Knowledge Management and Operational Capacity in Water Utilities, a Balance between Human Resources and Digital Maturity—The Case of AGS
Abstract
:1. Introduction
2. Materials and Methods
2.1. Context
2.2. Water Utilities Performance Assessment
2.3. PAI
2.4. Digital Maturity Index
2.5. Data Handling and Visualization
3. Results and Discussion
3.1. Characterization of the Water Utilities
3.2. Performance Assessment and Benchmarking
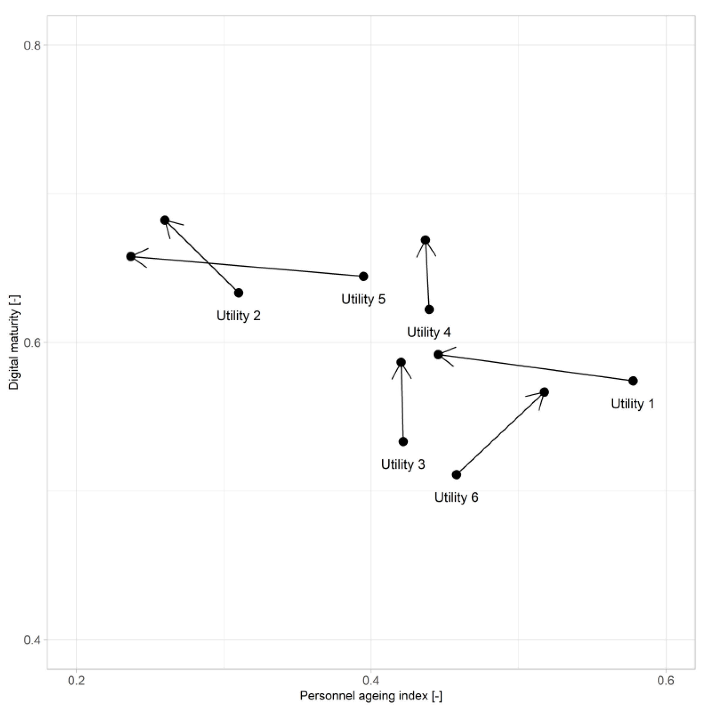
3.3. Internal Assessment for Digital Maturity and Human Resources
4. Conclusions
Author Contributions
Funding
Data Availability Statement
Acknowledgments
Conflicts of Interest
References
- Ortega-Ballesteros, A.; Manzano-Agugliaro, F.; Perea-Moreno, A.-J. Water utilities challenges: A bibliometric analysis. Sustainability 2021, 13, 7726. [Google Scholar] [CrossRef]
- Akhtar, N.; Ishak, M.I.S.; Bhawani, S.A.; Umar, K. Various natural and anthropogenic factors responsible for water quality degradation: A review. Water 2021, 13, 2660. [Google Scholar] [CrossRef]
- Akhtar, N.; Ishak, M.; Ahmad, M.; Umar, K.; Yusuff, M.M.; Anees, M.; Qadir, A.; Almanasir, Y.A. Modification of the Water Quality Index (WQI) process for simple calculation using the Multi-Criteria Decision-Making (MCDM) method: A review. Water 2021, 13, 905. [Google Scholar] [CrossRef]
- German Water Partnership. WATER 4.0—An important element for the German water industry. In WATER 4.0; German Water Partnership: Berlin, Germany, 2017. [Google Scholar]
- Cassidy, J.; Barbosa, B.; Damião, M.; Ramalho, P.; Ganhão, A.; Santos, A.; Feliciano, J. Taking water efficiency to the next level: Digital tools to reduce non-revenue water. J. Hydroinformatics 2021, 23, 453–465. [Google Scholar] [CrossRef]
- Stankovic, M.; Hasanbeigi, A.; Neftenov, N. Use of 4IR Technologies in Water and Sanitation in Latin America and the Caribbean; Inter-American Development Bank: Washington, DC, USA, 2020. [Google Scholar]
- Sandelin, S.K.; Hukka, J.J.; Katko, T.S. Importance of knowledge management at water utilities. Public Work. Manag. Policy 2021, 26, 164–179. [Google Scholar] [CrossRef]
- Sala-Garrido, R.; Mocholí-Arce, M.; Molinos-Senante, M.; Maziotis, A. Comparing operational, environmental and eco-efficiency of water companies in England and Wales. Energies 2021, 14, 3635. [Google Scholar] [CrossRef]
- Alabi, M.O.; Telukdarie, A.; van Janse Rensburg, N. Industry 4.0: Innovative solutions for the water industry. In Proceedings of the 40th International Annual Conference of the American Society for Engineering Management (ASEM 2019): A Systems Approach to Engineering Management Solutions, Philadelphia, PA, USA, 23–26 October 2019; Schott, E., Ng, E.-H., Keathley, H., Krejci, C., Eds.; American Society for Engineering Management: Huntsville, AL, USA, 2020. [Google Scholar]
- Vacca, J. Smart utilities. In Solving Urban Infrastructure Problems Using Smart City Technologies; Elsevier: Amsterdam, The Netherlands, 2020. [Google Scholar]
- Sarni, W.; White, C.; Webb, R.; Cross, K.; Glotzbach, R. Digital Water—Industry Leaders Chart the Transformation Journey; The International Water Association: London, UK, 2019. [Google Scholar]
- Feliciano, J.; Almeida, R.; Santos, A.; Ramalho, P.; Ganhão, A.; Covas, D.I.C.; Alegre, H. Assessing human resources renovation needs in water utilities. Water Pract. Technol. 2016, 11, 728–735. [Google Scholar] [CrossRef] [Green Version]
