Effectivity and Efficiency of Best Management Practices Based on a Survey and SWAPP Model of the Xiangxi River Basin
Abstract
1. Introduction
2. Materials and Methods
2.1. Study Area
2.2. Questionnaire Survey
2.3. SWAPP Model
2.4. Data Collection and Model Setup
3. Results and Discussion
3.1. Characteristics of Respondents
3.2. Factors Influencing Farmers’ Awareness of ANPS Pollution
3.3. Environmental Benefits and Economic Analysis of BMPs
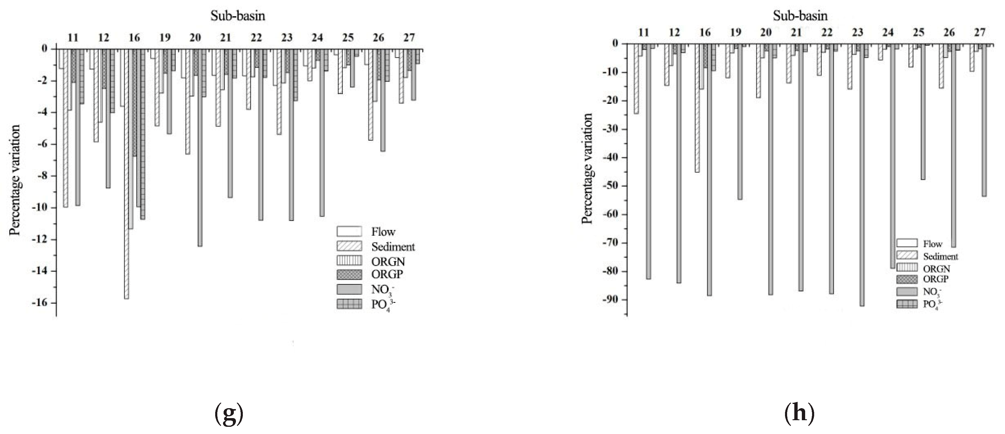
3.4. Effectivity and Efficiency of BMPs
4. Conclusions
Author Contributions
Funding
Institutional Review Board Statement
Informed Consent Statement
Data Availability Statement
Acknowledgments
Conflicts of Interest
References
- Edwards, A.C.; Withers, P.J.A. Transport and delivery of suspended solids, nitrogen and phosphorus from various sources to freshwaters in the UK. J. Hydrol. 2008, 350, 144–153. [Google Scholar] [CrossRef]
- Liu, R.; Dong, G.; Xu, F.; Wang, X.; He, M. Spatial-temporal characteristics of phosphorus in non-point source pollution with grid-based export coefficient model and geographical information system. Water Sci. Technol. 2015, 71, 1709–1717. [Google Scholar] [CrossRef] [PubMed]
- Xu, F.; Dong, G.; Wang, Q.; Liu, L.; Yu, W.; Men, C.; Liu, R. Impacts of DEM uncertainties on critical source areas identification for non-point source pollution control based on SWAT model. J. Hydrol. 2016, 540, 355–367. [Google Scholar] [CrossRef]
- Kong, Y.; Zhu, L.; Lv, M.; Xu, X.; Qi, H. Research advances in water environment remediation and wastewater treatment based on three dimensional fluorescence spectroscopy technology. Ecol. Environ. Sci. 2012, 7, 1647–1654. [Google Scholar]
- Kourakos, G.; Harter, T. Parallel simulation of groundwater non-point source pollution using algebraic multigrid preconditioners. Comput. Geosci. 2014, 18, 851–867. [Google Scholar] [CrossRef]
- Liu, R.; Xu, F.; Liu, Y.; Wang, J.; Yu, W. Spatio-temporal characteristics of livestock and their effects on pollution in China based on geographic information system. Environ. Sci. Pollut. Res. 2016, 23, 14183–14195. [Google Scholar] [CrossRef]
- Liu, R.; Zhang, P.; Wang, X.; Wang, J.; Yu, W.; Shen, Z. Cost-effectiveness and cost-benefit analysis of BMPs in controlling agricultural nonpoint source pollution in China based on the SWAT model. Environ. Monit. Assess. 2014, 186, 9011–9022. [Google Scholar] [CrossRef]
- Li, W.; Cheng, X.; Zheng, Y.; Lai, C.; Sample, D.J.; Zhu, D.; Wang, Z. Response of non-point source pollution to landscape pattern: Case study in mountain-rural region, China. Environ. Sci. Pollut. Res. 2021, 28, 16602–16615. [Google Scholar] [CrossRef]
- Liu, R.; Zhang, P.; Wang, X.; Chen, Y.; Shen, Z. Assessment of effects of best management practices on agricultural non-point source pollution in Xiangxi River watershed. Agric. Water Manag. 2013, 117, 9–18. [Google Scholar] [CrossRef]
- Lam, Q.; Schmalz, B.; Fohrer, N. Modelling point and diffuse source pollution of nitrate in a rural lowland catchment using the SWAT model. Agric. Water Manag. 2010, 97, 317–325. [Google Scholar] [CrossRef]
- Ongley, E.D.; Zhang, X.; Yu, T. Current status of agricultural and rural non-point source Pollution assessment in China. Environ. Pollut. 2010, 158, 1159–1168. [Google Scholar] [CrossRef]
