Study on Adsorption of As(III) by a New Bio-Material from Chitin Pyrolysis
Abstract
:1. Introduction
- (1)
- Obtaining a maximum surface area; showing the influence of common ions (NaCl, NaHCO3 and Na2SO4).
- (2)
- Demonstrating arsenic removal by char from water/wastewater at different pHs.
- (3)
- Obtaining adsorption kinetics to establish the mechanism.
2. Materials and Methods
2.1. Pyrolysis of Chitin
2.2. Treatment with Nitric Acid
2.3. The preparation of Ca(OH)2-Loaded Chars
2.4. Reagents and Equipment
2.5. Adsorption Procedure
2.6. Effect of Coexisting Ions
2.7. Kinetic Studies
2.8. Quality Control
3. Results and Discussion
3.1. Specific Surface Area
3.2. Adsorption Experiments for Different Samples
3.3. IR Characterization
3.4. Adsorption Studies
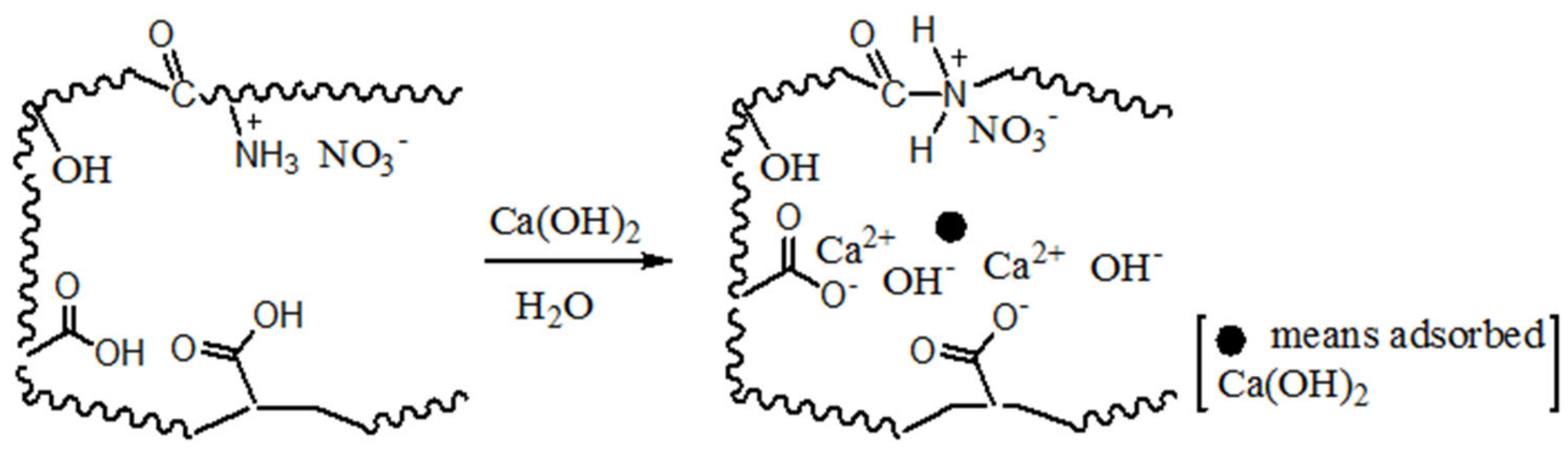
3.5. Adsorption Mechanism
3.6. Kinetic Studies
- (4)
- There is a maximum adsorption rate during the entire adsorption process, and the adsorption rate gradually increases with increasing porous AsO2− concentration in the initial stage; after that, the adsorption rate gradually decreases with decreasing AsO2− concentration in the final stage.
- (5)
- While Ca(OH)2–char was added to arsenic solution, all pores of char were instantly filled with water, namely initial diffusion of water molecule is negligible because of its good hydrophilicity. After that AsO2− rapidly diffuses into pores from solution and reaches an equilibrium concentration between outside and inside pores.
