Abstract
Permanent access to safe drinking water is guaranteed in most industrialized countries, while climate change is turning it into a serious global issue. Knowing how to use the valuable resource water consciously and sustainably requires well-informed and ecologically aware citizens. Environmental education approaches should help develop long-term environmental knowledge, pro-environmental attitudes, and behavior with the overall goal of promoting environmental citizenship. The present study, thus, examines the influence of environmental values on students’ environmental knowledge in a German primary school sample (9–10-year-old students) by providing an authentic, out-of-school learning experience on the topic of fresh water supply. Our approach goes beyond mere correlation analyses by using structural equation modeling (SEM) to measure effects between the two variables. Environmental values were monitored using the Two Major Environmental Values Model (2-MEV) with its two dimensions, Preservation and Utilization of nature. Following a quasi-experimental design, we assessed the learners’ knowledge before (T0), directly after (T1), and six weeks after (T2) module participation. Confirmatory factor analysis verified the two-factor-structure of the 2-MEV. Preservation turned out as a direct positive predictor of pre-knowledge (T0) but did not show any significant effect on post-knowledge (T1) and knowledge retention (T2). Utilization displayed a larger albeit negative direct effect on knowledge across all testing times, especially for pre- and post-knowledge. Our findings shed light on the significant impact of anthropocentric attitudes on knowledge acquisition within primary school samples and provided valuable insights into feasible environmental learning approaches.
1. Introduction
1.1. Water, a Limited Resource
Despite its recognition as a human right, access to clean drinking water remains one of the biggest global challenges [,]. In 2014, “clean water and sanitation for all” has become one of the 17 sustainable development goals of the 2030 Agenda []. Still, resources of drinking water and process water are unequally distributed among the world []. Depending on the location, clean water supply is either a matter of quality or quantity []. Still, over two billion people worldwide lack access to fresh water []—“an amenity those in the developed world take for granted” []—because high-quality drinking water flows out of every faucet, leaving the impression of an infinite availability. For instance, as in other central European countries, Germany’s potable water is tightly controlled regularly []. The tap water quality requirements are subject to strict national guidelines (the German Drinking Water Ordinance []) and must meet EU standards, e.g., []. Even though water supply is not a severe issue in westernized countries so far, challenges in providing clean drinking water will increase []. Rapidly expanding population sizes and progressing urbanization cause a rising water demand that will exceed surface water capacities [], because clean water is also needed at different consumption levels apart from the domestic use: for industrial, agricultural, and energy production and the provision of ecosystem services [].
Additionally, consequences of human impact on the environment, such as climate change and environmental pollution, threaten the water quantity and quality in urban areas []. As experienced in summer 2018 in Europe, climate change results in prolonged droughts with considerable effects on water availability []. Aside from local water shortages and severe yield losses, soil drought leads to a significant threat to water quality due to nitrate input into groundwater []. A further human-induced challenge is the contamination of drinking water with microplastic, but its occurrence in tap water and resulting consequences for consumers still require further detailed examination []. Regardless of its current local availability and quality, drinking water is an essential and not infinitely available resource. Thus, mastering current and future challenges to water supply, both on a national and global level, requires the commitment of well-informed citizens to conscious and responsible water consumption [,].
1.2. The Role of Formal Education in Promoting Water Literacy
In environmental education and education for sustainable development research, education is considered the key to providing learners with the respective environmental-related knowledge and skills needed to develop pro-active and pro-environmental behavior. Surprisingly, the role of education has been identified as unrepresented and under-researched in the discourse on water supply []. Nevertheless, recent studies in the educational sciences stress the critical role of formal education because students are the decision-makers of tomorrow, “and their public and private civic engagement around water will be integral in developing a sustainable future for water resources” []. Education plays a critical role in developing citizen commitment because “what is taught at school helps to shape how adults make sense of water and the decisions they make about water,” and citizens’ ability to act “is based on access to and appropriate application of knowledge” [].
An increasingly used concept that introduced a more holistic view on learning about water is “water literacy” [,]. It is defined as “the culmination of water-related knowledge, attitudes, and behaviors, setting apart its importance and uniqueness from other more commonly used labels such as ecological or environmental literacy” []. Water literacy, thus, goes beyond mere system, content, or scientific knowledge about water, its functions, and ecological role. It includes hydrosocial knowledge, i.e., knowledge on the interrelations between human activities and water supply, as well as competencies required to make informed decisions on water-related, socio-scientific issues [,]. A water-literate individual is, thus, defined as someone who can “ […] effectively reason about the hydrologic concepts that underlie socio-hydrological issues (SHI), but functional water literacy also requires concomitant reasoning about the societal, non-hydrological aspects of SHI” []. In a recent literature review, McCaroll and Hamann [] synthesized 35 studies on student water literacy across the world. They summarized common alternative conceptions, learning difficulties, and knowledge gaps. To be emphasized and of particular importance for the present study are the following frequent findings: (1) the high degree of abstraction and complexity of the water cycle poses considerable challenges for young learners; (2) the invisible components and processes of the water cycle (e.g., groundwater) are an obstacle to learning; (3) students do not know where tap water comes from and how sewage is treated at the local level; (4) students are not aware of the human impact on the natural water cycle (hydrosocial knowledge) and their expertise on water-management strategies is low (functional knowledge).
Similarly, several studies conclude that the adult populous currently also lacks sufficient knowledge of the water cycle, fresh water supply, and the related socio-scientific issues and social discourses [,,]. For example, two studies from the USA and Germany consistently revealed severe misconceptions of undergraduate university students on the natural and urban water cycle [,]. For instance, one of the main findings in the German study [] has been the omission of waterworks within the urban water cycle. This finding revealed the misconception that treated sewage is directly piped to private households. Such a perception of the urban water cycle leads to severe knowledge gaps in the field of fresh water supply. However, to recognize local, national, and international issues on clean drinking water provision and to develop awareness for the responsible use of natural resources, a fundamental understanding of the natural and urban water cycle is needed. Schmid and Bogner [] identified formal education as one of the primary sources of information for the participants’ conceptions on water supply and they, thus, call for appropriate educational measures.
However, recent studies on the representation of fresh water discourse in school textbooks and the curricular standards of different countries reveal a considerable need for action because current scientific research seems not to be implemented in existing pedagogical practice [,,]. For instance, Hussein [] analyzed Jordanian school textbooks. He found a holistic approach to water discourse that strongly emphasizes students’ role in water conservation issues raising awareness for eco-friendly behavior. Nevertheless, the textbook representations have shown to be politically driven, offering “only the solutions that do not conflict with the powerful stakeholders”. In parallel, Ide, Thiel, and Fischhendler [] investigated water conflict discourse in German school textbooks and found an overrepresentation of crisis discourse. The significant drawback herein is that these kinds of fresh water discourses are also political in their motivation and fail to obtain the desired holistic perspective in the sense of promoting water literacy [].
In parallel, investigations on school curricula revealed a major focus on scientific knowledge about water while hydrosocial aspects remain mostly neglected. For instance, in the U.S., most K-12 to K-16 science curricula include system knowledge on the water cycle and share a common focus on the cognitive domain but do not target the promotion of competencies required for decision-making processes [,]. The same holds for Canadian and Australian curricular representations of water supply []. Accordingly, Schmid and Bogner [] attribute the development of alternative conceptions on the water cycle to the occurrence of the topic in German syllabi. In large parts of Germany, the issue of fresh water supply is only mandatory at the primary school level and does not occur in secondary school curricula []. Thus, primary school education plays a significant role in the development of knowledge on water supply.