- O’Berry, D. Use knowledge management to sustain workforce expertise. Opflow 2015, 41, 24–26. [Google Scholar] [CrossRef]
- Castro-Gama, M.; Agudelo-Vera, C.; Bouziotas, D. A Bird’s-eye view of data validation in the drinking water industry of The Netherlands. In ICT for Smart Water Systems: Measurements and Data Science; Scozzari, A., Mounce, S., Han, D., Soldovieri, F., Solomatine, D., Eds.; Springer Nature: Cham, Switzerland, 2020; pp. 65–110. [Google Scholar]
- Mounce, S.R. Data science trends and opportunities for smart water utilities. In ICT for Smart Water Systems: Measurements and Data Science; Scozzari, A., Mounce, S., Han, D., Soldovieri, F., Solomatine, D., Eds.; Springer Nature: Cham, Switzerland, 2020; pp. 1–26. [Google Scholar]
- Ramos, H.M.; McNabola, A.; López-Jiménez, P.A.; Pérez-Sánchez, M. Smart water management towards future water sustainable networks. Water 2020, 12, 58. [Google Scholar] [CrossRef] [Green Version]
- March, H.; Morote, Á.-F.; Rico, A.-M.; Saurí, D. Household smart water metering in Spain: Insights from the experience of remote meter reading in Alicante. Sustainability 2017, 9, 582. [Google Scholar] [CrossRef] [Green Version]
- Monks, I.; Stewart, R.A.; Sahin, O.; Keller, R.J. Taxonomy and model for valuing the contribution of digital water meters to sustainability objectives. J. Environ. Manag. 2021, 293, 112846. [Google Scholar] [CrossRef] [PubMed]
- Liu, A.; Mukheibir, P. Digital metering feedback and changes in water consumption—A review. Resour. Conserv. Recycl. 2018, 134, 136–148. [Google Scholar] [CrossRef]
- Bartos, M.; Kerkez, B. Pipedream: An interactive digital twin model for natural and urban drainage systems. Environ. Model. Softw. 2021, 144, 105120. [Google Scholar] [CrossRef]
- Savić, D. Digital water developments and lessons learned from automation in the car and aircraft industries. Engineering 2021. [Google Scholar] [CrossRef]
- Ranjbar, R.; Duviella, E.; Etienne, L.; Maestre, J.-M. Framework for a digital twin of the Canal of Calais. Procedia Comput. Sci. 2020, 178, 27–37. [Google Scholar] [CrossRef]
- Dawood, T.; Elwakil, E.; Novoa, H.M.; Delgado, J.F.G. Artificial intelligence for the modeling of water pipes deterioration mechanisms. Autom. Constr. 2020, 120, 103398. [Google Scholar] [CrossRef]
- Li, L.; Rong, S.; Wang, R.; Yu, S. Recent advances in artificial intelligence and machine learning for nonlinear relationship analysis and process control in drinking water treatment: A review. Chem. Eng. J. 2021, 405, 126673. [Google Scholar] [CrossRef]
- Romero, J.M.P.; Hallett, S.H.; Jude, S. Leveraging big data tools and technologies: Addressing the challenges of the water quality sector. Sustaiability 2017, 9, 2160. [Google Scholar] [CrossRef] [Green Version]
- German Water Partnership. Water 4.0—Made in Germany. In WATER 4.0; German Water Partnership: Berlin, Germany, 2017. [Google Scholar]
- Boyle, T.; Giurco, D.; Mukheibir, P.; Liu, A.; Moy, C.; White, S.; Stewart, R. Intelligent metering for urban water: A review. Water 2013, 5, 1052–1081. [Google Scholar] [CrossRef] [Green Version]
- Beal, C.; Flynn, J. Toward the digital water age: Survey and case studies of Australian water utility smart-metering programs. Util. Policy 2015, 32, 29–37. [Google Scholar] [CrossRef] [Green Version]
