Abstract
Floating treatment wetlands (FTWs) are cost-effective systems for the remediation of polluted water. In FTWs, the metabolic activity of microorganisms associated with plants is fundamental to treatment efficiency. Bioaugmentation, the addition of microorganisms with pollutant-degrading capabilities, appears to be a promising means to enhance the treatment efficiency of FTWs. Here, we quantified the effect of bioaugmentation with a four-membered bacterial consortium on the remediation of water contaminated with crude oil in pilot-scale FTWs planted with Phragmites australis or Typha domingensis. The bacteria had been isolated from the endosphere and rhizosphere of various plants and carry the alkane hydroxylase gene, alkB, involved in aerobic hydrocarbon degradation. During a treatment period of 36 days, FTWs planted with P. australis achieved a reduction in hydrocarbon concentration from 300 mg/L to 16 mg/L with and 56 mg/L without bioaugmentation. In the FTWs planted with T. domingensis, respective hydrocarbon concentrations were 46 mg/L and 84 mg/L. The inoculated bacteria proliferated in the rhizoplane and in the plant interior. Copy numbers of the alkB gene and its mRNA increased over time in plant-associated samples, suggesting increased bacterial hydrocarbon degradation. The results show that bioaugmentation improved the treatment of oil-contaminated water in FTWs by at least a factor of two, indicating that the performance of full-scale systems can be improved at only small costs.
1. Introduction
The burning of petroleum products still accounts for about one-third of the global society’s energy budget [1]. Next to being unsustainable, onshore oil field exploitation alone generates over 5 million m3 per day of polluted water globally [2,3,4]. The polluted water contains a slew of organic and inorganic contaminants such as hydrocarbons, phenols, and heavy metals with high human and ecotoxicological significance [4,5,6]. In particular in Low-Middle-Income Countries (LMIC) with oil production, treatment of the water is limited to storage in so-called evaporation pits as the cheapest approach. The water discharged or leaking from the pits is of poor quality [6]. Physical and chemical treatment technologies are available but have significant demands on energy input, capital investment, and operation and maintenance cost requirements, and are therefore rarely used in LMIC [7,8].
Floating treatment wetlands (FTW) are nature-based solutions for the cost-effective treatment of various contaminated waters, including those polluted with oil [4,6,8,9,10,11,12,13,14,15,16,17,18,19]. These systems consist of aquatic plants, i.e., emergent macrophytes, whose roots can form filter mats submerged in the water. They are buoyant due to the aerenchyma of the roots and gas trapped in the root mats. The buoyancy can be further enhanced by simple rafts. Thus, quite effective water treatment systems can be implemented at minimal financial cost [8]. While the plants themselves can attenuate the concentration of pollutants in the water via uptake, sequestration, and in planta transformations, the major share of pollutants is degraded by members of the microbial communities in the various compartments of FTWs [4,20]. The relevant compartments are the areas of free water, the rhizosphere and rhizoplane, and the endosphere. Particularly in the latter two compartments, mutually beneficial interactions between the plants and their microbiomes take place [6,10,21,22,23]. Thus, a high reactive surface area of the root system is key to the success of FTWs. The roots’ exterior and interior are residence spaces for the microorganisms where they can capture plant-derived organic substrates as well as oxygen provided by the aerenchyma for their enhanced survival and metabolic activity. In turn, the plant can benefit from the microbial transformation of toxic compounds into harmless products. In addition, it has been shown that several bacterial strains isolated from the rhizosphere or endosphere have properties that could promote plant growth, such as stress alleviation, inorganic phosphorous solubilization, and siderophores formation [24,25,26,27,28,29,30].
Several studies using laboratory-scale systems have indicated that bioaugmentation with microbes capable of hydrocarbon transformation can enhance the treatment performance of FTWs [4,31,32,33]. In essence, such investigations are of empirical nature in which bacterial strains or consortia with the desired metabolic properties are tested in combination with particular plant species. Typically, the microorganisms had been isolated from the root system of aquatic plants, phenotypically or genotypically tested for relevant properties, and if suitable used in bioaugmentation. Previously, we demonstrated that hydrocarbon degradation in laboratory-scale FTWs planted with various macrophytes improved after bioaugmentation with a four-membered bacterial consortium [4,34]. A limitation of the previous studies, for which 20 L-sized containers were used, was that the rhizosphere took up a greater relative portion of the total volume than can be expected for full-scale systems. Considering that the rhizosphere is the hot spot for microbial activity, it was not clear how well the performance of the laboratory systems could be translated to large-scale FTWs.
Here, we quantified the effect of bioaugmentation on hydrocarbon degradation in pilot-scale FTWs (1000 L) planted with either Phragmites australis (common reed) or Typha domingensis (southern cattail), in which the ratio of rhizosphere to free water volume was similar to that in full-scale systems. The added bacteria proliferated in the FTWs, suggesting that full-scale systems can be effectively bioaugmented at minimal costs.
2. Materials and Methods
2.1. Establishment and Operation of Pilot-Scale FTWs
FTWs systems in plastic tanks having 1 m3 of water holding capacity [dimensions: 1.2 m (length) × 1.0 m (width), × 1.0 m (height)] were designed and constructed at National Institute for Biotechnology and Genetic Engineering (NIBGE) (Faisalabad, Pakistan) (Figure 1). Floating rafts of fitting dimensions were prepared using Jumbolon Roll (Diamond Foam, Lahore, Pakistan). The raft’s surface was covered with aluminum foil and a soil-sand mixture to reduce weathering effects such as damage by ultraviolet radiation. The two emergent aquatic plant species, P. australis and T. domingensis, were selected, as in previous laboratory-scale studies [4,33,34,35,36]. They are available locally, develop aerenchyma in flooded environments, are capable of forming a strong root network, and are able to thrive in harsh environmental conditions. The nursery of these plants was previously established at NIBGE in plastic pots. For plantation purposes, eight holes of equal diameter (7.5 cm) were drilled into the rafts and twenty-four seedlings of either P. australis or T. domingensis (each ~60 cm high and 45–65 g in weight) were inserted into the holes (three per hole). In the case of rain, the tanks were covered with plastic sheets to avoid addition of rainwater to the tanks. Initially, the plant seedlings were grown in the presence of Hoagland solution (5%) for a period of 2 months to establish a strong root network. Then, the following FTW set-ups were established in triplicates:
Figure 1.
