Integrated Decision Support System for Pluvial Flood-Resilient Spatial Planning in Urban Areas
Abstract
:1. Introduction
2. Materials and Methods
2.1. Concept of the Extreme Weather Layer and Its Prerequisites
2.2. Input Data for the Extreme Weather Layer
2.3. Modelling Software
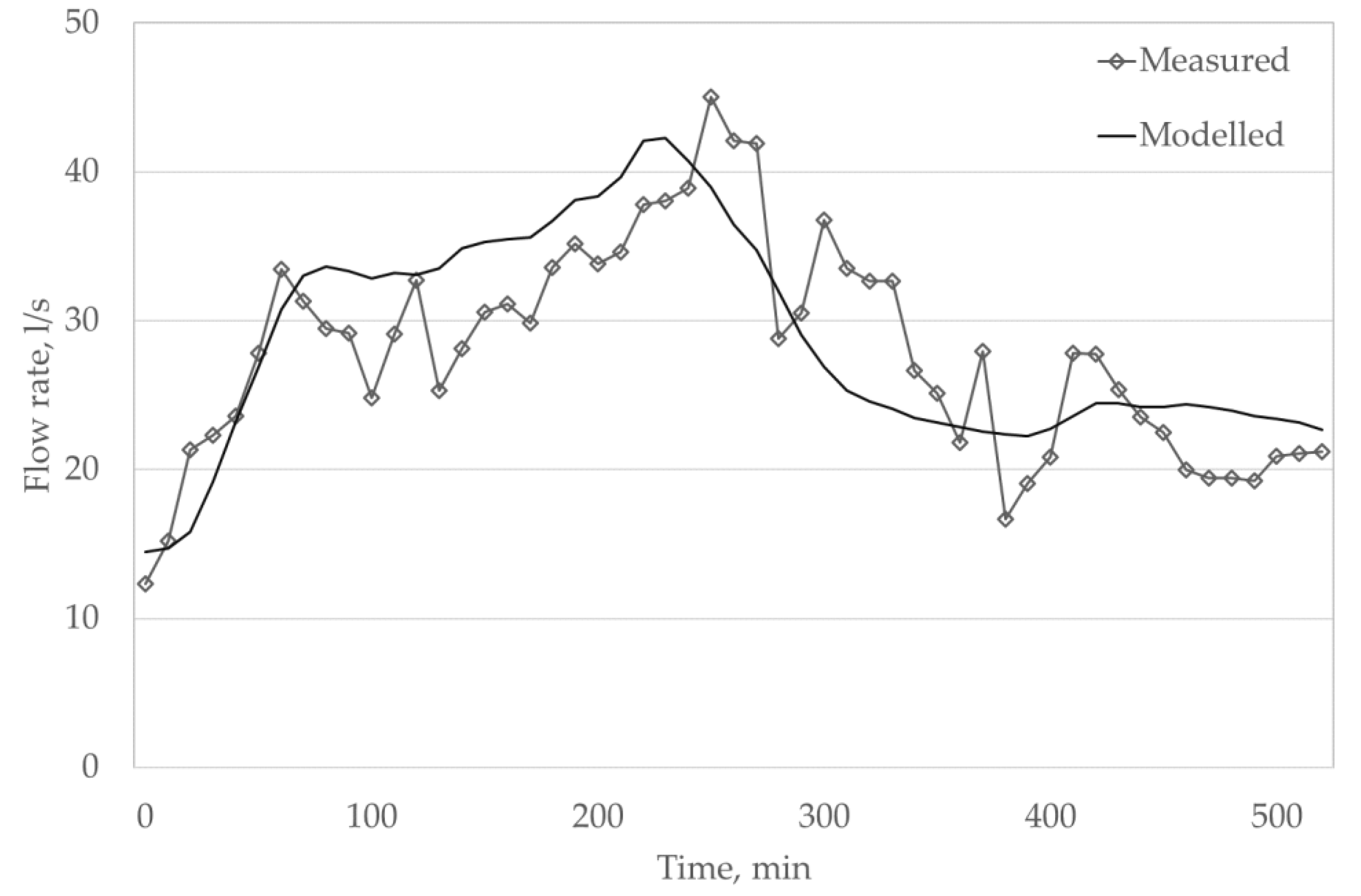
2.3.1. Urban Drainage Systems
2.3.2. Sub-Catchments
2.3.3. Climate Scenarios
2.4. Case Study Areas
3. Results
3.1. Mapping of Flood Prone Areas in Case Study Regions
- Risk Level 1—low flood risk. In this case, the flooding volume from the manhole is greater than 0.1 m3 and less than 1 m3 during a rainfall event. This usually does not cause any complications to the city or the functioning of its infrastructure. Water remains on the streets in low volumes and only for a few minutes after the rain event. Additional impermeable surfaces are allowed but their impact on the surrounding catchments and properties needs to be analyzed.
