Next Article in Journal
A GIS-Based Groundwater Contamination Assessment Using Modified DRASTIC Geospatial Technique
Next Article in Special Issue
Development of Solid Phase Extraction Method Based on Ion Imprinted Polymer for Determination of Cr(III) Ions by ETAAS in Waters
Previous Article in Journal
Characterization of the Transpiration of a Vineyard under Different Irrigation Strategies Using Sap Flow Sensors
 
 
Font Type:
Arial Georgia Verdana
Font Size:
Aa Aa Aa
Line Spacing:
Column Width:
Background:
Article

Ionic Liquid-Multiwalled Carbon Nanotubes Nanocomposite Based All Solid State Ion-Selective Electrode for the Determination of Copper in Water Samples

by
Cecylia Wardak
*,
Karolina Pietrzak
and
Małgorzata Grabarczyk
Department of Analytical Chemistry, Institute of Chemical Sciences, Faculty of Chemistry, Maria Curie-Sklodowska University, Maria Curie-Sklodowska Sq. 3, 20-031 Lublin, Poland
*
Author to whom correspondence should be addressed.
Water 2021, 13(20), 2869; https://doi.org/10.3390/w13202869
Submission received: 30 July 2021 / Revised: 8 October 2021 / Accepted: 12 October 2021 / Published: 14 October 2021

Abstract

:
A new copper sensitive all solid-state ion-selective electrode was prepared using multiwalled carbon nanotubes-ionic liquid (1-butyl-3-methylimidazolium hexafluorophosphate) nanocomposite as an additional membrane component. The effect of nanocomposite content in the membrane on the electrode parameters was investigated. The study compares, among others, detection limits, sensitivity, and the linearity ranges of calibration curves. Content 6 wt.% was considered optimal for obtaining an electrode with a Nernstian response of 29.8 mV/decade. An electrode with an optimal nanocomposite content in the membrane showed a lower limit of detection, a wider linear range and pH range, as well as better selectivity and potential stability compared to the unmodified electrode. It was successfully applied for copper determination in real water samples.

1. Introduction

Copper occurs naturally in metallic form, as well as in ores and minerals, and in the form of complexes and solid particles in various types of water: surface, drinking, ground and sea water [1,2]. Due to its many useful properties, which include: high stability, flexibility and electrical conductivity, both copper and its numerous alloys have many applications in households and industry (in electroplating and photography, microelectronics, or as catalysts) [1]. Copper is an important trace element necessary for the proper functioning of human and animal organisms, however, both the excess and deficiency of this element can cause adverse health effects [1].
Copper is, inter alia, a component of metalloenzymes in which it acts as an electron donor or acceptor in important redox reactions, including collagen cross-linking, melamine production or mitochondrial respiration. Its presence makes it possible to maintain homeostasis and the proper functioning of the body from the development and growth of the fetus. Copper plays an important role in the metabolism of iron and glucose, helps in the proper work of the brain and heart muscle. It takes part in the synthesis of neurotransmitters as well as in antioxidant and immunological processes [1,3,4]. Long-term exposure to overly high concentrations of copper can cause many health problems [5]. A high concentration of copper can lead to redox reactions of the Fenton type, and hence to oxidative damage to biological systems, and cell death [3]. Copper is indirectly associated with the occurrence of neurological disorders, including prion diseases or Alzheimer’s disease [1]. People who consciously or unknowingly ingest increased doses of copper develop a number of symptoms including dizziness and nausea, headache and abdominal pain, diarrhea and vomiting, irritation of the eyes, nose and mouth. In such a situation, liver and kidney failure and, in severe cases, even death can occur [1,5].
The human body contains about 100 mg of copper, while the recommended daily intake of copper is about 2 mg, and a dose of 10–15 mg is considered toxic [2,3]. Copper enters the human body with food and drinking water [1]. Foods that are rich in copper include nuts, grains, legumes, potatoes and some fruits, as well as the liver of mammals, molluscs and crustaceans [1]. Depending on many factors, the copper content of drinking water may range from 0.005 to 30 mg L−1 [2]. The heavy metal content of the aquatic environment has increased in parallel with the rapid industrialization over the past 150 years. The average concentration of copper in uncontaminated river waters is 10 μg L−1 and in polluted waters it can reach 30–60 μg L−1. In recreational reservoirs, concentrations of 1 mg L−1 and lower are used to suppress the growth of harmful algae. Taking into account both the beneficial and toxic effects of copper, its monitoring in the environment is very important. In water samples copper can be easy determined potentiometrically using a copper ion-selective electrode.
Potentiometry is one of the simpler analytical techniques using easy-to-use apparatus, and is also characterized by relatively low costs and speed of measurements [6,7]. Thanks to these advantages, potentiometry is used to determine more than 60 different analytes in many branches of science and industry (chemical and clinical analysis, environmental monitoring, process control, etc.) [7,8]. Potentiometric measurement consists of measuring the electromotive force of a cell working under near-zero current conditions consisting of a working electrode, which is an ion-selective electrode, and a reference electrode [8].
In the last decades, ion-selective electrodes with solid contact have gained great popularity, in which the liquid contact is replaced only by an additional thin layer of a substance characterized by ionic and electronic conductivity, placed between the electrode material and the membrane layer. This was made to improve the stability and reproducibility of the electrode potential, which deteriorated significantly when the ion-selective membrane was applied directly to the surface of the solid electrode, as was the case with coated wire electrodes, first proposed almost 50 years ago. By eliminating the internal solution, the electrodes were designed to be smaller in size, easier to handle and store than their predecessors, and to avoid the risk of solution evaporation or leakage [8]. Ion-selective electrodes with solid contacts are also characterized by an easier structure than their classic predecessors, with greater possibilities of shape modification and lower production costs. Moreover, these types of electrodes often allow for lower detection limits and can work in any position and under unfavorable conditions (e.g., high pressure), in which sensors of other types could be damaged [2,9].
In recent years, many electroactive substances have been used as solid contacts in ion-selective electrodes: conducting polymers (typically polypyrrole doped by chloride ions [10], ladder conjugated polymer-thieno[3,2-b]thiophene [11]), hydrogel [12], redox-active self-assembled monolayers [13], carbon nanomaterials (singlewalled carbon nanotubes (SWCNTs) and graphene [14], multiwalled carbon nanotubes (MWCNT) [15] colloid-imprinted mesoporous carbon [16], three-dimensionally ordered macroporous (3DOM) carbon [17], carbon black [18]), nanoparticles (gold [19] and platinum [20]). To achieve better properties of analytical sensors, scientists have also used combinations of several components used for this purpose (multiwalled carbon nanotubes and bimetallic nanoparticles AuCu [21]) or their modifications (gold nanoparticles functionalised with lipoic acid or lipoic amide [22] or octadecane modified MWCNT [23]).
In this work, a new all solid-state copper ion selective electrode based on multiwalled carbon nanotubes-ionic liquid nanocomposite is described. A nanocomposite was prepared using multiwalled carbon nanotubes and 1-butyl-3-methylimidazolium hexafluorophosphate (BMImPF6). Both components play an important role in the electrode operation and contribute to the improvement of its analytical and electrical parameters. Multiwalled carbon nanotubes act as ion-to-electron transducer facilitating the charge transfer between the membrane and the internal electrode [15,24]. As we have shown in previous works, ionic liquids can be successfully used as an ionic membrane component that reduces resistance and facilitates the transport of the main ion from the water phase to the membrane [25,26]. 1-butyl-3-methylimidazolium hexafluorophosphate (BMImPF6) was successfully used as an extraction solvent for preconcentration of copper [27,28]. Therefore, we have decided to use this ionic liquid in the form of a nanocomposite with MWCNTs to prepare copper all solid-state ion-selective electrodes. The use of a nanocomposite combines the beneficial functions of both components and allows a homogeneous membrane to be obtained.

