from 1981 to 2015 was selected and compared with the prediction results. The comparison proved the reliability of the prediction results and corrected the deficiency of the traditional ID rainfall threshold model, which is of great practical significance to optimizing the debris flow disaster forecasting and warning work.
- The IPM, IPD and HIMM prediction results were comprehensively analyzed to obtain the critical rainfall of each main gully of Laomao Mountain debris flow. The results were as follows: 82.08 mm for the main gully of Dongmatun, 80.10 mm for the main gully of Matun, 82.28 mm for the main gully of Zhangjiacun, 80.84 mm for the main gully of Heping, 85.06 mm for the main gully of Zhuanshan, and 82.45 mm for the main gully of Taiyang.
Author Contributions
Funding
Institutional Review Board Statement
Informed Consent Statement
Acknowledgments
Conflicts of Interest
References
- Wang, Y.; Nie, L.; Zhang, M.; Wang, H.; Xu, Y.; Zuo, T. Assessment of Debris Flow Risk Factors Based on Meta-Analysis—Cases Study of Northwest and Southwest China. Sustainability 2020, 12, 6841. [Google Scholar] [CrossRef]
- Santi, P.M.; Hewitt, K.; VanDine, D.F.; Barillas Cruz, E. Debris-flow impact, vulnerability, and response. Nat. Hazards 2010, 56, 371–402. [Google Scholar] [CrossRef]
- Dilley, M.; Chen, R.S.; Deichmann, U.; Lerner-Lam, A.L.; Arnold, M.; Agwe, J.; Buys, P.; Kjekstad, O.; Lyon, B.; Yetman, G. Natural Disaster Hotspots: A Global Risk Analysis. In International Bank for Reconstruction; World Bank Publications: Washington, DC, USA, 2005. [Google Scholar]
- Dowling, C.A.; Santi, P.M. Debris flows and their toll on human life: A global analysis of debris-flow fatalities from 1950 to 2011. Nat. Hazards 2013, 71, 203–227. [Google Scholar] [CrossRef]
- Cui, P.; Liu, S.J.; Tan, W.P. Progress of debris flow forecast in China. J. Nat. Disasters 2000, 9, 10–15. [Google Scholar]
- Ni, H.; Zheng, W.; Li, Z.; Ba, R. Recent catastrophic debris flows in Luding county, SW China: Geological hazards, rainfall analysis and dynamic characteristics. Nat. Hazards 2010, 55, 523–542. [Google Scholar] [CrossRef]
- Pan, H.-L.; Jiang, Y.-J.; Wang, J.; Ou, G.-Q. Rainfall threshold calculation for debris flow early warning in areas with scarcity of data. Nat. Hazards Earth Syst. Sci. 2018, 18, 1395–1409. [Google Scholar] [CrossRef]
- Guo, X.J.; Peng, C.; Yong, L.I. Debris Flow Warning Threshold Based on Antecedent Rainfall: A Case Study in Jiangjia Ravine, Yunnan, China. J. Mt. Sci. 2013, 10, 305–314. [Google Scholar] [CrossRef]
- Zhou, W.; Tang, C. Rainfall thresholds for debris flow initiation in the Wenchuan earthquake-stricken area, southwestern China. Landslides 2014, 11, 877–887. [Google Scholar] [CrossRef]
- Wei, Z.; Shang, Y.; Zhao, Y.; Pan, P.; Jiang, Y. Rainfall threshold for initiation of channelized debris flows in a small catchment based on in-site measurement. Eng. Geol. 2016, 217, 23–34. [Google Scholar] [CrossRef]