- Ma, X.; Li, Y.; Li, B.; Han, W.; Liu, D.; Liu, X. Evaluation of nitrogen and phosphorus loads from agricultural nonpoint source in relation to water quality in Three Gorges Reservoir Area, China. Desalin. Water Treat. 2015, 57, 1–18. [Google Scholar] [CrossRef]
- Liu, C.; Qian, W.; Zheng, B.; Yu, J.; Liu, Y. Spatial distribution of livestock & poultry farming and its pollutants in Poyang Lake watershed. In Proceedings of the 2011 International Conference on Electrical and Control Engineering, Institute of Electrical and Electronics Engineers (IEEE), Yichang, China, 16–18 September 2011; pp. 5455–5458. [Google Scholar]
- Sun, C.; Wu, H. Assessment of pollution from livestock and poultry breeding in China. Int. J. Environ. Stud. 2013, 70, 232–240. [Google Scholar] [CrossRef]
- Zhu, L.A.; Wang, J.Z.; Yao, Y. Non-point Sources Pollution from Livestock and Poultry and Ecological Control. Bull. Soil Water Conserv. 2005, 40–43. [Google Scholar]
- Wu, L.; Long, T.-Y.; Liu, X.; Guo, J.-S. Impacts of climate and land-use changes on the migration of non-point source nitrogen and phosphorus during rainfall-runoff in the Jialing River Watershed, China. J. Hydrol. 2012, 475, 26–41. [Google Scholar] [CrossRef]
- Grosso, G.; Estruch, R. Nut consumption and age-related disease. Maturitas 2016, 84, 11–16. [Google Scholar] [CrossRef]
- Capelli, L.; Sironi, S.; Del Rosso, R.; Guillot, J.-M. Measuring odours in the environment vs. dispersion modelling: A review. Atmos. Environ. 2013, 79, 731–743. [Google Scholar] [CrossRef]
- Lentz, R.D.; Lehrsch, G.A. Mineral Fertilizer and Manure Effects on Leached Inorganic Nitrogen, Nitrate Isotopic Composition, Phosphorus, and Dissolved Organic Carbon under Furrow Irrigation. J. Environ. Qual. 2018, 47, 287–296. [Google Scholar] [CrossRef]
- Wang, J.; Wang, D.; Zhang, G.; Wang, Y.; Wang, C.; Teng, Y.; Christie, P. Nitrogen and phosphorus leaching losses from intensively managed paddy fields with straw retention. Agric. Water Manag. 2014, 141, 66–73. [Google Scholar] [CrossRef]
- Wing, S.; Horton, R.A.; Marshall, S.W.; Thu, K.; Tajik, M.; Schinasi, L.; Schiffman, S.S. Air Pollution and Odor in Communities Near Industrial Swine Operations. Environ. Health Perspect. 2008, 116, 1362–1368. [Google Scholar] [CrossRef]
- Lee, S.C.; Park, I.H.; Lee, J.I.; Kim, H.M.; Ha, S.R. Application of SWMM for evaluating NPS reduction performance of BMPs. Desalin. Water Treat. 2010, 19, 173–183. [Google Scholar] [CrossRef]
- Qiu, J.; Shen, Z.; Chen, L.; Xie, H.; Sun, C.; Huang, Q. The Stakeholder Preference for Best Management Practices in the Three Gorges Reservoir Region. Environ. Manag. 2014, 54, 1163–1174. [Google Scholar] [CrossRef]
- Ma, B.; Guan, R.; Liu, L.; Huang, Z.; Qi, S.; Xi, Z.; Zhao, Y.; Song, S.; Yang, H. Nitrogen Loss in Vegetable Field under the Simulated Rainfall Experiments in Hebei, China. Water 2021, 13, 552. [Google Scholar] [CrossRef]
- Yang, Q.; Benoy, G.A.; Chow, T.L.; Daigle, J.L.; Bourque, C.P.A.; Meng, F.R. Using the Soil and Water Assessment Tool to Estimate Achievable Water Quality Targets through Implementation of Beneficial Management Practices in an Agricultural Watershed. J. Environ. Qual. 2012, 41, 64. [Google Scholar] [CrossRef] [PubMed]
