Hydrologic Analysis of an Intensively Irrigated Area in Southern Peru Using a Crop-Field Scale Framework
Abstract
1. Introduction
2. Materials and Methods
2.1. Study Area
2.2. Model Description
2.3. Soil Water Assessment Tool (SWAT) Model Inputs
2.4. Model Configuration
2.5. SWAT Sensitivity Analysis, Calibration, and Validation
2.6. Model Uncertainty
3. Results and Discussion
3.1. Parameter Sensitivity Analysis
3.2. Model Calibration and Validation
3.3. Model Verification
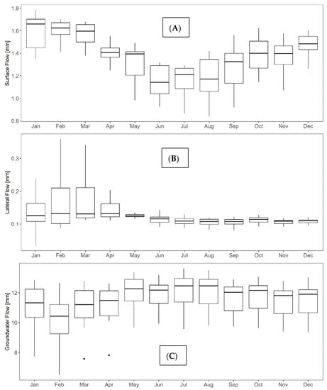
3.4. Water Balance Analysis by Agricultural Irrigations
3.5. Limitations of Data and Methods
4. Management Recommendations for Future Applications
5. Summary and Conclusions
Author Contributions
Funding
Acknowledgments
Conflicts of Interest
Appendix A

References
- Gordon, L.J.; Peterson, G.D.; Bennett, E.M. Agricultural Modifications of Hydrological Flows Create Ecological Surprises. Trends Ecol. Evol. 2008, 23, 211–219. [Google Scholar] [CrossRef] [PubMed]
- Morway, E.D.; Gates, T.K.; Niswonger, R.G. Appraising Options to Reduce Shallow Groundwater Tables and Enhance Flow Conditions over Regional Scales in an Irrigated Alluvial Aquifer System. J. Hydrol. 2013, 495, 216–237. [Google Scholar] [CrossRef]
- Ahn, S.; Abudu, S.; Sheng, Z.; Mirchi, A. Hydrologic Impacts of Drought-Adaptive Agricultural Water Management in a Semi-Arid River Basin: Case of Rincon Valley, New Mexico. Agric. Water Manag. 2018, 209, 206–218. [Google Scholar] [CrossRef]
- Garcia-Tejero, I.F.; Duran-Zuazo, V.H.D. Water Scarcity and Sustainable Agriculture in Semiarid Environment: Tools, Strategies, and Challenges for Woody Crops; Academic Press: Cambridge, MA, USA, 2018; ISBN 978-0-12-813165-7. [Google Scholar]
- Samimi, M.; Mirchi, A.; Moriasi, D.; Ahn, S.; Alian, S.; Taghvaeian, S.; Sheng, Z. Modeling Arid/Semi-Arid Irrigated Agricultural Watersheds with SWAT: Applications, Challenges, and Solution Strategies. J. Hydrol. 2020, 590, 125418. [Google Scholar] [CrossRef]
- Garcia-Chevesich, P.; Wei, X.; Ticona, J.; Martínez, G.; Zea, J.; García, V.; Alejo, F.; Zhang, Y.; Flamme, H.; Graber, A.; et al. The Impact of Agricultural Irrigation on Landslide Triggering: A Review from Chinese, English, and Spanish Literature. Water 2021, 13, 10. [Google Scholar] [CrossRef]
- Gosain, A.K.; Rao, S.; Srinivasan, R.; Reddy, N.G. Return-Flow Assessment for Irrigation Command in the Palleru River Basin Using SWAT Model. Hydrol. Process. 2005, 19, 673–682. [Google Scholar] [CrossRef]
- Sorooshian, S.; AghaKouchak, A.; Li, J. Influence of Irrigation on Land Hydrological Processes over California. J. Geophys. Res. Atmos. 2014, 119, 13137–13152. [Google Scholar] [CrossRef]
- Ahmadzadeh, H.; Morid, S.; Delavar, M.; Srinivasan, R. Using the SWAT Model to Assess the Impacts of Changing Irrigation from Surface to Pressurized Systems on Water Productivity and Water Saving in the Zarrineh Rud Catchment. Agric. Water Manag. 2016, 175, 15–28. [Google Scholar] [CrossRef]
- Yan, R.; Gao, J.; Li, L. Modeling the Hydrological Effects of Climate and Land Use/Cover Changes in Chinese Lowland Polder Using an Improved WALRUS Model. Hydrol. Res. 2016, 47, 84–101. [Google Scholar] [CrossRef]
- Dozier, A.Q.; Arabi, M.; Wostoupal, B.C.; Goemans, C.G.; Zhang, Y.; Paustian, K. Declining Agricultural Production in Rapidly Urbanizing Semi-Arid Regions: Policy Tradeoffs and Sustainability Indicators. Environ. Res. Lett. 2017, 12, 085005. [Google Scholar] [CrossRef]
- Zou, M.; Kang, S.; Niu, J.; Lu, H. A New Technique to Estimate Regional Irrigation Water Demand and Driving Factor Effects Using an Improved SWAT Model with LMDI Factor Decomposition in an Arid Basin. J. Clean. Prod. 2018, 185, 814–828. [Google Scholar] [CrossRef]
- Zhang, Y.; Arabi, M.; Paustian, K. Analysis of Parameter Uncertainty in Model Simulations of Irrigated and Rainfed Agroecosystems. Environ. Model. Softw. 2020, 126, 104642. [Google Scholar] [CrossRef]