- (6)
- In the initial stage, concentration of Ca2+ in pore is higher and close to Ca(OH)2 saturated water solution.
- (7)
- Home position crystallization is the predominant adsorption mechanism on the chars during initial adsorption period and adsorption rate depends on the concentration of AsO2− in pore from initial zero to an equilibrium concentration (Cie). After that, the concentration of AsO2− in pores decreases because of further ion-exchange reaction.
- (8)
- Ion-exchange is the predominant adsorption mechanism during the final adsorption period and adsorption rate depends on the concentration of AsO2− in pores from the initial equilibrium concentration Cie to the final equilibrium concentration (Cfe).
- (9)
- The rate of deadsorption is negligible compared to the rate of adsorption.
4. Conclusions
Supplementary Materials
Author Contributions
Funding
Institutional Review Board Statement
Informed Consent Statement
Data Availability Statement
Acknowledgments
Conflicts of Interest
References
- Keimowitz, A.R.; Zheng, Y.; Chillrud, S.N.; Mailloux, B.; Jung, H.B.; Stute, M.; Simpson, H.J. Arsenic Redistribution between Sediments and Water near a Highly Contaminated Source. Environ. Sci. Technol. 2010, 39, 8606–8613. [Google Scholar] [CrossRef] [PubMed]
- Yu, H.S.; Lee, C.H.; Chen, G.S. Peripheral vascular diseases resulting from chronic arsenical poisoning. J. Dermatol. 2002, 29, 123–130. [Google Scholar] [CrossRef] [PubMed]
- Antman, K.H. Introduction: The history of arsenic trioxide in cancer therapy. Oncologist 2001, 6. [Google Scholar] [CrossRef] [PubMed]
- Cullen, W.R.; Reimer, K.J. Arsenic speciation in the environment. Chem. Rev. 1989, 89, 713–764. [Google Scholar] [CrossRef] [Green Version]
- Dixit, S.; Hering, J.G. Comparison of arsenic(V) and arsenic(III) sorption onto iron oxide minerals: Implications for arsenic mobility. Environ. Sci. Technol. 2003, 37, 4182–4189. [Google Scholar] [CrossRef] [PubMed]
- Manning, B.A.; Martens, D.A. Speciation of arsenic(III) and arsenic(V) in sediment extracts by high-performance liquid chromatography-hydride generation atomic absorption spectrophotometry. Environ. Sci. Technol. 1997, 31, 171–177. [Google Scholar] [CrossRef]
- Bothe, J.V.; Brown, P.W. The stabilities of calcium arsenates at 23 ± 1 °C. J. Hazard. Mater. 1999, 68, 197–207. [Google Scholar] [CrossRef]
- Chiu, V.Q.; Hering, J.G. Arsenic adsorption and oxidation at manganite surfaces. 1. Method for simultaneous determination of adsorbed and dissolved arsenic species. Environ. Sci. Technol. 2000, 34, 2029–2034. [Google Scholar] [CrossRef]
- Usman, M.; Katsoyiannis, I.; Mitrakas, M.; Zouboulis, A.; Ernst, M. Performance Evaluation of Small Sized Powdered Ferric Hydroxide as Arsenic Adsorbent. Water 2020, 12, 1430. [Google Scholar] [CrossRef]
- Gupta, V.K.; Sharma, S. Removal of cadmium and zinc from aqueous solutions using red mud. Environ. Sci. Technol. 2002, 36, 3612–3617. [Google Scholar] [CrossRef] [PubMed]