- Ashworth, A.J.; Moore, P.A.; Pote, D.H.; Owens, P.R.; Martin, J.W.; Anderson, K.R. Conservation management practices reduce non-point source pollution from grazed pastures. Heliyon 2021, 7, e06238. [Google Scholar] [CrossRef] [PubMed]
- Zhong, H.; Qing, P.; Hu, W. Farmers’ willingness to participate in best management practices in Kentucky. J. Environ. Plan. Manag. 2015, 59, 1–25. [Google Scholar] [CrossRef]
- Palm-Forster, L.; Swinton, S.; Shupp, R. Farmer preferences for conservation incentives that promote voluntary phosphorus abatement in agricultural watersheds. J. Soil Water Conserv. 2017, 72, 493–505. [Google Scholar] [CrossRef]
- Panagopoulos, Y.; Makropoulos, C.; Mimikou, M. Reducing surface water pollution through the assessment of the cost-effectiveness of BMPs at different spatial scales. J. Environ. Manag. 2011, 92, 2823–2835. [Google Scholar] [CrossRef]
- Rousseau, A.N.; Savary, S.; Hallema, D.W.; Gumiere, S.J.; Foulon, É. Modeling the effects of agricultural BMPs on sediments, nutrients, and water quality of the Beaurivage River watershed (Quebec, Canada). Can. Water Resour. J. Rev. Can. des Ressources Hydriques 2013, 38, 99–120. [Google Scholar] [CrossRef]
- Gassman, P.W.; Osei, E.; Saleh, A.; Hauck, L.M. Application of an Environmental and Economic Modeling System for Watershed Assessments. JAWRA J. Am. Water Resour. Assoc. 2002, 38, 423–438. [Google Scholar] [CrossRef]
- Saleh, A.; Osei, E.; Gassman, P.W.; Hauck, L.M. Application of the Comprehensive Economic and Environmental Optimization Tool (CEEOT) for Evaluating BMPs. Proc. Water Environ. Fed. 2005, 2005, 344–374. [Google Scholar] [CrossRef]
- Gassman, P.; Osei, E.; Saleh, A.; Rodecap, J.; Norvell, S.; Williams, J. Alternative practices for sediment and nutrient loss control on livestock farms in northeast Iowa. Agric. Ecosyst. Environ. 2006, 117, 135–144. [Google Scholar] [CrossRef]
- Osei, E.; Gassman, P.W.; Hauck, L.M.; Jones, R.; Beran, L.; Dyke, P.T.; Goss, D.W.; Flowers, J.D.; McFarland, A.M.S.; Saleh, A. Environmental benefits and economic costs of manure incorporation on dairy waste application fields. J. Environ. Manag. 2003, 68, 1–11. [Google Scholar] [CrossRef]
- Osei, E.; Du, B.; Bekele, A.; Hauck, L.; Saleh, A.; Tanter, A. Impacts of Alternative Manure Application Rates on Texas Animal Feeding Operations: A Macro Level Analysis. JAWRA J. Am. Water Resour. Assoc. 2008, 44, 562–576. [Google Scholar] [CrossRef]
- Keplinger, K. The Economics of Total Maximum Daily Loads; Social Science Electronic Publishing: Rochester, NY, USA, 2003; Volume 43, pp. 1057–1091. [Google Scholar]
- Wang, J.; Xia, Y.; Cheng, Q.X.; Fan, X.P.; Wu, M.Q.; Zhang, F.L.; Liu, D.B.; Zhang, J.M. Situation of Agricultural Non-point Source Pollution of the Xiangxi Brook Watershed in Xingshan County. Hubei Agric. Sci. 2014, 53, 5724–5730. [Google Scholar]
- Cai, J.Z.; Fan, X.P.; Huang, M.; Liu, D.B.; Gan, X.Z.; Wang, L.N. Sources Analysis of Agricultural Non-point Source Pollution in the Three Gorges Reservoir Area of Hubei Province, China. J. Agro-Environ. Sci. 2012, 31, 1421–1430. [Google Scholar]
- Liu, R.; Wang, Q.; Xu, F.; Men, C.; Guo, L. Impacts of manure application on SWAT model outputs in the Xiangxi River watershed. J. Hydrol. 2017, 555, 479–488. [Google Scholar] [CrossRef]