Against this background and taking the common learning difficulties and alternative conceptions into account, we have developed an out-of-school learning module on the topic of fresh water supply for German primary school students. The evaluation of our learning program was guided by the overarching research question of how environmental values affect learning on water supply. In the following, we will, thus, briefly outline the relevant theoretical background on out-of-school learning and the relationship between environmental values and knowledge.
1.3. The Advantage of Authentic, out-of-School Learning Environments
Outreach, outdoor, non-formal, and informal are frequently used terms to describe various learning activities offered in out-of-school environments, outside the structured, formal classroom setting [,,]. We will use the neutral term out-of-school learning in a broader sense to refer to all educational approaches that involve students (as the target group) in learning activities that take place outside the school ground []. Prominent examples in the context of environmental education approaches are a museum or zoo visit and field trips to a forest or a lake []. There are also various further opportunities for out-of-school learning experiences, such as visits to sewage plants, farms, or other service providers, as well as to research institutions or a student lab.
Leaving the classroom offers various advantages. Generally, learning in out-of-school settings enables learning in authentic contexts and real-life scenarios with real-world experiences []. Students benefit from first-hand experiences, which help them better understand the learning topic []. Learning in such an environment has been shown to foster cognitive learning and motivational abilities, and even behavior [,]. Fančovičová and Prokop [] compared cognitive achievement within an out-of-school program on plants with the performance of a school-based control group. Students in the control group showed lower knowledge scores than the treatment group.
Additionally, participation in the out-of-school experiences increased students’ attitude towards the school subject biology. Taking a similar approach, Seybold et al. [] compared a classroom and an out-of-school learning module in a zoo on the topic of primate preservation. German adolescents participating in the out-of-school program outperformed the in-school group regarding content knowledge achievement and higher interest levels. Within an innovative game-based, environmental education approach, Schneider and Schaal [] observed an increase in connectedness to nature of students participating in Geogames focusing on biodiversity learning. Bogner [] demonstrated that 11–13-year-old students participating in a 5-day educational program in a national park showed a positive development in individual environmental-friendly behavior. Various further study results in environmental learning contexts document the success of out-of-school learning concerning students’ cognitive achievement and individual motivational and skill development and behavioral change, e.g., [,,,].
1.4. The Relationship between Cognitive Achievement and Environmental Values
Environmental education initiatives aim to foster the required knowledge, values, skills, and awareness needed to develop eco-friendly behavior and commitment to nature preservation. In their competence model for environmental education, Roczen et al. [] showed that environmental values and knowledge are related to ecological behavior. Knowledge acquisition and individual manifestations of environmental values are considered important indicators of success for environmental education programs []. Thus, various studies in the context of environmental education have investigated how educational modules affect students’ knowledge and environmental values. Knowledge acquisition has shown to be already achievable through short-term educational approaches, e.g., [,]. In contrast, a change in values usually requires long-term interventions and repeated occupation with the learning topic, e.g., []. In addition to considering the effects of learning programs on knowledge acquisition and environmental values, understanding the interrelation between both variables is of high importance for educational research and practice. Various studies have consistently demonstrated that learners’ content learning of different environmental topics is positively correlated with pro-environmental values, e.g., [,,]. What is more, two recent studies follow the approach of investigating the impact of environmental values on environmental knowledge via structural equation modeling to shed light on the extent to which pro-environmental values affect knowledge acquisition. Investigating a three-day out-of-school module on earth education and following a pre-post-test design, Baierl and Bogner [] found a positive effect of pro-environmental attitudes on cognitive performance. Similarly, we investigated the impact of environmental values and fascination for biology on content knowledge within a classroom module on biodiversity by using a pre-post-retention-test design []. Pro-environmental attitudes in a positive relation with fascination for biology turned out as positive predictors of knowledge at all test times, with the strongest effect on students’ pre-knowledge scores.
In all the studies mentioned above and in the present study, environmental values were measured using the Two Major Environmental Values Model (2-MEV) []. Developed in the 1990s, the 2-MEV has been repeatedly used in different contexts and within various populations during the past decades. Bi-national investigations, e.g., [,,], internal cross-validation studies, e.g., [], and, even more importantly, independent research groups, e.g., [,,,,], have repeatedly used the instrument and have confirmed its validity and reliability. Within the past decades, the 2-MEV has been continuously developed and improved. While the model has been initially developed for German adolescent samples, it is now available in 33 languages. It has already been successfully applied in various contexts in school and outside the formal classroom ([] provides a recent overview).
The 2-MEV measures the two underlying higher-order factors, Preservation (PRE) and Utilization (UTL), which are regarded as values []. They each include a set of primary factors, considered as attitudes. UTL refers to anthropocentric preferences, which reflect a tendency to make extensive use of environmental goods and services. Natural resources are viewed as exploitable goods, and the value of the environment is solely regarded in terms of its benefit for human well-being. In contrast, PRE represents altruistic and ecocentric preferences, which stress the intrinsic value of the environment. In this view, nature protection and conservation are at the heart of all environmental, ethical questions. The two values, Utilization and Preservation, constitute independent, orthogonal dimensions, which are not mutually exclusive. This orthogonality of the instrument makes it possible for an individual to be positioned on one of four quadrants. Thus, one could assign intrinsic value to nature and appeal to preserving the environment but could simultaneously recognize a need for using natural resources.
1.5. Purpose
To our knowledge, there is only a small body of correlative studies concerned with the relationship between environmental values and cognitive achievement of primary school students. Additionally, there is no previous research using a structural equation modeling approach to examine the effect of environmental values on students’ content learning. This study examines the impact of the two major environmental values, Preservation and Utilization, on cognitive learning. Our research questions and hypotheses are:
- Research question (1): Does a short-term intervention in an out-of-school setting increase students’ knowledge on urban drinking water supply?
Hypothesis 1.
Students’ post- and retention knowledge scores are higher than their pre-knowledge scores.
- Research question (2): To what extent do Preservation and Utilization affect students’ cognitive achievement?
Hypothesis 2.
Preservation is a positive predictor of knowledge at all test times.
Hypothesis 3.
Utilization is a negative predictor of knowledge at all test times.
2. Materials and Methods
2.1. Sample and Research Design
Overall, 136 third to fourth graders from nine classes of five primary schools in Bavaria, Germany, participated in an out-of-school learning module on water supply and the accompanying evaluation. The participants’ mean age was Mage = 9.3 (SD = ±0.71), and the gender distribution was even (56.9% female). Following the national guidelines, participation required parents’ written consent, and we guaranteed anonymity and confidentiality of the data. Following a quasi-experimental research design, the participants completed a pre-, post-, and retention questionnaire in a paper-and-pencil format (T0: two weeks before project participation, T1: directly after the lesson, and T2: six weeks after participation).
2.2. The Out-of-School Learning Program
Our learning module on water supply was part of a week-long field trip to the Bavarian Forest National Park. A national park guide led the module, which took three hours. It consisted of five learning stations covering different aspects of water supply. Through the method of learning at stations, we exposed the participants to learner-centered and cooperative learning. Following the self-determination approach [], the students worked collaboratively within groups of four participants, and they worked independently, guided by a workbook that contained all necessary information and contributory tasks. They were self-responsible for completing the tasks within the given timeframe. The guide did only intervene when students raised questions. Additionally, the rationale of the module followed an inquiry-based learning approach [,]. We integrated principles such as creativity, autonomy, or motivation [,] and ensured appropriate levels of cognitive load, which are, compared to teacher-guided lessons, usually higher in self-determined learning approaches [].