- Srivastava, S.K.; Gupta, V.K.; Mohan, D. Removal of lead and chromium by activated slag- a blast furnace waste. J. Environ. Eng. 1997, 123, 461–468. [Google Scholar] [CrossRef]
- Mohan, D.; Pittman, C.J.; Bricka, M.; Smith, F.; Yancey, B.; Mohammad, J.; Steele, P.; Alexandre-Franco, M.F.; Gómez-Serrano, V.; Gong, H. Sorption of arsenic, cadmium, and lead by chars produced from fast pyrolysis of wood and bark during bio-oil production. J. Colloid Interf. Sci. 2007, 310, 57–73. [Google Scholar] [CrossRef] [PubMed]
- Tennant, M.F.; Mazyck, D.W. Steam-pyrolysis activation of wood char for superior odorant removal. Carbon. 2003, 41, 2195–2202. [Google Scholar] [CrossRef]
- Boni, M.R.; Marzeddu, S.; Tatti, F.; Raboni, M.; Mancini, G.; Luciano, A.; Viotti, P. Experimental and Numerical Study of Biochar Fixed Bed Column for the Adsorption of Arsenic from Aqueous Solutions. Water 2021, 13, 915. [Google Scholar] [CrossRef]
- Ioannidou, O.; Zabaniotou, A. Agricultural residues as precursors for activated carbon production–A review. Renew. Sust. Energ. Rev. 2007, 11, 1966–2005. [Google Scholar] [CrossRef]
- Demirbas, A. Effects of temperature and particle size on bio-char yield from pyrolysis of agricultural residues. J. Anal. Appl. Pyrol. 2004, 72, 243–248. [Google Scholar] [CrossRef]
- Fierro, V.; Torné-Fernández, V.; Celzard, A. Kraft lignin as a precursor for microporous activated carbons prepared by impregnation with ortho-phosphoric acid: Synthesis and textural characterization. Micropor. Mesopor. Mater. 2006, 92, 243–250. [Google Scholar] [CrossRef]
- Pillai, K.; Raizada, A. Modeling Transport and Adsorption of Arsenic Ions in Iron-Oxide Laden Porous Media. Part I: Theoretical Developments. Water 2021, 13, 779. [Google Scholar] [CrossRef]
- Bae, J.; Kim, S.; Kim, K.S.; Hwang, H.K.; Choi, H. Adsorptive Removal of Arsenic by Mesoporous Iron Oxide in Aquatic Systems. Water 2020, 12, 3147. [Google Scholar] [CrossRef]
- Kanel, S.R.; Manning, B.; Charlet, L.; Choi, H. Removal of Arsenic(III) from Groundwater by Nanoscale Zero-Valent Iron. Environ. Sci. Technol. 2005, 39, 1291–1298. [Google Scholar] [CrossRef]
- Zhu, H.; Jia, Y.; Wu, X.; Wang, H. Removal of arsenic from water by supported nano zero-valent iron on activated carbon. J. Hazard. Mater. 2009, 172, 1591–1596. [Google Scholar] [CrossRef]
- Van de Velde, K.; Kiekens, P. Structure analysis and degree of substitution of chitin, chitosan and dibutyrylchitin by FT-IR spectroscopy and solid state 13C NMR. Carbohyd. Polym. 2004, 58, 409–416. [Google Scholar] [CrossRef]
- Furuhashi, T.; Beran, A.; Blazso, M.; Czegeny, Z.; Schwarzinger, C.; Steiner, G. Pyrolysis GC/MS and IR spectroscopy in chitin analysis of molluscan shells. Biosci. Biotechnol. Biochem. 2009, 73, 93–103. [Google Scholar] [CrossRef] [PubMed] [Green Version]
- Juang, R.S.; Tseng, R.L.; Wu, F.C.; Lee, S.H. Adsorption behavior of reactive dyes from aqueous solutions on chitosan. J. Chem. Tech. Biotechnol. 1997, 70, 391–399. [Google Scholar] [CrossRef]