The development and installation of FTW macrocosms with Typha domingensis (A,B), and Phragmites australis (C).
- (1)
- oil-contaminated water without vegetation and bacterial inoculation (1st control, C1);
- (2)
- oil-contaminated water with bacterial inoculation only (Treatment 1, T1);
- (3)
- oil-contaminated water with vegetation only, (Treatment 2, T2);
- (4)
- oil-contaminated water with vegetation and bacterial inoculation (Treatment 3, T3);
- (5)
- Vegetation in tap water (2nd control, C2).
The contaminated water was from an oil production site near Fimkassar (32.55_N 72.51_E), Chakwal, Pakistan. The physicochemical characteristics have been described previously [4,6], and are also presented in Table S1. Several of the quality parameters such as hydrocarbon content exceed the National Environmental Quality Standards (NEQS) of Pakistan. The experiment was set up at local environmental conditions of Faisalabad. No rain was recorded during the experimental period.
2.2. Chemical Analyses and Determination of Plant Growth
For chemical analyses, water samples were collected from the macrocosms every 12 days over a period of 36 days. Hydrocarbon concentrations (mainly C10–C30 alkanes) were determined as described previously via a Spectrum Two Environmental Hydrocarbon Analysis System [37,38]. The chemical oxygen demand (COD) and the biochemical oxygen demand (BOD) were measured with the standard method 5210B and 5200D, respectively [39].
To record plant growth and biomass, the roots of harvested plants were carefully washed with tap water to remove loosely attached particles. The plants were then separated into shoots and roots, and their respective lengths measured. The shoot and root samples were oven-dried at 70 °C for 72 h, and dry biomass was gravimetrically determined.
2.3. Bioaugmentation with a Four-Membered Bacterial Consortium
A synthetic consortium of four bacterial strains previously isolated in our laboratory was used to enhance oil degradation in the pilot-systems. These strains were Acinetobacter junii TYRH47 (NCBI GenBank accession: KJ620859), Acinetobacter sp. LCRH81 (accession: KJ620868), Bacillus subtilis LORI66 (accession: KF478216), and Klebsiella sp. LCRI87 (accession: KF478220). The strains TYRH47 and LCRH81 were isolated from the rhizospheres of T. domingensis and Lecucaena leucocephala, respectively, whereas the strains LORI66 and LCRI87 were isolated from the root interior of Lolium perenne and L. leucocephala [40].
In vitro, these strains are highly effective in crude oil degradation and have plant-growth promoting capabilities [indole-3-acetic acid (IAA) and siderophore production, P-solubilization, and 1-aminocyclopropane-1-carboxylate (ACC)-deamination]. Further, these strains carry the alkB gene, which is involved in catabolic hydrocarbon degradation [34,40,41,42,43]. To prepare the consortium, the four strains were individually cultured in Lysogeny-Broth (LB) at 37 °C for 24 h and harvested via centrifugation at 10,000 rpm (Eppendorf Centrifuge 5810R, Eppendorf, Hamburg, Germany), followed by re-suspension in 0.9% normal saline solution. The suspensions were diluted to a density of 107 cells mL−1 and mixed with an equal ratio (1:1:1:1). One litre of the consortium was inoculated to the FTWs subsets T1 and T3.
Water samples were collected from the bioaugmented FTWs every 12 days over a period of 36 days and investigated as follows. The cultivable bacterial communities from the rhizoplane, and roots and shoots’ interior were counted as colony forming units (CFUs) coupled with restriction fragment length polymorphism (RFLP) analysis. Bacteria from the rhizoplane were isolated by agitating root cuts at 180 rpm with glass beads in normal saline solution for 1 h at room temperature. For in planta bacterial quantification, root and shoot samples were surface-sterilized with 70% ethanol for 2 min followed by treatment with 1% sodium hypochlorite solution for 5 min, and washed thrice with sterile distilled water for 2 min. After the sterility test of cultivable community on LB agar plates [38], 2 g of surface-sterilized roots and shoot samples were ground using a mortar and pestle in the presence of 10 mL of 0.9% sodium chloride solution. The ground material was then shaken for 1 h at 37 °C. The solid material was allowed to settle for some time, and then 100 μL of the suspension and treated water were plated onto minimal media (M9) containing 1% (v/v) diesel as a sole source of carbon and energy. The plates were incubated at 37 °C followed by counting of CFUs. To check if the inoculated strains survived and proliferated in the pilot-systems, the identity of isolates was confirmed through RFLP analysis of PCR amplified 16S-23S rDNA intergenic spacer (IGS) region product as reported earlier [36].
2.4. Abundance and Expression of the alkB Gene in the FTWs
Furthermore, the copy numbers of the alkB gene and its transcript were recorded in the various compartments of the bioaugmented FTWs over 36 days at intervals of 12 days. Total DNA and RNA were extracted from the treated water, rhizoplane, roots, and shoots by using the FastDNATM and FastRNATM spin kits (MP Biomedicals, Irvine, CA, USA). The quality and quantity of DNA and RNA were assessed through agarose gel electrophoresis and by NanoDrop spectrometry (Thermo Scientific, Waltham, MA, USA). RNA was reverse transcribed to cDNA by using Superscript II reverse transcriptase (Invitrogen, Waltham, MA, USA). Real-time PCR (qPCR) was used to determine the copy numbers of gene and transcript using the specific primer-set and conditions reported earlier [41,44].
2.5. Transmission Electron Microscopy
Transmission electron microscopy was used to visually observe the localization of bacteria in the rhizoplane and in planta [45]. Briefly, surface sterilized roots were cut into small agar cubes (2–3 mm3) and fixed in 2% glutaraldehyde for 16–18 h at room temperature. After washing thrice with 0.2 M PIPES buffer (pH 6.8) for 1 h and rinsing with distilled water, samples were treated with 0.2% osmium tetraoxide (prepared in 0.2 M PIPES buffer) for 16–18 h and again washed for 30 min. The samples were then treated with 5% uranyl acetate for 16–18 h, washed, dehydrated with 100% ethanol for 1 h, and then kept in acetone for 30 min. Pure Spurr resin equal in amount of acetone (1:1) was added gently and left for 16–18 h. Afterwards acetone/Spurr mixture was replaced with pure Spurr resin and left for 16–18 h on a specimen rotator. The specimens were embedded in rubber moulds and allowed to polymerize at 65 °C for 72 h. Ultra-thin plastic sections of processed roots were cut with ultra-microtome (RML-70, RMC, Ontario, NY, USA), picked on 400 mesh copper grids and double stained with uranyl acetate and lead citrate. Finally, the sections were observed under transmission electron microscope (JEOL, JEM-1010, Akishima, Tokyo, Japan) at 80 KV.