- Wang, Y.; Jiang, R.; Xie, J.; Zhao, Y.; Yan, D.; Yang, S. Soil and Water Assessment Tool (SWAT) Model: A Systemic Review. J. Coast. Res. 2019, 93, 22–30. [Google Scholar] [CrossRef]
- Srinivasan, R.; Arnold, J.G.; Jones, C.A. Hydrologic Modelling of the United States with the Soil and Water Assessment Tool. Int. J. Water Resour. Dev. 1998, 14, 315–325. [Google Scholar] [CrossRef]
- Chen, M.; Cui, Y.; Gassman, P.; Srinivasan, R. Effect of Watershed Delineation and Climate Datasets Density on Runoff Predictions for the Upper Mississippi River Basin Using SWAT within HAWQS. Water 2021, 13, 422. [Google Scholar] [CrossRef]
- Steglich, E.; Williams, J. Agricultural Policy/Environmental eXtender Model. In User’s Manual; BRC Report No. 2008-16; Texas A&M Blackland Research Center: Temple, TX, USA, 2008. [Google Scholar]
- Gassman, P.W.; Williams, J.R.; Wang, X.; Saleh, A.; Osei, E.; Hauck, L.M.; Izaurralde, R.C.; Flowers, J.D. Invited Review Article: The Agricultural Policy/Environmental eXtender (APEX) Model: An Emerging Tool for Landscape and Watershed Environmental Analyses. Trans. ASABE 2010, 53, 711–740. [Google Scholar] [CrossRef]
- Tuppad, P.; Winchell, M.F.; Wang, X.; Srinivasan, R.; Williams, J.R. ArcAPEX: ArcGIS interface for Agricultural Policy Environmental eXtender (APEX) hydrology/water quality model. Int. Agric. Eng. J. 2009, 18, 59–71. [Google Scholar]
- Zhao, J.; Chu, Q.; Shang, M.; Meki, M.N.; Norelli, N.; Jiang, Y.; Yang, Y.; Zang, H.; Zeng, Z.; Jeong, J. Agricultural Policy Environmental eXtender (APEX) Simulation of Spring Peanut Management in the North China Plain. Agronomy 2019, 9, 443. [Google Scholar] [CrossRef]
- Bolan, N.; Adriano, D.; Mahimairaja, S. Distribution and Bioavailability of Trace Elements in Livestock and Poultry Manure By-Products. Crit. Rev. Environ. Sci. Technol. 2004, 34, 291–338. [Google Scholar] [CrossRef]
- Kovacic, D.A.; David, M.B.; Gentry, L.E.; Starks, K.M.; Cooke, R.A. Effectiveness of Constructed Wetlands in Reducing Nitrogen and Phosphorus Export from Agricultural Tile Drainage. J. Environ. Qual. 2000, 29, 1262–1274. [Google Scholar] [CrossRef]
- Gregg, M.A.; Crawford, J.A.; Drut, M.S.; Delong, A.K. Vegetational Cover and Predation of Sage Grouse Nests in Oregon. J. Wildl. Manag. 1994, 58, 162. [Google Scholar] [CrossRef]
- Brouwer, R.; Schaafsma, M. Modelling risk adaptation and mitigation behaviour under different climate change scenarios. Clim Change 2013, 117, 11–29. [Google Scholar] [CrossRef]
- Lee, K.; Kim, H.; Pak, G.; Jang, S.; Kim, L.; Yoo, C.; Yun, Z.; Yoon, J. Cost-effectiveness analysis of stormwater best management practices (BMPs) in urban watersheds. Desalination Water Treat. 2010, 19, 92–96. [Google Scholar] [CrossRef]
- Behera, P.K.; Teegavarapu, R.S.V. Optimization of a Stormwater Quality Management Pond System. Water Resour. Manag. 2014, 29, 1083–1095. [Google Scholar] [CrossRef]
- Heatwole, C.D.; Bottcher, A.B.; Baldwin, L.B. Modeling Cost-effectiveness of Agricultural Nonpoint Pollution Abatement Programs on Two Florida Basins. JAWRA J. Am. Water Resour. Assoc. 1987, 23, 127–131. [Google Scholar] [CrossRef]
