Susceptibility to Gully Erosion: Applying Random Forest (RF) and Frequency Ratio (FR) Approaches to a Small Catchment in Ethiopia
Abstract
1. Introduction
2. Materials and Methods
2.1. Study Area
2.2. Data Collection and Preparation
2.2.1. Data Organization
- Gully erosion inventory
- Gully erosion predictor factors
2.2.2. Multicollinearity Test
2.2.3. Gully Erosion Susceptibility Map (GESM) and Variable Importance
- Frequency ratio (FR) model
- Random forest (RF) model
2.2.4. Model Validation
3. Results
3.1. Multicollinearity Test
3.2. Gully Characteristics and Spatial Distribution
3.3. Gully Erosion Susceptibility Mapping and Variable Importance
3.3.1. FR Model
3.3.2. RF Model
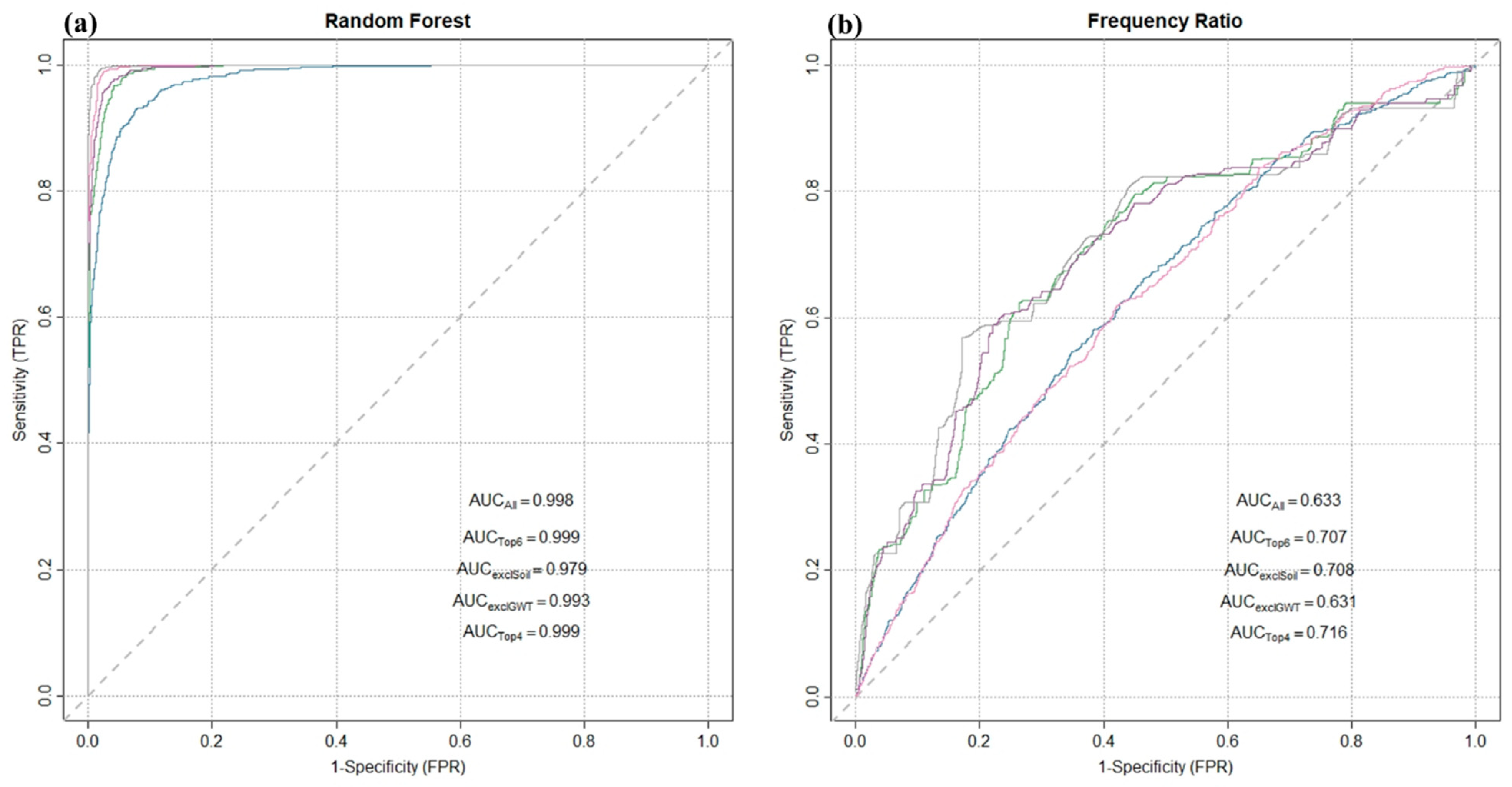
3.4. Model Validation
4. Discussion
4.1. Spatial Distribution of Gullies and Gully-Erosion Predictor Variable Importance
4.2. Gully Susceptibility in Vertisols and Nitisols
4.3. Model Performance and Comparison
5. Conclusions
Supplementary Materials
Author Contributions
Funding
Data Availability Statement
Acknowledgments
Conflicts of Interest
References
- Ryken, N.; Vanmaercke, M.; Wanyama, J.; Isabirye, M.; Vanonckelen, S.; Deckers, J.; Poesen, J. Impact of papyrus wetland encroachment on spatial and temporal variabilities of stream flow and sediment export from wet tropical catchments. Sci. Total Environ. 2015, 511, 756–766. [Google Scholar] [CrossRef] [PubMed]
- Ionita, I.; Niacsu, L.; Petrovici, G.; Blebea-Apostu, A.M. Gully development in eastern Romania: A case study from Falciu Hills. Nat. Hazards 2015, 79, 113–138. [Google Scholar] [CrossRef]
- Tilahun, S.A.; Ayana, E.K.; Guzman, C.D.; Dagnew, D.C.; Zegeye, A.D.; Tebebu, T.Y.; Yitaferu, B.; Steenhuis, T.S. Revisiting storm runoff processes in the upper Blue Nile basin: The Debre Mawi watershed. Catena 2016, 143, 47–56. [Google Scholar] [CrossRef]
- Frankl, A.; Deckers, J.; Moulaert, L.; Van Damme, A.; Haile, M.; Poesen, J.; Nyssen, J. Integrated Solutions for Combating Gully Erosion in Areas Prone to Soil Piping: Innovations from the Drylands of Northern Ethiopia. Land Degrad. Dev. 2016, 27, 1797–1804. [Google Scholar] [CrossRef]
- Casalí, J.; Giménez, R.; Bennett, S. Gully erosion processes: Monitoring and modelling. Earth Surf. Process. Landf. 2009, 34, 1839–1840. [Google Scholar] [CrossRef]
- Poesen, J.; Nachtergaele, J.; Verstraeten, G.; Valentin, C. Gully erosion and environmental change: Importance and research needs. Catena 2003, 50, 91–133. [Google Scholar] [CrossRef]