2.6. Toxicity Bioassay
The toxicity of the reclaimed water of all the treatments was assessed using a fish survival assay [45]. Ten individuals each with approximately equal weight and size of a locally available fish (Labeo rohita) were exposed to treated water samples. The mortality rate was determined by counting the number of live and dead fish every 24 h of exposure for a period of 4 days.
2.7. Statistical Analysis
All parameters were subjected to one-way analysis of variance (ANOVA) using Statistix 9, and p-values were considered to be significant at p < 0.05.
3. Results
3.1. Attenuation of Hydrocarbon Concentration, COD and BOD in Pilot-Scale FTW
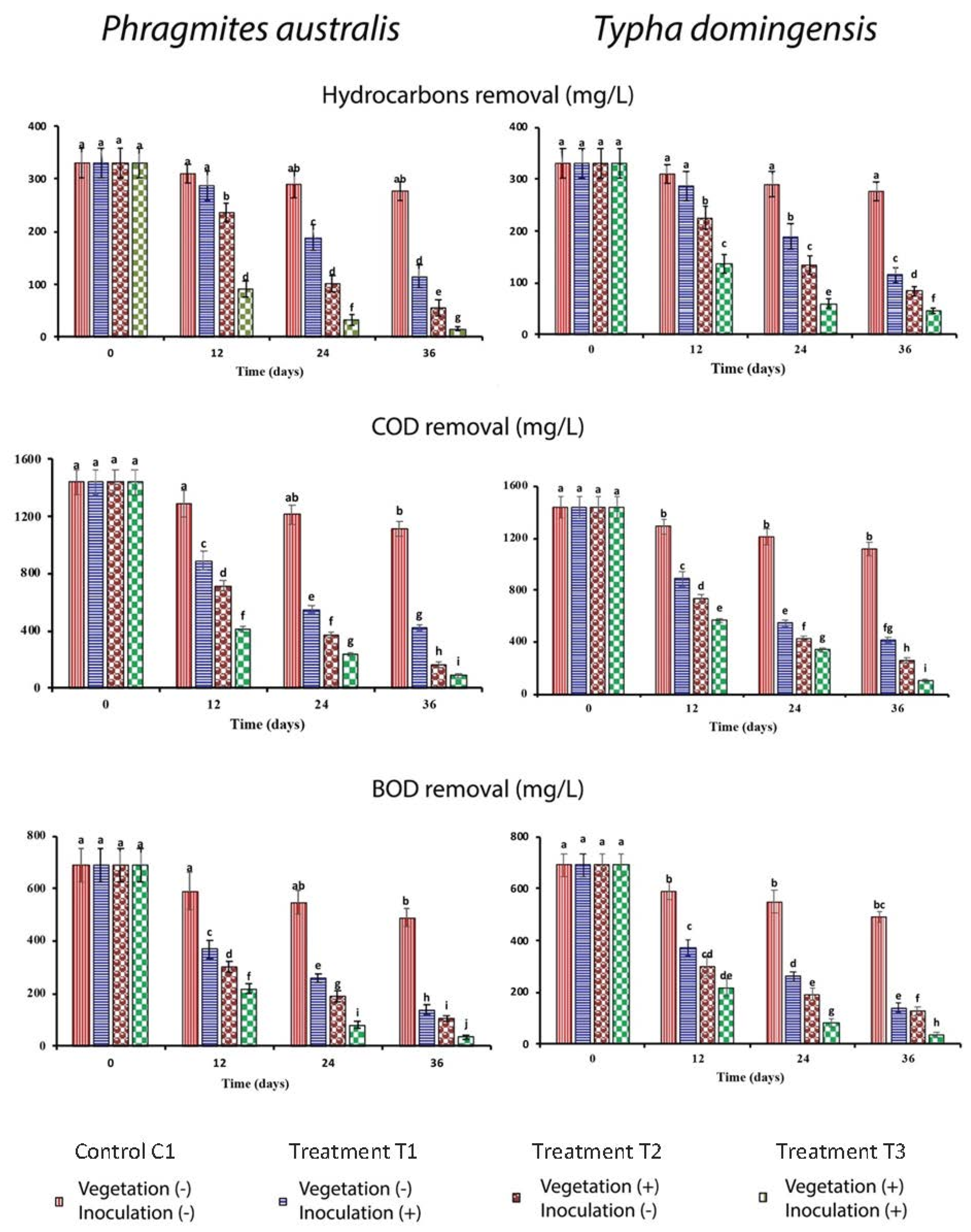
Pilot-scale FTW performance was evaluated by examining water quality parameters at 0, 12, 24, and 36 day time points (Figure 2). The reduction in hydrocarbon concentration, COD, and BOD was significantly lower in the unplanted macrocosms C1 (without bioaugmentation) and T1 (with bioaugmentation) than in the macrocosms planted with either P. australis or T. domingensis. Total hydrocarbons were reduced from 300 to 276 mg/L (8%) in C1, and to 115 mg/L (61%) in T1 over a 36 day period. In the FTW macrocosms without bioaugmentation (T2), hydrocarbon reduction improved, reaching a concentration of 56 mg/L with P. australis and 84 mg/L with T. domingensis (81% and 72% removal, respectively) at the 36-day time point. The better performance in the experiments with P. australis was not statistically significant. When plant and bacterial augmentation were applied together, the maximum reduction in hydrocarbon content was achieved. Bacterial augmentation reduced hydrocarbons to 16 mg/L (95% reduction) with P. australis and to 46 mg/L (85% reduction) with T. domingensis (setup T3).
Figure 2.
Removal of hydrocarbons, chemical oxygen demand (COD) and biochemical oxygen demand (BOD) in FTWs. The mean and standard error of three replicates is provided. The superscript letters behind the mean represent statistical comparison (ANOVA) per column. Same letters represent no differences and different letters represent statistical differences at 5% level of significance.