2. Materials and Methods

2.1. Reagents

N,N,N′,N′-Tetracyclohexyl-2,2′-thiodiacetamide (copper(II) ionophore IV) and 2-nitrophenyl octyl ether (NPOE) were purchased from Fluka. Ionic liquid: 1-butyl-3-methylimidazolium hexafluorophosphate (BMImPF6), multiwalled carbon nanotubes (MWCNTs) with 6–9 nm diameter, 5 µm length and poly(vinyl chloride) low molecular weight (PVC) were obtained from Sigma Aldrich. Copper nitrate (pure pro analysis), other nitrate salts used in the interference study and other reagents were purchased from Fluka. All aqueous solutions were prepared using freshly deionized water.

2.2. Preparation of Nanocomposite

MWCNTs- BMImPF6 nanocomposite was obtained by mixing 100 mg of nanotubes with 500 mg of ionic liquid and thorough homogenization of the mixture in an ultrasonic bath for 1 h.

2.3. Preparation of the Electrode

Electrodes with different nanocomposite contents in the membrane from 0 to 8%, were made. The membranes contained, for electrode 1: 1% ionophore, 33% PVC, 66% NPOE; for electrode 2: 1% ionophore, 33% PVC, 64% NPOE, 2% nanocomposite; for electrode 3: 1% ionophore, 33% PVC, 62% NPOE, 4% nanocomposite; for electrode 4: 1% ionophore, 33% PVC, 60% NPOE, 6% nanocomposite; for electrode 5: 1% ionophore, 33% PVC, 58% NPOE, 8% nanocomposite. Membrane components were weighed in appropriate proportions into a glass vial, 1 mL THF per 0.1 g of the mixture was added and homogenized in an ultrasonic bath for 30 min, and then applied to the surface of the inner electrode. The mixture prepared in this way is visually homogeneous even after 1 month from preparation. In the case of adding nanotubes to the membrane cocktail, but without an ionic liquid, the sediment of the nanotubes is clearly visible at the bottom of the glass vial already 2 weeks after the preparation.
Glassy carbon disks with 3 mm diameters were used as the internal electrode. Before covering them with a membrane mixture, they were thoroughly polished with Al2O3 powder, rinsed with water in an ultrasonic bath and additionally immersed in THF and dried in the air. Next, the membrane was deposited on the electrode surface by drop casting 3 times 30 µL of membrane mixture dispersed in THF and left to dry for 24 h. Th next day, the electrode was immersed in 1 × 10−3 mol L−1 Cu(NO3)2 solution for at least 24 h. The electrode was also stored in such a solution between measurements.
For comparison purposes, a classical electrode with an internal filling solution was prepared and labeled as electrode 1*. The membrane of this electrode had the same composition as in electrode 1 without the nanocomposite (1% ionophore, 33% PVC, 66% NPOE). It was prepared exactly according to the procedure described previously [29]. A piece of the membrane in the shape of a circle with a diameter of 5 mm was mounted in a Philips IS 561 electrode body, which was then filled with an internal solution 1 × 10−3 mol L−1 Cu(NO3)2. Between measurements this electrode was stored in the same solution.