- Vinokurov, I.A.; Jouko, K. Kinetics of Multilayer Langmuirian Adsorption. Langmuir 2002, 18, 6789–6795. [Google Scholar] [CrossRef]
- Choi, J.; Choi, N.; Lee, S.; Kim, D. Novel three-stage kinetic model for aqueous benzene adsorption on activated carbon. J. Colloid Interf. Sci. 2007, 314, 367–372. [Google Scholar] [CrossRef] [PubMed]
- Zhao, C.; Ping, G.; Zhang, G. A hybrid process of powdered activated carbon countercurrent two-stage adsorption and microfiltration for petrochemical RO concentrate treatment. Desalination 2013, 330, 9–15. [Google Scholar] [CrossRef]
- Annadurai, G.; Ling, L.Y.; Lee, J. Adsorption of reactive dye from an aqueous solution by chitosan: Isotherm, kinetic and thermodynamic analysis. J. Hazard. Mater. 2008, 152, 337–346. [Google Scholar] [CrossRef]
- Gutig, C.; Grady, B.P.; Striolo, A. Experimental Studies on the Adsorption of Two Surfactants on Solid−Aqueous Interfaces: Adsorption Isotherms and Kinetics. Langmuir 2008, 24, 13814. [Google Scholar] [CrossRef] [Green Version]
- Day, J.P.R.; Campbell, R.A.; Russell, O.P.; Bain, C.D. Adsorption Kinetics in Binary Surfactant Mixtures Studied with External Reflection FTIR Spectroscopy. J. Phys. Chem. C 2007, 111, 8757–8774. [Google Scholar] [CrossRef]
- Kern, M.E.; David, F.W. Influence of Dispersion Forces and Ordering on the Compositions of Mixed Monolayers of Alkanoic Acids on Nanocrystalline TiO2 Films. Langmuir 2013, 29, 13797–13807. [Google Scholar] [CrossRef]
- Moorkanikkara, S.N.; Blankschtein, D. New Theoretical Framework for Designing Nonionic Surfactant Mixtures that Exhibit a Desired Adsorption Kinetics Behavior. Langmuir 2010, 26, 18728–18733. [Google Scholar] [CrossRef]
- Yang, Z.; Zhang, B.; Chen, X.; Bai, Z.; Zhang, H. Studies on pyrolysis of wheat straw residues from ethanol production by solid-state fermentation. J. Anal. Appl. Pyrolysis 2008, 81, 243–246. [Google Scholar] [CrossRef]
- Yang, Z.; Zhuang, G.; Bai, Z.; Zhang, H.; Guo, Y.; Dong, Y. Preparation and formation mechanism of levoglucosan from starch using a tubular furnace pyrolysis reactor. J. Anal. Appl. Pyrolysis 2013, 102, 83–88. [Google Scholar] [CrossRef]
- Jin, H.; Capareda, S.; Chang, Z.; Gao, J.; Xu, Y.; Zhang, J. Biochar pyrolytically produced from municipal solid wastes for aqueous As(V) removal: Adsorption property and its improvement with KOH activation. Bioresour. Technol. 2014, 169, 622–629. [Google Scholar] [CrossRef] [PubMed]
- Begum, S.A.; Golam Hyder, A.H.M.; Vahdat, N. Adsorption isotherm and kinetic studies of As(V) removal from aqueous solution using cattle bone char. J. Water Supply Res. Technol. AQUA 2016, 65, 244–252. [Google Scholar] [CrossRef]
- Niazi, N.K.; Bibi, I.; Shahid, M.; Ok, Y.S.; Burton, E.D.; Wang, H.; Shaheen, S.M.; Rinklebe, J.; Lüttge, A. Arsenic removal by perilla leaf biochar in aqueous solutions and groundwater: An integrated spectroscopic and microscopic examination. Environ. Pollut. 2018, 232, 31–41. [Google Scholar] [CrossRef] [PubMed]