- Brashear, J.P. Managing risk to critical infrastructures, their interdependencies, and the region they serve: A risk management process. In Optimizing Community Infrastructure; Colker, R., Ed.; Butterworth–Heinemann: Oxford, UK, 2020; pp. 41–67. [Google Scholar]
- Lalle, Y.; Fourati, M.; Fourati, L.C.; Barraca, J.P. Communication technologies for smart water grid applications: Overview, opportunities, and research directions. Comput. Netw. 2021, 190, 107940. [Google Scholar] [CrossRef]
- Leszczyna, R. Cybersecurity and privacy in standards for smart grids—A comprehensive survey. Comput. Stand. Interfaces 2018, 56, 62–73. [Google Scholar] [CrossRef]
- Moazeni, F.; Khazaei, J. Sequential false data injection cyberattacks in water distribution systems targeting storage tanks; a bi-level optimization model. Sustain. Cities Soc. 2021, 70, 102895. [Google Scholar] [CrossRef]
- Ahmad, T.; Zhang, D. Using the internet of things in smart energy systems and networks. Sustain. Cities Soc. 2021, 68, 102783. [Google Scholar] [CrossRef]
- El-Latif, A.A.A.; Abd-El-Atty, B.; Mehmood, I.; Muhammad, K.; Venegas-Andraca, S.E.; Peng, J. Quantum-inspired blockchain-based cybersecurity: Securing smart edge utilities in IoT-based smart cities. Inf. Process. Manag. 2021, 58, 102549. [Google Scholar] [CrossRef]
- De Vitry, M.M.; Schneider, M.Y.; Wani, O.; Manny, L.; Leitão, J.P.; Eggimann, S. Smart urban water systems: What could possibly go wrong? Environ. Res. Lett. 2019, 14, 081001. [Google Scholar] [CrossRef]
- Phaladi, M.P. Knowledge Transfer and Retention: The Case of a Public Water Utility in South Africa. Master’s Thesis, University of Stellenbosch, Stellenbosch, South Africa, 2011. [Google Scholar]
- Isbell, M. Knowledge retention: Develop effective succession: Planning strategies. Opflow 2008, 34, 16–17. [Google Scholar] [CrossRef]
- Frigo, M. Knowledge retention: A guide for utilities. J. Am. Water Work. Assoc. 2006, 98, 81–84. [Google Scholar] [CrossRef]
- ERSAR. Guia de Avaliação da Qualidade dos Serviços de Águas e Resíduos Prestados aos Utilizadores; ERSAR: Lisbon, Portugal, 2021. [Google Scholar]
- ERSAR. Relatório Anual dos Serviços de Águas e Resíduos em Portugal. Caraterização do Setor de Águas e Resíduos; ERSAR: Lisbon, Portugal, 2020; Volume 1. [Google Scholar]
- Cassidy, J.; Silva, T.; Semião, N.; Ramalho, P.; Santos, A.; Feliciano, J. Improving wastewater treatment plants operational efficiency and effectiveness through an integrated performance assessment system. H2Open J. 2020, 3, 276–287. [Google Scholar] [CrossRef]
- Volta, M.; Poulton, M.; Røstum, J.; Sægrov, S.; Herrero, M. CARE-W WP-6—Testing and Validation of CARE-W Rehab Manager; SINTEF: Trondheim, Norway, 2004. [Google Scholar]
- Alegre, H. Infrastructure asset management of urban water systems. In Water Supply System Analysis—Selected Topics; Ostfeld, A., Ed.; InTech: London, UK, 2012. [Google Scholar]
- Leitão, J.P.; Coelho, S.T.; Alegre, H.; Cardoso, M.A.; Silva, M.S.; Ramalho, P.; Ribeiro, R.; Covas, D.; Poças, A.; Vitorino, D.; et al. Moving urban water infrastructure asset management from science into practice. Urban Water J. 2016, 13, 133–141. [Google Scholar] [CrossRef]
- International Water Association. AquaRating. Available online: https://iwa-network.org/projects/aquarating/ (accessed on 23 August 2021).