2.4. The Measurement of the Electromotive Force

The EMF measurements were performed in the system copper ion-selective electrode as the indicating electrode and a silver-chloride electrode (Metrohm 6.0750.100) as the reference electrode. All measurements were made at room temperature in mixed solutions using a 16-channel data acquisition system (Lawson Labs. Inc., Malvern, PA, USA) coupled with a computer. An Orion 81–72 glass electrode connected to a multifunction computer meter CX-741 (Zabrze-Mikulczyce, Poland) was used for pH measurements.

2.5. Electrochemical Impedance Spectroscopy Measurements

Electrochemical impedance spectroscopy (EIS) measurements were performed in 1 × 10−2 mol L−1 Cu(NO3)2 solution using an AUTOLAB electrochemical analyzer (Eco Chemie, Netherlands) controlled by NOVA software. For this purpose, a conventional three-electrode system was used, in which the working electrode was the tested ion-selective electrode, the auxiliary electrode was a platinum wire, and the reference electrode was an Ag/AgCl silver chloride electrode (3 mol L−1 KCl). The impedance spectra were recorded in the frequency range 0.1–100 kHz and at open circuit potential using an AC-amplitude of 10 mV.

3. Results and Discussion

Both ionic liquids and MWCNTs exhibited hydrophobic and electrically conductive properties. These features make them good candidates for the modification of polymer ion selective electrode membranes to improve their electrical and mechanical properties. As we have shown in our previous research on cadmium solid contact ISEs [30], IL and MWCNTs show synergistic properties, which means that an electrode with a membrane containing both of these components shows better performance compared to electrodes whose membranes were modified only with an ionic liquid or only with carbon nanotubes. A similar effect was reported in relation to other electrochemical sensors [31].
It is known that imidazolium based ionic liquid, due to presence of cation-π, interacts with the π electronic surface of the MWCNTs [32]. Due to this, MWCNTs are surrounded by an ionic liquid layer which provides both steric and electrostatic stabilization, and a homogenous composite material is formed. Therefore the MWCNTs-IL nanocomposite can be effectively dispersed in the membrane cocktail without the use of additional dispersing agents.

3.1. Potential Response

The effect of membrane modification by the addition of MWCNTs-IL nanocomposite was assessed first by determining the electrode response in Cu(NO3)2 solutions at concentrations ranging from 1 × 10−8 to 1 × 10−2 mol L−1. The obtained calibration curves are shown in Figure 1 where it can be seen that electrodes with unmodified membranes showed a similar response regardless of the kind of contact. The classic electrode 1* was characterized by a slightly higher characteristic slope of 27.5 mV/decade compared to electrode 1 with the same membrane but without internal solution, the slope of which was 26.7 mV/decade. On the other hand, electrode 1 showed a slightly lower detection limit of 4.4 × 10−7 mol L−1 compared to the classic electrode 1* (5.5 × 10−7 mol L−1). This effect is well known for electrodes without an internal solution. The improvement in the detection limit is achieved due to the elimination of transmembrane ion fluxes [33].
The modified electrodes were characterized by a wider measuring range and lower detection limit compared to unmodified electrode 1 and classical electrode 1* with internal solution. A gradual improvement in the electrode response can be seen as the nanocomposite content in the membrane increases. The electrode exhibiting the best response was electrode 4 which contained 6% nanocomposite in the membrane. The calibration curve of this electrode had a linear course over the widest concentration range of 1 × 10−7–1 × 10−2 mol L−1 with a slope of 29.8 mV/decade. This electrode was characterized by the lowest limit of detection 3.3 × 10−8 mol L−1. Electrodes with lower composite content exhibited higher detection limits of 3.7 × 10−7 mol L−1 (electrode 2) and 1.0 × 10−7 mol L−1 (electrode 3). The range of linear response of these electrodes was also shorter compared to electrode 4 and the slope was close to the Nernstian one, at 28.3 mV/decade and 28.8 mV/decade for electrodes 2 and 3, respectively. Electrode 5, with the highest nanocomposite content (8%), tended to have a super Nernstian response at lower concentrations, and the linear range of the calibration curve was shortened. As a result, the detection limit of this electrode deteriorated to 6.6 × 10−6 mol L−1.
Differences in the properties of the electrodes are due to differences in the composition of the membrane. The enrichment of the membrane with nanocomposite lowers its resistance and increases its lipophilic character. As the nanocomposite content in the membrane increases, its extraction capacity increases and the transport of Cu ions from the water phase to the membrane phase is more efficient.
The improvement in the electrode response is clearly revealed in the dynamic response, an example of which for electrodes 1 and 4 is shown in Figure 2. There is an evident difference in the potential stability and range of linearity for the modified electrode.
Taking into account the analytical parameters of the electrodes, such as the linear range of calibration curve, the slope of the characteristic and the limit of detection, electrode 4 was chosen for further studies. In parallel, an unmodified electrode 1 was also tested for comparison.