- Geng, R.; Wang, X.; Sharpley, A.N.; Meng, F. Spatially-Distributed Cost–Effectiveness Analysis Framework to Control Phosphorus from Agricultural Diffuse Pollution. PLoS ONE 2015, 10, e0130607. [Google Scholar] [CrossRef] [PubMed]
- Liu, J.; Liu, Q.; Zhao, C. Service Based Design Solutions—A Case of Migrant Workers’ Affective Links with Their Families in Rural Areas of China. In Cross-Cultural Design. Methods, Practice, and Case Studies. CCD 2013. Lecture Notes in Computer Science; Rau, P.L.P., Ed.; Springer: Berlin/Heidelberg, Germany, 2013; Volume 8023. [Google Scholar] [CrossRef]
- Zhou, Q.; Zeng, Z.; Nie, Z. Investigation on Women Staying at Home in Rural Areas—An Investigation from Chongqing Municipality. J. China Womens Univ. 2007, 63–66. [Google Scholar]
- Li, F.; Cheng, S.; Yu, H.; Yang, D. Waste from livestock and poultry breeding and its potential assessment of biogas energy in rural China. J. Clean. Prod. 2016, 126, 451–460. [Google Scholar] [CrossRef]
- AbdulHameed, M.F.; Habib, I.; Al-Azizz, S.A.; Robertson, I. Knowledge, Awareness and Practices Regarding Cystic Echinococcosis among Livestock Farmers in Basrah Province, Iraq. Vet. Sci. 2018, 5, 17. [Google Scholar] [CrossRef] [PubMed]
- Conner, D.; Miller, J.; Zia, A.; Wang, Q.; Darby, H. Conjoint Analysis of Farmers’ Response to Conservation Incentives. Sustainability 2016, 8, 684. [Google Scholar] [CrossRef]
- Thompson, A.W.; Reimer, A.; Prokopy, L.S. Farmers’ views of the environment: The influence of competing attitude frames on landscape conservation efforts. Agric. Hum. Values 2014, 32, 385–399. [Google Scholar] [CrossRef]
- Chughtai, F.; Zayed, T. Infrastructure condition prediction models for sustainable sewer pipelines. J. Perform. Constr. Facil. 2008, 22, 333–341. [Google Scholar] [CrossRef]
- Tian, Y.; Huang, Z.; Xiao, W. Reductions in non-point source pollution through different management practices for an agricultural watershed in the Three Gorges Reservoir Area. J. Environ. Sci. 2010, 22, 184–191. [Google Scholar] [CrossRef]
- Niu, L.-A.; Hao, J.-M.; Zhang, B.-Z.; Niu, X.-S. Influences of Long-Term Fertilizer and Tillage Management on Soil Fertility of the North China Plain. Pedosphere 2011, 21, 813–820. [Google Scholar] [CrossRef]
- Wright, M.J.; Davison, K.L. Nitrate Accumulation in Crops and Nitrate Poisoning in Animals. Adv. Agron. 1964, 16, 197–247. [Google Scholar] [CrossRef]
- Raja, S.; Cheema, H.M.N.; Babar, S.; Khan, A.A.; Murtaza, G.; Aslam, U. Socio-economic background of wastewater irrigation and bioaccumulation of heavy metals in crops and vegetables. Agric. Water Manag. 2015, 158, 26–34. [Google Scholar] [CrossRef]
- Liu, Y.D.; Xu, J.X.; Lu, J.H.; Zhao, P. Non-Point Source Nitrogen and Phosphorus Pollution Simulation and Irrigation Mode Optimization of the North Canal Basin. Water Sav. Irrig. 2011, 49, 479–486. [Google Scholar]
- Arabi, M.; Govindaraju, R.S.; Hantush, M.M. Cost-effective allocation of watershed management practices using a genetic algorithm. Water Resour. Res. 2006, 42, 2405–2411. [Google Scholar] [CrossRef]
- Qiu, J.; Shen, Z.; Huang, M.; Zhang, X. Exploring effective best management practices in the Miyun reservoir watershed, China. Ecol. Eng. 2018, 123, 30–42. [Google Scholar] [CrossRef]