The removal of COD and BOD mirrored the hydrocarbon removal. It was important to analyze those parameters as well to estimate how much the hydrocarbon fraction contributed to the overall contaminant load. The COD was reduced from 1440 mg/L to 1116 mg/L (23% reduction) in the unplanted and uninoculated setup C1, whereas the bacterial inoculation in setup T1 lowered COD to 418 mg/L (71% reduction). In the FTW setup without bioaugmentation (T2), COD was reduced to 163 mg/L (89%) with P. australis, and to 263 mg/L (82%) with T. domingensis. The COD removal efficiency of both plants was further improved when bacteria was inoculated in the system (T3). Bioaugmentation resulted in a reduction of COD to 87 mg/L (94%) in the FTW with P. australis, and to 107 mg/L (93%) in the FTW with T. domingensis (Figure 2). The reduction in BOD, with an initial concentration of 645 mg/L, showed the same pattern.
3.2. Plant Growth in FTWs
Plant growth parameters were determined by harvesting plants at the end of the experiment (Table 1). The oil contamination reduced the plant growth and biomass in terms of root length, shoot length, and fresh and dry biomass for both P. australis and T. domingensis, with the former being more affected.
Table 1.
Effect of bacterial inoculation on mean length of roots and shoots of Phragmites australis and Typha domingensis, and plant biomass per m3 of water.
Compared to the control with tap water (control C2), the final length of roots and shoots were shorter by 40% (34.7/58.3 cm) and 38% (135/218 cm) for P. australis, respectively, and 36% (33.4/52.1 cm) and 30% (124/178 cm) for T. domingensis, respectively, in the FTW setup with oil-contaminated water (T2). Bioaugmentation (T3) lessened the negative effect of the oil-contaminated water on growth of both plants. Root and shoot lengths were shorter by only 23% (45.1/58.3 cm) and 21% (172/218 cm) for P. australis, respectively, and 19% (42.2/52.1) and 16% (150/178) for T. domingensis, respectively. The results of fresh and dry biomass of both types of FTWs matched the pattern recorded for the length of the roots and shoots.
The effective surface area of the roots is thought to have a governing influence on treatment performance. Since the surface area cannot be precisely determined in the wetlands, we computed the ratio of dry root biomass per m3 of water as surrogate to allow for comparison with a bioaugmented full-scale FTW treating water from the same source as in the present study [6]. In the full-scale system, the mean dry root biomass of P. australis and T. domingensis were approximately 127 g m−3 and 117 g m−3, respectively, which are similar to 145 g m−3 and 96 g m−3 calculated for the bioaugmented FTWs in this study.
3.3. Abundance of Inoculated Bacteria, and of the alkB Gene and Transcripts
The inoculated bacteria successfully persisted in the hydrocarbon-contaminated water, the rhizoplane, as well as in the root and shoot interiors as enumerated via CFU counts coupled with RFLP. The total numbers of bacteria in the various plant compartments were in the following order: rhizoplane > water > root interior > shoot interior (Table 2). This result was expected based on knowledge about typical bacterial abundance in the various compartments [4,46].
Table 2.
Total colony forming units (CFU) in the water, rhizoplane (RP), root interior (RI), and shoot interior (SI) of Phragmites australis and Typha domingensis in bioaugmented FTWs.
In the free water zone, the CFU counts decreased over time, but increased in the rhizoplane as well as the root and shoot interior. The composition of the communities present in the compartments on day zero was not determined. However, the temporal dynamics of the total abundance matched the plant-associated isolation origin of the bioaugmented strains [31,40,47]. At the end of the observational period after 36 days, the abundance of each of the four strains was at least 18-fold higher than provided with the inoculum (Table 3). There were small but statistically significant (p < 0.05) differences in the abundance of the strains in the FTW compartments. With both plants, Klebsiella sp. strain LCRI87 and B. subtilis LORI66 colonized the plant interior parts better than Acinetobacter sp. LCRH81 and A. junii TYRH47, while the latter two showed better persistence in the rhizoplane and water than the former. Furthermore, each of the four strains was more abundant in the rhizoplane of P. australis than in T. domingensis. Other compartments were not statistically different between the plant species (p > 0.05).
Table 3.
Total colony forming units (CFU) of the 4 added bacterial strains after 36 days in the water, rhizoplane (RP), root interior (RI), and shoot interior (SI) of Phragmites australis and Typha domingensis in the FTWs. At day zero the water had been inoculated with 0.25 × 106 CFU mL−1 of each strain.
Imaging with transmission electron microscopy of the rhizoplane and the root endosphere of P. australis confirmed the higher abundance of bacteria in samples from the bioaugmented FTWs as compared to the non-bioaugmented FTWs (Figure 3). No high-quality EM images could be obtained with samples from T. domingensis.
Figure 3.
Transmission electron micrographs of bacterial communities associated with Phragmites australis: (A) in the rhizoplane; (B) inside root cells; (C) in intracellular space of the root. B = bacteria; CW = plant cell wall; ICS = intercellular space; N = nucleus.
To provide evidence that the inoculated bacteria were indeed involved in hydrocarbon degradation in situ and in planta, we monitored the abundance and expression of the alkB gene in the water, rhizoplane, and root and shoot interiors for both plants (Table 4). In samples from the free water phase, the copy numbers of gene and transcript decreased over time, concomitant with the decrease in CFU counts. In contrast, the copy numbers increased in the rhizoplane and the root and shoot interiors. At the end of the experiment, the highest abundance and expression of the gene was seen in the root interior, i.e., 1 × 104 and 2 × 103 copies g−1, respectively. The increase in copy numbers of gene and transcript positively correlated (R > 0.7) with hydrocarbon removal, supporting that the bioaugmented bacteria were involved in hydrocarbon degradation.
Table 4.
Abundance and expression of alkB in the water, rhizoplane (RP), root interior (RI), and shoot interior (SI) of Phragmites australis and Typha domingensis in FTWs.
3.4. Fish Toxicity
Fish toxicity analysis showed that the water contaminated with hydrocarbons was very toxic (Table 5). Fish mortality was 100% after 96 h of exposure in the control without FTWs or added bacteria. The water treated with bioaugmentation or vegetation alone reduced fish mortality to 70% and 30%, respectively. In contrast, no fish died in the water treated by the combined use of bioaugmentation and P. australis or T. domingensis.