3.2. Potential Stability and Reversibility

The fully conditioned electrodes were tested to evaluate parameters such as the stability and reversibility of the potential. These parameters are important in terms of the practical application of the electrodes and have a significant influence on the accuracy of determinations and analysis time. Short term potential stability was observed during 3 h measurement in the 0.01 mol L−1 Cu(NO3)2 solution. On the basis of total potential change, the potential drift of studied electrodes was calculated from dependence ΔE/Δt. As expected, after the introduction of the MWCNTs-IL nanocomposite into the membrane phase, the stability of the electrode potential was significantly improved (Figure 3). The potential drift determined for electrode 4 (0.046 mV/min) was much smaller than the potential drift of electrode 1 (0.16 mV/min) without membrane modification.
The improved potential stability also results in a better potential reversibility. This parameter was studied by potential measurements repetitively in Cu(NO3)2 solutions with the concentrations: 1 × 10−5 and 1 × 10−4 mol L−1. Time-dependent potential traces during this experiment for modified electrode 4 and unmodified electrode 1 are shown in Figure 4 where it can be seen that the potential of the modified electrode was fully reversible in contrast to the unmodified one.

3.3. Dependence of Electrode Potential on pH

The influence of the pH on the response of the studied electrode was investigated using 1 × 10−4 mol L−1 Cu(NO3)2 solution over the pH range 2.0–8.0. The pH was adjusted using HNO3 or NaOH solutions as additives and the working pH range was determined as where the potential of the electrode was nearly constant (±2 mV) (Figure 5). Based on this analysis, the working pH range was 5.0–6.0 and 2.5–6.0 for electrode 1 and electrode 4, respectively. In both cases, a gradual decrease in the potential at higher pH values was detected. It can be attributed to the formation of some hydroxy complexes of Cu2+ in solution. The pH ranges of the studied electrodes differ within acidic solutions. In this region, the change in potential is due to the interfering influence of hydrogen ions. In the case of the modified electrode, this effect is significantly reduced due to the presence of an ionic liquid in the membrane. As a result, the potential of the modified electrode does not depend on the pH in the broader range 2.5–6.0.

3.4. Redox Sensitivity

Since the presence of electron conducting nanomaterial in the membrane may induce a redox response in the ion-selective electrode, the redox sensitivity test was performed. Measurements of the electrode potential in samples with different redox potential were performed in solutions containing a pair of redox ions Fe2+ and Fe3+ (FeSO4 and Fe2(SO4)2) in the constant ionic background of 10−3 mol L−1 Cu(NO3)2 (logFe2+/Fe3+ ratio: −1; −0.7; 0; 0.7 and 1) (Figure 6). The potential of the electrodes did not change much despite the change in solutions, so it was found that they are not sensitive to this type of environmental changes.

3.5. Influence of the Presence of Gases

Due to the willingness to use the described electrodes for testing environmental samples, it was considered important to check whether the presence of gases in water samples will affect the effectiveness and quality of copper ions determinations. For this purpose, the electrode potential was measured in a main ion solution of 10−3 mol L−1 previously left at room temperature in order to saturate CO2 and O2 from the air for half an hour. N2 was then passed through the solution to get rid of CO2 and O2, and the electrode potential was measured again for half an hour. The obtained relation is shown in Figure 7. The potential value was almost constant for the modified electrode, therefore it can be concluded that the presence of gases in the sample does not affect the operation of the proposed electrode. In the case of unmodified electrode 1, potential drift was observed both in the presence and absence of CO2 and O2 in the solution. This was probably due to a water layer forming between the inner electrode surface and the membrane, which was confirmed by a water layer test.

3.6. Water Layer Test

In order for ion-selective electrodes to function properly, they should meet a number of requirements. For ion-selective electrodes with solid contact, in addition to the basic parameters, such as a wide range of linearity, low detection limits and very good selectivity of sensors, resistance to changes in external conditions is also very important (e.g., the previously described sensitivity to changes in pH and redox potential of solutions and the presence of gases in samples) and to maintain the appropriate stability and reversibility of the sensors’ potential. It has been confirmed that a thin water layer may form between the solid contact material and the ion selective membrane, the presence of which is undesirable, mainly due to the electrode potential changes it can cause [34]. A water layer test was performed following the procedure described by Pretch et al. [35]. The electrodes were immersed in a solution of Cu(NO3)2 with a concentration of 1×10−2 mol L−1 for 24 h. They were then transferred to a solution containing the salt of the interfering ion (Zn(NO3)2) at the same concentration for about 3 h, and after this time were returned to the main ion solution again. Figure 8 shows the water layer test for electrode 4 with 6% nanocomposite in the membrane and for the unmodified electrode 1. In the potential time-traces recorded for the nanocomposite-based electrode, no essential potential drift was observed after replacing the main ion solution to the interfering ion solution and after the reverse change. In the case of an unmodified electrode, a significant positive potential drift was observed first, followed by a negative one. Such results give us information that the modified electrode was resistant to the formation of a water layer. It was achieved by the presence in the membrane a highly lipophilic MWCNTs-BMImPF6 nanocomposite.

3.7. Selectivity

One of the most important parameters of ion-selective electrodes is their selectivity, the numerical measure of which are the selectivity coefficients. The selectivity coefficient values were determined by the separate solution method (by extrapolating the response functions to ai = aj = 1 mol L−1) [36]. A comparison of selectivity coefficients obtained for nanocomposite-based electrode 4 and unmodified electrode 1 is presented in Figure 9, where it can be seen that the addition of MWCNTs-BMImPF6 nanocomposite to the membrane phase caused a noticeable improvement in the electrode selectivity. The obtained electrode was very selective to copper over all interfering ions (log KpotCu/M ≤ −3) except lead, which was the most interfering ion (logKpotCd/Pb ≤ −2.1). This was not overly surprising because lead is a well-known interferent in the case of copper selective electrodes [37,38]. The improvement of the selectivity of the nanocomposite-based electrode can be explained by the fact that the addition of the nanocomposite increases the ionic strength of the membrane and thus facilitates the selective transport of the main ion to the membrane phase.