- Risk Level 2—moderate flood risk. The flood volume from a single manhole is between 1 and 7 m3 during a rainfall event. Water on the streets can cause the malfunctioning of urban services and pose a risk to properties. An increase in impermeable surfaces should be restricted. Mitigation measures are required in order to reduce the flooding risk in the sub-catchment and surrounding areas.
- Risk Level 3—severe flood risk. The flood volume from a manhole exceeds 7 m3 during the rainfall event. Mitigation measures are needed in order to reduce the flooding risk in the area. Additional developments with the increase in impermeable surfaces should not be allowed if runoff to the UDS is not reduced and/or detained at the property/plot level. Flooding causes damage to buildings and private property.
3.2. Planning of Mitigation Measures
4. Discussion
4.1. Further Fields of Use for Extreme Weather Layer
- Static flooding risk maps: analyzing the flooding risks in the urban area under different climate scenarios. This option enables the urban planner to detect potential flood-prone areas with different risk levels, both at present and in the coming decades. The simple graphical layout can support communication with developers and property owners when explaining the possible constraints regarding changes in land use or the volume of buildings.
- Dynamic flooding risk maps: analyzing the effects of new developments on the urban areas under different climate scenarios. This option enables the urban planner to graphically present the changes in flood-prone areas caused by changes in land use (e.g., from park to parking lot) and the building volume of a specific plot, compared to the whole catchment area in the urban environment. With this option, EWL represents a decision support tool for the planning specialist, enabling the effect of plot-based changes to be seen in an integrated city-scale manner.
- Integrated governance system for UDS: selecting the locations for the mitigation measures and defining technical requirements for new developments. EWL is based on a hydraulic modelling tool. Therefore, it can also be used to define technical requirements for single developments (e.g., maximum storm water runoff from the plot to the UDS) in order to reduce flooding risk in downstream areas. The effect of different flood risk mitigation measures (plot-based NBS, tanks, infiltration, etc.) can be analyzed, and concrete solutions can be provided for each development. The impacts of technical and mitigation measures can be analyzed using different present and future climate scenarios. This allows the urban planner to detect the effect of the solutions in short- and long-term plans.
4.2. Limitations
4.3. Future Work
5. Conclusions
- Ensuring that data regarding the existing infrastructure, land use and DEM are available and of a high quality is vital. Data availability regarding (historical) rainfall events, including data about flow rates and depths, are essential.
- The set up of the GIS system should be checked. It should not only visualize, but also reflect the layout and the characteristic data of the real UDS. Photos of the database should eb included to achieve a better overview of the system.
- Using future rainfall curves that are in accordance with the strategic climate adaptation plans in the region is important.
- Innovation is not a standalone process and requires the cooperation between different stake holders, including academia, municipalities and local water companies.
- One should learn from others who are already using the system, in order to set up procurements and technical descriptions to achieve the original goal.
- Monitor your systems (precipitation, water quality, performance of the system, etc.). The more accurate data you have, the better your decision support tool is.
Author Contributions
Funding
Data Availability Statement
Acknowledgments
Conflicts of Interest
References
- European Commission. Forging a Climate-Resilient Europe—The New EU Strategy on Adaptation to Climate Change. Available online: https://eur-lex.europa.eu/legal-content/EN/TXT/HTML/?uri=CELEX:52021DC0082&from=EN (accessed on 19 September 2021).
- Santoso, H.B.; Idinoba, M.E.; Imbach, P. Climate scenarios: What we need to know and how to generate them. In Working Paper No. 45; Center for International Forestry Research (CIFOR): Bogor, Indonesia, 2008. [Google Scholar] [CrossRef]
- European Commission. Home—Climate-ADAPT. Available online: https://climate-adapt.eea.europa.eu/ (accessed on 24 September 2021).