The first learning station focused on the main stages and processes of the natural water cycle. With the help of an information text, students created a schema of the water cycle with laminated paper cards printed with different symbols representing the natural water cycle steps, such as clouds, raindrops, or water reservoirs. The task was to bring these cards into the correct order. The same learning method was applied at the learning station two, which was about the urban water cycle. In this case, the symbols represented the different stations of the urban water cycle, such as waterworks, a sewage plant, or urban households.
At the learning station three, the students participated in a guided tour to the Bavarian National Park youth hostel’s own plant-based wastewater treatment facility. The sewage plant purified the wastewater produced by the participants during their stay. Thus, the visit combined the cognitive and emotional level since the participants directly observed the purification process of wastewater they had produced themselves. Besides the observation, students were given the task to fill in a gap text providing all necessary information on the different stations and functions of the natural sewage plant.
At the learning station four, the students performed a simple experiment on the filtration capacity of soil. They filled a flowerpot with soil and pebbles and poured colored water over it. Students had to hypothesize about their observations, and they were meant to recognize that the ink particles dissolved in the water attach themselves to the small particles in the potting soil. The water that seeps through the earth is, therefore, less intensely colored. At the last learning station, the participants had to watch a video on the urban water cycle at the example of Germany’s capital city Berlin. They had to solve several observational tasks on the functions of the different wastewater treatment stations, drinking water supply, and consumption. After completing the module, a wrap-up phase led by the guide enabled the students to verify, complete, or improve their solutions. Table 1 summarizes the content and educational materials of the learning program.

Table 1.
Summary of the module content and learning activities at the five stations.
For the development of the materials, we have paid particular attention to prevent the formation of alternative student conceptions such as, for example, the omission of the water work when explaining the urban water cycle []. To ensure that learning effects would result exclusively from our module, the students were not further exposed to the content of water supply during the field trip.
2.3. Instruments
Knowledge was assessed at all test times by using a program-specific multiple-choice test with 13 items, which covered the content of the five learning stations. Six questions were concerned with the steps and processes within the natural water cycle, including evaporation or the soil’s filter capacity. Seven questions dealt with the steps and processes within the urban water cycle, for example, the function of a sewage plant or aspects of water supply and consumption. Each item was displayed with four possible answers, only one of which was correct (examples are shown in Table 2).

Table 2.
Item examples of the knowledge scale translated to English. Only the correct answers are displayed.
To assess the reliability and internal consistency of our knowledge test, we calculated Cronbach’s alpha scores for all test times and the item difficulty levels of the knowledge questions in the pre-test (T0). As expected, the Cronbach’s alpha reliability coefficients were relatively low: 0.58 (T0), 0.61 (T1), and 0.66 (T2). Generally, scores above 0.7 are considered to be acceptable. Nevertheless, we accepted the instrument since it was a program-specific (ad-hoc) questionnaire dedicated explicitly to evaluating our learning module. Additionally, our rather small sample size and the low item number affect the calculation of the reliability coefficients []. The items showed a suitable range from easy to difficult 0.8 and 0.2, and a Shapiro–Wilk-Test revealed a normal distribution of the item difficulties (p = 0.98). We reordered the items randomly in the post- and retention-test to prevent bias due to repeated testing effects. To measure the environmental values, we used the 2-MEV scale with a 16-item-set, which Liefländer and Bogner [] had adapted to a primary school sample. Participants specified their level of agreement to the items on a 5-point Likert scale ranging from 1 “strongly disagree” to 5 “strongly agree”. The items were applied in a 5-point-Likert-format. Emoticons supported the response format.
2.4. Statistical Analyses
We used IBM SPSS 24 for descriptive statistics, correlational analyses, and repeated measure analysis of variance (rmANOVA). CFA and SEM were conducted via IBM SPSS AMOS. Since the data were not normally distributed, we only used procedures considered to be robust against a violation of the normality assumption [].
For the analysis of the knowledge test, correct responses were coded as “1” and incorrect answers as “0”. To determine knowledge differences between the three test times (T0, T1, T2), we used a rmANOVA. Due to the significant Mauchly’s test showing a violation of sphericity, we report Huynh–Feldt adjusted results. The post-hoc analyses are Bonferroni-corrected. To examine the relationship between knowledge scores and the 2-MEV, we used a two-tailed Spearman-rho correlation.
We performed a confirmatory factor analysis (CFA) to ensure the discriminant validity of the 2-MEV scale. The CFA was carried out by using maximum likelihood estimation. The effects of the environmental values on knowledge scores were measured via structural equation modeling. The model fit of the CFA and SEM was evaluated based on conventionally used indices []: relative Chi-square (χ2/df, comparative fit index (CFI), root mean square error of approximation (RMSEA). Values of χ2/df < 2, RMSEA < 0.07, and CFI > 0.9 indicated good model fit [].
3. Results
3.1. Cognitive Achievement within the Learning Module
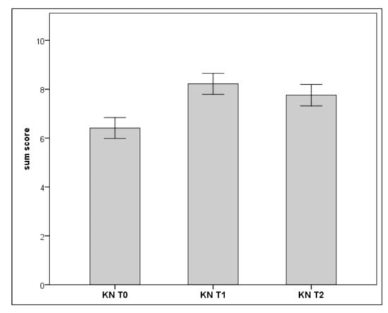
The knowledge score change for the entire knowledge test is presented in Figure 1. The repeated-measures ANOVA with a Huynh–Feldt correction revealed a significant difference between the three test times, F (2,270) = 35.45, p < 0.001, partial η2 = 0.21. On average, students answered 6.41 (SD = 2.52) questions correctly in the pre-test, 8.22 (SD = 2.53) in the post-test and 7.76 (SD = 2.60) in the retention test. A Bonferroni-adjusted post-hoc analysis revealed a significant increase in mean knowledge scores from T0 to T1 (MD = 1.81, p < 0.001). The knowledge decrease from T1 to T2 was not significant (MD = −0.46 p = 0.08). Knowledge scores at T2 remained higher than pre-knowledge scores (MD = 1.35, p < 0.001).

Figure 1.
The knowledge sum scores at all three test times; N = 136; error bars show 95% CI.
3.2. Descriptive Statistics and Correlation Analysis
As displayed in Table 3, we found moderate positive correlations between the knowledge scores at T0 and T1 (r = 0.443, p < 0.001), at T0 and T2 (r = 0.385, p < 0.001) as well as at T1 and T2 (r = 0.496, p < 0.001). Regarding the relation between knowledge scores and the environmental values, knowledge scores at all test times were positively correlated with PRE, showing small effect sizes at T0 (r = 0.275, p = 0.003) and T2 (r = 0.236, p = 0.007) and a medium effect at T1 (r = 0.310, p < 0.001). The reverse trend was revealed for UTL, which revealed a negative correlation to knowledge at all test times, with medium sized effects at T0 (r = −0.359, p < 0.001) and T1 (r = −0.361, p < 0.001) and a small effect at T2 (r = −0.258, p = 0.003). Concerning the relation between the environmental attitude-sets, we found no significant correlation between PRE and UTL (r = −0.036, p = 0.667).

Table 3.
Bivariate Spearman-rho correlations between the knowledge mean scores at all test times and the major environmental value (MEV) variables. p values: ** p ≤ 0.01, *** p ≤ 0.001.
