Laboratory and Numerical Study of Saltwater Upconing in Fractured Coastal Aquifers
Abstract
:1. Introduction
2. Experimental Setup
3. Numerical Modelling
4. Results and Discussion
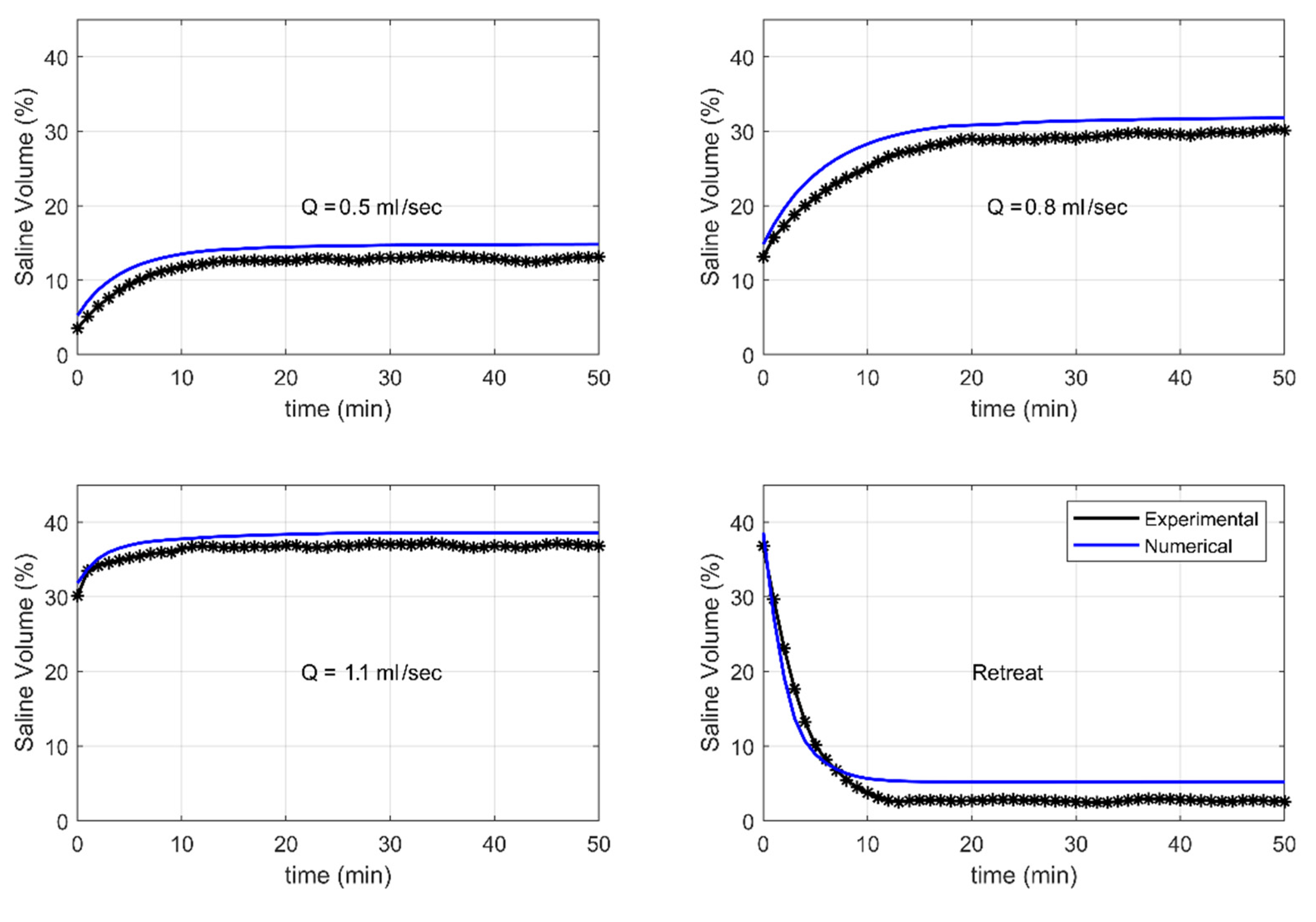
4.1. Experimental Results
4.2. Sensitivity Analysis
- The aquifers in five of the six scenarios contained individual horizontal fractures consisting of 123 × 7 elements, corresponding to the actual size of the utilized experimental mesh cylinders (15 cm × 0.8 cm).