- Zimnicki, T.; Boring, T.; Evenson, G.; Kalcic, M.; Karlen, D.L.; Wilson, R.S.; Zhang, Y.; Blesh, J. On Quantifying Water Quality Benefits of Healthy Soils. BioScience 2020, 70, 343–352. [Google Scholar] [CrossRef]
- Liu, X. Evaluating the Hydrologic Response to Irrigation and Aquifer Storage and Recovery in the Republican River Basin. Master’s Thesis, Michigan State University, Lansing, MI, USA, 2018. [Google Scholar]
- Mahmoud, S.H.; Alazba, A.A. Hydrological Response to Land Cover Changes and Human Activities in Arid Regions Using a Geographic Information System and Remote Sensing. PLoS ONE 2015, 10, e0125805. [Google Scholar] [CrossRef]
- Li, H.; Zhang, Q.; Singh, V.P.; Shi, P.; Sun, P. Hydrological Effects of Cropland and Climatic Changes in Arid and Semi-Arid River Basins: A Case Study from the Yellow River Basin, China. J. Hydrol. 2017, 549, 547–557. [Google Scholar] [CrossRef]
- Wei, X.; Bailey, R.T.; Tasdighi, A. Using the SWAT Model in Intensively Managed Irrigated Watersheds: Model Modification and Application. J. Hydrol. Eng. 2018, 23, 04018044. [Google Scholar] [CrossRef]
- Zhang, L.; Jin, X.; He, C.; Zhang, B.; Zhang, X.; Li, J.; Zhao, C.; Tian, J.; DeMarchi, C. Comparison of SWAT and DLBRM for Hydrological Modeling of a Mountainous Watershed in Arid Northwest China. J. Hydrol. Eng. 2016, 21, 04016007. [Google Scholar] [CrossRef]
- Huang, S.; Krysanova, V.; Zhai, J.; Su, B. Impact of Intensive Irrigation Activities on River Discharge Under Agricultural Scenarios in the Semi-Arid Aksu River Basin, Northwest China. Water Resour. Manag. 2015, 29, 945–959. [Google Scholar] [CrossRef]
- Zheng, J.; Li, G.; Han, Z.; Meng, G. Hydrological Cycle Simulation of an Irrigation District Based on a SWAT Model. Math. Comput. Model. 2010, 51, 1312–1318. [Google Scholar] [CrossRef]
- Liu, X.; Wang, S.; Xue, H.; Singh, V.P. Simulating Crop Evapotranspiration Response under Different Planting Scenarios by Modified SWAT Model in an Irrigation District, Northwest China. PLoS ONE 2015, 10, e0139839. [Google Scholar] [CrossRef]
- Shi, Y.Z.; Fan, M.Y.; Liu, H.J.; Huang, J.W. Quantifying Irrigation Impact on Water Cycle Based on Improved SWAT Model in Paddy District. Available online: https://www.scientific.net/AMR.726-731.3457 (accessed on 4 October 2020).
- Awan, U.K.; Tischbein, B.; Martius, C. Combining Hydrological Modeling and GIS Approaches to Determine the Spatial Distribution of Groundwater Recharge in an Arid Irrigation Scheme. Irrig. Sci. 2013, 31, 793–806. [Google Scholar] [CrossRef]
- Wen, J.; Wang, S.; Wang, H.; Cui, Y. Study on Water Cycle Simulation Model of Multi-Sources and Multi-Functional Irrigation Area Based on SWAT Model (II): Application of Wanyao Irrigation Area. IOP Conf. Ser. Earth Environ. Sci. 2020, 510, 032019. [Google Scholar] [CrossRef]
- Sun, H.; Cornish, P.S. Estimating Shallow Groundwater Recharge in the Headwaters of the Liverpool Plains Using SWAT. Hydrol. Process. 2005, 19, 795–807. [Google Scholar] [CrossRef]
- Xie, X.; Cui, Y. Development and Test of SWAT for Modeling Hydrological Processes in Irrigation Districts with Paddy Rice. J. Hydrol. 2011, 396, 61–71. [Google Scholar] [CrossRef]
- Sellami, H.; Benabdallah, S.; La Jeunesse, I.; Vanclooster, M. Quantifying Hydrological Responses of Small Mediterranean Catchments under Climate Change Projections. Sci. Total Environ. 2016, 543, 924–936. [Google Scholar] [CrossRef]
- Özcan, Z.; Kentel, E.; Alp, E. Evaluation of the Best Management Practices in a Semi-Arid Region with High Agricultural Activity. Agric. Water Manag. 2017, 194, 160–171. [Google Scholar] [CrossRef]
- Qi, J.; Li, S.; Bourque, C.P.; Xing, Z.; Fan-Rui, M. Developing a Decision Support Tool for Assessing Land Use Change and BMPs in Ungauged Watersheds Based on Decision Rules Provided by SWAT Simulation. Hydrol. Earth Syst. Sci. 2018, 22, 3789. [Google Scholar] [CrossRef]