- Segoni, S.; Piciullo, L.; Gariano, S.L. A review of the recent literature on rainfall thresholds for landslide occurrence. Landslides 2018, 15, 1483–1501. [Google Scholar] [CrossRef]
- Segoni, S.; Lagomarsino, D.; Fanti, R.; Moretti, S.; Casagli, N. Integration of rainfall thresholds and susceptibility maps in the Emilia Romagna (Italy) regional-scale landslide warning system. Landslides 2014, 12, 773–785. [Google Scholar] [CrossRef]
- Zhou, J.; Du, Q.; Li, C. Model test of rainfall intensity influence on debris flow starting. J. Nat. Disasters 2016, 25. [Google Scholar] [CrossRef]
- Gartner, J.E.; Cannon, S.H.; Santi, P.M.; Dewolfe, V.G. Empirical models to predict the volumes of debris flows generated by recently burned basins in the western U.S. Geomorphology 2008, 96, 339–354. [Google Scholar] [CrossRef]
- Hu, W.; Xu, Q.; Wang, G.H.; van Asch, T.W.J.; Hicher, P.Y. Sensitivity of the initiation of debris flow to initial soil moisture. Landslides 2014, 12, 1139–1145. [Google Scholar] [CrossRef]
- Zhang, S.; Zhang, L.M. Impact of the 2008 Wenchuan earthquake in China on subsequent long-term debris flow activities in the epicentral area. Geomorphology 2017, 276, 86–103. [Google Scholar] [CrossRef]
- Cannon, S.H.; Gartner, J.E.; Wilson, R.C.; Bowers, J.C.; Laber, J.L. Storm rainfall conditions for floods and debris flows from recently burned areas in southwestern Colorado and southern California. Geomorphology 2008, 96, 250–269. [Google Scholar] [CrossRef]
- Baum, R.L.; Godt, J.W. Early warning of rainfall-induced shallow landslides and debris flows in the USA. Landslides 2010, 7, 387. [Google Scholar] [CrossRef]
- Huang, S.C.; Bo-Tsung. Non-structural mitigation programs for sediment-related disasters after the Chichi Earthquake in Taiwan. J. Mt. Sci. 2010, 7, 291–300. [Google Scholar]
- Winter, M.G.; Dent, J.; Macgregor, F.; Dempsey, P.; Motion, A.; Shackman, L. Debris flow, rainfall and climate change in Scotland. Q. J. Eng. Geol. Hydrogeol. 2010, 43, 429–446. [Google Scholar] [CrossRef]
- Rosi, A.; Lagomarsino, D.; Rossi, G.; Segoni, S.; Battistini, A.; Casagli, N. Updating EWS rainfall thresholds for the triggering of landslides. Nat. Hazards 2015, 78, 297–308. [Google Scholar] [CrossRef]
- Pan, H.; Huang, J.; Wang, R.; Ou, G. Rainfall threshold calculation method for debris flow pre-warning in data-poor areas. J. Earth Sci. 2013, 24, 854–862. [Google Scholar] [CrossRef]
- Cong, W.; Pan, M.; Li, T.; Ren, Q.; Li, R. Quantitative Analysis of Critical Rainfall-Triggered Debris Flows. Chin. J. Rock Mech. Eng. 2006, 25, 2808–2812. [Google Scholar]
- Takahashi. Mechanical Characteristics of Debris Flow. Hydraul 1978, 1153–1169. [Google Scholar]
- Iverson, R.M.; Lahusen, R.G. Dynamic pore-pressure fluctuations in rapidly shearing granular materials. Science 1989, 246, 796–799. [Google Scholar] [CrossRef] [PubMed]
- Caine, N. The rainfall intensity-duration control of shallow landslides and debris flows. Geogr. Ann. 1980, 62, 23–27. [Google Scholar]
- Wieczorek, G.F. Effect of rainfall intensity and duration on debris flows in central Santa Cruz Mountains, California. Rev. Eng. Geol. 1987, 7, 93–104. [Google Scholar]