 - Unlike the numerical models simulating the three laboratory synthetic aquifers, where the discontinuity’s outline was derived through image analysis of the experimental photographs for accurate model validation, all the numerical fractures presented in this section had an idealized rectangular shape.
 - Except for the wo scenarios in Section 4.2.4 and Section 4.2.5, numerical fracture permeability was equal to the experimental value reported for the steel cylinder, while the permeability of the surrounding porous medium was equal to that of the utilized glass beads.
 - In five of the test cases, saline intrusion was initiated into the numerical aquifers by a hydraulic head difference of 6 mm between the landward and seaward side boundaries.
 - After the initial intruding wedge reached steady state, freshwater abstraction was applied for a stress period of 50 min, assuring that all hydrological systems achieved steady state. In all but one scenario (Section 4.2.3), the location of the pumping point was identical to the needle’s tip in the laboratory setup.
 
4.2.1. Impact of the Horizontal Position of the Fracture
4.2.2. Impact of the Fracture’s Length
4.2.3. Impact of the Abstraction Well’s Depth
4.2.4. Impact of Fracture Permeability
4.2.5. Impact of Porous Media Permeability
5. Conclusions
- Critical abstraction rates were positively correlated to the distance of the discontinuities from the seaward aquifer boundary.
 - The presence of longer horizontal fractures corresponded to progressively larger critical pumping rates.
 - Since the pre-pumping saltwater–freshwater interface was located in the lower part of the aquifers, deeper pumping wells resulted in more rapid well salinization.
 - Smaller hydraulic head differences corresponded to longer pre-pumping intruding wedges, thus leading to significantly smaller critical abstraction rates.
 - Critical pumping rates were positively correlated to the permeabilities of both the discontinuity and the surrounding porous medium. Nevertheless, the impact of the porous medium was far more significant.
 
Supplementary Materials
Author Contributions
Funding
Data Availability Statement
Conflicts of Interest
References
- Werner, A.D.; Bakker, M.; Post, V.E.A.; Vandenbohede, A.; Lu, C.; Ataie-Ashtiani, B.; Simmons, C.T.; Barry, D.A. Seawater intrusion processes, investigation and management: Recent advances and future challenges. Adv. Water Resour. 2013, 51, 3–26. [Google Scholar] [CrossRef]
 - Shi, L.; Jiao, J.J. Seawater intrusion and coastal aquifer management in China: A review. Environ. Earth Sci. 2014, 72, 2811–2819. [Google Scholar] [CrossRef]
 - Michael, H.A.; Post, V.E.A.; Wilson, A.M.; Werner, A.D. Science, society, and the coastal groundwater squeeze. Water Resour. Res. 2017, 53, 2610–2617. [Google Scholar] [CrossRef]
 - Reilly, T.E.; Goodman, A.S. Analysis of saltwater upconing beneath a pumping well. J. Hydrol. 1987, 89, 169–204. [Google Scholar] [CrossRef]
 - WHO. Guidelines for Drinking-Water Quality; World Health Organization: Geneva, Switzerland, 2011; Volume 216, pp. 303–304. [Google Scholar]