- Uniyal, B.; Dietrich, J. Modifying Automatic Irrigation in SWAT for Plant Water Stress Scheduling. Agric. Water Manag. 2019, 223, 105714. [Google Scholar] [CrossRef]
- McInerney, D.; Thyer, M.; Kavetski, D.; Githui, F.; Thayalakumaran, T.; Liu, M.; Kuczera, G. The Importance of Spatiotemporal Variability in Irrigation Inputs for Hydrological Modeling of Irrigated Catchments. Water Resour. Res. 2018, 54, 6792–6821. [Google Scholar] [CrossRef]
- Daneshvar, F.; Frankenberger, J.R.; Bowling, L.C.; Cherkauer, K.A.; de Lima Moraes, A.G. Development of Strategy for SWAT Hydrologic Modeling in Data-Scarce Regions of Peru. J. Hydrol. Eng. 2021. [Google Scholar] [CrossRef]
- Cjacya-Solis, R. Caracterización de la Producción Frutícola Minifundista en la Irrigación Majes, Region Arequipa; Universidad Nacional de San Agustín de Arequipa: Arequipa, Peru, 2015. [Google Scholar]
- Lacroix, P.; Dehecq, A.; Taipe, E. Irrigation-Triggered Landslides in a Peruvian Desert Caused by Modern Intensive Farming. Nat. Geosci. 2020, 13, 56–60. [Google Scholar] [CrossRef]
- Huayta-Mamani, E. Propuesta Para la Implementación de las Buenas Prácticas Agrícolas (Bpa) en el Cultivo de Quinua en la IRRIGACIÓN Majes—Arequipa; Universidad Nacional de San Agustín de Arequipa: Arequipa, Peru, 2016. [Google Scholar]
- Cruz, F.J. Evaluación del Efecto de tres Sistemas de Labranza Sobre la Capacidad de Almacenamiento de Agua del suelo, en la Irrigación Majes. 2016; Universidad Nacional de San Agustín de Arequipa: Arequipa, Peru, 2018. [Google Scholar]
- Parra, J.R. Evaluación del Efecto de Tres Sistemas de Labranza Sobre las Pérdidas de Agua Desde el Suelo, en la Irrigación Majes-Arequipa; Universidad Nacional de San Agustín de Arequipa: Arequipa, Peru, 2019. [Google Scholar]
- Sanchez, D.K. Efecto de la Poliacrilamida en el Rendimiento y Volumen de Riego en Maiz (Zea mays) var. Opaco mal paso Irrigacion Majes; Universidad Nacional de San Agustín de Arequipa: Arequipa, Peru, 2019. [Google Scholar]
- Alata, N.S. Modelo de Reconversión Para Productores Agropecuarios en Proyectos de Irrigación en Zonas Áridas, Caso: Majes; Universidad Nacional de San Agustín de Arequipa: Arequipa, Peru, 2017. [Google Scholar]
- Amado, M.F. Determinación Bacteriológica de la Calidad del Agua de Consumo Humano, Regadío y Bebida de Animales del Distrito de Majes, Provincia de Caylloma, Departamento de Arequipa, Abril–Mayo 2017; Universidad Nacional de San Agustín de Arequipa: Arequipa, Peru, 2018. [Google Scholar]
- Delgado, J.V.; Vincent, L. Community Irrigation Supplies and Regional Water Transfers in the Colca Valley, Peru. Mred 2013, 33, 195–206. [Google Scholar] [CrossRef]
- Stensrud, A.B. Dreams of Growth and Fear of Water Crisis: The Ambivalence of “Progress” in the Majes-Siguas Irrigation Project, Peru. Hist. Anthropol. 2016, 27, 569–584. [Google Scholar] [CrossRef]
- Santhi, C.; Srinivasan, R.; Arnold, J.G.; Williams, J.R. A Modeling Approach to Evaluate the Impacts of Water Quality Management Plans Implemented in a Watershed in Texas. Environ. Model. Softw. 2006, 21, 1141–1157. [Google Scholar] [CrossRef]
- Ullberg, B.S. Making the Megaproject: Water Infrastructure and Hydrocracy at the Public-Private Interface in Peru. Water Altern. 2019, 12, 503–520. [Google Scholar]
- Jacoby, A. Out of the Box: Cross-Cultural Research for Sustainable Agriculture in Arequipa, Peru. J. Purdue Undergrad. Res. 2020, 10, 9. [Google Scholar] [CrossRef]
- Gobierno Regional Arequipa. Elaboración Del Estudio de Suelos y La Clasificación de Tierras Por Su Capacidad de Uso Mayor En La Región Arequipa; Proyecto Desarrollo de Capacidades en Zonificación Ecológica Económica para el Ordenamiento Territorial en la Región Arequipa; Autoridad Regional Ambiental de Arequipa, Gobierno Regional Arequipa: Arequipa, Peru, 2016; p. 1152.