- Nyssen, J.; Poesen, J.; Veyret-Picot, M.; Moeyersons, J.; Haile, M.; Deckers, J.; Dewit, J.; Naudts, J.; Teka, K.; Govers, G. Assessment of gully erosion rates through interviews and measurements: A case study from northern Ethiopia. Earth Surf. Process. Landf. 2006, 31, 167–185. [Google Scholar] [CrossRef]
- Valentin, C.; Poesen, J.; Li, Y. Gully erosion: Impacts, factors and control. Catena 2005, 63, 132–153. [Google Scholar] [CrossRef]
- Tamene, L.; Vlek, P.L.G. Assessing the potential of changing land use for reducing soil erosion and sediment yield of catchments: A case study in the highlands of northern Ethiopia. Soil Use Manag. 2007, 23, 82–91. [Google Scholar] [CrossRef]
- Girmay, G.; Nyssen, J.; Poesen, J.; Bauer, H.; Merckx, R.; Haile, M.; Deckers, J. Land reclamation using reservoir sediments in Tigray, northern Ethiopia. Soil Use Manag 2012, 28, 113–119. [Google Scholar] [CrossRef]
- Haregeweyn, N.; Poesen, J.; Nyssen, J.; De Wit, J.; Haile, M.; Govers, G.; Deckers, S. Reservoirs in Tigray (Northern Ethiopia): Characteristics and sediment deposition problems. Land Degrad. Dev. 2006, 17, 211–230. [Google Scholar] [CrossRef]
- Nyssen, J.; Poesen, J.; Moeyersons, J.; Haile, M.; Deckers, J. Dynamics of soil erosion rates and controlling factors in the Northern Ethiopian highlands—Towards a sediment budget. Earth Surf. Process. Landf. 2008, 33, 695–711. [Google Scholar] [CrossRef]
- Tebebu, T.Y.; Abiy, A.Z.; Zegeye, A.D.; Dahlke, H.E.; Easton, Z.M.; Tilahun, S.A.; Collick, A.S.; Kidnau, S.; Moges, S.; Dadgari, F.; et al. Surface and subsurface flow effect on permanent gully formation and upland erosion near Lake Tana in the northern highlands of Ethiopia. Hydrol. Earth Syst. Sci. 2010, 14, 2207–2217. [Google Scholar] [CrossRef]
- Nyssen, J.; Poesen, J.; Moeyersons, J.; Deckers, J.; Haile, M.; Lang, A. Human impact on the environment in the Ethiopian and Eritrean highlands—A state of the art. Earth Sci. Rev. 2004, 64, 273–320. [Google Scholar] [CrossRef]
- Monsieurs, E.; Dessie, M.; Adgo, E.; Poesen, J.; Deckers, J.; Verhoest, N.; Nyssen, J. Seasonal Surface Drainage of Sloping Farmland: A Review of Its Hydrogeomorphic Impacts. Land Degrad. Dev. 2015, 26, 35–44. [Google Scholar] [CrossRef]