Table 5.
Fish toxicity assay with initially 10 individuals of Labeo rohita in oil-contaminated wastewater.
4. Discussion
The success of treatment wetlands relies on effective plant-bacteria interactions [47,48]. This includes oil-contaminated wastewater, where hydrocarbons are mineralized by plant-associated microbial communities [46,49,50]. The plants support the microbial activity via the provision of oxygen and root exudates, the so called rhizospheric effect, but are not extensively involved in hydrocarbon degradation themselves. It has been argued that various plant species release different nutrients that recruit and stimulate specific microbial communities to establish a synergistic relationship with the plant [25,47,50]. In exploratory investigation at the laboratory scale, it was shown that the treatment efficiency of FTWs can be improved through bioaugmentation with certain bacteria [34,51]. Here, we quantified the added removal efficiency of bioaugmentation with a four-membered bacterial consortium at pilot-scale for the first time. The approximate volumes of root zone and free water were at a similar ratio to fully established full-scale systems [9].
FTWs with P. australis or T. domingensis but without bioaugmentation achieved already a sizable removal of the hydrocarbon fraction (83%) as well as COD (88.7%) and BOD (84.5%) from the water. The plants were selected based on their comparably high ability to withstand harsh environmental conditions, including the presence of oil constituents at concentration typically found in oil-processing water evaporation pits [36,52]. The survival and growth of plants in the presence of the contaminants is obviously highly important as it affects the efficiency of floating and substratum-based treatment wetland. Here, plant growth parameters were about 40% lower in the oil-contaminated water as compared to the plant grown in tap water, showing that the toxicity level of crude oil contaminated water can be substantial [53,54].
The bacterial strains selected for bioaugmentation were rather suitable for hydrocarbon removal in oil-contaminated water. Bacterial inoculation alone resulted in 65% removal, which at this level is not often reported [34,40]. In particular the two Acinetobacter strains, A. junii TYRH47 and strain LCRH81, could proliferate well in the rhizoplane of P. australis even after 36 days after their inoculation. Members of this genus are frequently isolated or detected via molecular means in soils, water, and wastewater, including habitat contaminated with petroleum [55]. They are heterotrophs capable of growing on a variety of organic compounds such as aliphatic hydrocarbons and phenols. Furthermore, they are rather stress-tolerant, as exemplified by their survival of disinfectant exposure.
When FTWs and bacteria were deployed together, the system’s performance improved remarkably with removal efficiencies for hydrocarbons of 95% and 85% with P. australis or T. domingensis, respectively. The toxicity of the water was reduced significantly, as shown by much better plant growth in the systems as well as survival of fish in the treated water. These observations are in line with previous studies on the positive effect of the combined application of plants and bacterial inoculation on water treatment [4,21,34,51,56,57]. This effect was likely a result of the removal of toxic compounds via specific catabolic activities of the inoculated bacterial strains [29,58,59], and the improvement of plant fitness by the bacteria due to multiple plant growth promoting activities such as production of siderophores, IAA, and ACC deaminase [46]. The four bacterial strains used for bioaugmentation exhibited successful colonization of the rhizoplane and plant tissues (Figure 3). This was likely due to the fact that these bacteria were originally isolated from the plants growing in crude oil-contaminated soil, and already possessed the mechanisms and catabolic genes for growth and proliferation in the presence of hydrocarbons [40]. The increase of alkB gene abundance and expression in plant-associated samples of time strongly suggested that the added bacteria were indeed involved in hydrocarbon degradation (Table 2). Higher bacterial colonization on the roots of P. australis compared to T. domingensis might be due to its larger root surface area and extended network below the water surface that allow successful proliferation of the microbial communities [60,61,62].
5. Conclusions
Treatment of oil-contaminated water in FTW pilot-scale systems planted with P. australis or T. domingensis was substantially improved through bioaugmentation with a four-membered bacterial consortium, consisting of Klebsiella sp. strain LCRI87, B. subtilis LORI66 Acinetobacter sp. LCRH8, and A. junii TYRH47. The bacteria proliferated also in plant tissue. Overall, FTWs planted with P. australis performed better than those with T. domingensi. Although the observational period was relatively short, we think the results are of relevance for full-scale systems. It is reasonable to assume that bioaugmentation of full-scale FTW systems can be highly effective with only small financial demands, rendering this enhanced nature-based solution an attractive treatment option in particular to LMIC.
Supplementary Materials
The following are available online at https://www.mdpi.com/article/10.3390/w13202882/s1, Table S1: Characteristics of the crude oil contaminated water collected from a pit resulting from oil and gas exploitation in Chakwal, Pakistan.
Author Contributions
Conceptualization, M.A. (Muhammad Afzal), M.A. (Muhammad Arslan) and S.I.; formal analysis, K.R.; M.A. (Muhammad Arslan), M.S., A.I., I.A. and T.M.; investigation, K.R., M.S., A.I. and I.A.; writing—original draft preparation, K.R., S.I. and M.A. (Muhammad Afzal); writing—review and editing, J.A.M., M.A. (Muhammad Arslan) and M.A. (Muhammad Afzal); supervision, M.A. (Muhammad Afzal); project administration, M.A. (Muhammad Afzal); funding acquisition, M.A. (Muhammad Afzal) All authors have read and agreed to the published version of the manuscript.
Funding
This study was supported by Higher Education Commission, Pakistan (grant numbers 20-3854/R&D/HEC/14 and HEC-TTSF-77).
Data Availability Statement
Not applicable.
Conflicts of Interest
The authors declare no conflict of interest. The funders had no role in the design of the study; in the collection, analyses, or interpretation of data; in the writing of the manuscript, or in the decision to publish the results.