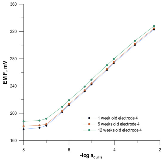
3.8. Life Time and Long Term Potential Stability

The lifetime of the modified electrode was studied by its periodic recalibration in the Cu2+ copper nitrate solutions. The measurements were made 3 times a week during a period of 3 months. No significant change in the performance of the electrode was observed. Figure 10 presents the calibration curves of electrode 4 determined 1, 5 and 12 weeks after preparation. Three-month-old electrodes still worked correctly, showing a slight increase in the detection limit to the value of 5.1 × 10−8 mol L−1 and a small decrease in the slope of the characteristic to the value 28.6 mV/decade. It is worth noting that the modified electrode was characterized by very good long term potential stability. The mean E0 value determined from 36 calibrations performed during the lifetime test was 393.2 ± 6.3 mV. Such a small change in the E0 potential is a valuable feature of the electrode as it allows for its long-term use without the need for frequent recalibration.

3.9. Electrochemical Impedance Spectroscopy

In order to study the effect of membrane modification on the electric properties of electrodes, an impedance study was carried out for fully conditioned electrodes two weeks after preparation. The obtained impedance spectra for modified electrode 4 and unmodified electrode 1 are shown in Figure 11. As it can be seen in this figure, both obtained impedance spectra showed a high-frequency semicircle connected to the bulk resistance (Rb) of the ion-selective membrane and its geometric capacitance (Cg) [39]. However, the diameter of the semicircles, which is a measure of membrane resistance, varies dramatically. The bulk membrane resistance (Rb) determined from high frequency semicircle decreased almost ten times (from 309 to 0.36 kΩ) after modification of the membrane by MWCNTs-IL nanocomposite.
The second section of the impedance spectra determined for low frequencies is connected with the double layer capacitance in parallel with a charge-transfer resistance at the interface between the inner electrode and the ion-selective membrane [40]. The low-frequency branch in the impedance spectrum of the modified electrode was much smaller than that obtained for the unmodified one. The low-frequency capacitance was calculated from the low frequency limit using the following expression Clf = 1/(2πfZ″) [41], where f = 0.1 Hz was 45.7 µF for electrode 4 and 1.29 µF for electrode 1. These results indicate the largest capacitance and faster diffusion processes in electrode 4 containing MWCNTs-IL nanocomposite in the membrane. The reduction in the membrane resistance and the facilitated charge transfer at the interface contribute to the improvement of the analytical parameters of the electrode, especially the improvement of the stability and the reversibility of the potential.

3.10. Analytical Application

The usefulness of the proposed electrode 4 in the analysis of real samples was assessed by measuring the content of copper in certified reference material SPS-WW1 Batch 111 Waste Water. This sample was analyzed without any pretreatment directly in the form in which it had been purchased after two times dilution and addition of 0.1 mol L−1 NaOH to neutralize HNO3 to reach a stable pH of 4.5. The obtained results from five measurements (n = 5) showed that the certified value (400 ± 2 µg L−1) and the value obtained by the proposed electrode (412 ± 14 µg L−1) were in good agreement. Furthermore, the electrode was used for the determination of copper in river water samples. River water was collected from local river, Czerniejówka. Water samples were acidified with HNO3 to reach a stable pH of 4.5. Samples were spiked with Cu(II) ions to obtain final concentrations of 3 × 10−7, 5 × 10−7 and 1 × 10−6 mol L−1, in order to recover measurements. The data obtained for the samples and the corresponding spiked ones are summarized in Table 1. As it can be seen, the results of the determination of copper in all cases correspond to each other well, which confirms the possibility of employing the proposed all solid-state electrode for the monitoring of copper in water samples.

4. Conclusions

As a result of the research, a new all solid-state copper ion-selective electrode was obtained, simple both in design and operation. The electrode obtained as a result of the membrane modification by MWCNTs-IL nanocomposite shows better selectivity than the electrode with an unmodified membrane, with a detection limit an order of magnitude lower, and a wider measuring range. Moreover, its potential is not dependent on pH over a much wider pH range. The addition of a nanocomposite to the ion-sensitive membrane also caused a noticeable reduction in the membrane resistance and an increase in capacity, which results in better potential stability.

Author Contributions

K.P.: conceptualization, methodology, investigation, data curation, writing—original draft preparation; C.W.: conceptualization, writing—review and editing, supervision; M.G.: validation, formal analysis. All authors have read and agreed to the published version of the manuscript.

Funding

This research received no external funding.

Institutional Review Board Statement

Not applicable.

Informed Consent Statement

Not applicable.

Data Availability Statement

Not applicable.

Conflicts of Interest

The authors declare no conflict of interest.