- Zhang, X.; Srinivasan, R.; Debele, B.; Hao, F. Runoff simulation of the headwaters of the Yellow River using the SWAT model with three snowmelt algorithms. J. Am. Water Resour. Assoc. 2008, 44, 48–61. [Google Scholar] [CrossRef]
- Nepal, S.; Flügel, W.A.; Shrestha, A.B. Upstream-downstream linkages of hydrological processes in the Himalayan region. Ecol. Process. 2014, 3, 19. [Google Scholar] [CrossRef]
- Vigiak, O.; Newham, L.; Whitford, J.; Roberts, A.; Rattray, D.; Melland, A. Integrating farming systems and landscape processes to assess management impacts on suspended sediment loads. Environ. Model. Softw. 2011, 26, 144–162. [Google Scholar] [CrossRef]
- Mohiuddin, K.M.; Otomo, K.; Ogawa, Y.; Shikazono, N. Seasonal and spatial distribution of trace elements in the water and sediments of the Tsurumi River in Japan. Environ. Monit. Assess. 2012, 184, 265–279. [Google Scholar] [CrossRef]
- Desai, A.; Minton, C.; Coyne, K. Coordinated Stakeholder Implementation of Multiple TMDLs in Ventura County, California. Proc. Water Environ. Fed. 2009, 2009, 499–519. [Google Scholar] [CrossRef]
- Hassanzadeh, E.; Strickert, G.; Morales-Marin, L.; Noble, B.; Baulch, H.; Shupena-Soulodre, E.; Lindenschmidt, K.-E. A framework for engaging stakeholders in water quality modeling and management: Application to the Qu’Appelle River Basin, Canada. J. Environ. Manag. 2019, 231, 1117–1126. [Google Scholar] [CrossRef]
- Ansah, Y.B.; Frimpong, E.A. Impact of the adoption of BMPs on social welfare: A case study of commercial floating feeds for pond culture of tilapia in Ghana. Cogent Food Agric. 2015, 1, 1. [Google Scholar] [CrossRef]
- An, N.; Fan, M.; Zhang, F.; Christie, P.; Yang, J.; Huang, J.; Guo, S.; Shi, X.; Tang, Q.; Peng, J.; et al. Exploiting Co-Benefits of Increased Rice Production and Reduced Greenhouse Gas Emission through Optimized Crop and Soil Management. PLoS ONE 2015, 10, e0140023. [Google Scholar] [CrossRef]
- Carolan, M.S. Barriers to the Adoption of Sustainable Agriculture on Rented Land: An Examination of Contesting Social Fields*. Rural. Sociol. 2005, 70, 387–413. [Google Scholar] [CrossRef]
- Qi, Z.D.; Kang, G.L.; Wu, X.J.; Sun, Y.T.; Wang, Y.Q. Multi-Objective Optimization for Selecting and Siting the Cost-Effective BMPs by Coupling Revised GWLF Model and NSGAII Algorithm. Water 2020, 12, 235. [Google Scholar] [CrossRef]
- Geng, R.Z.; Sharpley, A.N. A novel spatial optimization model for achieve the trad-offs placement of best management practices for agricultural non-point source pollution control at multi-spatial scales. J. Clean. Prod. 2019, 234, 1023–1032. [Google Scholar] [CrossRef]
- Rabotyagov, S.S.; Jha, M.; Campbell, T.D. Nonpoint-Source Pollution Reduction for an Iowa Watershed: An Application of Evolutionary Algorithms. Can. J. Agric. Econ. Can. d’Agroeconomie 2010, 58, 411–431. [Google Scholar] [CrossRef]
- Du, Y.; Wang, X.; Zhang, L.; Feger, K.-H.; Popp, J.; Sharpley, A. Multi-stakeholders’ preference for best management practices based on environmental awareness. J. Clean. Prod. 2019, 236, 236. [Google Scholar] [CrossRef]






| Variables | Description | Mean Value | Standard Deviation |
|---|---|---|---|
| dependent variable | |||
| farmers cognition | have recognized (=1); have not recognized (=0) | 0.58 | 0.497 |