- IPCC. AR5 Climate Change 2014: Impacts, Adaptation, and Vulnerability—IPCC. Available online: https://www.ipcc.ch/report/ar5/wg2/ (accessed on 3 October 2021).
- EAA. Urban Adaptation to Climate Change in Europe 2016—Transforming Cities in a Changing Climate—European Environment Agency. Available online: https://www.eea.europa.eu/publications/urban-adaptation-2016 (accessed on 18 August 2021).
- Tapia, C.; Abajo, B.; Feliu, E.; Mendizabal, M.; Martinez, J.A.; Fernández, J.G.; Laburu, T.; Lejarazu, A. Profiling urban vulnerabilities to climate change: An indicator-based vulnerability assessment for European cities. Ecol. Indic. 2017, 78, 142–155. [Google Scholar] [CrossRef]
- IPCC. 2021: Climate Change 2021: The Physical Science Basis. Contribution of Working Group I to the Sixth Assessment Report of the Intergovernmental Panel on Climate Change; Masson-Delmotte, V., Zhai, P., Pirani, A., Connors, S.L., Péan, C., Berger, S., Caud, N., Chen, Y., Goldfarb, L., Gomis, M.I., et al., Eds.; Cambridge University Press: Cambridge, MA, USA, 2021; in press. [Google Scholar]
- Disaster Risk. Available online: https://www.preventionweb.net/understanding-disaster-risk/component-risk/disaster-risk (accessed on 8 October 2021).
- Meerow, S.; Newell, J.P. Urban resilience for whom, what, when, where, and why? Urban Geogr. 2019, 40, 309–329. [Google Scholar] [CrossRef]
- Document Search—Web of Science Core Collection. Available online: https://www.webofscience.com/wos/woscc/basic-search (accessed on 2 November 2021).
- Kourtis, I.M.; Tsihrintzis, V.A. Adaptation of urban drainage networks to climate change: A review. Sci. Total. Environ. 2021, 771, 145431. [Google Scholar] [CrossRef]
- Gandini, A.; Garmendia, L.; Prieto, I.; Álvarez, I.; San-José, J.-T. A holistic and multi-stakeholder methodology for vulnerability assessment of cities to flooding and extreme precipitation events. Sustain. Cities Soc. 2020, 63, 102437. [Google Scholar] [CrossRef]
- Albrechts, L. Strategic (spatial) planning reexamined. Environ. Plann. B Plann. Des. 2004, 31, 743–758. [Google Scholar] [CrossRef] [Green Version]
- Coaffee, J. Towards next-generation urban resilience in planning practice: From securitization to integrated place making. Plan. Pract. Res. 2013, 28, 323–339. [Google Scholar] [CrossRef]
- Leichenko, R. Climate change and urban resilience. Curr. Opin. Environ. Sustain. 2011, 3, 164–168. [Google Scholar] [CrossRef]
- Bush, J.; Doyon, A. Building urban resilience with nature-based solutions: How can urban planning contribute? Cities 2019, 95, 102483. [Google Scholar] [CrossRef]
- La Rosa, D.; Pappalardo, V. Planning for spatial equity—A performance based approach for sustainable urban drainage systems. Sustain. Cities Soc. 2020, 53, 101885. [Google Scholar] [CrossRef]
- Simperler, L.; Himmelbauer, P.; Ertl, T.; Stoeglehner, G. Prioritization of stormwater management sites in urban areas. J. Environ. Manage 2020, 265, 110507. [Google Scholar] [CrossRef]
- Vartholomaios, A.; Kalogirou, N.; Athanassiou, E.; Papadopoulou, M. The green space factor as a tool for regulating the urban microclimate in vegetation-deprived Greek cities. In Proceedings of the International Conference On “Changing Cities”: Spatial, Morphological, Formal & Socio-Economic Dimensions, Skiathos Island, Greece, 18–21 June 2013. [Google Scholar] [CrossRef]
- Sardella, A.; Palazzi, E.; von Hardenberg, J.; Del Grande, C.; De Nuntiis, P.; Sabbioni, C.; Bonazza, A. Risk mapping for the sustainable protection of cultural heritage in extreme changing environments. Atmosphere 2020, 11, 700. [Google Scholar] [CrossRef]
- Handmer, J.; Cartwright, W. An Evaluation of the Flood Warning Information System. 2005. Available online: https://www.semanticscholar.org/paper/An-Evaluation-of-the-Flood-Warning-Information-Handmer-Cartwright/4086c44a1bddc4d27a0a759d1fa00b99853ef0a1 (accessed on 3 October 2021).