3.3. CFA and SEM
The CFA of the 2-MEV data verifies the two-dimensional structure of the instrument (Figure 2). In a first estimation of the CFA model, all items loaded significantly on the respective higher-order factor, except for the two Preservation items PRE 3 (Humankind will die out if we don’t live in tune with nature) and PRE 6 (I always switch the light off when I don’t need it). Omitting these items and refitting the model led to a 2-factor-structure with standardized factor loadings between 0.38 and 0.61 and overall good model fit indices: χ2= 78.99, df = 76, χ2/df = 1.04, p = 0.384, CFI = 0.985, RMSEA = 0.013 (all standardized estimates are displayed in Figure 2.).

Figure 2.
Confirmatory factor analysis (CFA) of the 2-MEV with standardized factor loadings and covariance between the latent variables Preservation and Utilization. Model fit indices: χ2 = 78.99, df = 76, χ2/df = 1.04, p = 0.384, CFI = 0.985, RMSEA = 0.013. e = error.
The structural equation model showed overall good model fit: χ2 = 132.01, df = 113, χ2/df = 1.17, p = 0.107, CFI = 0.947, RMSEA = 0.027. PRE and UTL showed a small, negative correlation (r = −0.27, p = 0.05). PRE showed a direct positive effect on knowledge at T0 (ß = 0.31, p = 0.012), but there was no significant direct effect on knowledge at T1 and T2. UTL had a direct, negative effect on knowledge at all three test times: ßT0 = −0.40, p < 0.001; ßT1 = −0.42, p < 0.001; ßT2 = −0.27, p = 0.009 (all standardized estimates are displayed in Figure 3). Pre-knowledge at T0 showed no significant direct effect on post-knowledge scores at T1, whereas knowledge at T1 had a positive effect on retention knowledge at T2. The predictors explained 32% of the shared variance in pre-knowledge (R2 = 0.32). The variance in post-knowledge (R2 = 0.37) and retention knowledge (R2 = 0.28) was explained by the predictors to an extent of 37% and 28%.

Figure 3.
Path analysis model. Fit indices: χ2 = 132.01, df = 113, χ2/df = 1.17, p = 0.107, CFI = 0.947, RMSEA = 0.027. Explained variance in the criterion variables are 32% in KNT0 (R2 = 0.32), 37% in KNT1 (R2 = 0.37) and 28% in KNT2 (R2 = 0.28). Grey arrows represent insignificant relations (p > 0.05). e = error.
4. Discussion
4.1. Knowledge Acquisition in the Out-of-School Setting
Participation in our short-term, out-of-school educational program significantly improved the students’ short-term as well as their long-term knowledge (measured after six weeks) on water supply. We observed a moderate drop in the knowledge scores between T1 and T2, but the retention knowledge scores remained well above the pre-knowledge scores. This learning and retention pattern is consistent with previous studies investigating the cognitive effects of short-term, out-of-school learning modules within various educational settings. Fremerey and Bogner [] evaluated adolescents’ cognitive achievement in a learning module on drinking water supply by applying a similar testing schedule with a retention test after six weeks (T2). The knowledge scores increased directly after program participation and decreased slightly at test time T2. Sattler and Bogner [] have shown similar results: they assessed content knowledge acquisition on the topic of marine wildlife conservation within a cooperative learning program taking place in a zoo. Additionally, Marth and Bogner [] evaluated an out-of-school learning module about bionics and added further test times after twelve weeks and after one year. Knowledge scores showed the pattern mentioned above, and even after a year, they remained at the level measured after six weeks. The knowledge decrease between T1 and T2 is commonly explained by cognitive processes responsible for learning and retaining. Knowledge acquired in the short term is not entirely transferred into long-term memory [].
4.2. Environmental Values of the Primary School Sample
As stated above, the 2-MEV has been initially developed for adolescent and secondary school samples, and a much smaller body of research focuses on primary school students, e.g., [,,,]. The orthogonal structure of the scale has been validated through both exploratory factor analysis (EFA), e.g., [,] and confirmatory factor analysis (CFA), e.g., []. Following Liefländer and Bogner [], we have used a shorter version of the 2-MEV with 16 items adapted to younger age samples and could once again confirm the 2-factor-structure within our primary school cohort. Due to low factor loadings, two Preservation items were not included in the further analysis. The items “I always switch the light off when I don’t need it” (PRE 6) and “Humankind will die out if we don’t live in tune with nature” (PRE 3) did not sufficiently contribute to measuring the construct of Preservation. Throughout its long history, the 2-MEV has undergone modifications, adaptations, and shortenings. Even shorter versions of the 2-MEV without PRE 6 have already been applied and confirmed successfully in recent studies [,]. Schönfelder and Bogner [] used and validated an 11-item version without PRE 3 and could report the expected 2-factor-structure. Regarding their application for empirical studies on environmental learning programs, shorter measuring instruments offer clear advantages. Usually, educational evaluation requires the simultaneous application of several scales in a single questionnaire. Both time and participants’ ability to concentrate limit the questionnaire length, especially in younger age, primary school cohorts.
The CFA and the structural equation model revealed a small but negative linear relation between Utilization and Preservation. We expected this negative correlation between the MEV higher-order factors because it is directly in line with numerous previous studies, e.g., [,,].
4.3. Effects of Environmental Values on Knowledge Scores
The majority of previous studies on the relationship between environmental values and cognitive achievement within environmental learning programs have repeatedly and consistently reported positive correlations between Preservation and environmental knowledge, both in out-of-school and in-classroom learning environments. Within a classroom module approach with German 10th-grade students, Schumm and Bogner [] measured adolescents’ cognitive learning on sustainable energy supply and found a positive correlation between Preservation and knowledge at three test times within a pre-post-retention test design. Using the same measurement design, Dieser and Bogner [] evaluated a one-week out-of-school learning program on species conversation in the Bavarian Forest National Park. At all test times, Preservation showed a small but significant relation to knowledge. In a recent study, Raab and Bogner [] compared the cognitive achievement of primary school students on the topic of microplastics within a classroom module and an out-of-school module. In both learning environments, Preservation was positively correlated to knowledge at three test times. All the studies mentioned share the assumption that higher Preservation scores lead to higher cognitive achievement in the classroom as well as in out-of-school scenarios.
Beyond correlational analyses, Thorn and Bogner [] confirmed this assumption within an adolescent sample using a linear mixed-effects model (LLM). They evaluated knowledge on forest conservation at four test times before and after participation in a classroom module. They found Preservation to be a positive predictor of cognitive achievement at all times of testing. Preservation has also shown to be a direct positive predictor of pre-knowledge within our primary school sample but did not significantly predict knowledge directly and six weeks after module participation (T1 and T2). Thus, we could not verify our hypothesis that Preservation will positively affect knowledge at all test times in the pre-post-retention test design. However, deviations from this general assumption have already been reported. Liefländer and Bogner [] evaluated a four-day out-of-school learning program on a related topic addressing aquatic ecology and water supply in a field center and found that Preservation did only significantly correlate with knowledge in the post-test directly after module participation. Additionally, Schönfelder and Bogner [] compared the relationship between knowledge on the conservation of bees and environmental values at three test times and within two learning environments: within an out-of-school approach at a beehive (study 1) and a multimedia representation in the classroom (study 2). In study 1, Preservation did at no test time correlate with knowledge. In study 2, Preservation showed a significant correlation with pre-knowledge and retention knowledge only.