 - Neumann, B.; Vafeidis, A.T.; Zimmermann, J.; Nicholls, R.J. Future coastal population growth and exposure to sea-level rise and coastal flooding—A global assessment. PLoS ONE 2015, 10, e0118571. [Google Scholar] [CrossRef] [Green Version]
 - Ford, D.; Willimas, P. Karst Hydrogeology and Geomorphology; John Wiley & Sons Ltd.: Chichester, UK, 2007. [Google Scholar]
 - Bakalowicz, M.; El Hakim, M.; El-Hajj, A. Karst groundwater resources in the countries of eastern Mediterranean: The example of Lebanon. Environ. Geol. 2008, 54, 597–604. [Google Scholar] [CrossRef]
 - Custodio, E. Coastal aquifers of Europe: An overview. Hydrogeol. J. 2010, 18, 269–280. [Google Scholar] [CrossRef]
 - Chen, Z.; Auler, A.S.; Bakalowicz, M.; Drew, D.; Griger, F.; Hartmann, J.; Jiang, G.; Moosdorf, N.; Richts, A.; Stevanovic, Z.; et al. The World Karst Aquifer Mapping project: Concept, mapping procedure and map of Europe. Hydrogeol. J. 2017, 25, 771–785. [Google Scholar] [CrossRef] [Green Version]
 - Montiel, D.; Dimova, N.; Andreo, B.; Prieto, J.; García-Orellana, J.; Rodellas, V. Assessing submarine groundwater discharge (SGD) and nitrate fluxes in highly heterogeneous coastal karst aquifers: Challenges and solutions. J. Hydrol. 2018, 557, 222–242. [Google Scholar] [CrossRef]
 - Giese, M.; Barthel, R. Review: Saltwater intrusion in fractured crystalline bedrock. Hydrogeol. J. 2021, 29, 2313–2328. [Google Scholar] [CrossRef]
 - Arthur, J.D.; Wood, H.A.R.; Baker, A.E.; Cichon, J.R.; Raines, G.L. Development and Implementation of a Bayesian-based Aquifer Vulnerability Assessment in Florida. Nat. Resour. Res. 2007, 16, 93–107. [Google Scholar] [CrossRef]
 - Lim, J.-W.; Lee, E.; Moon, H.S.; Lee, K.-K. Integrated investigation of seawater intrusion around oil storage caverns in a coastal fractured aquifer using hydrogeochemical and isotopic data. J. Hydrol. 2013, 486, 202–210. [Google Scholar] [CrossRef]
 - Perriquet, M.; Leonardi, V.; Henry, T.; Jourde, H. Saltwater wedge variation in a non-anthropogenic coastal karst aquifer influenced by a strong tidal range (Burren, Ireland). J. Hydrol. 2014, 519, 2350–2365. [Google Scholar] [CrossRef]
 - Arfib, B.; Charlier, J.-B. Insights into saline intrusion and freshwater resources in coastal karstic aquifers using a lumped Rainfall–Discharge–Salinity model (the Port-Miou brackish spring, SE France). J. Hydrol. 2016, 540, 148–161. [Google Scholar] [CrossRef] [Green Version]
 - Xu, Z.; Bassett, S.W.; Hu, B.; Dyer, S.B. Long distance seawater intrusion through a karst conduit network in the Woodville Karst Plain, Florida. Sci. Rep. 2016, 6, 32235. [Google Scholar] [CrossRef]
 - MacAllister, D.J.; Jackson, M.D.; Butler, A.P.; Vinogradov, J. Remote Detection of Saline Intrusion in a Coastal Aquifer Using Borehole Measurements of Self-Potential. Water Resour. Res. 2018, 54, 1669–1687. [Google Scholar] [CrossRef] [Green Version]
 - De Filippis, G.; Foglia, L.; Giudici, M.; Mehl, S.; Margiotta, S.; Negri, S.L. Seawater intrusion in karstic, coastal aquifers: Current challenges and future scenarios in the Taranto area (southern Italy). Sci. Total Environ. 2016, 573, 1340–1351. [Google Scholar] [CrossRef] [PubMed]