- Shen, J.; Zhou, J.; Zhou, J.; Herman, L.; Reznik, T. Constructing the city GML ADE for the multi-source data integration of urban flooding. ISPRS Int. J. Geo-Inf. 2020, 9, 359. [Google Scholar] [CrossRef]
- Bach, P.M.; Kuller, M.; McCarthy, D.T.; Deletic, A. A spatial planning-support system for generating decentralised urban stormwater management schemes. Sci. Total. Environ. 2020, 726, 138282. [Google Scholar] [CrossRef] [PubMed]
- Zeng, Z.; Yuan, X.; Liang, J.; Li, Y. Designing and implementing an SWMM-based web service framework to provide decision support for real-time urban stormwater management. Environ. Model. Softw. 2021, 135, 104887. [Google Scholar] [CrossRef]
- Mikovits, C.; Tscheikner-Gratl, F.; Jasper-Tönnies, A.; Einfalt, T.; Huttenlau, M.; Schöpf, M.; Kinzel, H.; Rauch, W.; Kleidorfer, M. Decision support for adaptation planning of urban drainage systems. J. Water Resour. Plan. Manag. 2017, 143, 04017069. [Google Scholar] [CrossRef]
- Rossman, L.A. Storm Water Management Model User’s Manual Version 5.1. US EPA. Available online: https://www.epa.gov/sites/production/files/2019-02/documents/epaswmm5_1_manual_master_8-2-15.pdf (accessed on 3 October 2021).
- Cristina, M.; Paule-Mercado, A.; Lee, C.-H. Calibration of the SWMM for a mixed land use catchment in Yongin, South Korea. Desalin. Water Treat. 2017, 63, 381–388. [Google Scholar] [CrossRef]
- Warsta, L.; Niemi, T.J.; Taka, M.; Krebs, G.; Haahti, K.; Koivusalo, H.; Kokkonen, T. Development and application of an automated subcatchment generator for SWMM using open data. Urban Water J. 2017, 14, 954–963. [Google Scholar] [CrossRef]
- EVS. EVS 848:2013—Väliskanalisatsioonivõrk. Available online: https://www.evs.ee/et/evs-848-2013 (accessed on 1 September 2021).
- Luhamaa, A.; Kallis, A.; Mändla, K.; Männik, A.; Pedusaar, T.; Rosin, K. Eesti Tuleviku Kliimastsenaariumid Aastani 2100. 2014. Available online: https://www.klab.ee/wp-content/uploads/sites/4/2016/04/2016-04-07-KAUR_Lopparuanne.pdf (accessed on 3 October 2021).
- Jato-Espino, D.; Sillanpää, N.; Charlesworth, S.M.; Rodriguez-Hernandez, J. A simulation-optimization methodology to model urban catchments under non-stationary extreme rainfall events. Environ. Model. Softw. 2019, 122, 103960. [Google Scholar] [CrossRef] [Green Version]
- Anim, D.O.; Fletcher, T.D.; Pasternack, G.B.; Vietz, G.J.; Duncan, H.P.; Burns, M.J. Can catchment-scale urban stormwater management measures benefit the stream hydraulic environment? J. Environ. Manag. 2019, 233, 1–11. [Google Scholar] [CrossRef]
- EEA. Climate Change Adaptation and Disaster Risk Reduction in Europe—European Environment Agency. Available online: https://www.eea.europa.eu/publications/climate-change-adaptation-and-disaster (accessed on 8 October 2021).
- Üldplaneering—Haapsalu Linnavalitsus. Available online: https://www.haapsalu.ee/uldplaneering (accessed on 12 October 2021).