Three interrelated conditions are possible reasons for these differing results: participants’ age, measuring bias caused by social desirability, or ceiling effects. Liefländer and Bogner [], who worked with the same age group participants as our sample, have already observed an age-dependency of the Preservation scale. Comparably, Schönfelder and Bogner’s [] sample in study-1 belonged to the younger age group (10–13 years old from primary and secondary school), whereas participants in their study-2 were much older than in our sample (13–15 years old from secondary school only). Additionally, the Preservation scale has already been associated with social desirability bias []. Especially young children tend to choose responses that they believe to be socially acceptable or desirable rather than those reflecting their actual attitudes. This preference leads to high Preservation scores, which can end up in a ceiling effect. Moreover, in line with the results of Liefländer and Bogner [], we observed a tendency for a ceiling effect of the Preservation scale in our sample because the primary school students already reached high Preservation scores that leave little scope for an increase. Possibly, the participants’ response behavior changed after participation in the module leading to less biased and more honest answers. However, it is a limitation of our study that the 2-MEV was applied at one test time only, leaving open the possibility of a change in students’ response behavior rather than an actual change in attitudes. Consequently, the circumstances described might have influenced the effect of Preservation on knowledge scores. Nevertheless, our results point towards a strong influence of Preservation, i.e., biocentric attitudes, on pre-knowledge scores.
In line with most correlative studies focusing on the same age cohort and, thus, meeting our expectations, Utilization turned out as a direct, negative predictor of knowledge, e.g., [,,,,]. In our structural equation model, the negative effect of Utilization was particularly strong at T0 and T1, which means that the students’ cognitive performance before and directly after the module participation was strongly influenced by their anthropocentric attitudes towards nature. The influence of Utilization on knowledge decreased in the retention test. Our findings confirm assumptions made from the correlative results mentioned above. Predominant anthropocentric reasoning appears to be a particular hindrance for knowledge acquisition within educational initiatives: learners with high Utilization preferences will be outperformed by learners holding pro-environmental values.
The use of standardized estimates allows a direct comparison between the effects of Preservation and Utilization on knowledge. Our results show overall higher effects of Utilization compared to Preservation and, thus, point towards a predominant impact of Utilization. According to developmental cognitive science, younger children primarily tend to anthropocentric reasoning of biological phenomena []. The anthropocentric stance is assumed to develop between the age of 3 and 5, especially in young children in urban environments. Previous studies on the relationship between environmental values and knowledge acquisition have, thus, already assumed that Utilization plays a dominant role for younger primary school participants []. Additionally, compared to adolescents, primary school cohorts are presumed to be more approachable for developing more biocentric, pro-environmental attitudes []. A comparison of two age groups (9 to 10 and 11 to 13 years old) revealed the younger cohort’s environmental values to be more strongly affected by an educational learning program than those of the older students.
4.4. Educational Implications
Overall, our findings confirm the potential of short-term, out-of-school learning modules to foster environmentally relevant knowledge. The student-centered approach combining hands-on activities and authentic learning experiences in the Bavarian National Park led to a long-term learning success on the topic of water supply. Our results contribute to previous studies presuming intensive and authentic nature discovery as an essential factor for fostering motivation, cognitive learning, and pro-environmental attitudes, e.g., [,]. Thus, we support the claim that educators should consider out-of-school learning approaches with nature experiences and authentic learning environments for environmental learning approaches whenever possible.
Our further findings add to this claim. The structural equation analysis undertaken here sheds new light on the relationship between environmental values and cognitive achievement. It has extended our knowledge on the actual effects of Preservation and Utilization on environmental knowledge. This study’s contribution has been to confirm the above-mentioned correlational analyses that have already presumed a relationship between the respective variables. The findings highlight and emphasize the importance of considering the impact of environmental values on learning when planning environmental education approaches. Especially Utilization showed a strong influence on participants’ achievement. In a recent study focusing on the correlative relationship between Utilization, Preservation, and cognitive achievement within a biodiversity learning module, we have already assumed the development of a performance gap between students with high and low Utilization preferences []. The present study’s results confirm our assumption that students with high Utilization scores will be outperformed by students holding low Utilization preferences or those scoring high on Preservation. The gap between the learners will increase during their school career if educational approaches fail to foster students’ pro-environmental values, which have shown positive effects on environmental learning. The impact of Utilization on knowledge decreased from T0 to T2. We can thus assume that our educational approach had a positive influence on students’ Utilization attitudes. Still, it was not within the scope of this study to measure changes in environmental values. While attitudinal change has generally been assumed to require long-term educational programs, e.g., [,], Glaab and Heyne [] could show effects of a one-day intervention on German primary school students’ Preservation scores. Drissner et al. [] reported positive changes in Utilization preferences with children of the same age group after a three-hour program. Thus, educators might consider even short-term interventions that fit much better into the tight teaching schedules. Nevertheless, as mentioned above, studies in environmental education consistently agree that the success of environmental learning approaches is strongly dependent on authentic, hands-on experiences and direct nature encounter [].
However, there are limitations to the interpretation of our results that could be addressed in future research. First, the recruitment of school classes through convenience sampling creates potential bias. Second, a larger sample size is needed to ensure a representative distribution of the entire population. These conditions make our findings less generalizable because the sample cannot be considered representative of all German primary school students. Further research focusing on different learning scenarios is needed to increase the representativeness of our results and to determine precisely how environmental values affect primary school students’ environmental learning.
5. Conclusions
The availability of clean water in Central European countries gives the impression of it being an unlimited resource. The topic must be included in school curricula even beyond the primary school level because a fundamental understanding of the natural and urban water cycle, including wastewater treatment, is needed to raise the awareness for sustainable water consumption and resource protection. Learning programs, especially in authentic out-of-school learning environments, are suitable for fostering the respective knowledge. Our short-term, out-of-school learning module is an appropriate approach for primary school students to gain short-term and long-term knowledge on urban water supply. The cooperative learning at stations and the materials used can be easily applied and adapted to other learning environments, such as a field trip to a local sewage plant. Our structural equation modeling revealed a strong negative influence of Utilization on students’ cognitive achievement, especially on their pre- and post-knowledge. In contrast, Preservation did only positively affect the pre-knowledge scores. The results confirm previous assumptions on the influence of anthropocentric attitudes on cognitive achievement but reveal a much stronger negative effect than expected. Given the numerous potential variables that assumingly contribute to learning success within educational initiatives, our findings point towards a strong influence of utilitarian values within primary school cohorts and once again highlight the importance of considering students’ environmental values in environmental education practice. Further studies with various learning approaches and applied instructional methods may add more insights. Since younger-aged students are supposed to be more responsive to attitudinal change through environmental education approaches, high-quality learning modules are needed. Otherwise, the influence of Utilization preferences may lead to knowledge gaps which will steadily increase during an individual’s school careers.
Author Contributions
Conceptualization, J.S.-O.; data curation, J.S.-O.; formal analysis, J.S.-O.; funding acquisition, F.X.B.; investigation, J.S.-O.; methodology, J.S.-O. and F.X.B.; project administration, F.X.B.; resources, F.X.B.; software, F.X.B.; supervision, F.X.B.; visualization, J.S.-O.; writing—original draft, J.S.-O.; writing—review and editing, F.X.B. All authors have read and agreed to the published version of the manuscript.