- ERSAR. Dados de Base. Available online: http://www.ersar.pt/pt/setor/factos-e-numeros/dados-de-base (accessed on 3 July 2021).
- Kalulu, K.; Hoko, Z. Assessment of the performance of a public water utility: A case study of Blantyre Water Board in Malawi. Phys. Chem. Earth, Parts A/B/C 2010, 35, 806–810. [Google Scholar] [CrossRef]
- Cetrulo, T.B.; Ferreira, D.F.; Marques, R.C.; Malheiros, T.F. Water utilities performance analysis in developing countries: On an adequate model for universal access. J. Environ. Manag. 2020, 268, 110662. [Google Scholar] [CrossRef]
- Andres, L.A.; Bahuguna, A. Overcoming missing data bias in water utility indicators by using nested balanced panels. Util. Policy 2020, 67, 101109. [Google Scholar] [CrossRef]
- Libey, A.; Adank, M.; Thomas, E. Who pays for water? Comparing life cycle costs of water services among several low, medium and high-income utilities. World Dev. 2020, 136, 105155. [Google Scholar] [CrossRef]
- Arsénio, A.M.; Dheenathayalan, P.; Hanssen, R.; Vreeburg, J.H.G.; Rietveld, L. Pipe failure predictions in drinking water systems using satellite observations. Struct. Infrastruct. Eng. 2015, 11, 1102–1111. [Google Scholar] [CrossRef]
- Arsénio, A.M.; Pieterse, I.; Vreeburg, J.; De Bont, R.; Rietveld, L. Failure mechanisms and condition assessment of PVC push-fit joints in drinking water networks. J. Water Supply: Res. Technol. 2013, 62, 78–85. [Google Scholar] [CrossRef]
- Arsénio, A.M. Lifetime Prediction of PVC Push-Fit Joints. Ph.D. Thesis, TU Delft, Delft, The Netherlands, 2013. [Google Scholar]
- Marques, R.C.; Simões, P. Revisiting the comparison of public and private water service provision: An empirical study in Portugal. Water 2020, 12, 1477. [Google Scholar] [CrossRef]
- Cetrulo, T.B.; Marques, R.C.; Malheiros, T.F. An analytical review of the efficiency of water and sanitation utilities in developing countries. Water Res. 2019, 161, 372–380. [Google Scholar] [CrossRef] [PubMed]
- R Core Team. R: A Language and Environment for Statistical Computing; R Foundation for Statistical Computing: Vienna, Austria, 2021. [Google Scholar]
- Wickham, H. ggplot2: Elegant Graphics for Data Analysis; Gentleman, R., Hornik, K., Parmigiani, G., Eds.; Springer: New York, NY, USA, 2009. [Google Scholar]
- Schloerke, B.; Cook, D.; Larmarange, J.; Briatte, F.; Marbach, M.; Thoen, E.; Elberg, A.; Crowley, J. GGally: Extension to ggplot2, Version 2.1.2. 2021. Available online: https://search.r-project.org/CRAN/refmans/GGally/html/GGally-package.html (accessed on 27 September 2021).
- Seppälä, O.T. Performance benchmarking in nordic water utilities. Procedia Econ. Financ. 2015, 21, 399–406. [Google Scholar] [CrossRef] [Green Version]
- Sandelin, S. Knowledge Management and Retention—A Case of a Water Utility in Finland. Ph.D. Thesis, Tampere University of Technology, Tampere, Finland, 2017. [Google Scholar]
- INE. Variação da População Residente 2011–2021. Available online: https://www.ine.pt/scripts/db_censos_2021.html (accessed on 27 September 2021).