References
- Droege, P. Urban Energy Transition: From Fossil Fuels to Renewable Power; Elsevier: Amsterdam, The Netherlands, 2011. [Google Scholar]
- Strubinger, A.; Ehrmann, U.; Leon, V.; DeSisto, A.; Gonzalez, M. Changes in Venezuelan Orinoco belt crude after different biotechnological approaches. J. Pet. Sci. Eng. 2015, 127, 421–432. [Google Scholar] [CrossRef]
- Varjani, S.; Joshi, R.; Srivastava, V.K.; Ngo, H.H.; Guo, W. Treatment of wastewater from petroleum industry: Current practices and perspectives. Environ. Sci. Pollut. Res. 2020, 27, 27172–27180. [Google Scholar] [CrossRef]
- Rehman, K.; Imran, A.; Amin, I.; Afzal, M. Enhancement of oil field-produced wastewater remediation by bacterially-augmented floating treatment wetlands. Chemosphere 2019, 217, 576–583. [Google Scholar] [CrossRef] [PubMed]
- Pichtel, J. Oil and gas production wastewater: Soil contamination and pollution prevention. Appl. Environ. Soil Sci. 2016, 2016, 1–24. [Google Scholar] [CrossRef] [Green Version]
- Afzal, M.; Rehman, K.; Shabir, G.; Tahseen, R.; Ijaz, A.; Hashmat, A.J.; Brix, H. Large-scale remediation of oil-contaminated water using floating treatment wetlands. NPJ Clean Water 2019, 2, 3. [Google Scholar] [CrossRef]
- Yu, K.L.; Show, P.L.; Ong, H.C.; Ling, T.C.; Lan, J.C.-W.; Chen, W.-H.; Chang, J.-S. Microalgae from wastewater treatment to biochar–feedstock preparation and conversion technologies. Energy Convers. Manag. 2017, 150, 1–13. [Google Scholar] [CrossRef]
- Afzal, M.; Arslan, M.; Müller, J.A.; Shabir, G.; Islam, E.; Tahseen, R.; Anwar-ul-Haq, M.; Hashmat, A.J.; Iqbal, S.; Khan, Q.M. Floating treatment wetlands as a suitable option for large-scale wastewater treatment. Nat. Sustain. 2019, 2, 863–871. [Google Scholar] [CrossRef]
- Headley, T.; Tanner, C.C. Constructed wetlands with floating emergent macrophytes: An innovative stormwater treatment technology. Crit. Rev. Environ. Sci. Technol. 2012, 42, 2261–2310. [Google Scholar] [CrossRef]
- Chen, Z.; Cuervo, D.P.; Müller, J.A.; Wiessner, A.; Koser, H.; Vymazal, J.; Kästner, M.; Kuschk, P. Hydroponic root mats for wastewater treatment—A review. Environ. Sci. Pollut. Res. Int. 2016, 23, 15911–15928. [Google Scholar] [CrossRef] [PubMed]
- Shahid, M.J.; Arslan, M.; Ali, S.; Siddique, M.; Afzal, M. Floating wetlands: A sustainable tool for wastewater treatment. Clean Soil Air Water 2018, 46, 1800120. [Google Scholar] [CrossRef]
- Colares, G.S.; Dell’Osbel, N.; Wiesel, P.G.; Oliveira, G.A.; Lemos, P.H.Z.; da Silva, F.P.; Lutterbeck, C.A.; Kist, L.T.; Machado, Ê.L. Floating treatment wetlands: A review and bibliometric analysis. Sci. Total Environ. 2020, 714, 136776. [Google Scholar] [CrossRef]
- Ziajahromi, S.; Drapper, D.; Hornbuckle, A.; Rintoul, L.; Leusch, F.D. Microplastic pollution in a stormwater floating treatment wetland: Detection of tyre particles in sediment. Sci. Total Environ. 2020, 713, 136356. [Google Scholar] [CrossRef]
- Al-Baldawi, I.; Abdullah, S.S.; Anuar, N.; Mushrifah, I. Bioaugmentation for the enhancement of hydrocarbon phytoremediation by rhizobacteria consortium in pilot horizontal subsurface flow constructed wetlands. Int. J. Environ. Sci. Technol. 2017, 14, 75–84. [Google Scholar] [CrossRef]
- Beans, C. Core Concept: Phytoremediation advances in the lab but lags in the field. Proc. Natl. Acad. Sci. USA 2017, 114, 7475–7477. [Google Scholar] [CrossRef] [Green Version]
- Abdullah, S.R.S.; Al-Baldawi, I.A.; Almansoory, A.F.; Purwanti, I.F.; Al-Sbani, N.H.; Sharuddin, S.S.N. Plant-assisted remediation of hydrocarbons in water and soil: Application, mechanisms, challenges and opportunities. Chemosphere 2020, 247, 125932. [Google Scholar] [CrossRef]
- Keizer-Vlek, H.E.; Verdonschot, P.F.; Verdonschot, R.C.; Dekkers, D. The contribution of plant uptake to nutrient removal by floating treatment wetlands. Ecol. Eng. 2014, 73, 684–690. [Google Scholar] [CrossRef]
- Lynch, J.; Fox, L.J.; Owen, J.S., Jr.; Sample, D.J. Evaluation of commercial floating treatment wetland technologies for nutrient remediation of stormwater. Ecol. Eng. 2015, 75, 61–69. [Google Scholar] [CrossRef] [Green Version]
- Yeh, N.; Yeh, P.; Chang, Y.-H. Artificial floating islands for environmental improvement. Renew. Sustain. Energy Rev. 2015, 47, 616–622. [Google Scholar] [CrossRef]
- Shahid, M.J.; AL-surhanee, A.A.; Kouadri, F.; Ali, S.; Nawaz, N.; Afzal, M.; Rizwan, M.; Ali, B.; Soliman, M.H. Role of microorganisms in the remediation of wastewater in Floating Treatment Wetlands: A Review. Sustainability 2020, 12, 5559. [Google Scholar] [CrossRef]
- Li, X.; Guo, R. Comparison of nitrogen removal in floating treatment wetlands constructed with Phragmites australis and Acorus calamus in a cold temperate zone. Water Air Soil Pollut. 2017, 228, 132. [Google Scholar] [CrossRef]
- Hussain, Z.; Arslan, M.; Shabir, G.; Malik, M.H.; Mohsin, M.; Iqbal, S.; Afzal, M. Remediation of textile bleaching effluent by bacterial augmented horizontal flow and vertical flow constructed wetlands: A comparison at pilot scale. Sci. Total Environ. 2019, 685, 370–379. [Google Scholar] [CrossRef] [PubMed]