- Jibson, R.W.; Schultz, A.P. Debris flows in southern Puerto Rico. Geol. Soc. Am. Spec. Pap. 1989, 236, 29–56. [Google Scholar]
- Hong, Y.; Hiura, H.; Shino, K.; Sassa, K.; Suemine, A.; Fukuoka, H.; Wang, G. The influence of intense rainfall on the activity of large-scale crystalline schist landslides in Shikoku Island, Japan. Landslides 2005, 2, 97–105. [Google Scholar] [CrossRef]
- Dahal, R.K.; Hasegawa, S.; Nonomura, A.; Yamanaka, M.; Masuda, T.; Nishino, K. Failure characteristics of rainfall-induced shallow landslides in granitic terrains of Shikoku Island of Japan. Environ. Geol. 2009, 56, 1295–1310. [Google Scholar] [CrossRef]
- Guzzetti, F.; Peruccacci, S.; Rossi, M.; Stark, C.P. The rainfall intensity–duration control of shallow landslides and debris flows: An update. Landslides 2008, 5, 3–17. [Google Scholar] [CrossRef]
- Berti, M.; Bernard, M.; Gregoretti, C.; Simoni, A. Physical Interpretation of Rainfall Thresholds for Runoff-Generated Debris Flows. J. Geophys. Res. Earth Surf. 2020, 125. [Google Scholar] [CrossRef]
- Saito, H.; Nakayama, D.; Matsuyama, H. Relationship between the initiation of a shallow landslide and rainfall intensity—duration thresholds in Japan - ScienceDirect. Geomorphology 2010, 118, 167–175. [Google Scholar] [CrossRef]
- Shen, S.; Liao, W.; Nie, L.; Xu, Y.; Zhang, M. Debris flow hazard assessment at Dongmatun Village in Laomao mountainous area of Dalian, Northeast China. Arab. J. Geosci. 2018, 11, 648. [Google Scholar] [CrossRef]
- Zhuang, J.Q.; Cui, P.; Ge, Y.G.; Hong, Y. Relationship between rainfall characteristics and total amount of debris flow. J. Beijing For. Univ. 2009, 31, 77–83. [Google Scholar]
- Tian, B.; Wang, Y.Y.; Hong, Y. Weighted Relation Between Antecedent Rainfall and Process Precipitation in Debris Flow Prediction—A Case Study of Jiangjia Gully in Yunnan Province. Bull. Soil Water Conserv. 2008, 28, 71–75. (In Chinese) [Google Scholar]
- Pan, H.-L.; Ou, G.-Q.; Huang, J.-c.; Cao, B. Study of rainfall threshold of debris flow forewarning in data lack areas. Rock Soil Mech. 2012, 33, 2122–2226. (In Chinese) [Google Scholar]
- Yao, L. A research on the calculation of critical rainfall with frequency of debris flow and torrential rain. J. Soil Water Conserv. 1988, 4, 72–78. (In Chinese) [Google Scholar]
- Bruce, J.P.; Clark, R.H. INDEX—Introduction to Hydrometeorology. Introd. Hydrometeorol. 1966, 13, 1–4. [Google Scholar]
- Yingyan, Z.; Peng, C.; Xiaoqing, C. Experiment onmechanism of slope failure of debris flow fan and stability analysis. Chin. J. Rock Mech. Eng. 2005, 24, 3827–3934. [Google Scholar]
- Genuchten, V.; Th, M. A closed-form equation for predicting the hydraulic conductivity of unsaturated soils. Soil Sci. Soc. Am. J. 1980, 44, 892–898. [Google Scholar] [CrossRef]
- Gardner, W.R. Some steady-state solutions of the unsaturated moisture flow equation with application to evaporation from a water table. Soil Sci. 1958, 85, 228–232. [Google Scholar] [CrossRef]