Funding
This research was funded by the German Federal Ministry of Education and Research (BMBF) within the programs “Qualitätsoffensive Lehrerbildung” (under grant agreement no. 01JA160) and “TrinkWave” (under grant agreement no. 02WAV1404E). The APC was funded by the German Research Foundation (DFG) and the University of Bayreuth in the funding program Open Access Publishing under grant agreement no. LA 2159/8-6.
Institutional Review Board Statement
The study was conducted in accordance with the Declaration of Helsinki, and the protocol was approved by the Ethics Committee of the Bavarian State Ministry for Education and Cultural Affairs (BayStMUK).
Informed Consent Statement
Informed consent was obtained from all parents or legal guardians of the participants involved in the study.
Data Availability Statement
The data presented in this study are available on request from Didaktik-Biologie@uni-bayreuth.de, Department of Biology Education, University of Bayreuth. The data are not publicly available due to the protection of participants’ privacy.
Acknowledgments
The authors would like to thank all participating students and their teachers for their time and effort. We are grateful to R. Gaidies and the authorities of the Bavarian Forest National Park for their support of this project and S. Schmid for developing the educational module under the science communication framework of the “TrinkWave” project.
Conflicts of Interest
The authors declare no conflict of interest. The funders had no role in the design of the study; in the collection, analyses, or interpretation of data; in the writing of the manuscript; or in the decision to publish the results.
References
- Yoon, J.-Y.; Riley, M.R. Grand challenges for biological engineering. J. Biol. Eng. 2009, 3, 16. [Google Scholar] [CrossRef] [PubMed]
- United Nations. Resolution 64/292: The Human Right to Water and Sanitation. 2010. Available online: http://www.un.org/es/comun/docs (accessed on 5 October 2020).
- United Nations. Resolution Adopted by the General Assembly on 25 September 2015, Transforming Our World: The 2030 Agenda for Sustainable Development; United Nations: Washington, DC, USA, 2015. [Google Scholar]
- Arle, J.; Bartel, H.; Baumgarten, C.; Bertram, A.; Kirschbaum, B.; Brandt, S.; Brauer, F.; Claussen, U.; Damian, H.P.; Dieter, D. Wasserwirtschaft in Deutschland: Grundlagen, Belastungen, Maßnahmen; Umweltbundesamt: Dessau-Roßlau, Germany, 2017. [Google Scholar]
- Riley, M.R.; Gerba, C.P.; Elimelech, M. Biological approaches for addressing the grand challenge of providing access to clean drinking water. J. Biol. Eng. 2011, 5. [Google Scholar] [CrossRef]
- Pichel, N.; Vivar, M.; Fuentes, M. The problem of drinking water access: A review of disinfection technologies with an emphasis on solar treatment methods. Chemosphere 2019, 218, 1014–1030. [Google Scholar] [CrossRef] [PubMed]
- Gleick, P. The human right to water. Water Policy 1998, 1, 487–503. [Google Scholar] [CrossRef]
- Bundesministerium für Gesundheit. Verordnung über die Qualität von Wasser für den menschlichen Gebrauch (Trinkwasserverordnung): TrinkWv. Bundesgesetzblatt 2001, 24, 959–980.
- European Union. Directive 2003/40/EC. Off. J. Eur. Union 2003, 46, 34–40.
- Rosegrant, M.W.; Cai, X.; Cline, S.A. Global Water Outlook to 2025: Averting an Impending Crisis; IFPRI and International Water Management Institute: Washington, DC, USA, 2002. [Google Scholar]
- Kuhlemann, L.-M.; Tetzlaff, D.; Soulsby, C. Urban water systems under climate stress: An isotopic perspective from Berlin, Germany. Hydrol. Process. 2020, 34, 3758–3776. [Google Scholar] [CrossRef]
- Zehnder, A.J.B.; Yang, H.; Schertenleib, R. Water issues: The need for action at different levels. Aquat. Sci. 2003, 65, 1–20. [Google Scholar] [CrossRef]
- Vairavamoorthy, K.; Gorantiwar, S.D.; Pathirana, A. Managing urban water supplies in developing countries—Climate change and water scarcity scenarios. Phys. Chem. Earth Parts A/B/C 2008, 33, 330–339. [Google Scholar] [CrossRef]
- Klages, S.; Heidecke, C.; Osterburg, B. The Impact of Agricultural Production and Policy on Water Quality during the Dry Year 2018, a Case Study from Germany. Water 2020, 12, 1519. [Google Scholar] [CrossRef]
- Eerkes-Medrano, D.; Leslie, H.A.; Quinn, B. Microplastics in drinking water: A review and assessment. Curr. Opin. Environ. Sci. Health 2019, 7, 69–75. [Google Scholar] [CrossRef]
- Pinto, D.C.; Nique, W.M.; Añaña, E.d.S.; Herter, M.M. Green consumer values: How do personal values influence environmentally responsible water consumption? Int. J. Consum. Stud. 2011, 35, 122–131. [Google Scholar] [CrossRef]
- Dalcanale, F.; Fontane, D.; Csapo, J. A general framework for a collaborative water quality knowledge and information network. Environ. Manag. 2011, 47, 443–455. [Google Scholar] [CrossRef] [PubMed]
- Ide, T.; Thiel, A.-K.; Fischhendler, I. Critical geopolitics of water conflicts in school textbooks: The case of Germany. Water Altern. 2019, 55, 304–321. [Google Scholar]
- McCarroll, M.; Hamann, H. What We Know about Water: A Water Literacy Review. Water 2020, 12, 2803. [Google Scholar] [CrossRef]
- Sammel, A.; McMartin, D.; Arbuthnott, K. Education Agendas and Resistance With the Teaching and Learning of Freshwater and Extreme Freshwater Events. Aust. J. Environ. Educ. 2018, 34, 18–32. [Google Scholar] [CrossRef]
- Owens, D.C.; Petitt, D.N.; Lally, D.; Forbes, C.T. Cultivating Water Literacy in STEM Education: Undergraduates’ Socio-Scientific Reasoning about Socio-Hydrologic Issues. Water 2020, 12, 2857. [Google Scholar] [CrossRef]
- Seraphin, K.D. Enhancing Water Literacy through an Innovative Television Series Focused on Wai Maoli: Hawai’i Fresh Water Initiative. Water 2020, 12, 3247. [Google Scholar] [CrossRef]
- Romine, W.L.; Schaffer, D.L.; Barrow, L. Development and Application of a Novel Rasch-based Methodology for Evaluating Multi-Tiered Assessment Instruments: Validation and utilization of an undergraduate diagnostic test of the water cycle. Int. J. Sci. Educ. 2015, 37, 2740–2768. [Google Scholar] [CrossRef]
- Schmidt, J.J. Historicising the Hydrosocial Cycle. Water Altern. 2014, 7, 220–234. [Google Scholar]
- Schmid, S.; Bogner, F.X. Is there more than the sewage plant? University freshmen’s conceptions of the urban water cycle. PLoS ONE 2018, 13, e0200928. [Google Scholar] [CrossRef]
- Hussein, H. A critique of water scarcity discourses in educational policy and textbooks in Jordan. J. Environ. Educ. 2018, 49, 260–271. [Google Scholar] [CrossRef]