- Guarino, C.; Marziano, M.; Tartaglia, M.; Prigioniero, A.; Postiglione, A.; Scarano, P.; Sciarrillo, R. Poaceae with PGPR bacteria and arbuscular mycorrhizae partnerships as a model system for plant microbiome manipulation for phytoremediation of petroleum hydrocarbons contaminated agricultural soils. Agronomy 2020, 10, 547. [Google Scholar] [CrossRef] [Green Version]
- Compant, S.; Clément, C.; Sessitsch, A. Plant growth-promoting bacteria in the rhizo- and endosphere of plants: Their role, colonization, mechanisms involved and prospects for utilization. Soil Biol. Biochem. 2010, 42, 669–678. [Google Scholar] [CrossRef] [Green Version]
- Matamoros, V.; Nguyen, L.X.; Arias, C.A.; Salvadó, V.; Brix, H. Evaluation of aquatic plants for removing polar microcontaminants: A microcosm experiment. Chemosphere 2012, 88, 1257–1264. [Google Scholar] [CrossRef]
- Sessitsch, A.; Pfaffenbichler, N.; Mitter, B. Microbiome applications from Lab to Field: Facing complexity. Trends Plant Sci. 2019, 24, 194–198. [Google Scholar] [CrossRef]
- Weyens, N.; van der Lelie, D.; Taghavi, S.; Newman, L.; Vangronsveld, J. Exploiting plant-microbe partnerships to improve biomass production and remediation. Trends Biotechnol. 2009, 27, 591–598. [Google Scholar] [CrossRef]
- Khan, S.; Afzal, M.; Iqbal, S.; Khan, Q.M. Plant-bacteria partnerships for the remediation of hydrocarbon contaminated soils. Chemosphere 2013, 90, 1317–1332. [Google Scholar] [CrossRef] [PubMed]
- Arslan, M.; Imran, A.; Khan, Q.M.; Afzal, M. Plant–bacteria partnerships for the remediation of persistent organic pollutants. Environ. Sci. Pollut. Res. 2017, 24, 4322–4336. [Google Scholar] [CrossRef]
- Fatima, K.; Imran, A.; Amin, I.; Khan, Q.M.; Afzal, M. Successful phytoremediation of crude-oil contaminated soil at an oil exploration and production company by plants-bacterial synergism. Int. J. Phytoremediat. 2018, 20, 675–681. [Google Scholar] [CrossRef] [PubMed]
- Sun, L.; Liu, Y.; Jin, H. Nitrogen removal from polluted river by enhanced floating bed grown Canna. Ecol. Eng. 2009, 35, 135–140. [Google Scholar] [CrossRef]
- Ijaz, A.; Shabir, G.; Khan, Q.M.; Afzal, M. Enhanced remediation of sewage effluent by endophyte-assisted floating treatment wetlands. Ecol. Eng. 2015, 84, 58–66. [Google Scholar] [CrossRef]
- Rehman, K.; Imran, A.; Amin, I.; Afzal, M. Inoculation with bacteria in floating treatment wetlands positively modulates the phytoremediation of oil field wastewater. J. Hazard. Mater. 2018, 349, 242–251. [Google Scholar] [CrossRef]
- Saleem, H.; Arslan, M.; Rehman, K.; Tahseen, R.; Afzal, M. Phragmites australis—A helophytic grass—Can establish successful partnership with phenol-degrading bacteria in a floating treatment wetland. Saudi J. Biol. Sci. 2019, 26, 1179–1186. [Google Scholar] [CrossRef] [PubMed]
- Saleem, H.; Rehman, K.; Arslan, M.; Afzal, M. Enhanced degradation of phenol in floating treatment wetlands by plant-bacterial synergism. Int. J. Phytoremediat. 2018, 20, 692–698. [Google Scholar] [CrossRef]
- Ashraf, S.; Afzal, M.; Naveed, M.; Shahid, M.; Ahmad Zahir, Z. Endophytic bacteria enhance remediation of tannery effluent in constructed wetlands vegetated with Leptochloa fusca. Int. J. Phytoremediat. 2018, 20, 121–128. [Google Scholar] [CrossRef] [PubMed]
- Afzal, M.; Yousaf, S.; Reichenauer, T.G.; Sessitsch, A. The inoculation method affetcs colonization and performance of bacterial inoculant strains in the phytoremediation of soil contaminated with diesel oil. Int. J. Phytoremediat. 2012, 14, 35–47. [Google Scholar] [CrossRef] [PubMed]
- Yousaf, S.; Afzal, M.; Reichenauer, T.G.; Brady, C.L.; Sessitsch, A. Hydrocarbon degradation, plant colonization and gene expression of alkane degradation genes by endophytic Enterobacter ludwigii strains. Environ. Pollut. 2011, 159, 2675–2683. [Google Scholar] [CrossRef] [PubMed] [Green Version]
- American Public Health Association. Standard Methods for the Examination of Water and Wastewater, 20th ed.; American Public Health Association: Washington, DC, USA, 2005. [Google Scholar]
- Fatima, K.; Afzal, M.; Imran, A.; Khan, Q. Bacterial rhizosphere and endosphere populations associated with grasses and trees to be used for phytoremediation of crude oil contaminated soil. Bull. Environ. Contam. Toxicol. 2015, 94, 314–320. [Google Scholar] [CrossRef] [PubMed]
- Andria, V.; Reichenauer, T.G.; Sessitsch, A. Expression of alkane monooxygenase (alkB) genes by plant-associated bacteria in the rhizosphere and endosphere of Italian ryegrass (Lolium multiflorum L.) grown in diesel contaminated soil. Environ. Pollut. 2009, 157, 3347–3350. [Google Scholar] [CrossRef]
- Yousaf, S.; Andria, V.; Reichenauer, T.G.; Smalla, K.; Sessitsch, A. Phylogenetic and functional diversity of alkane degrading bacteria associated with Italian ryegrass (Lolium multiflorum) and birdsfoot trefoil (Lotus corniculatus) in a petroleum oil-contaminated environment. J. Hazard. Mater. 2010, 184, 523–532. [Google Scholar] [CrossRef]
- Arslan, M.; Afzal, M.; Amin, I.; Iqbal, S.; Khan, Q.M. Nutrients can enhance the abundance and expression of alkane hydroxylase CYP153 gene in the rhizosphere of ryegrass planted in hydrocarbon-polluted soil. PLoS ONE 2014, 9, e111208. [Google Scholar] [CrossRef] [PubMed]