| independent variables | |||
| Sex | male (=1); female (=2) | 1.77 | 0.425 |
| Age | 24~83 | 52.18 | 12.463 |
| education | Uneducated (=1); primary school (=2); middle school (=3); high school (=4); College degree or above (=5) | 2.58 | 1.112 |
| work | Farmer (=1); worker (=2); self–employed (=3); others (=4) | 1.98 | 1.18 |
| environmental satisfaction | rather dissatisfied (=1); dissatisfied (=2); normal (=3); satisfied (=4); Rather satisfied (=5) | 3.31 | 0.843 |
| Scenarios | Specific Measures | |
|---|---|---|
| FB | Select vegetation type, planting width and removal rate | |
| LL | Set the slope reduction percentage | |
| BP–NDI | Lay straws and pipeline | Set bedding and pipe width |
| BP–DER | Set bedding, pipe width and reservoir area | |
| BP–TWI | Set bedding, pipe width and reservoir area; add automatic irrigation | |
| BP–TSD | Set bedding and pipe width | |
| Permanent dikes | No special setting | |
| Ponds | Set the ratio affected by the pond | |
| Variable | Options of Variable | Percentage (%) |
|---|---|---|
| Sex | male | 23 |
| female | 77 | |
| Age | below 30 | 6 |
| 31–50 | 38 | |
| 51–70 | 52 | |
| over 70 | 4 | |
| Profession | worker | 6 |
| farmer | 56 | |
| Self–employed | 24 | |
| others | 14 | |
| Education | no education | 17 |
| primary school | 37 | |
| middle school | 23 | |
| high school | 19 | |
| college degree or more | 4 |
| B | S.E. | Wals | df | Sig. | Exp(B) | |
|---|---|---|---|---|---|---|
| Education | 0.437 | 0.218 | 4.009 | 1 | 0.045 | 1.549 |
| Satisfaction | –1.245 | 0.353 | 12.454 | 1 | 0.000 | 0.288 |
| Constant | 3.435 | 1.343 | 6.547 | 1 | 0.011 | 31.038 |
| Measures | Construction Cost (Yuan Acre) |
|---|---|
| FT | 607–1214 |
| LL | 1278–2904 |
| BP–DER | 140–370 |
| BP–NDI | 121–387 |
| BP–TWI | 145–465 |
| BP–TSD | 90–290 |
| Permanent dikes | – |
| Ponds | 80–140 |
Publisher’s Note: MDPI stays neutral with regard to jurisdictional claims in published maps and institutional affiliations. |
© 2021 by the authors. Licensee MDPI, Basel, Switzerland. This article is an open access article distributed under the terms and conditions of the Creative Commons Attribution (CC BY) license (https://creativecommons.org/licenses/by/4.0/).
Share and Cite
Liu, R.; Miao, Y.; Wang, Q.; Jiao, L.; Wang, Y.; Li, L.; Cao, L. Effectivity and Efficiency of Best Management Practices Based on a Survey and SWAPP Model of the Xiangxi River Basin. Water 2021, 13, 985. https://doi.org/10.3390/w13070985
Liu R, Miao Y, Wang Q, Jiao L, Wang Y, Li L, Cao L. Effectivity and Efficiency of Best Management Practices Based on a Survey and SWAPP Model of the Xiangxi River Basin. Water. 2021; 13(7):985. https://doi.org/10.3390/w13070985
Chicago/Turabian StyleLiu, Ruimin, Yuexi Miao, Qingrui Wang, Lijun Jiao, Yifan Wang, Lin Li, and Leiping Cao. 2021. "Effectivity and Efficiency of Best Management Practices Based on a Survey and SWAPP Model of the Xiangxi River Basin" Water 13, no. 7: 985. https://doi.org/10.3390/w13070985
APA StyleLiu, R., Miao, Y., Wang, Q., Jiao, L., Wang, Y., Li, L., & Cao, L. (2021). Effectivity and Efficiency of Best Management Practices Based on a Survey and SWAPP Model of the Xiangxi River Basin. Water, 13(7), 985. https://doi.org/10.3390/w13070985