References

  1. Stern, B.R.; Solioz, M.; Krewski, D.; Aggett, P.; Aw, T.-C.; Baker, S.; Crump, K.; Dourson, M.; Haber, L.; Hertzberg, R.; et al. Copper and human health: Biochemistry, genetics, and strategies for modeling dose-response relationships. J. Toxicol. Environ. Health Part B 2007, 10, 157–222. [Google Scholar] [CrossRef]
  2. Wardak, C.; Grabarczyk, M. Analytical application of solid contact ion-selective electrodes for determination of copper and nitrate in various food products and drinking water. J. Environ. Sci. Health Part B 2016, 51, 519–524. [Google Scholar] [CrossRef] [PubMed]
  3. Bost, M.; Houdart, S.; Oberli, M.; Kalonji, E.; Huneau, J.-F.; Margaritis, I. Dietary copper and human health: Current evidence and unresolved issues. J. Trace Elements Med. Biol. 2016, 35, 107–115. [Google Scholar] [CrossRef] [PubMed]
  4. Kaplan, J.H.; Maryon, E.B. How mammalian cells acquire copper: An essential but potentially toxic metal. Biophys. J. 2016, 110, 7–13. [Google Scholar] [CrossRef] [Green Version]
  5. Gupta, V.K.; Ganjali, M.R.; Norouzi, P.; Khani, H.; Nayak, A.; Agarwal, S. Electrochemical analysis of some toxic metals by ion-selective electrodes. Crit. Rev. Anal. Chem. 2011, 41, 282–313. [Google Scholar] [CrossRef]
  6. Huang, M.-R.; Gu, G.-L.; Ding, Y.-B.; Fu, X.-T.; Li, R.-G. Advanced solid-contact ion selective electrode based on electrically conducting polymers. Chin. J. Anal. Chem. 2012, 40, 1454–1460. [Google Scholar] [CrossRef]
  7. Bieg, C.; Fuchsberger, K.; Stelzle, M. Introduction to polymer-based solid-contact ion-selective electrodes—Basic concepts, practical considerations, and current research topics. Anal. Bioanal. Chem. 2017, 409, 45–61. [Google Scholar] [CrossRef] [PubMed]
  8. Hu, J.; Stein, A.; Bühlmann, P. Rational design of all-solid-state ion-selective electrodes and reference electrodes. TrAC Trends Anal. Chem. 2016, 76, 102–114. [Google Scholar] [CrossRef]
  9. Tutulea-Anastasiu, M.D.; Wilson, D.; Del Valle, M.; Schreiner, C.M.; Creţescu, I. A solid-contact ion selective electrode for copper(ii) using a succinimide derivative as ionophore. Sensors 2013, 13, 4367–4377. [Google Scholar] [CrossRef] [Green Version]
  10. Kisiel, A.; Michalska, A.; Maksymiuk, K. Rectifying effect for ion-selective electrodes with conducting polymer solid contact. Synth. Met. 2018, 246, 246–253. [Google Scholar] [CrossRef]
  11. Yu, S.-Y.; Li, Y.-C.; Xiong, T.; Yuan, Q.; Liu, Y.-M.; Yuan, Z.-Y.; Xiao, Y. A ladder conjugated polymer transducer for solid-contact Cu2+-selective electrodes. Chin. Chem. Lett. 2013, 25, 364–366. [Google Scholar] [CrossRef]
  12. Gyurcsányi, R.E. Microfabricated ISEs: Critical comparison of inherently conducting polymer and hydrogel based inner contacts. Talanta 2004, 63, 89–99. [Google Scholar] [CrossRef]
  13. Fibbioli, M.; Enger, O.; Diederich, F.; Pretsch, E.; Bandyopadhyay, K.; Liu, S.-G.; Echegoyen, L.; Bühlmann, P. Redox-active self-assembled monolayers as novel solid contacts for ion-selective electrodes. Chem. Commun. 2000, 339–340. [Google Scholar] [CrossRef]
  14. Liang, R.; Yin, T.; Qin, W. A simple approach for fabricating solid-contact ion-selective electrodes using nanomaterials as transducers. Anal. Chim. Acta 2015, 853, 291–296. [Google Scholar] [CrossRef] [PubMed]
  15. Parra, E.J.; Crespo, G.A.; Riu, J.; Ruiz, A.; Rius, F.X. Ion-selective electrodes using multi-walled carbon nanotubes as ion-to-electron transducers for the detection of perchlorate. Analyst 2009, 134, 1905–1910. [Google Scholar] [CrossRef] [PubMed]
  16. Hu, J.; Zou, X.U.; Stein, A.; Bühlmann, P. Ion-selective electrodes with colloid-imprinted mesoporous carbon as solid contact. Anal. Chem. 2014, 86, 7111–7118. [Google Scholar] [CrossRef]
  17. Lai, C.-Z.; Joyer, M.M.; Fierke, M.A.; Petkovich, N.D.; Stein, A.; Bühlmann, P. Subnanomolar detection limit application of ion-selective electrodes with three-dimensionally ordered macroporous (3DOM) carbon solid contacts. J. Solid State Electrochem. 2009, 13, 123–128. [Google Scholar] [CrossRef] [Green Version]
  18. Paczosa-Bator, B. All-solid-state selective electrodes using carbon black. Talanta 2012, 93, 424–427. [Google Scholar] [CrossRef] [PubMed]
  19. Jaworska, E.; Wójcik, M.; Kisiel, A.; Mieczkowski, J.; Michalska, A. Gold nanoparticles solid contact for ion-selective electrodes of highly stable potential readings. Talanta 2011, 85, 1986–1989. [Google Scholar] [CrossRef]
  20. Paczosa-Bator, B.; Piech, R.; Cabaj, L.; Skupień, K. Platinum nanoparticles intermediate layer in solid-state selective elec-trodes. Analyst 2012, 137, 5272–5277. [Google Scholar] [CrossRef]
  21. Liu, Y.; Liu, Y.; Yan, R.; Gao, Y.; Wang, P. Electrochimica acta bimetallic AuCu nanoparticles coupled with multi-walled carbon nanotubes as ion-to-electron transducers in solid-contact potentiometric sensors. Electrochim. Acta 2020, 331, 135370. [Google Scholar] [CrossRef]
  22. Matzeu, G.; Zuliani, C.; Diamond, D. Electrochimica acta solid-contact ion-selective electrodes (ISEs) based on ligand functionalised gold nanoparticles. Electrochim. Acta 2015, 159, 158–165. [Google Scholar] [CrossRef]
  23. Papp, S.; Kozma, J.; Lindfors, T.; Gyurcsányi, R.E. Lipophilic multi-walled carbon nanotube-based solid contact potassium ion-selective electrodes with reproducible standard potentials. A comparative study. Electroanalysis 2020, 32, 867–873. [Google Scholar] [CrossRef] [Green Version]
  24. Jaworska, E.; Maksymiuk, K.; Michalska, A. Optimizing carbon nanotubes dispersing agents from the point of view of ion-selective membrane based sensors performance—Introducing carboxymethylcellulose as dispersing agent for carbon nanotubes based solid contacts. Electroanalysis 2015, 28, 947–953. [Google Scholar] [CrossRef]
  25. Wardak, C. Ionic liquids as new lipophilic additives to the membrane of lead ion-selective electrodes with solid contact. Int. J. Environ. Anal. Chem. 2009, 89, 735–748. [Google Scholar] [CrossRef]
  26. Wardak, C.; Lenik, J. Application of ionic liquid to the construction of Cu (II) ion-selective electrode with solid contact. Sens. Actuators B Chem. 2013, 189, 52–59. [Google Scholar] [CrossRef]
  27. Huang, H.-L. Extraction of copper species from the nanoporous sorbent with an ionic liquid. J. Mol. Liq. 2017, 230, 24–27. [Google Scholar] [CrossRef]