 - Khadra, W.M.; Stuyfzand, P.J. Simulation of saltwater intrusion in a poorly karstified coastal aquifer in Lebanon (Eastern Mediterranean). Hydrogeol. J. 2018, 26, 1839–1856. [Google Scholar] [CrossRef]
 - Dokou, Z.; Karatzas, G.P. Saltwater intrusion estimation in a karstified coastal system using density-dependent modelling and comparison with the sharp-interface approach. Hydrol. Sci. J. 2012, 57, 985–999. [Google Scholar] [CrossRef]
 - Nocchi, M.; Salleolini, M. A 3D density-dependent model for assessment and optimization of water management policy in a coastal carbonate aquifer exploited for water supply and fish farming. J. Hydrol. 2013, 492, 200–218. [Google Scholar] [CrossRef]
 - Park, H.-Y.; Jang, K.; Ju, J.W.; Yeo, I.W. Hydrogeological characterization of seawater intrusion in tidally-forced coastal fractured bedrock aquifer. J. Hydrol. 2012, 446–447, 77–89. [Google Scholar] [CrossRef]
 - Romanazzi, A.; Gentile, F.; Polemio, M. Modelling and management of a Mediterranean karstic coastal aquifer under the effects of seawater intrusion and climate change. Environ. Earth Sci. 2015, 74, 115–128. [Google Scholar] [CrossRef]
 - Steiakakis, E.; Vavadakis, D.; Kritsotakis, M.; Voudouris, K.; Anagnostopoulou, C. Drought impacts on the fresh water potential of a karst aquifer in Crete, Greece. Environ. Earth Sci. 2016, 75, 507. [Google Scholar] [CrossRef]
 - Scharping, R.J.; Garman, K.M.; Henry, R.P.; Eswara, P.J.; Garey, J.R. The fate of urban springs: Pumping-induced seawater intrusion in a phreatic cave. J. Hydrol. 2018, 564, 230–245. [Google Scholar] [CrossRef]
 - Koohbor, B.; Fahs, M.; Ataie-Ashtiani, B.; Belfort, B.; Simmons, C.T.; Younes, A. Uncertainty analysis for seawater intrusion in fractured coastal aquifers: Effects of fracture location, aperture, density and hydrodynamic parameters. J. Hydrol. 2019, 571, 159–177. [Google Scholar] [CrossRef]
 - Robinson, G.; Ahmed, A.A.; Hamill, G.A. Experimental saltwater intrusion in coastal aquifers using automated image analysis: Applications to homogeneous aquifers. J. Hydrol. 2016, 538, 304–313. [Google Scholar] [CrossRef] [Green Version]
 - Memari, S.S.; Bedekar, V.S.; Clement, T.P. Laboratory and Numerical Investigation of Saltwater Intrusion Processes in a Circular Island Aquifer. Water Resour. Res. 2020, 56, e2019WR025325. [Google Scholar] [CrossRef]
 - Kuan, W.K.; Jin, G.; Xin, P.; Robinson, C.; Gibbes, B.; Li, L. Tidal influence on seawater intrusion in unconfined coastal aquifers. Water Resour. Res. 2012, 48. [Google Scholar] [CrossRef] [Green Version]
 - Liu, S.; Tao, A.; Dai, C.; Tan, B.; Shen, H.; Zhong, G.; Lou, S.; Chalov, S.; Chalov, R. Experimental Study of Tidal Effects on Coastal Groundwater and Pollutant Migration. Water Air Soil Pollut. 2017, 228, 163. [Google Scholar] [CrossRef]
 - Kuan, W.K.; Xin, P.; Jin, G.; Robinson, C.E.; Gibbes, B.; Li, L. Combined Effect of Tides and Varying Inland Groundwater Input on Flow and Salinity Distribution in Unconfined Coastal Aquifers. Water Resour. Res. 2019, 55, 8864–8880. [Google Scholar] [CrossRef]