- Sadler, T.D.; Nguyen, H.; Lankford, D. Water systems understandings: A framework for designing instruction and considering what learners know about water. Water 2017, 4, e1178. [Google Scholar] [CrossRef]
- Vennix, J.; den Brok, P.; Taconis, R. Do outreach activities in secondary STEM education motivate students and improve their attitudes towards STEM? Int. J. Sci. Educ. 2018, 40, 1263–1283. [Google Scholar] [CrossRef]
- Lin, P.-Y.; Schunn, C.D. The dimensions and impact of informal science learning experiences on middle schoolers’ attitudes and abilities in science. Int. J. Sci. Educ. 2016, 38, 2551–2572. [Google Scholar] [CrossRef]
- Morag, O.; Tal, T. Assessing Learning in the Outdoors with the Field Trip in Natural Environments (FiNE) Framework. Int. J. Sci. Educ. 2012, 34, 745–777. [Google Scholar] [CrossRef]
- Rennie, L.J.; Feher, E.; Dierking, L.D.; Falk, J.H. Toward an agenda for advancing research on science learning in out-of-school settings. J. Res. Sci. Teach. 2003, 40, 112–120. [Google Scholar] [CrossRef]
- Kola-Olusanya, A. Free-choice environmental education: Understanding where children learn outside of school. Environ. Educ. Res. 2005, 11, 297–307. [Google Scholar] [CrossRef]
- Herrington, J.; Oliver, R. An instructional design framework for authentic learning environments. Educ. Technol. Res. Dev. 2000, 48, 23–48. [Google Scholar] [CrossRef]
- Stein, S.J.; Isaacs, G.; Andrews, T. Incorporating authentic learning experiences within a university course. Stud. High. Educ. 2004, 29, 239–258. [Google Scholar] [CrossRef]
- Fančovičová, J.; Prokop, P. Plants have a chance: Outdoor educational programmes alter students’ knowledge and attitudes towards plants. Environ. Educ. Res. 2011, 17, 537–551. [Google Scholar] [CrossRef]
- Baur, A.; Haase, H.-M. The influence of active participation and organisation in environmental protection activities on the environmental behaviour of pupils: Study of a teaching technique. Environ. Educ. Res. 2015, 21, 92–105. [Google Scholar] [CrossRef]
- Seybold, B.; Braunbeck, T.; Randler, C. Primate conservation—An evaluation of two different educational programs in Germany. Int. J. Sci. Math. Educ. 2014, 12, 285–305. [Google Scholar] [CrossRef]
- Schneider, J.; Schaal, S. Location-based smartphone games in the context of environmental education and education for sustainable development: Fostering connectedness to nature with Geogames. Environ. Educ. Res. 2018, 24, 1597–1610. [Google Scholar] [CrossRef]
- Bogner, F.X. The Influence of Short-Term Outdoor Ecology Education on Long-Term Variables of Environmental Perspective. J. Environ. Educ. 1998, 29, 17–29. [Google Scholar] [CrossRef]
- Collins, C.; Corkery, I.; McKeown, S.; McSweeney, L.; Flannery, K.; Kennedy, D.; O’Riordan, R. Quantifying the long-term impact of zoological education: A study of learning in a zoo and an aquarium. Environ. Educ. Res. 2020, 26, 1008–1026. [Google Scholar] [CrossRef]
- Spooner, S.L.; Jensen, E.A.; Tracey, L.; Marshall, A.R. Evaluating the impacts of theatre-based wildlife and conservation education at the zoo. Environ. Educ. Res. 2019, 25, 1231–1249. [Google Scholar] [CrossRef]
- Cheeseman, A.; Wright, T. Examining environmental learning experiences at an earth education summer camp. Environ. Educ. Res. 2019, 25, 375–387. [Google Scholar] [CrossRef]
- Mullenbach, L.E.; Andrejewski, R.G.; Mowen, A.J. Connecting children to nature through residential outdoor environmental education. Environ. Educ. Res. 2019, 25, 365–374. [Google Scholar] [CrossRef]
- Roczen, N.; Kaiser, F.G.; Bogner, F.X.; Wilson, M. A Competence Model for Environmental Education. Environ. Behav. 2014, 46, 972–992. [Google Scholar] [CrossRef]
- Schneiderhan-Opel, J.; Bogner, F.X. The Relation between Knowledge Acquisition and Environmental Values within the Scope of a Biodiversity Learning Module. Sustainability 2020, 12, 2036. [Google Scholar] [CrossRef]
- Schönfelder, M.L.; Bogner, F.X. Two ways of acquiring environmental knowledge: By encountering living animals at a beehive and by observing bees via digital tools. Int. J. Sci. Educ. 2017, 39, 723–741. [Google Scholar] [CrossRef]
- Bogner, F.X. Empirical evaluation of an educational conservation programme introduced in Swiss secondary schools. Int. J. Sci. Educ. 1999, 21, 1169–1185. [Google Scholar] [CrossRef]
- Schumm, M.F.; Bogner, F.X. How Environmental Attitudes Interact with Cognitive Learning in a Science Lesson Module. Educ. Res. Int. 2016, 2016, 6136527. [Google Scholar] [CrossRef]
- Dieser, O.; Bogner, F.X. How individual environmental values influence knowledge acquisition of adolescents within a week-long outreach biodiversity module. J. Glob. Res. Educ. Soc. Sci. 2017, 9, 213–224. [Google Scholar]
- Raab, P.; Bogner, F.X. Knowledge Acquisition and Environmental Values in a Microplastic Learning Module: Does the Learning Environment Matter? 2020. submitted. [Google Scholar]
- Baierl, T.-M.; Johnson, B.; Bogner, F.X. Assessing environmental attitudes and cognitive achievement within 9 years of informal earth education. 2020. submitted. [Google Scholar]
- Schneiderhan-Opel, J.; Bogner, F.X. Symbiosis between EE and SE: The combined effect of environmental values and fascination with biology on biodiversity-related learning. 2020. submitted. [Google Scholar]
- Bogner, F.X.; Wiseman, M. Toward Measuring Adolescent Environmental Perception. Eur. Psychol. 1999, 4, 139–151. [Google Scholar] [CrossRef]
- Bogner, F.X.; Wiseman, M. Environmental perception of Swiss and Bavarian pupils. Schweiz. Z. Soziologie 1998, 24, 547–566. [Google Scholar]
- Nyberg, E.; Castéra, J.; Ewen, B.M.; Gericke, N.; Clément, P. Teachers’ and Student Teachers’ Attitudes Towards Nature and the Environment—A Comparative Study Between Sweden and France. Scand. J. Educ. Res. 2020, 64, 1090–1104. [Google Scholar] [CrossRef]
- Wiseman, M.; Wilson, G.; Bogner, F.X. Environmental values and authoritarianism. Psychol. Res. 2012, 2, 25–31. [Google Scholar]
- Borchers, C.; Boesch, C.; Riedel, J.; Guilahoux, H.; Ouattara, D.; Randler, C. Environmental Education in Côte d’Ivoire/West Africa: Extra-Curricular Primary School Teaching Shows Positive Impact on Environmental Knowledge and Attitudes. Int. J. Sci. Educ. Part B 2014, 4, 240–259. [Google Scholar] [CrossRef]
- Braun, T.; Cottrell, R.; Dierkes, P. Fostering changes in attitude, knowledge and behavior: Demographic variation in environmental education effects. Environ. Educ. Res. 2018, 24, 899–920. [Google Scholar] [CrossRef]