- Huanca, A. Actualización de Asignación de Agua En Bloques Pampa de Majes—Arequipa; Autoridad Nacional del Agua, Ministerio de Agricultura: Arequipa, Peru, 2011; p. 849. [Google Scholar]
- Arnold, J.G.; Srinivasan, R.; Muttiah, R.S.; Williams, J.R. Large Area Hydrologic Modeling and Assessment Part I: Model Development1. JAWRA J. Am. Water Resour. Assoc. 1998, 34, 73–89. [Google Scholar] [CrossRef]
- Arabi, M.; Govindaraju, R.S.; Hantush, M.M. A Probabilistic Approach for Analysis of Uncertainty in the Evaluation of Watershed Management Practices. J. Hydrol. 2007, 333, 459–471. [Google Scholar] [CrossRef]
- Gassman, P.W.; Sadeghi, A.M.; Srinivasan, R. Applications of the SWAT Model Special Section: Overview and Insights. J. Environ. Qual. 2014, 43, 1–8. [Google Scholar] [CrossRef]
- Rafiei Emam, A.; Kappas, M.; Linh, N.H.K.; Renchin, T. Hydrological Modeling and Runoff Mitigation in an Ungauged Basin of Central Vietnam Using SWAT Model. Hydrology 2017, 4, 16. [Google Scholar] [CrossRef]
- Bailey, R.T.; Tavakoli-Kivi, S.; Wei, X. A Salinity Module for SWAT to Simulate Salt Ion Fate and Transport at the Watershed Scale. Hydrol. Earth Syst. Sci. 2019, 23, 3155–3174. [Google Scholar] [CrossRef]
- Soil Conservation Service (SCS). Section 4: Hydrology. In National Engineering Handbook; SCS: Washington, DC, USA, 1972. [Google Scholar]
- Rallison, R.E.; Miller, N. Past, Present, and Future SCS Runoff Procedure. In Proceedings of the International Symposium on Rainfall-Runoff Modeling, Starkville, MS, USA, 18–21 May 1981. [Google Scholar]
- Neitsch, S.L.; Arnold, J.G.; Kiniry, J.R.; Williams, J.R. Soil and Water Assessment Tool Theoretical Documentation Version 2009; Texas Water Resources Institute: College Station, TX, USA, 2011. [Google Scholar]
- Gill, M.A. Flood Routing by the Muskingum Method. J. Hydrol. 1978, 36, 353–363. [Google Scholar] [CrossRef]
- Cao, Y.; Zhang, J.; Yang, M.; Lei, X.; Guo, B.; Yang, L.; Zeng, Z.; Qu, J. Application of SWAT Model with CMADS Data to Estimate Hydrological Elements and Parameter Uncertainty Based on SUFI-2 Algorithm in the Lijiang River Basin, China. Water 2018, 10, 742. [Google Scholar] [CrossRef]
- Mengistu, A.G.; van Rensburg, L.D.; Woyessa, Y.E. Techniques for Calibration and Validation of SWAT Model in Data Scarce Arid and Semi-Arid Catchments in South Africa. J. Hydrol. Reg. Stud. 2019, 25, 100621. [Google Scholar] [CrossRef]
- Winchell, M.; Srinivasan, R.; Di Luzio, M.; Arnold, J. ArcSWAT Interface for SWAT2012: User’s Guide. Blackland Research and Extension Center, Texas Agrilife Research. Grassland. In Soil and Water Research Laboratory; USDA Agricultural Research Service: Temple, TX, USA, 2013; Volume 3. [Google Scholar]
- FAO. Digital Soil Map of the World and Derived Soil Properties; FAO, Land and Water Development Division: Rome, Italy, 2003. [Google Scholar]
- Moraes, A.G.; Bowling, L.C.; Zeballos Velarde, C.R.; Cherkauer, K.A. Arequipa Climate Maps—Normals; Purdue University Research Repository: West Lafayette, IN, USA, 2019. [Google Scholar] [CrossRef]
- Sharpley, A.N.; Williams, J.R. EPIC-Erosion/Productivity Impact Calculator. I: Model Documentation. II: User Manual; Technical Bulletin; United States Department of Agriculture: Washington, DC, USA, 1990. [Google Scholar]
- Quiroz, J.A. Implementación De Un Modelo Eficiente De Uso De Agua Destinado Para La Agricultura Basado En Sistemas De Información Geográfica En La Irrigación Del Bajo Cural, Arequipa 2018; Universidad Católica de Santa María: Arequipa, Peru, 2019. [Google Scholar]
- Rosales, J.; Parodi, G.; Carlini, B. Evaluación Del Ciclo Fenológico Del Palto (Persea Americana Mill) Cv. Hass Para La Zona de La Irrigación Santa Rosa, Perú. In Proceedings of the Proc V World Avocado Congress, Málaga, Spain, 19–24 October 2003; pp. 311–316. [Google Scholar]
- Ataucasi-Quispe, S. Maneo Técnico Del Cultivo de Palta; Programa PRA Buenaventura; CSE: Arequipa, Peru, 2015; pp. 38–39. [Google Scholar]
- FAO. Crop Evapotranspiration: Guidelines for Computing Crop Water Requirements; FAO Irrigation and Drainage Paper; Allen, R.G., Pereira, L.S., Raes, D., Smith, M., Eds.; Food and Agriculture Organization of the United Nations: Rome, Italy, 1998; ISBN 978-92-5-104219-9. [Google Scholar]