- Sattar, M.S.; Shakoor, M.B.; Ali, S.; Rizwan, M.; Niazi, N.K.; Jilani, A. Comparative efficiency of peanut shell and peanut shellbiochar for removal of arsenic from water. Environ. Sci. Pollut. Res. 2019, 26, 18624–18635. [Google Scholar] [CrossRef]
- Nishimura, T.; Robins, R.G. A Re-evaluation of the Solubility and Stability Regions of Calcium Arsenites and Calcium Arsenates in Aqueous Solution at 25°C, Mineral Processing and Extractive Metallurgy Review. Min. Pro. Ext. Met. Rev. 1998, 18, 283–308. [Google Scholar] [CrossRef]
- Margulis, H.; Gane, J. Action of Lime on Arsenious Acid. Annal. Agron. 1948, 18, 28–32. [Google Scholar]
- Masson, J.; Guérin, H. On the Alkali Earth Arsenites: Study of the Systems (Ba, Sr, Ca)O-As2O3-H2O. Bull. Soc. Chim. France 1958, 1958, 400–403. [Google Scholar]
- Sethuraman, V.V.; Raymahashay, B.C. Color removal by clays. Kinetic study of adsorption of cationic and anionic dyes. Environ. Sci. Technol. 1975, 9, 1139–1140. [Google Scholar]
- Alexander, F.; Poots, V.J.P.; McKay, G. Adsorption kinetics and diffusion mass transfer processes during color removal from effluent using silica. Ind. Eng. Chem. Process. Des. Dev. 1978, 17, 406–410. [Google Scholar] [CrossRef]










| Number | Wave (cm−1) | Explanation of Band | Sample |
|---|---|---|---|
| 1 | 3692 | O-H | A |
| 2 | 3420 | Hydroxyl stretching | A, B, C |
| 3 | 3250 | N–H stretching in amine | A, B, C |
| 4 | 2920 | C–H stretching | A, B, C |
| 5 | 2850 | C–H stretching | A, B, C |
| 6 | 1716 | C=O stretching (carboxylic acid) | B |
| 7 | 1625 | N-H bending in amine | A, B, C |
| 8 | 1430 | C–N stretching and/or C–H deformationsand/or C=C stretching in aromatic rings | A, C |
| 9 | 1022 | C–O stretching | A, C |
| 10 | 870 | C-N bending | A, C |
Publisher’s Note: MDPI stays neutral with regard to jurisdictional claims in published maps and institutional affiliations. |
© 2021 by the authors. Licensee MDPI, Basel, Switzerland. This article is an open access article distributed under the terms and conditions of the Creative Commons Attribution (CC BY) license (https://creativecommons.org/licenses/by/4.0/).
Share and Cite
Yang, Z.; Yan, G.; Song, Z.; Zhang, J.; Wang, C.; Yu, Z.; Bai, Z.; Zhuang, G.; Liang, F. Study on Adsorption of As(III) by a New Bio-Material from Chitin Pyrolysis. Water 2021, 13, 2944. https://doi.org/10.3390/w13212944
Yang Z, Yan G, Song Z, Zhang J, Wang C, Yu Z, Bai Z, Zhuang G, Liang F. Study on Adsorption of As(III) by a New Bio-Material from Chitin Pyrolysis. Water. 2021; 13(21):2944. https://doi.org/10.3390/w13212944
Chicago/Turabian StyleYang, Zhiguang, Gaojun Yan, Zhiwei Song, Junzheng Zhang, Chenlong Wang, Zhisheng Yu, Zhihui Bai, Guoqiang Zhuang, and Feng Liang. 2021. "Study on Adsorption of As(III) by a New Bio-Material from Chitin Pyrolysis" Water 13, no. 21: 2944. https://doi.org/10.3390/w13212944
APA StyleYang, Z., Yan, G., Song, Z., Zhang, J., Wang, C., Yu, Z., Bai, Z., Zhuang, G., & Liang, F. (2021). Study on Adsorption of As(III) by a New Bio-Material from Chitin Pyrolysis. Water, 13(21), 2944. https://doi.org/10.3390/w13212944