- Johnson, B.; Manoli, C.C. The 2-MEV scale in the United States: A measure of children’s environmental attitudes based on the theory of ecological attitude. J. Environ. Educ. 2010, 42, 84–97. [Google Scholar] [CrossRef]
- Regmi, S.; Johnson, B.; Dahal, B.M. Analysing the Environmental Values and Attitudes of Rural Nepalese Children by Validating the 2-MEV Model. Sustainability 2020, 12, 164. [Google Scholar] [CrossRef]
- Quinn, F.; Castéra, J.; Clément, P. Teachers’ conceptions of the environment: Anthropocentrism, non-anthropocentrism, anthropomorphism and the place of nature. Environ. Educ. Res. 2016, 22, 893–917. [Google Scholar] [CrossRef]
- Bogner, F.X. Environmental Values (2-MEV) and Appreciation of Nature. Sustainability 2018, 10, 350. [Google Scholar] [CrossRef]
- Bogner, F.X.; Wiseman, M. Adolescents’ attitudes towards nature and environment: Quantifying the 2-MEV model. Environmentalist 2006, 26, 247–254. [Google Scholar] [CrossRef]
- Deci, E.L.; Vallerand, R.J.; Pelletier, L.G.; Ryan, R.M. Motivation and Education: The Self-Determination Perspective. Educ. Psychol. 1991, 26, 325–346. [Google Scholar] [CrossRef]
- Rocard, M.; Csermely, P.; Jorde, D.; Lenzen, D.; Walberg-Henriksson, H.; Hemmo, V. Science Education Now: A Renewed Pedagogy for the Future of Europe; Office for Official Publications of the European Communities: Luxembourg, 2007; ISBN 9789279056598. [Google Scholar]
- Minner, D.D.; Levy, A.J.; Century, J. Inquiry-based science instruction-what is it and does it matter? Results from a research synthesis years 1984 to 2002. J. Res. Sci. Teach. 2010, 47, 474–496. [Google Scholar] [CrossRef]
- Cropley, A.J.; Urban, K.K. Programs and Strategies for Nurturing Creativity. In International Handbook of Giftedness and Talent; Heller, K.A., Mönks, F.J., Sternberg, R.J., Subotnik, R.F., Eds.; Pergamon: Oxford, UK, 2000; pp. 481–494. [Google Scholar]
- Thuneberg, H.M.; Salmi, H.S.; Bogner, F.X. How creativity, autonomy and visual reasoning contribute to cognitive learning in a STEAM hands-on inquiry-based math module. Think. Ski. Creat. 2018, 29, 153–160. [Google Scholar] [CrossRef]
- Goldschmidt, M.; Scharfenberg, F.-J.; Bogner, F.X. Instructional efficiency of different discussion approaches in an outreach laboratory: Teacher-guided versus student-centered. J. Educ. Res. 2016, 109, 27–36. [Google Scholar] [CrossRef]
- Tavakol, M.; Dennick, R. Making sense of Cronbach’s alpha. Int. J. Med. Educ. 2011, 2, 53–55. [Google Scholar] [CrossRef]
- Liefländer, A.K.; Bogner, F.X. The Effects of Children’s Age and Sex on Acquiring Pro-Environmental Attitudes Through Environmental Education. J. Environ. Educ. 2014, 45, 105–117. [Google Scholar] [CrossRef]
- Wilcox, R.R. (Ed.) Introduction to Robust Estimation and Hypothesis Testing, 3rd ed.; Elsevier/Academic Press: Cambridge, MA, USA, 2012; ISBN 9780123869838. [Google Scholar]
- Kline, R.B. (Ed.) Principles and Practice of Structural Equation Modeling, 4th ed.; The Guilford Press: New York, NY, USA, 2016; ISBN 9781462523351. [Google Scholar]
- Hooper, D.; Coughlan, J.; Mullen, M. Structural Equation Modelling: Guidelines for Determining Model Fit. Electron. J. Bus. Res. Methods 2008, 53–60. [Google Scholar] [CrossRef]
- Fremerey, C.; Bogner, F. Learning about Drinking Water: How Important are the Three Dimensions of Knowledge that Can Change Individual Behavior? Educ. Sci. 2014, 4, 213–228. [Google Scholar] [CrossRef]
- Sattler, S.; Bogner, F.X. Short- and long-term outreach at the zoo: Cognitive learning about marine ecological and conservational issues. Environ. Educ. Res. 2017, 23, 252–268. [Google Scholar] [CrossRef]
- Marth, M.; Bogner, F.X. Does the issue of bionics within a student-centered module generate long-term knowledge? Stud. Educ. Eval. 2017, 55, 117–124. [Google Scholar] [CrossRef]
- Birbaumer, N.; Schmidt, R.F. Lernen und Gedächtnis. In Biologische Psychologie, 6th ed.; Birbaumer, N., Schmidt, R.F., Eds.; Springer: Berlin/Heidelberg, Germany, 2006; pp. 593–638. ISBN 3-540-25460-9. [Google Scholar]
- Glaab, S.; Heyne, T. Green classroom vs. classroom—Influence of teaching approaches, learning settings, and state emotions on environmental values of primary school children. Appl. Environ. Educ. Commun. 2019, 18, 179–190. [Google Scholar] [CrossRef]
- Boeve-de Pauw, J.; van Petegem, P. The Effect of Flemish Eco-Schools on Student Environmental Knowledge, Attitudes, and Affect. Int. J. Sci. Educ. 2011, 33, 1513–1538. [Google Scholar] [CrossRef]
- Milfont, T.L.; Duckitt, J. The structure of environmental attitudes: A first- and second-order confirmatory factor analysis. J. Environ. Psychol. 2004, 24, 289–303. [Google Scholar] [CrossRef]
- Schneller, A.J.; Johnson, B.; Bogner, F.X. Measuring children’s environmental attitudes and values in northwest Mexico: Validating a modified version of measures to test the Model of Ecological Values (2-MEV). Environmental Education Research. Environ. Educ. Res. 2015, 21, 61–75. [Google Scholar] [CrossRef]
- Thorn, C.; Bogner, F.X. How Environmental Values Predict Acquisition of Different Cognitive Knowledge Types with Regard to Forest Conservation. Sustainability 2018, 10, 2188. [Google Scholar] [CrossRef]
- Liefländer, A.K.; Bogner, F.X. Educational impact on the relationship of environmental knowledge and attitudes. Environ. Educ. Res. 2016, 24, 611–624. [Google Scholar] [CrossRef]
- Oerke, B.; Bogner, F.X. Social Desirability, Environmental Attitudes, and General Ecological Behaviour in Children. Int. J. Sci. Educ. 2013, 35, 713–730. [Google Scholar] [CrossRef]
- Herrmann, P.; Waxman, S.R.; Medin, D.L. Anthropocentrism is not the first step in children’s reasoning about the natural world. Proc. Natl. Acad. Sci. USA 2010, 107, 9979–9984. [Google Scholar] [CrossRef] [PubMed]
- Drissner, J.; Haase, H.-M.; Hille, K. Short-term Environmental Education—Does it work?—An evaluation of the ‘Green Classroom’. J. Biol. Educ. 2010, 44, 149–155. [Google Scholar] [CrossRef]
- Wiegand, F.; Kubisch, A.; Heyne, T. Out-of-school learning in the botanical garden: Guided or self-determined learning at workstations? Stud. Educ. Eval. 2013, 39, 161–168. [Google Scholar] [CrossRef]
Publisher’s Note: MDPI stays neutral with regard to jurisdictional claims in published maps and institutional affiliations. |
© 2021 by the authors. Licensee MDPI, Basel, Switzerland. This article is an open access article distributed under the terms and conditions of the Creative Commons Attribution (CC BY) license (http://creativecommons.org/licenses/by/4.0/).