 - Yu, X.; Xin, P.; Lu, C. Seawater intrusion and retreat in tidally-affected unconfined aquifers: Laboratory experiments and numerical simulations. Adv. Water Resour. 2019, 132, 103393. [Google Scholar] [CrossRef]
 - Na, J.; Chi, B.; Zhang, Y.; Li, J.; Jiang, X. Study on the influence of seawater density variation on sea water intrusion in confined coastal aquifers. Environ. Earth Sci. 2019, 78, 669. [Google Scholar] [CrossRef]
 - Abdoulhalik, A.; Ahmed, A.A. Transience of seawater intrusion and retreat in response to incremental water-level variations. Hydrol. Process. 2018, 32, 2721–2733. [Google Scholar] [CrossRef]
 - Abdoulhalik, A.; Ahmed, A.A. The effectiveness of cutoff walls to control saltwater intrusion in multi-layered coastal aquifers: Experimental and numerical study. J. Environ. Manag. 2017, 199, 62–73. [Google Scholar] [CrossRef] [PubMed] [Green Version]
 - Shen, Y.; Xin, P.; Yu, X. Combined effect of cutoff wall and tides on groundwater flow and salinity distribution in coastal unconfined aquifers. J. Hydrol. 2020, 581, 124444. [Google Scholar] [CrossRef]
 - Chang, Q.; Zheng, T.; Zheng, X.; Zhang, B.; Sun, Q.; Walther, M. Effect of subsurface dams on saltwater intrusion and fresh groundwater discharge. J. Hydrol. 2019, 576, 508–519. [Google Scholar] [CrossRef]
 - Konz, M.; Younes, A.; Ackerer, P.; Fahs, M.; Huggenberger, P.; Zechner, E. Variable-density flow in heterogeneous porous media—Laboratory experiments and numerical simulations. J. Contam. Hydrol. 2009, 108, 168–175. [Google Scholar] [CrossRef]
 - Dose, E.J.; Stoeckl, L.; Houben, G.J.; Vacher, H.L.; Vassolo, S.; Dietrich, J.; Himmelsbach, T. Experiments and modeling of freshwater lenses in layered aquifers: Steady state interface geometry. J. Hydrol. 2014, 509, 621–630. [Google Scholar] [CrossRef]
 - Houben, G.J.; Stoeckl, L.; Mariner, K.E.; Choudhury, A.S. The influence of heterogeneity on coastal groundwater flow—physical and numerical modeling of fringing reefs, dykes and structured conductivity fields. Adv. Water Resour. 2018, 113, 155–166. [Google Scholar] [CrossRef]
 - Vithanage, M.; Engesgaard, P.; Jensen, K.H.; Illangasekare, T.H.; Obeysekera, J. Laboratory investigations of the effects of geologic heterogeneity on groundwater salinization and flush-out times from a tsunami-like event. J. Contam. Hydrol. 2012, 136–137, 10–24. [Google Scholar] [CrossRef]
 - Mehdizadeh, S.S.; Werner, A.D.; Vafaie, F.; Badaruddin, S. Vertical leakage in sharp-interface seawater intrusion models of layered coastal aquifers. J. Hydrol. 2014, 519, 1097–1107. [Google Scholar] [CrossRef]
 - Liu, Y.; Mao, X.; Chen, J.; Barry, D.A. Influence of a coarse interlayer on seawater intrusion and contaminant migration in coastal aquifers. Hydrol. Process. 2014, 28, 5162–5175. [Google Scholar] [CrossRef]
 - Abdoulhalik, A.; Ahmed, A.A. How does layered heterogeneity affect the ability of subsurface dams to clean up coastal aquifers contaminated with seawater intrusion? J. Hydrol. 2017, 553, 708–721. [Google Scholar] [CrossRef] [Green Version]