- Fredlund, D.G.; Xing, A. Equations for the soil-water characteristic curve. Can. Geotech. J. 1994, 31, 521–532. [Google Scholar] [CrossRef]
- Benson, C.H.; Chiang, I.; Chalermyanont, T.; Sawangsuriya, A. Estimating van Genuchten Parameters α and n for Clean Sands from Particle Size Distribution Data. In Proceedings of the Geo-Congress, Atlanta, Georgia, 24 February 2014. [Google Scholar] [CrossRef]
- Blight, G.E. Interactions between the atmosphere and the Earth. Geotechnique 1997, 47, 715–766. [Google Scholar]
- Fell, R.; Corominas, J.; Bonnard, C.; Cascini, L.; Leroi, E.; Savage, W.Z. Guidelines for landslide susceptibility, hazard and risk zoning for land use planning. Eng. Geol. 2008, 102, 85–98. [Google Scholar] [CrossRef]
- Cascini, L.; Sorbino, G.; Cuomo, S.; Ferlisi, S. Seasonal effects of rainfall on the shallow pyroclastic deposits of the Campania region (southern Italy). Landslides 2013, 11, 779–792. [Google Scholar] [CrossRef]
- Hillel, D. Environmental Soil Physics: Fundamentals, Applications, and Environmental Considerations; Academic Press: Cambridge, MA, USA, 1998. [Google Scholar]
- Tuller, M.; Or, D.; Dudley, L.M. Adsorption and capillary condensation in porous media: Liquid retention and interfacial configurations in angular pores. Water Resour. Res. 1999, 35, 1949–1964. [Google Scholar] [CrossRef]
- Hedges, L.V. The meta-analysis of response ratios in. Ecology 1999, 80, 1150–1156. [Google Scholar] [CrossRef]
- Qiao, J.; Mingli, L.I.; Yang, Z.; Meng, H.; Jiang, Y. Warning model study of debris flow slope source starting based on experimental method. Adv. Water Sci. 2018. (In Chinese) [Google Scholar] [CrossRef]



















| Main Gully | Catchment Area (km2) | Length (km) | Highest Point (m) | Lowest Point (m) | Average Longitudinal Slope Ratio (‰) |
|---|---|---|---|---|---|
| Dongmatun | 45.87 | 13 | 766 | 102 | 51.07 |
| Matun | 46.8 | 13 | 562.15 | 104 | 33.1 |
| Zhangjiacun | 66.42 | 20 | 743 | 100 | 32.15 |
| Heping | 38.43 | 12.5 | 365 | 173.08 | 14.2 |
| Zhuanshan | 48.81 | 13 | 369.52 | 31.32 | 19.6 |
| Taiyang | 25.3 | 9 | 187 | 61.72 | 14.2 |
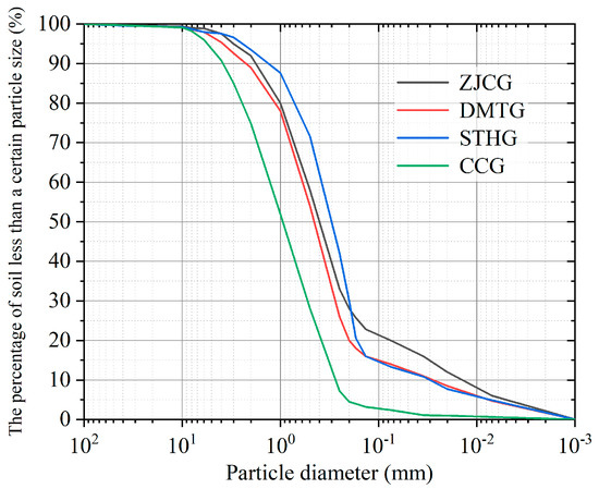
| Name of the Soil Sample | d10 (mm) | d30 (mm) | d50 (mm) | d60 (mm) | Cu | Cc |
|---|---|---|---|---|---|---|
| ZJCG | 0.0158 | 0.227 | 0.4 | 0.545 | 34.494 | 5.984 |
| DMTG | 0.0286 | 0.278 | 0.45 | 0.599 | 20.944 | 4.511 |
| STHG | 0.0675 | 0.362 | 0.61 | 0.768 | 11.378 | 2.528 |
| CCG | 0.275 | 0.425 | 0.95 | 1.475 | 5.364 | 0.445 |
| Rainfall Duration (h) | 1 | 3 | 6 | 12 | 24 | 54 |
|---|---|---|---|---|---|---|
| Accumulated rainfall (mm) | 116.5 | 233 | 395 | 524 | 583.7 | 768.9 |
| Average Rainfall intensity (mm/h) | 116.5 | 77.67 | 65.83 | 43.67 | 24.32 | 14.24 |
| Soil Sample | C (kPa) | ρ (g/cm3) | φ (°) | d10 (mm) | d30 (mm) | d60 (mm) |
|---|---|---|---|---|---|---|
| ZJCG | 13 | 1.65 | 21.2 | 0.0158 | 0.227 | 0.545 |
| DMTG | 11 | 1.78 | 20.3 | 0.0286 | 0.278 | 0.599 |
| STHG | 12 | 1.92 | 19.4 | 0.0675 | 0.362 | 0.768 |