- Tutusaus, M.; Schwartz, K.; Smit, S. The ambiguity of innovation drivers: The adoption of information and communication technologies by public water utilities. J. Clean. Prod. 2018, 171, S79–S85. [Google Scholar] [CrossRef]
- Garrido-Baserba, M.; Corominas, L.; Cortés, U.; Rosso, D.; Poch, M. The fourth-revolution in the water sector encounters the digital revolution. Environ. Sci. Technol. 2020, 54, 4698–4705. [Google Scholar] [CrossRef] [PubMed]
- Fahnestock, C.M.; Brethower, K.S. Can succession planning impact your utility’s performance? J. Am. Water Work. Assoc. 2004, 96, 22–27. [Google Scholar] [CrossRef]




| Designation | Units | Formula | Quality Reference Values | |
|---|---|---|---|---|
| Non-revenue water (NRW) | % | 100 × Volume of non-revenue water physical losses [m3/year]/Volume of water entering the system [m3/year] | Good | <20 |
| Fair | 20–30 | |||
| Poor | >30 | |||
| Network rehabilitated per year in the last 5 years | % | (100/5) × Length of network rehabilitated in the last five years [km]/Average network length [km] | Good | 1–4 |
| Fair | 0.8–1 | |||
| Poor | <0.8 | |||
| Flow measuring (FM) index | - | Assess whether all locations considered relevant for optimizing the management of the system’s operation are equipped with flow meters. Determined by the sum of the scores of each class under analysis, with a predefined number of points being assigned to each question. | From 0 to 200 with 200 being the maximum score (without reference values) | |
| Infrastructure knowledge (IK) index | - | Assess the entity’s knowledge of the existing water supply service infrastructure. Determined by the sum of the scores of each class under analysis, with a predefined number of points being assigned to each question. This index attributes points, for example, to the existence of a pipe burst database, and the interconnection between GIS and other utilities’ information systems. | ||
| Description | Number of Points | Type of System in Place | System Operation | ||||
|---|---|---|---|---|---|---|---|
| Level 1 | Level 2 | Level 3 | Level 1 | Level 2 | Level 3 | ||
| Level 1—Basic IT capabilities | |||||||
| Cybersecurity system | 10 | No system or methodology in place | Generic approach or methodology followed | Dedicated system in place | Either: 1. No system or methodology in place 2. Existing system or methodology not in use | Only basic capabilities used | Full capabilities used |
| Customer relationship manager | 10 | ||||||
| Level 2—Network sensorization and digitization | |||||||
| Flow gauges | 10/3 | System covering the most important sections of the network | Most of the network (>80% of consumption) covered, monitored, and automated | ||||
| Pressure gauges | 10/3 | ||||||
| Telemetry system | 10/3 | ||||||
| Cadastre in digital format | 10 | ||||||
| Level 3—SIG, automated data collection and modeling | |||||||
| Digitalized network model | 10 | Generic approach or methodology followed | Dedicated system in place | ||||
| GIS system | 10 | ||||||
| SCADA system | 10 | ||||||
| Level 4—Operational management and maintenance systems | |||||||
| Work order management system | 10 | ||||||
| Maintenance system | 10 | ||||||
| Level 5—Optimization systems | |||||||
| Flow-monitoring system | 10 | ||||||
| Optimization system | 10 | ||||||
| Level 6—Planning systems | |||||||
| Domestic flow metering systems | 10 | ||||||
| Integrated asset management system | 10 | ||||||
| Level 7—Predictory systems | |||||||
| Digital twins | 10 | ||||||
| AI systems | 10 | ||||||
| ERSAR | AGS | ||||||
|---|---|---|---|---|---|---|---|
| Variable | Units | Mean | Min | Max | Mean | Min | Max |
| Staff supporting water supply | Number | 32 | 0 | 392 | 75 | 24 | 138 |
| Outsourced staff supporting water supply | Number | 4 | 0 | 288 | 6 | 2 | 14 |
| Network length | km | 449 | 8 | 4025 | 828 | 417 | 1392 |