 - Guo, Q.; Huang, J.; Zhou, Z.; Wang, J. Experiment and Numerical Simulation of Seawater Intrusion under the Influences of Tidal Fluctuation and Groundwater Exploitation in Coastal Multilayered Aquifers. Geofluids 2019, 2019, 2316271. [Google Scholar] [CrossRef] [Green Version]
 - Etsias, G.; Hamill, G.A.; Águila, J.F.; Benner, E.M.; McDonnell, M.C.; Ahmed, A.A.; Flynn, R. The impact of aquifer stratification on saltwater intrusion characteristics. Comprehensive laboratory and numerical study. Hydrol. Process. 2021, 35, e14120. [Google Scholar] [CrossRef]
 - Etsias, G.; Hamill, G.A.; Campbell, D.; Straney, R.; Benner, E.M.; Águila, J.F.; McDonnell, M.; Ahmed, A.A.; Flynn, R. Laboratory and numerical investigation of saline intrusion in fractured coastal aquifers. Adv. Water Resour. 2021, 149, 103866. [Google Scholar] [CrossRef]
 - Werner, A.D.; Jakovovic, D.; Simmons, C.T. Experimental observations of saltwater up-coning. J. Hydrol. 2009, 373, 230–241. [Google Scholar] [CrossRef]
 - Stoeckl, L.; Houben, G. Flow dynamics and age stratification of freshwater lenses: Experiments and modeling. J. Hydrol. 2012, 458–459, 9–15. [Google Scholar] [CrossRef]
 - Mehdizadeh, S.S.; Vafaie, F.; Abolghasemi, H. Assessment of sharp-interface approach for saltwater intrusion prediction in an unconfined coastal aquifer exposed to pumping. Environ. Earth Sci. 2015, 73, 8345–8355. [Google Scholar] [CrossRef]
 - Noorabadi, S.; Nazemi, A.H.; Sadraddini, A.A.; Delirhasannia, R. Laboratory investigation of water extraction effects on saltwater wedge displacement. Glob. J. Environ. Sci. Manag. 2017, 3, 21–32. [Google Scholar] [CrossRef]
 - Abdelgawad, A.M.; Abdoulhalik, A.; Ahmed, A.A.; Moutari, S.; Hamill, G. Transient Investigation of the Critical Abstraction Rates in Coastal Aquifers: Numerical and Experimental Study. Water Resour. Manag. 2018, 32, 3563–3577. [Google Scholar] [CrossRef] [Green Version]
 - Abdoulhalik, A.; Ahmed, A.A. Transient investigation of saltwater upconing in laboratory-scale coastal aquifer. Estuar. Coast. Shelf Sci. 2018, 214, 149–160. [Google Scholar] [CrossRef]
 - Stoeckl, L.; Walther, M.; Morgan, L.K. Physical and Numerical Modelling of Post-Pumping Seawater Intrusion. Geofluids 2019, 2019, 7191370. [Google Scholar] [CrossRef]
 - Abdoulhalik, A.; Abdelgawad, A.M.; Ahmed, A.A. Impact of layered heterogeneity on transient saltwater upconing in coastal aquifers. J. Hydrol. 2020, 581, 124393. [Google Scholar] [CrossRef]
 - Bear, J. Dynamics of Fluids in Porous Media; Elsevier: New York, NY, USA, 1972. [Google Scholar]
 - Robinson, G.; Hamill, G.A.; Ahmed, A.A. Automated image analysis for experimental investigations of salt water intrusion in coastal aquifers. J. Hydrol. 2015, 530, 350–360. [Google Scholar] [CrossRef] [Green Version]
 - Attanayake, P.; Sholley, M. Evaluation of the hydraulic gradient at an island for low-level nuclear waste disposal. In Proceedings of the Symposium HS1001 at IUGG2007, Perugia, Italy, 2–13 July 2007. [Google Scholar]
 - Ferguson, G.; Gleeson, T. Vulnerability of coastal aquifers to groundwater use and climate change. Nat. Clim. Chang. 2012, 2, 342–345. [Google Scholar] [CrossRef]