| CCG | 10 | 1.85 | 15.1 | 0.275 | 0.425 | 1.475 |
| Rain Type | Rainfall Return Period | Cvt | Cs/Cvt | Kp | Htp (mm) | Ie (mm/h) | |
|---|---|---|---|---|---|---|---|
| Rainstorm | Ten years | 41.8 | 0.25 | 3.5 | 1.91 | 79.84 | 24.67 |
| Heavy rainstorm | Thirty years | 60.4 | 0.25 | 3.5 | 1.95 | 117.78 | 45.23 |
| Extraordinary rainstorm | Fifty years | 72.8 | 0.25 | 3.5 | 2.09 | 152.15 | 77.65 |
| Rare Extraordinary Rainstorm | A century | 111.9 | 0.25 | 3.5 | 2.42 | 270.80 | 109.15 |
| Soil Sample | Rainfall Intensity (mm/h) | Rainfall Duration (h) | Percentage of Coarse Sand (%) | Moisture Content (%) |
|---|---|---|---|---|
| ZJCG | 109.15 | 0.250 | 0.427 | 32.2 |
| ZJCG | 109.11 | 0.304 | 0.427 | 30.1 |
| ZJCG | 77.65 | 0.700 | 0.427 | 31.2 |
| ZJCG | 70.14 | 0.817 | 0.427 | 30.7 |
| ZJCG | 45.23 | 1.130 | 0.427 | 30.1 |
| ZJCG | 24.67 | 1.383 | 0.427 | 30 |
| DMTG | 109.15 | 0.236 | 0.456 | 32.6 |
| DMTG | 109.11 | 0.263 | 0.456 | 32.2 |
| DMTG | 77.65 | 0.658 | 0.456 | 29.4 |
| DMTG | 70.14 | 0.717 | 0.456 | 31.2 |
| DMTG | 45.23 | 1.017 | 0.456 | 30.4 |
| DMTG | 24.67 | 1.279 | 0.456 | 30.1 |
| STHG | 109.15 | 0.229 | 0.577 | 33.7 |
| STHG | 109.11 | 0.271 | 0.577 | 33.8 |
| STHG | 77.65 | 0.638 | 0.577 | 31.2 |
| STHG | 70.14 | 0.683 | 0.577 | 30.7 |
| STHG | 45.23 | 0.983 | 0.577 | 30.2 |
| STHG | 24.67 | 1.221 | 0.577 | 29.9 |
| CCG | 109.15 | 1.533 | 0.724 | 27.6 |
| Main Gully | Dongmatun | Matun | Zhangjiacun | Heping | Zhuanshan | Taiyang | |
|---|---|---|---|---|---|---|---|
| IPM | P | 0.46 | 0.43 | 0.45 | 0.58 | 0.72 | 0.72 |
| M (%) | 27.50 | 28.75 | 27.50 | 25.00 | 24.75 | 24.75 | |
| I (mm/h) | 84.34 | 82.64 | 84.34 | 84.52 | 85.06 | 85.06 | |
| IPD | P | 0.46 | 0.43 | 0.45 | 0.58 | 0.72 | 0.72 |
| D (h) | 0.66 | 0.70 | 0.66 | 0.61 | 0.46 | 0.50 | |
| I (mm/h) | 82.08 | 80.26 | 82.28 | 80.84 | 85.56 | 82.45 | |
| Main Gully | Dongmatun | Matun | Zhangjiacun | Heping | Zhuanshan | Taiyang |
|---|---|---|---|---|---|---|
| C (kPa) | 12 | 13 | 12 | 11 | 10 | 10 |
| ρ (g/cm3) | 1.65 | 1.78 | 1.92 | 1.87 | 1.78 | 1.85 |
| ρw (g/cm3) | 1 | 1 | 1 | 1 | 1 | 1 |
| θ (°) | 10 | 9 | 8 | 9 | 7 | 6 |
| φ (°) | 21.2 | 20.3 | 16.8 | 15.7 | 15.1 | 19.4 |
| h (m) | 2.1 | 1.8 | 1.2 | 1.4 | 0.6 | 1.1 |
| h0 (m) | 5.1 | 5.5 | 5.3 | 5.2 | 4.4 | 4.3 |
| B (m) | 22 | 35 | 32 | 31 | 29 | 20 |
| V (m/s) | 3.98 | 3.28 | 3.24 | 2.23 | 2.7 | 2.23 |
| Q (m3/s) | 446.2 | 627.1 | 552.3 | 358.5 | 343.9 | 193.6 |
| F (km2) | 19.2 | 28.2 | 22 | 15.8 | 13.1 | 7.5 |
| R (mm) | 83.7 | 80.1 | 90.4 | 81.7 | 94.5 | 92.9 |
| I60 + Pa (mm) | 163.7 | 160.1 | 170.4 | 161.7 | 174.5 | 172.9 |
| I60 (mm) | 83.7 | 80.1 | 90.4 | 81.7 | 94.5 | 92.9 |
| Main Gully | Dongmatun | Matun | Zhangjiacun | Heping | Zhuanshan | Taiyang | ||
|---|---|---|---|---|---|---|---|---|
| ID model PCR (mm) | 22.56 | 22.56 | 22.56 | 22.56 | 22.56 | 22.56 | ||
| 1981 | AMR(mm) | 116.5 | 116.5 | 116.5 | 116.5 | 116.5 | 116.5 | |
| PCR(mm) | IPM | 84.34 | 82.64 | 84.34 | 84.52 | 85.06 | 85.06 | |