- Abbaspour, K.C. SWAT-CUP 2012. SWAT Calibration and Uncertainty Program—A User Manual; Eawag: Dübendorf, Switzerland, 2013. [Google Scholar]
- Ouessar, M.; Bruggeman, A.; Abdelli, F.; Mohtar, R.H.; Gabriels, D.; Cornelis, W.M. Modelling Water-Harvesting Systems in the Arid South of Tunisia Using SWAT. Hydrol. Earth Syst. Sci. 2009, 13, 2003–2021. [Google Scholar] [CrossRef]
- Cibin, R.; Sudheer, K.P.; Chaubey, I. Sensitivity and Identifiability of Stream Flow Generation Parameters of the SWAT Model. Hydrol. Process. 2010, 24, 1133–1148. [Google Scholar] [CrossRef]
- Dechmi, F.; Burguete, J.; Skhiri, A. SWAT Application in Intensive Irrigation Systems: Model Modification, Calibration and Validation. J. Hydrol. 2012, 470–471, 227–238. [Google Scholar] [CrossRef]
- Wei, X.; Bailey, R.T. Assessment of System Responses in Intensively Irrigated Stream–Aquifer Systems Using SWAT-MODFLOW. Water 2019, 11, 1576. [Google Scholar] [CrossRef]
- Servat, E.; Dezetter, A. Selection of Calibration Objective Fonctions in the Context of Rainfall-Ronoff Modelling in a Sudanese Savannah Area. Hydrol. Sci. J. 1991, 36, 307–330. [Google Scholar] [CrossRef]
- Geza, M.; Poeter, E.P.; McCray, J.E. Quantifying Predictive Uncertainty for a Mountain-Watershed Model. J. Hydrol. 2009, 376, 170–181. [Google Scholar] [CrossRef]
- Geza, M.; Murray, K.E.; McCray, J.E. Watershed-Scale Impacts of Nitrogen from On-Site Wastewater Systems: Parameter Sensitivity and Model Calibration. J. Environ. Eng. 2010, 136, 926–938. [Google Scholar] [CrossRef]
- Wei, X.; Bailey, R.T.; Records, R.M.; Wible, T.C.; Arabi, M. Comprehensive Simulation of Nitrate Transport in Coupled Surface-Subsurface Hydrologic Systems Using the Linked SWAT-MODFLOW-RT3D Model. Environ. Model. Softw. 2018. [Google Scholar] [CrossRef]
- Qi, J.; Zhang, X.; Yang, Q.; Srinivasan, R.; Arnold, J.G.; Li, J.; Waldholf, S.T.; Cole, J. SWAT Ungauged: Water Quality Modeling in the Upper Mississippi River Basin. J. Hydrol. 2020, 584, 124601. [Google Scholar] [CrossRef]
- Almorox, J.; Quej, V.H.; Martí, P. Global Performance Ranking of Temperature-Based Approaches for Evapotranspiration Estimation Considering Köppen Climate Classes. J. Hydrol. 2015, 528, 514–522. [Google Scholar] [CrossRef]
- Abbaspour, K.C.; Yang, J.; Maximov, I.; Siber, R.; Bogner, K.; Mieleitner, J.; Zobrist, J.; Srinivasan, R. Modelling Hydrology and Water Quality in the Pre-Alpine/Alpine Thur Watershed Using SWAT. J. Hydrol. 2007, 333, 413–430. [Google Scholar] [CrossRef]
- Fukunaga, D.C.; Cecílio, R.A.; Zanetti, S.S.; Oliveira, L.T.; Caiado, M.A.C. Application of the SWAT Hydrologic Model to a Tropical Watershed at Brazil. CATENA 2015, 125, 206–213. [Google Scholar] [CrossRef]
- Gao, X.; Chen, X.; Biggs, T.W.; Yao, H. Separating Wet and Dry Years to Improve Calibration of SWAT in Barrett Watershed, Southern California. Water 2018, 10, 274. [Google Scholar] [CrossRef]
- Rivas-Tabares, D.; Tarquis, A.M.; Willaarts, B.; De Miguel, Á. An Accurate Evaluation of Water Availability in Sub-Arid Mediterranean Watersheds through SWAT: Cega-Eresma-Adaja. Agric. Water Manag. 2019, 212, 211–225. [Google Scholar] [CrossRef]
- Guse, B.; Reusser, D.E.; Fohrer, N. How to Improve the Representation of Hydrological Processes in SWAT for a Lowland Catchment—Temporal Analysis of Parameter Sensitivity and Model Performance. Hydrol. Process. 2014, 28, 2651–2670. [Google Scholar] [CrossRef]
- Moriasi, D.N.; Gitau, M.W.; Pai, N.; Daggupati, P. Hydrologic and Water Quality Models: Performance Measures and Evaluation Criteria. Trans. ASABE 2015, 58, 1763–1785. [Google Scholar]
- Ricci, G.F.; Girolamo, A.M.D.; Abdelwahab, O.M.M.; Gentile, F. Identifying Sediment Source Areas in a Mediterranean Watershed Using the SWAT Model. Land Degrad. Dev. 2018, 29, 1233–1248. [Google Scholar] [CrossRef]
- Chen, Y.; Marek, G.W.; Marek, T.H.; Porter, D.O.; Moorhead, J.E.; Heflin, K.R.; Brauer, D.K.; Srinivasan, R. Watershed Scale Evaluation of an Improved SWAT Auto-Irrigation Function. Environ. Model. Softw. 2020, 131, 104789. [Google Scholar] [CrossRef]
- Panagopoulos, Y.; Makropoulos, C.; Mimikou, M. Reducing Surface Water Pollution through the Assessment of the Cost-Effectiveness of BMPs at Different Spatial Scales. J. Environ. Manag. 2011, 92, 2823–2835. [Google Scholar] [CrossRef] [PubMed]