- Annus, I.; Vassiljev, A.; Kändler, N.; Kaur, K. Automatic calibration module for an urban drainage system model. Water 2021, 13, 1419. [Google Scholar] [CrossRef]
- Kändler, N.; Annus, I.; Vassiljev, A.; Puust, R. Peak flow reduction from small catchments using smart inlets. Urban Water J. 2020, 17, 577–586. [Google Scholar] [CrossRef]
- Kändler, N.; Annus, I.; Vassiljev, A. Controlling peak runoff from plots by coupling street storage with distributed real time control. Urban Water J. 2021. [Google Scholar] [CrossRef]
- Sadler, J.M.; Goodall, J.L.; Behl, M.; Bowes, B.D.; Morsy, M.M. Exploring real-time control of stormwater systems for mitigating flood risk due to sea level rise. J. Hydrol. 2020, 583, 124571. [Google Scholar] [CrossRef]
- Ignatius, M.; Wong, N.H.; Martin, M.; Chen, S. Virtual Singapore integration with energy simulation and canopy modelling for climate assessment. In IOP Conference Series: Earth and Environmental Science; IOP Publishing: Bristol, UK, 2019; Volume 294, p. 012018. [Google Scholar] [CrossRef]










| Characteristic | Haapsalu | Söderhamn |
|---|---|---|
| Size of the case study area | 70 ha | 100 ha |
| Differences in heights | 7.5 m | 16.5 m |
| Length of storm water system | 4.6 km | 7.2 km |
| Pipeline diameters | 200–1000 mm | 110–1200 mm |
| Share of impermeable cover in the catchments | 55.6% | 31.4% |
| Number of land parcels in the case study area | 427 | 427 |
| Average annual rainfall | 670 mm | 670 mm |
| Average monthly rainfall (winter) | 32–42 mm | 37–52 mm |
| Average monthly rainfall (July/August) | 75 mm | 83 mm |
| Climate Scenarios | Description | Number of Flooding Nodes | Total Water Volume, m3 | Max Duration, min |
|---|---|---|---|---|
| 1 | 2-year EVS 848 | 19 | 17.20 | 22 |
| 2 | 2-year RCP 4.5 | 36 | 45.95 | 32 |
| 3 | 2-year RCP 8.5 | 68 | 179.1 | 60 |
| Climate Scenarios | Number of Land Parcels Affected | Risk Level 1, % | Risk Level 2, % | Risk Level 3, % |
|---|---|---|---|---|
| 1 | 23 | 70 | 30 | 0 |
| 2 | 29 | 38 | 52 | 10 |
| 3 | 43 | 26 | 14 | 37 |
| Climate Scenarios | Number of Land Parcels Affected | Risk Level 1, % | Risk Level 2, % | Risk Level 3, % |
|---|---|---|---|---|
| 1 | 108 | 76 | 14 | 10 |
| 2 | 168 | 70 | 18 | 12 |
| 3 | 230 | 61 | 19 | 20 |
| Climate Scenarios | Description | Number of Flooding Nodes | Total Water Volume, m3 | Max Duration, min |
|---|---|---|---|---|
| 1 | 2-year EVS 848 | 84 | 1731 | 141 |
| 2 | 2-year RCP 4.5 | 115 | 1356 | 108 |
| 3 | 2-year RCP 8.5 | 178 | 2705 | 154 |
Publisher’s Note: MDPI stays neutral with regard to jurisdictional claims in published maps and institutional affiliations. |
© 2021 by the authors. Licensee MDPI, Basel, Switzerland. This article is an open access article distributed under the terms and conditions of the Creative Commons Attribution (CC BY) license (https://creativecommons.org/licenses/by/4.0/).
Share and Cite
Truu, M.; Annus, I.; Roosimägi, J.; Kändler, N.; Vassiljev, A.; Kaur, K. Integrated Decision Support System for Pluvial Flood-Resilient Spatial Planning in Urban Areas. Water 2021, 13, 3340. https://doi.org/10.3390/w13233340
Truu M, Annus I, Roosimägi J, Kändler N, Vassiljev A, Kaur K. Integrated Decision Support System for Pluvial Flood-Resilient Spatial Planning in Urban Areas. Water. 2021; 13(23):3340. https://doi.org/10.3390/w13233340
Chicago/Turabian StyleTruu, Murel, Ivar Annus, Janet Roosimägi, Nils Kändler, Anatoli Vassiljev, and Katrin Kaur. 2021. "Integrated Decision Support System for Pluvial Flood-Resilient Spatial Planning in Urban Areas" Water 13, no. 23: 3340. https://doi.org/10.3390/w13233340
APA StyleTruu, M., Annus, I., Roosimägi, J., Kändler, N., Vassiljev, A., & Kaur, K. (2021). Integrated Decision Support System for Pluvial Flood-Resilient Spatial Planning in Urban Areas. Water, 13(23), 3340. https://doi.org/10.3390/w13233340