  28. Arain, S.A.; Kazi, T.G.; Afridi, H.I.; Arain, M.S.; Panhwar, A.H.; Khan, N.; Baig, J.A.; Shah, F. A new dispersive liquid-liquid microextraction using ionic liquid based microemulsion coupled with cloud point extraction for determination of copper in serum and water samples. Ecotoxicol. Environ. Saf. 2016, 126, 186–192. [Google Scholar] [CrossRef] [PubMed]
  29. Wardak, C. A Comparative study of cadmium ion-selective electrodes with solid and liquid inner contact. Electroanalysis 2012, 24, 85–90. [Google Scholar] [CrossRef]
  30. Wardak, C. Solid contact cadmium ion-selective electrode based on ionic liquid and carbon nanotubes. Sens. Actuators B Chem. 2015, 209, 131–137. [Google Scholar] [CrossRef]
  31. Zhao, Y.; Gao, Y.; Zhan, D.; Liu, H.; Zhao, Q.; Kou, Y.; Shao, Y.; Li, M.; Zhuang, Q.; Zhu, Z. Selective detection of dopamine in the presence of ascorbic acid and uric acid by a carbon nanotubes-ionic liquid gel modified electrode. Talanta 2005, 66, 51–57. [Google Scholar] [CrossRef]
  32. Fukushima, T.; Aida, T. Ionic liquids for soft functional materials with carbon nanotubes. Chem. Eur. J. 2007, 13, 5048–5058. [Google Scholar] [CrossRef]
  33. Sutter, J.; Lindner, E.; Gyurcsányi, R.E.; Pretsch, E. A polypyrrole-based solid-contact Pb2+-selective PVC-membrane electrode with a nanomolar detection limit. Anal. Bioanal. Chem. 2004, 380, 7–14. [Google Scholar] [CrossRef] [Green Version]
  34. Lindner, E.; Gyurcsányi, R.E. Quality control criteria for solid-contact, solvent polymeric membrane ion-selective electrodes. J. Solid State Electrochem. 2009, 13, 51–68. [Google Scholar] [CrossRef]
  35. Fibbioli, M.; Morf, W.E.; Badertscher, M.; De Rooij, N.F.; Pretsch, E. Potential drifts of solid-contacted ion-selective electrodes due to zero-current ion fluxes through the sensor membrane. Electroanalysis 2000, 12, 1286–1292. [Google Scholar] [CrossRef]
  36. Bakker, E.; Pretsch, E.; Bühlmann, P. Selectivity of potentiometric ion sensors. Anal. Chem. 2000, 72, 1127–1133. [Google Scholar] [CrossRef] [PubMed]
  37. Szigeti, Z.; Bitter, I.; Tóth, K.; Latkoczy, C.; Fliegel, D.J.; Günther, D.; Pretsch, E. A novel polymeric membrane electrode for the potentiometric analysis of Cu2+ in drinking water. Anal. Chim. Acta 2005, 532, 129–136. [Google Scholar] [CrossRef]
  38. Ghaedi, M.; Montazerozohori, M.; Sahraei, R. Comparison of the influence of nanomaterials on response properties of copper selective electrodes. J. Ind. Eng. Chem. 2013, 19, 1356–1364. [Google Scholar] [CrossRef]
  39. Horvai, G.; Graf, E.; Toth, K.; Pungor, E.; Buck, R.P. Plasticized poly(vinyl chloride) properties and characteristics of valinomycin electrodes. 1. High-frequency resistances and dielectric properties. Anal. Chem. 1986, 58, 2735–2740. [Google Scholar] [CrossRef]
  40. Bobacka, J.; Lewenstam, A.; Ivaska, A. Electrochemical impedance spectroscopy of oxidized poly(3,4-ethylenedioxythiophene) film electrodes in aqueous solutions. J. Electroanal. Chem. 2000, 489, 17–27. [Google Scholar] [CrossRef]
  41. Mousavi, Z.; Teter, A.; Lewenstam, A.; Maj-Zurawska, M.; Ivaska, A.; Bobacka, J. Comparison of multi-walled carbon nanotubes and poly(3-octylthiophene) as ion-to-electron transducers in all-solid-state potassium ion-selective electrodes. Electroanalysis 2011, 23, 1352–1358. [Google Scholar] [CrossRef]
Figure 1. Calibration curves of studied electrodes.
Figure 1. Calibration curves of studied electrodes.
Water 13 02869 g001
Figure 2. Potentiometric dynamic response for tested unmodified electrode 1 and electrode 4.
Figure 2. Potentiometric dynamic response for tested unmodified electrode 1 and electrode 4.
Water 13 02869 g002
Figure 3. Comparison of potential stability of nanocomposite-based electrode 4 and unmodified electrode 1.
Figure 3. Comparison of potential stability of nanocomposite-based electrode 4 and unmodified electrode 1.
Water 13 02869 g003
Figure 4. Potential reversibility determined in 1 × 10−4 and 1 × 10−5 mol L−1 Cu(NO3)2 solution.
Figure 4. Potential reversibility determined in 1 × 10−4 and 1 × 10−5 mol L−1 Cu(NO3)2 solution.
Water 13 02869 g004
Figure 5. Dependence of electrode potential on pH.
Figure 5. Dependence of electrode potential on pH.
Water 13 02869 g005
Figure 6. Redox sensitivity test for electrode 1 and modified electrode 4.
Figure 6. Redox sensitivity test for electrode 1 and modified electrode 4.
Water 13 02869 g006
Figure 7. Influence of the presence of gases on the potential of the electrodes.
Figure 7. Influence of the presence of gases on the potential of the electrodes.
Water 13 02869 g007
Figure 8. Water layer test of electrode 1 and 4 determined in 1 × 10−2 mol L−1 Cu(NO3)2 (a) and 1 × 10−2 mol L−1 Zn(NO3)2 (b).
Figure 8. Water layer test of electrode 1 and 4 determined in 1 × 10−2 mol L−1 Cu(NO3)2 (a) and 1 × 10−2 mol L−1 Zn(NO3)2 (b).
Water 13 02869 g008
Figure 9. Comparison of selectivity coefficients of nanocomposite-based electrode 4 (1st column) and unmodified electrode 1 (2nd column).
Figure 9. Comparison of selectivity coefficients of nanocomposite-based electrode 4 (1st column) and unmodified electrode 1 (2nd column).
Water 13 02869 g009
Figure 10. Change of calibration curve course in time determined for electrode 4.
Figure 10. Change of calibration curve course in time determined for electrode 4.
Water 13 02869 g010
Figure 11. Impedance spectra of electrode 4 based on MWCNTs-BMImPF6 nanocomposite and unmodified electrode 1 determined in 1 × 10−2 mol L−1 Cu(NO3)2 solution. Frequency range 0.1–100 kHz, amplitude 10 mV.
Figure 11. Impedance spectra of electrode 4 based on MWCNTs-BMImPF6 nanocomposite and unmodified electrode 1 determined in 1 × 10−2 mol L−1 Cu(NO3)2 solution. Frequency range 0.1–100 kHz, amplitude 10 mV.
Water 13 02869 g011
Table 1. Results of copper determination in river water samples using proposed copper electrode 4.
Table 1. Results of copper determination in river water samples using proposed copper electrode 4.
SampleAdded Copper, µg L−1Found Copper by ISE, µg L−1 aRecovery, %
River waterunspiked13.6 ± 0.6-
19.233.1 ± 1.1101.5
3244.8 ± 2.797.7
6478.1 ± 3.1100.7
a standard deviations are based on six measurements.
Publisher’s Note: MDPI stays neutral with regard to jurisdictional claims in published maps and institutional affiliations.