- Shultz, C.D.; Bailey, R.T.; Gates, T.K.; Heesemann, B.E.; Morway, E.D. Simulating Selenium and Nitrogen Fate and Transport in Coupled Stream-Aquifer Systems of Irrigated Regions. J. Hydrol. 2018, 560, 512–529. [Google Scholar] [CrossRef]
- Gassman, P.W.; Reyes, M.R.; Green, C.H.; Arnold, J.G. The Soil and Water Assessment Tool: Historical Development, Applications, and Future Research Directions. Trans. ASABE 2007, 50, 1211–1250. [Google Scholar] [CrossRef]
- Fleckenstein, J.H.; Krause, S.; Hannah, D.M.; Boano, F. Groundwater-Surface Water Interactions: New Methods and Models to Improve Understanding of Processes and Dynamics. Adv. Water Resour. 2010, 33, 1291–1295. [Google Scholar] [CrossRef]
- Bailey, R.T.; Wible, T.C.; Arabi, M.; Records, R.M.; Ditty, J. Assessing Regional-Scale Spatio-Temporal Patterns of Groundwater–Surface Water Interactions Using a Coupled SWAT-MODFLOW Model. Hydrol. Process. 2016, 30, 4420–4433. [Google Scholar] [CrossRef]
- Valdés-Pineda, R.; Pizarro, R.; García-Chevesich, P.; Valdés, J.B.; Olivares, C.; Vera, M.; Balocchi, F.; Pérez, F.; Vallejos, C.; Fuentes, R.; et al. Water Governance in Chile: Availability, Management and Climate Change. J. Hydrol. 2014, 519, 2538–2567. [Google Scholar] [CrossRef]
- Mu, Q.; Zhao, M.; Running, S.W. MODIS Global Terrestrial Evapotranspiration (ET) Product (NASA MOD16A2/A3). In Algorithm Theoretical Basis Document, Collection; NASA: Washington, DC, USA, 2013; Volume 5. [Google Scholar]
- Uniyal, B.; Dietrich, J.; Vu, N.Q.; Jha, M.K.; Arumí, J.L. Simulation of Regional Irrigation Requirement with SWAT in Different Agro-Climatic Zones Driven by Observed Climate and Two Reanalysis Datasets. Sci. Total Environ. 2019, 649, 846–865. [Google Scholar] [CrossRef]
- Krause, S.; Bronstert, A. The Impact of Groundwater–Surface Water Interactions on the Water Balance of a Mesoscale Lowland River Catchment in Northeastern Germany. Hydrol. Process. 2007, 21, 169–184. [Google Scholar] [CrossRef]
- Jewlett, J.D. Principles of Forest Hydrology. In Principles of Forest Hydrology; University of Georgia Press: Athens, GA, USA, 2003; Volume 90, p. 192. [Google Scholar]
- Awan, U.K.; Ismaeel, A. A New Technique to Map Groundwater Recharge in Irrigated Areas Using a SWAT Model under Changing Climate. J. Hydrol. 2014, 519, 1368–1382. [Google Scholar] [CrossRef]
- Niswonger, R.G.; Morway, E.D.; Triana, E.; Huntington, J.L. Managed Aquifer Recharge through Off-Season Irrigation in Agricultural Regions. Water Resour. Res. 2017, 53, 6970–6992. [Google Scholar] [CrossRef]
- Araujo Huamán, G.E.; Taipe Maquerhua, E.L.; Miranda Cruz, R.; Valderrama Murillo, P.A. Dinámica y Monitoreo del Deslizamiento de Siguas. Región Arequipa, Provincia Caylloma y Arequipa, Distrito Majes y San Juan de Siguas; Instituto Geológico, Minero y Metalúrgico—INGEMMET: Lima, Peru, 2017. [Google Scholar]
- Quintero, M.; Wunder, S.; Estrada, R.D. For Services Rendered? Modeling Hydrology and Livelihoods in Andean Payments for Environmental Services Schemes. For. Ecol. Manag. 2009, 258, 1871–1880. [Google Scholar] [CrossRef]
- Francesconi, W.; Srinivasan, R.; Pérez-Miñana, E.; Willcock, S.P.; Quintero, M. Using the Soil and Water Assessment Tool (SWAT) to Model Ecosystem Services: A Systematic Review. J. Hydrol. 2016, 535, 625–636. [Google Scholar] [CrossRef]
- Garcia-Chevesich, P. Erosion Control and Land Restoration; Outskirts Press: Denver, CO, USA, 2016; p. 249. [Google Scholar]
- Obbink, J.G.; Alexander, D.M. Observations of Soil Water and Salt Movement under Drip and Flood Irrigation in an Apple Orchard. Agric. Water Manag. 1977, 1, 179–190. [Google Scholar] [CrossRef]
- Parajuli, P.B.; Jayakody, P.; Sassenrath, G.F.; Ouyang, Y.; Pote, J.W. Assessing the Impacts of Crop-Rotation and Tillage on Crop Yields and Sediment Yield Using a Modeling Approach. Agric. Water Manag. 2013, 119, 32–42. [Google Scholar] [CrossRef]
- Garcia-Chevesich, P.; García, V.; Martínez, G.; Zea, J.; Ticona, J.; Alejo, F.; Vanneste, J.; Acker, S.; Vanzin, G.; Malone, A.; et al. Inexpensive Organic Materials and Their Applications towards Heavy Metal Attenuation in Waters from Southern Peru. Water 2020, 12, 2948. [Google Scholar] [CrossRef]