 - Etsias, G.; Hamill, G.; Benner, E.; Aguila, J.F.; McDonnell, M.; Flynn, R. The effect of colour depth and image resolution on laboratory scale study of aquifer saltwater intrusion. In Proceedings of the Civil Engineering Research Irealand 2020, Cork Institute of Technology, Cork, Ireland, 27–28 August 2020; pp. 577–581. [Google Scholar]
 - Etsias, G.; Hamill, G.A.; Benner, E.M.; Águila, J.F.; McDonnell, M.C.; Flynn, R.; Ahmed, A.A. Optimizing Laboratory Investigations of Saline Intrusion by Incorporating Machine Learning Techniques. Water 2020, 12, 2996. [Google Scholar] [CrossRef]
 - Voss, C.; Provost, A. SUTRA—A Model for Saturated–Unsaturated, Variabledensity Ground-Water Flow with Solute or Energy Transport; Water-Resources Investigations Report; US Geological Survey: Reston, VA, USA, 2010. [Google Scholar]
 - Voss, C.; Souza, W.R. Variable density flow and solute transport simulation of regional aquifers containing a narrow freshwater-saltwater transition zone. Water Resour. Res. 1987, 23, 1851–1866. [Google Scholar] [CrossRef]
 - Abarca, E.; Clement, T.P. A novel approach for characterizing the mixing zone of a saltwater wedge. Geophys. Res. Lett. 2009, 36. [Google Scholar] [CrossRef] [Green Version]
 - van Genuchten, M.T. A Closed-form Equation for Predicting the Hydraulic Conductivity of Unsaturated Soils. Soil Sci. Soc. Am. J. 1980, 44, 892–898. [Google Scholar] [CrossRef] [Green Version]
 - Benson, C.H.; Chiang, I.; Chalermyanont, T.; Sawangsuriya, A. Estimating van Genuchten Parameters α and n for Clean Sands from Particle Size Distribution Data. In Soil Behavior Fundamentals to Innovations in Geotechnical Engineering; ASCE: Atlanta, GA, USA, 2014. [Google Scholar] [CrossRef]
 - Sweijen, T.; Aslannejad, H.; Hassanizadeh, S.M. Capillary pressure–saturation relationships for porous granular materials: Pore morphology method vs. pore unit assembly method. Adv. Water Resour. 2017, 107, 22–31. [Google Scholar] [CrossRef]
 - Post, V.; Kooi, H.; Simmons, C. Using hydraulic head measurements in variable-density ground water flow analyses. Ground Water 2007, 45, 664–671. [Google Scholar] [CrossRef] [PubMed]
 - Chang, S.W.; Clement, T.P. Experimental and numerical investigation of saltwater intrusion dynamics in flux-controlled groundwater systems. Water Resour. Res. 2012, 48. [Google Scholar] [CrossRef]
 - Lu, C.; Chen, Y.; Zhang, C.; Luo, J. Steady-state freshwater–seawater mixing zone in stratified coastal aquifers. J. Hydrol. 2013, 505, 24–34. [Google Scholar] [CrossRef]
 - Shi, W.; Lu, C.; Ye, Y.; Wu, J.; Li, L.; Luo, J. Assessment of the impact of sea-level rise on steady-state seawater intrusion in a layered coastal aquifer. J. Hydrol. 2018, 563, 851–862. [Google Scholar] [CrossRef]
 













| Input Parameters | Values | 
|---|---|
| Domain length (m) | 0.38 | 
| Domain height (m) | 0.15 | 
| Element size (m) | 1.22 × 10−3 | 
| Longitudinal dispersivity (m) | 10−3 | 
| Transverse dispersivity (m) | 3.75 × 10−5 | 
| Porous medium | |
| Permeability (m2) | 1.83 × 10−9 | 
| Porosity | 0.385 | 
| Fracture | |