- Afzal, M.; Yousaf, S.; Reichenauer, T.G.; Kuffner, M.; Sessitsch, A. Soil type affects plant colonization, activity and catabolic gene expression of inoculated bacterial strains during phytoremediation of diesel. J. Hazard. Mater. 2011, 186, 1568–1575. [Google Scholar] [CrossRef]
- Naureen, Z.; Yasmin, S.; Hameed, S.; Malik, K.; Hafeez, F.Y. Characterization and screening of bacteria from rhizosphere of maize grown in Indonesian and Pakistani soils. J. Basic Microbiol. 2005, 45, 447–459. [Google Scholar] [CrossRef]
- Fatima, K.; Imran, A.; Amin, I.; Khan, Q.; Afzal, M. Plant species affect colonization patterns and metabolic activity of associated endophytes during phytoremediation of crude oil-contaminated soil. Environ. Sci. Pollut. Res. 2016, 23, 6188–6196. [Google Scholar] [CrossRef] [PubMed]
- Afzal, M.; Shabir, G.; Hussain, I.; Khalid, Z.M. Paper and board mill effluent treatment with the combined biological-coagulation-filtration pilot scale reactor. Bioresour. Technol. 2008, 99, 7383–7387. [Google Scholar] [CrossRef] [PubMed]
- Stottmeister, U.; Wießner, A.; Kuschk, P.; Kappelmeyer, U.; Kästner, M.; Bederski, O.; Müller, R.; Moormann, H. Effects of plants and microorganisms in constructed wetlands for wastewater treatment. Biotechnol. Adv. 2003, 22, 93–117. [Google Scholar] [CrossRef]
- Faulwetter, J.L.; Gagnon, V.; Sundberg, C.; Chazarenc, F.; Burr, M.D.; Brisson, J.; Camper, A.K.; Stein, O.R. Microbial processes influencing performance of treatment wetlands: A review. Ecol. Eng. 2009, 35, 987–1004. [Google Scholar] [CrossRef]
- Afzal, M.; Khan, Q.M.; Sessitsch, A. Endophytic bacteria: Prospects and applications for the phytoremediation of organic pollutants. Chemosphere 2014, 117, 232–242. [Google Scholar] [CrossRef]
- Iamchaturapatr, J.; Yi, S.W.; Rhee, J.S. Nutrient removals by 21 aquatic plants for vertical free surface-flow (VFS) constructed wetland. Ecol. Eng. 2007, 29, 287–293. [Google Scholar] [CrossRef]
- Fahid, M.; Arslan, M.; Shabir, G.; Younus, S.; Yasmeen, T.; Rizwan, M.; Siddique, K.; Ahmad, S.R.; Tahseen, R.; Iqbal, S.; et al. Phragmites australis in combination with hydrocarbons degrading bacteria is a suitable option for remediation of diesel-contaminated water in floating wetlands. Chemosphere 2020, 240, 124890. [Google Scholar] [CrossRef]
- Shehzadi, M.; Afzal, M.; Islam, E.; Mobin, A.; Anwar, S.; Khan, Q.M. Enhanced degradation of textile effluent in constructed wetland system using Typha domingensis and textile effluent-degrading endophytic bacteria. Water Res. 2014, 58, 152–159. [Google Scholar] [CrossRef]
- Fernández-Luqueño, F.; Valenzuela-Encinas, C.; Marsch, R.; Martínez-Suárez, C.; Vázquez-Núñez, E.; Dendooven, L. Microbial communities to mitigate contamination of PAHs in soil—Possibilities and challenges: A review. Environ. Sci. Pollut. Res. 2011, 18, 12–30. [Google Scholar] [CrossRef]
- Doughari, H.J.; Ndakidemi, P.A.; Human, I.S.; Benade, S. The ecology, biology and pathogenesis of Acinetobacter spp.: An overview. Microbes Environ. 2011, 26, 101–112. [Google Scholar] [CrossRef] [Green Version]
- Stewart, P.S.; Franklin, M.J. Physiological heterogeneity in biofilms. Nat. Rev. Microbiol. 2008, 6, 199–210. [Google Scholar] [CrossRef]
- Ijaz, A.; Iqbal, Z.; Afzal, M. Remediation of sewage and industrial effluent using bacterially assisted floating treatment wetlands vegetated with Typha domingensis. Water Sci. Technol. 2016, 74, 2192–2201. [Google Scholar] [CrossRef] [PubMed] [Green Version]
- Afzal, M.; Khan, S.; Iqbal, S.; Mirza, M.S.; Khan, Q.M. Inoculation method affects colonization and activity of Burkholderia phytofirmans PsJN during phytoremediation of diesel-contaminated soil. Int. Biodeterior. Biodegrad. 2013, 85, 331–336. [Google Scholar] [CrossRef]
- Balseiro-Romero, M.; Gkorezis, P.; Kidd, P.S.; Van Hamme, J.; Weyens, N.; Monterroso, C.; Vangronsveld, J. Characterization and degradation potential of diesel-degrading bacterial strains for application in bioremediation. Int. J. Phytoremediat. 2017, 19, 955–963. [Google Scholar] [CrossRef] [PubMed] [Green Version]
- Stout, L.; Nüsslein, K. Biotechnological potential of aquatic plant–microbe interactions. Curr. Opin. Biotechnol. 2010, 21, 339–345. [Google Scholar] [CrossRef]
- Srivastava, P.; Dwivedi, S.; Kumar, N.; Abbassi, R.; Garaniya, V.; Yadav, A.K. Performance assessment of aeration and radial oxygen loss assisted cathode based integrated constructed wetland-microbial fuel cell systems. Bioresour. Technol. 2017, 244, 1178–1182. [Google Scholar] [CrossRef] [PubMed]
- Calheiros, C.S.C.; Pereira, S.I.A.; Brix, H.; Rangel, A.O.S.S.; Castro, P.M.L. Assessment of culturable bacterial endophytic communities colonizing Canna flaccida inhabiting a wastewater treatment constructed wetland. Ecol. Eng. 2017, 98, 418–426. [Google Scholar] [CrossRef]
Publisher’s Note: MDPI stays neutral with regard to jurisdictional claims in published maps and institutional affiliations. |
© 2021 by the authors. Licensee MDPI, Basel, Switzerland. This article is an open access article distributed under the terms and conditions of the Creative Commons Attribution (CC BY) license (https://creativecommons.org/licenses/by/4.0/).