- WWAP. Informe Mundial de Las Naciones Unidas Sobre El Desarrollo de Los Recursos Hídricos 2019: No Dejar a Nadie Atrás; Programa Mundial de Evaluación de los Recursos Hídricos de la UNESCO: Paris, France, 2019; p. 215. [Google Scholar]
- Porter, J.R.; Challinor, A.J.; Henriksen, C.B.; Howden, S.M.; Martre, P.; Smith, P. Invited Review: Intergovernmental Panel on Climate Change, Agriculture, and Food—A Case of Shifting Cultivation and History. Glob. Chang. Biol. 2019, 25, 2518–2529. [Google Scholar] [CrossRef]
- Brookfield, A.E.; Gnau, C. Optimizing Water Management for Irrigation Under Climate Uncertainty: Evaluating Operational and Structural Alternatives in the Lower Republican River Basin, Kansas, USA. Water Resour. Manag. 2016, 30, 607–622. [Google Scholar] [CrossRef]
- Zhang, Y.; Hansen, N.; Trout, T.; Nielsen, D.; Paustian, K. Modeling Deficit Irrigation of Maize with the DayCent Model. Agron. J. 2018, 110, 1754–1764. [Google Scholar] [CrossRef]
- Trout, T.J.; DeJonge, K.C. Water Productivity of Maize in the US High Plains. Irrigation Sci. 2017, 35, 251–266. [Google Scholar] [CrossRef]
- Roux, B.L.; van der Laan, M.; Gush, M.B.; Bristow, K.L. Comparing the Usefulness and Applicability of Different Water Footprint Methodologies for Sustainable Water Management in Agriculture. Irrig. Drain. 2018, 67, 790–799. [Google Scholar] [CrossRef]








| Date Type | Data Sources | Scale or Spatial Resolution | Data Description |
|---|---|---|---|
| Terrain | ALOS PALSAR Radiometrically Terrain-Corrected (RTC) | 12.5 m | Elevation |
| Digitized stream network | Arequipa National Water Authority (Autoridad Nacional del Agua—ANA) | 30 m | Stream network |
| Soil | FAO Digital Soil Map of the World | 10 km | Soil physical properties |
| land-use map | Ecological and Economic Zoning (ZEE) map of Arequipa region, Ministry of the Environment | 1:600,000 | Land cover classification |
| Weather | Peru National Service of Meteorology and Hydrology (SENAMHI) | - | Daily precipitation, max., min., temperature |
| Global Weather Data for SWAT | - | Daily wind speed, relative humidity, and solar radiation | |
| Streamflow | Majes Autonomous Authority (Autoridad Autónoma de Majes—AUTODEMA) | - | Daily observed streamflow |
| Canal diversion | Majes Autonomous Authority (Autoridad Autónoma de Majes—AUTODEMA) | - | Daily irrigation diversion |
| Crop | Vegetative Period (Months) | Plant Date | Harvest Date | Plow Date |
|---|---|---|---|---|
| Alfalfa | Permanent | 15-Jan | 15-Apr, 15-Aug, 15-Dec | 1-Jan |
| Avocado | Permanent | 15-Feb | 15-Nov | 1-Feb |
| Corn | 10 | 15-Aug | 15-May | 1-Aug |
| Silage | 2 | 15-Jun | 15-Jul | 1-Jun |
| Garlic | 7 | 15-Aug | 15-Feb | 1-Aug |
| Grape | Permanent | 15-Jan | 15-Nov | 1-Jan |
| Green Bean | 5 | 15-Mar | 15-Jul | 1-Feb |
| Onion | 6 | 15-Feb | 15-Jul | 1-Feb |
| Pepper | 6 | 15-Aug | 15-Jan | 1-Aug |
| Potato | 6 | 15-Aug | 15-Jan | 1-Aug |
| Pumpkin | 6 | 15-Feb | 15-Jul | 1-Feb |
| Tomato | 10 | 15-Feb | 15-Nov | 1-Feb |
| Crop Type | Year | Month | Day | Operation | Operation Number | Database ID |
|---|---|---|---|---|---|---|
| Pepper | 1 | January | 2 | Auto irrigation | 10 | - |
| Pepper | 1 | January | 3 | Auto N-fertilization | 11 | 1 |
| Pepper | 1 | January | 4 | Auto P-fertilization | 11 | 2 |
| Pepper | 1 | September | 1 | Tillage | 6 | - |
| Pepper | 1 | September | 15 | Plant growth | 1 | 116 |
| Pepper | - | - | - | End of year | 17 | - |
| Potato | 2 | February | 15 | Harvest and kill | 5 | - |
| Potato | 2 | March | 1 | Tillage | 6 | - |
| Potato | 2 | March | 15 | Plant growth | 1 | 70 |
| Potato | 2 | August | 15 | Harvest and kill | 5 | - |
| Pepper | 2 | September | 1 | Tillage | 6 | - |
| Pepper | 2 | September | 15 | Plant growth | 1 | 116 |
| Pepper | - | - | - | End of year | 17 | - |
| Parameter | Definition | t-Stat | p-Value |
|---|---|---|---|
| CN2.mgt | SCS runoff curve number for moisture condition II | −31.3094 | 0 |
| IRR_EFF.mgt | Irrigation Efficiency | −9.9820 | 0 |
| IRR_MX.mgt | Amount of irrigation water applied each time auto-irrigation is trigged (mm) | 6.3132 | 0 |
| SOL_AWC.sol | Available water capacity | 17.0050 | 0 |