| Permeability (m2) | 4.575 × 10−8 | 
| Porosity | 1 | 
| Van Genuchten parameters | |
| α (1/Pa) | 8.45 × 10−4 | 
| n | 4.5 | 
| Freshwater density (kg/m3) | 1000 | 
| Saltwater density (kg/m3) | 1025 | 
| Freshwater head (m) | 0.134 | 
| Saltwater head (m) | 0.128 | 
| Time step (sec) | 1 | 
| Stress period (min) | 50 | 
| Abstraction rate (ml/sec) | 0.5–1.1 | 
| Aquifer | Abstraction Rate (ml/sec) | Salinity (ppt) | SW Conc (%) | Crit. Abstraction | 
|---|---|---|---|---|
| fractured-right | 0.5 | 2.63 | 7.5 | yes | 
| fractured-center | 0.8 | 4.45 | 12.7 | yes | 
| fractured-left | 0.8 | 0.21 | 0.6 | no | 
| fractured-left | 1.1 | 1.47 | 4.2 | yes | 
| reference salinity | pure saltwater | 35.0 | 100 | - | 
| Aquifer | Abstraction Rate (ml/sec) | TL (cm) | Saline Vol. (%) | Mixed Conc. Vol. (%) | 
|---|---|---|---|---|
| fractured-right | 0 | 16.1 | 15.7 | 2.28 | 
| fractured-right | 0.5 | 20.4 | 38.0 | 3.63 | 
| fractured-center | 0 | 7.7 | 5.0 | 1.23 | 
| fractured-center | 0.5 | 23.0 | 28.2 | 7.60 | 
| fractured-center | 0.8 | 22.1 | 44.3 | 5.75 | 
| fractured-left | 0 | 5.9 | 3.5 | 1.82 | 
| fractured-left | 0.5 | 12.6 | 13.1 | 3.74 | 
| fractured-left | 0.8 | 15.9 | 30.1 | 9.15 | 
| fractured-left | 1.1 | 16.1 | 37.1 | 4.74 | 
| Scenario | Aquifer | k.fract/k.porous | TL (cm) | Non-Fresh Vol (%) | Mixed Conc. Vol (%) | 
|---|---|---|---|---|---|
| 5 | i | 5 | 22.12 | 38.73 | 3.19 | 
| 6 | v | 5 | 22.20 | 38.75 | 3.10 | 
| 5 | ii | 2.5 | 22.87 | 40.55 | 3.60 | 
| 6 | vi | 2.5 | 22.90 | 40.49 | 3.81 | 
Publisher’s Note: MDPI stays neutral with regard to jurisdictional claims in published maps and institutional affiliations.  | 
© 2021 by the authors. Licensee MDPI, Basel, Switzerland. This article is an open access article distributed under the terms and conditions of the Creative Commons Attribution (CC BY) license (https://creativecommons.org/licenses/by/4.0/).
Share and Cite
Etsias, G.; Hamill, G.A.; Thomson, C.; Kennerley, S.; Águila, J.F.; Benner, E.M.; McDonnell, M.C.; Ahmed, A.A.; Flynn, R. Laboratory and Numerical Study of Saltwater Upconing in Fractured Coastal Aquifers. Water 2021, 13, 3331. https://doi.org/10.3390/w13233331
Etsias G, Hamill GA, Thomson C, Kennerley S, Águila JF, Benner EM, McDonnell MC, Ahmed AA, Flynn R. Laboratory and Numerical Study of Saltwater Upconing in Fractured Coastal Aquifers. Water. 2021; 13(23):3331. https://doi.org/10.3390/w13233331
Chicago/Turabian StyleEtsias, Georgios, Gerard A. Hamill, Christopher Thomson, Samuel Kennerley, Jesús F. Águila, Eric M. Benner, Mark C. McDonnell, Ashraf A. Ahmed, and Raymond Flynn. 2021. "Laboratory and Numerical Study of Saltwater Upconing in Fractured Coastal Aquifers" Water 13, no. 23: 3331. https://doi.org/10.3390/w13233331
APA StyleEtsias, G., Hamill, G. A., Thomson, C., Kennerley, S., Águila, J. F., Benner, E. M., McDonnell, M. C., Ahmed, A. A., & Flynn, R. (2021). Laboratory and Numerical Study of Saltwater Upconing in Fractured Coastal Aquifers. Water, 13(23), 3331. https://doi.org/10.3390/w13233331
        
                                                