Share and Cite

MDPI and ACS Style

Wardak, C.; Pietrzak, K.; Grabarczyk, M. Ionic Liquid-Multiwalled Carbon Nanotubes Nanocomposite Based All Solid State Ion-Selective Electrode for the Determination of Copper in Water Samples. Water 2021, 13, 2869. https://doi.org/10.3390/w13202869

AMA Style

Wardak C, Pietrzak K, Grabarczyk M. Ionic Liquid-Multiwalled Carbon Nanotubes Nanocomposite Based All Solid State Ion-Selective Electrode for the Determination of Copper in Water Samples. Water. 2021; 13(20):2869. https://doi.org/10.3390/w13202869

Chicago/Turabian Style

Wardak, Cecylia, Karolina Pietrzak, and Małgorzata Grabarczyk. 2021. "Ionic Liquid-Multiwalled Carbon Nanotubes Nanocomposite Based All Solid State Ion-Selective Electrode for the Determination of Copper in Water Samples" Water 13, no. 20: 2869. https://doi.org/10.3390/w13202869

APA Style

Wardak, C., Pietrzak, K., & Grabarczyk, M. (2021). Ionic Liquid-Multiwalled Carbon Nanotubes Nanocomposite Based All Solid State Ion-Selective Electrode for the Determination of Copper in Water Samples. Water, 13(20), 2869. https://doi.org/10.3390/w13202869

Note that from the first issue of 2016, this journal uses article numbers instead of page numbers. See further details here.

Article Metrics

Back to TopTop