| ESCO.hru | Soil evaporation sompensation factor | −3.9597 | 7.95E-05 |
| SOL_K.sol | Saturated hydraulic conductivity | −3.2274 | 0.0013 |
| GW_DELAY.gw | Delay time for aquifer recharge (days) | 2.4337 | 0.0151 |
| GWQMN.gw | Threshold depth of water level in shallow aquifered for return base flow to occur (mm) | 2.0485 | 0.0407 |
| SHALLST.gw | Initial depth of water in the shallow aquifer (mm) | −1.8036 | 0.0716 |
| REVAPMN.gw | Threshold depth of water level in shallow aquifered for ‘revap’ to occor (mm) | −1.8029 | 0.0717 |
| SOL_Z.sol | Depth from soil surface to bottom of layer | −1.6660 | 0.0960 |
| GW_REVAP.gw | Groundwater revap coefficient | 1.4377 | 0.1508 |
| ALPHA_BF.gw | Base flow recession constant (days) | −1.2667 | 0.2055 |
| HRU_SLP.hru | Average slope steepness | −1.2455 | 0.2133 |
| FLOWMIN.hru | Minimum in-stream flow for irrigation diversions | 1.1466 | 0.2518 |
| SURLAG.bsn | Surface runoff lag coefficient (days) | −0.9409 | 0.3470 |
| IRR_ASQ.mgt | Surface runoff ratio | 0.9166 | 0.3595 |
| AUTO_WSTRS.mgt | Water stress threshold that triggers irrigation | −0.8677 | 0.3857 |
| CH_K2.rte | Effective hydraulic conductivity of channel (mm/hr) | 0.6684 | 0.5040 |
| OV_N.hru | Manning’s n value for overland flow | −0.5860 | 0.5580 |
| SLSUBBSN.rte | Average slope lengths (m) | 0.0776 | 0.9381 |
| Parameter | Method of Change | Initial Range | Calibrated Values |
|---|---|---|---|
| Parameters governing surface water response | |||
| r_CN2.mgt | Relative | 35–98 | −0.36 |
| v_ESCO.hru | Replace | 0–1 | 0.9 |
| r_HRU_SLP.hru | Relative | 0–1 | 0.3 |
| v_SURLAG.bsn | Replace | 0.05–24 | 18 |
| v_CH_K2.rte | Replace | 0.01–200 | 73.2 |
| r_OV_N.hru | Relative | 0.01–30 | 0.19 |
| r_SLSUBBSN.rte | Relative | 10–150 | 0.16 |
| Parameters governing auto-irrigation | |||
| v_IRR_EFF{[[],10}.mgt | Replace | 0–1 | 0.75 |
| v_IRR_MX{[[],10}.mgt | Replace | 0–100 | 7.3 |
| v_FLOWMIN.hru | Replace | 0–100 | 1.4 |
| v_IRR_ASQ{[[],10}.mgt | Replace | 0–1 | 0.1 |
| v_AUTO_WSTRS{[[],10}.mgt | Replace | 0–1 | 0.9 |
| Parameters governing subsurface water response | |||
| v_GW_DELAY.gw | Replace | 0–500 | 163 |
| v_GWQMN.gw | Replace | 0–5000 | 1197 |
| v_SHALLST.gw | Replace | 0–10,000 | 6926 |
| v_REVAPMN.gw | Replace | 0–1000 | 554 |
| v_GW_REVAP.gw | Replace | 0.02–0.2 | 0 |
| v_ALPHA_BF.gw | Replace | 0–1 | 0.54 |
| Parameters governing soil properties | |||
| r_SOL_AWC().sol | Relative | 0–1 | 0.8 |
| r_SOL_K().sol | Relative | 0–2000 | 0.85 |
| r_SOL_Z().sol | Relative | 0–3500 | 0.11 |
Publisher’s Note: MDPI stays neutral with regard to jurisdictional claims in published maps and institutional affiliations. |
© 2021 by the authors. Licensee MDPI, Basel, Switzerland. This article is an open access article distributed under the terms and conditions of the Creative Commons Attribution (CC BY) license (http://creativecommons.org/licenses/by/4.0/).
Share and Cite
Wei, X.; Garcia-Chevesich, P.; Alejo, F.; García, V.; Martínez, G.; Daneshvar, F.; Bowling, L.C.; Gonzáles, E.; Krahenbuhl, R.; McCray, J.E. Hydrologic Analysis of an Intensively Irrigated Area in Southern Peru Using a Crop-Field Scale Framework. Water 2021, 13, 318. https://doi.org/10.3390/w13030318
Wei X, Garcia-Chevesich P, Alejo F, García V, Martínez G, Daneshvar F, Bowling LC, Gonzáles E, Krahenbuhl R, McCray JE. Hydrologic Analysis of an Intensively Irrigated Area in Southern Peru Using a Crop-Field Scale Framework. Water. 2021; 13(3):318. https://doi.org/10.3390/w13030318
Chicago/Turabian StyleWei, Xiaolu, Pablo Garcia-Chevesich, Francisco Alejo, Vilma García, Gisella Martínez, Fariborz Daneshvar, Laura C. Bowling, Edgard Gonzáles, Richard Krahenbuhl, and John E. McCray. 2021. "Hydrologic Analysis of an Intensively Irrigated Area in Southern Peru Using a Crop-Field Scale Framework" Water 13, no. 3: 318. https://doi.org/10.3390/w13030318
APA StyleWei, X., Garcia-Chevesich, P., Alejo, F., García, V., Martínez, G., Daneshvar, F., Bowling, L. C., Gonzáles, E., Krahenbuhl, R., & McCray, J. E. (2021). Hydrologic Analysis of an Intensively Irrigated Area in Southern Peru Using a Crop-Field Scale Framework. Water, 13(3), 318. https://doi.org/10.3390/w13030318