| IPD | 82.08 | 80.26 | 82.28 | 80.84 | 85.56 | 82.45 | ||
| HIMM | 83.7 | 80.1 | 90.4 | 81.7 | 94.5 | 92.9 | ||
| Triggered(Y/N) | Y | Y | Y | Y | Y | Y | ||
| 2001 | AMR(mm) | 52.2 | 52.2 | 52.2 | 52.2 | 52.2 | 52.2 | |
| PCR(mm) | IPM | 84.34 | 82.64 | 84.34 | 84.52 | 85.06 | 85.06 | |
| IPD | 82.08 | 80.26 | 82.28 | 80.84 | 85.56 | 82.45 | ||
| HIMM | 83.7 | 80.1 | 90.4 | 81.7 | 94.5 | 92.9 | ||
| Triggered(Y/N) | N | N | N | N | N | N | ||
| 2003 | AMR(mm) | 62 | 62 | 62 | 62 | 62 | 62 | |
| PCR(mm) | IPM | 84.34 | 82.64 | 84.34 | 84.52 | 85.06 | 85.06 | |
| IPD | 82.08 | 80.26 | 82.28 | 80.84 | 85.56 | 82.45 | ||
| HIMM | 83.7 | 80.1 | 90.4 | 81.7 | 94.5 | 92.9 | ||
| Triggered(Y/N) | N | N | N | N | N | N | ||
| 2010 | AMR(mm) | 55.4 | 55.4 | 55.4 | 55.4 | 55.4 | 55.4 | |
| PCR(mm) | IPM | 84.34 | 82.64 | 84.34 | 84.52 | 85.06 | 85.06 | |
| IPD | 82.08 | 80.26 | 82.28 | 80.84 | 85.56 | 82.45 | ||
| HIMM | 83.7 | 80.1 | 90.4 | 81.7 | 94.5 | 92.9 | ||
| Triggered(Y/N) | N | N | N | N | N | N | ||
| 2013 | AMR(mm) | 75.1 | 75.1 | 75.1 | 75.1 | 75.1 | 75.1 | |
| PCR(mm) | IPM | 84.34 | 82.64 | 84.34 | 84.52 | 85.06 | 85.06 | |
| IPD | 82.08 | 80.26 | 82.28 | 80.84 | 85.56 | 82.45 | ||
| HIMM | 83.7 | 80.1 | 90.4 | 81.7 | 94.5 | 92.9 | ||
| Triggered(Y/N) | N | N | N | N | N | N | ||
Publisher’s Note: MDPI stays neutral with regard to jurisdictional claims in published maps and institutional affiliations. |
© 2021 by the authors. Licensee MDPI, Basel, Switzerland. This article is an open access article distributed under the terms and conditions of the Creative Commons Attribution (CC BY) license (https://creativecommons.org/licenses/by/4.0/).
Share and Cite
Wang, Y.; Nie, L.; Liu, C.; Zhang, M.; Xu, Y.; Teng, Y.; Bao, C.; He, Y.; Kong, F.; Rui, X.; et al. Rainfall Warning Model for Rainfall-Triggered Channelized Debris Flow Based on Physical Model Test—A Case Study of Laomao Mountain Debris Flow in Dalian City. Water 2021, 13, 1083. https://doi.org/10.3390/w13081083
Wang Y, Nie L, Liu C, Zhang M, Xu Y, Teng Y, Bao C, He Y, Kong F, Rui X, et al. Rainfall Warning Model for Rainfall-Triggered Channelized Debris Flow Based on Physical Model Test—A Case Study of Laomao Mountain Debris Flow in Dalian City. Water. 2021; 13(8):1083. https://doi.org/10.3390/w13081083
Chicago/Turabian StyleWang, Yuzheng, Lei Nie, Chang Liu, Min Zhang, Yan Xu, Yuhang Teng, Chonghao Bao, Yuanyuan He, Fansheng Kong, Xiangjian Rui, and et al. 2021. "Rainfall Warning Model for Rainfall-Triggered Channelized Debris Flow Based on Physical Model Test—A Case Study of Laomao Mountain Debris Flow in Dalian City" Water 13, no. 8: 1083. https://doi.org/10.3390/w13081083
APA StyleWang, Y., Nie, L., Liu, C., Zhang, M., Xu, Y., Teng, Y., Bao, C., He, Y., Kong, F., Rui, X., Zhang, T., Du, C., Jin, L., & Li, Z. (2021). Rainfall Warning Model for Rainfall-Triggered Channelized Debris Flow Based on Physical Model Test—A Case Study of Laomao Mountain Debris Flow in Dalian City. Water, 13(8), 1083. https://doi.org/10.3390/w13081083