| House connections | Number | 12,863 | 571 | 153,037 | 21,430 | 10,917 | 33,887 |
| Water entering the system | m3 | 5,804,197 | 121,572 | 221,836,250 | 7,943,717 | 2,605,203 | 18,407,025 |
| Tariff income | EUR | 2,591,241 | 0 | 97,486,957 | 7,968,945 | 3,174,878 | 21,122,610 |
| Utility 1 | Utility 2 | Utility 3 | Utility 4 | Utility 5 | Utility 6 | |||||||
|---|---|---|---|---|---|---|---|---|---|---|---|---|
| 2016 | 2021 | 2016 | 2021 | 2016 | 2021 | 2016 | 2021 | 2016 | 2021 | 2016 | 2021 | |
| Level 1—Basic IT capabilities | ||||||||||||
| Cybersecurity system | 3 | 6 | 3 | 4 | 3 | 5 | 3 | 5 | 3 | 5 | 3 | 3 |
| Customer relationship manager | 10 | 10 | 10 | 10 | 10 | 10 | 10 | 10 | 10 | 10 | 10 | 10 |
| Level 2—Network sensorization and digitization | ||||||||||||
| Flow gauges | 3 | 3 | 3 | 3 | 3 | 3 | 3 | 3 | 3 | 3 | 3 | 3 |
| Pressure gauges | 2 | 2 | 2 | 2 | 2 | 2 | 2 | 2 | 2 | 2 | 2 | 2 |
| Telemetry system | 2 | 2 | 3 | 3 | 3 | 3 | 3 | 3 | 3 | 3 | 3 | 3 |
| Cadastre in digital format | 10 | 10 | 10 | 10 | 10 | 10 | 10 | 10 | 10 | 10 | 10 | 10 |
| Level 3—SIG, automated data collection and modeling | ||||||||||||
| Digitalized network model | 3 | 3 | 8 | 8 | 3 | 3 | 10 | 10 | 8 | 8 | 2 | 2 |
| GIS system | 10 | 10 | 10 | 10 | 10 | 10 | 10 | 10 | 10 | 10 | 10 | 10 |
| SCADA system | 10 | 10 | 10 | 10 | 10 | 10 | 10 | 10 | 10 | 10 | 10 | 10 |
| Level 4—Operational management and maintenance systems | ||||||||||||
| Work order management system | 7 | 7 | 7 | 8 | 5 | 8 | 10 | 10 | 10 | 10 | 5 | 5 |
| Maintenance system | 5 | 5 | 5 | 5 | 5 | 5 | 5 | 5 | 10 | 10 | 5 | 5 |
| Level 5—Optimization systems | ||||||||||||
| Flow-monitoring system | 10 | 10 | 10 | 10 | 3 | 7 | 3 | 8 | 3 | 3 | 3 | 8 |
| Optimization system | 0 | 0 | 0 | 0 | 0 | 0 | 0 | 0 | 0 | 0 | 0 | 0 |
| Level 6—Planning systems | ||||||||||||
| Domestic flow metering systems | 7 | 7 | 7 | 10 | 7 | 7 | 7 | 7 | 7 | 7 | 7 | 10 |
| Integrated asset management system | 3 | 3 | 7 | 8 | 5 | 5 | 7 | 7 | 7 | 7 | 3 | 3 |
| Level 7—Prediction systems | ||||||||||||
| Digital twins | 0 | 0 | 0 | 0 | 0 | 0 | 0 | 0 | 0 | 0 | 0 | 0 |
| AI systems | 0 | 0 | 0 | 0 | 0 | 0 | 0 | 0 | 0 | 0 | 0 | 0 |
| Total | 86 | 89 | 95 | 102 | 80 | 88 | 93 | 100 | 97 | 99 | 77 | 85 |
| Total (%) | 57% | 59% | 63% | 68% | 53% | 59% | 62% | 67% | 64% | 66% | 51% | 57% |
Publisher’s Note: MDPI stays neutral with regard to jurisdictional claims in published maps and institutional affiliations. |
© 2021 by the authors. Licensee MDPI, Basel, Switzerland. This article is an open access article distributed under the terms and conditions of the Creative Commons Attribution (CC BY) license (https://creativecommons.org/licenses/by/4.0/).
Share and Cite
Feliciano, J.F.; Arsénio, A.M.; Cassidy, J.; Santos, A.R.; Ganhão, A. Knowledge Management and Operational Capacity in Water Utilities, a Balance between Human Resources and Digital Maturity—The Case of AGS. Water 2021, 13, 3159. https://doi.org/10.3390/w13223159
Feliciano JF, Arsénio AM, Cassidy J, Santos AR, Ganhão A. Knowledge Management and Operational Capacity in Water Utilities, a Balance between Human Resources and Digital Maturity—The Case of AGS. Water. 2021; 13(22):3159. https://doi.org/10.3390/w13223159
Chicago/Turabian StyleFeliciano, João Faria, André Marques Arsénio, Joana Cassidy, Ana Rita Santos, and Alice Ganhão. 2021. "Knowledge Management and Operational Capacity in Water Utilities, a Balance between Human Resources and Digital Maturity—The Case of AGS" Water 13, no. 22: 3159. https://doi.org/10.3390/w13223159
APA StyleFeliciano, J. F., Arsénio, A. M., Cassidy, J., Santos, A. R., & Ganhão, A. (2021). Knowledge Management and Operational Capacity in Water Utilities, a Balance between Human Resources and Digital Maturity—The Case of AGS. Water, 13(22), 3159. https://doi.org/10.3390/w13223159