- Frankl, A.; Poesen, J.; Scholiers, N.; Jacob, M.; Haile, M.; Deckers, J.; Nyssen, J. Factors controlling the morphology and volume (V)-length (L) relations of permanent gullies in the northern Ethiopian Highlands. Earth Surf. Process. Landf. 2013, 38, 1672–1684. [Google Scholar] [CrossRef]
- Zegeye, A.D.; Langendoen, E.J.; Stoof, C.R.; Tilahun, S.A.; Dagnew, D.C.; Zimale, F.A.; Guzman, C.D.; Yitaferu, B.; Steenhuis, T.S. Morphological dynamics of gully systems in the subhumid Ethiopian Highlands: The Debre Mawi watershed. Soil 2016, 2, 443–458. [Google Scholar] [CrossRef]
- Addisie, M.B.; Ayele, G.K.; Gessess, A.A.; Tilahun, S.A.; Zegeye, A.D.; Moges, M.M.; Schmitter, P.; Langendoen, E.J.; Steenhuis, T.S. Gully head retreat in the sub-humid Ethiopian highlands: The Ene-Chilala catchment. Land Degrad Dev. 2017, 28, 1579–1588. [Google Scholar] [CrossRef]
- Nyssen, J.; Poesen, J.; Moeyersons, J.; Luyten, E.; Veyret-Picot, M.; Deckers, J.; Haile, M.; Govers, G. Impact of road building on gully erosion risk: A case study from the Northern Ethiopian Highlands. Earth Surf. Process. Landf. 2002, 27, 1267–1283. [Google Scholar] [CrossRef]
- Frankl, A.; Poesen, J.; Deckers, J.; Haile, M.; Nyssen, J. Gully head retreat rates in the semi-arid highlands of Northern Ethiopia. Geomorphology 2012, 173–174, 185–195. [Google Scholar] [CrossRef]
- Ayele, G.K.; Addisie, M.B.; Langendoen, E.J.; Tegegne, N.H.; Tilahun, S.A.; Moges, M.A.; Nicholson, C.F.; Steenhuis, T.S. Evaluating erosion control practices in an actively gullying watershed in the highlands of Ethiopia. Earth Surf. Process. Landf. 2018, 43, 2835–2843. [Google Scholar] [CrossRef]
- Billi, P.; Dramis, F. Geomorphological investigation on gully erosion in the Rift Valley and the northern highlands of Ethiopia. (Gully erosion and global change). Catena 2003, 50, 353–368. [Google Scholar] [CrossRef]
- Zegeye, A.D.; Langendoen, E.J.; Guzman, C.D.; Dagnew, D.C.; Amare, S.D.; Tilahun, S.A.; Steenhuis, T.S. Gullies, a critical link in landscape soil loss: A case study in the subhumid highlands of Ethiopia. Land Degrad. Dev. 2018, 29, 1222–1232. [Google Scholar] [CrossRef]
- Arabameri, A.; Blaschke, T.; Pradhan, B.; Pourghasemi, H.R.; Tiefenbacher, J.P.; Bui, D.T. Evaluation of Recent Advanced Soft Computing Techniques for Gully Erosion Susceptibility Mapping: A Comparative Study. Sensors 2020, 20, 335. [Google Scholar] [CrossRef]
- Kariminejad, N.; Hosseinalizadeh, M.; Pourghasemi, H.R.; Bernatek-Jakiel, A.; Campetella, G.; Ownegh, M. Evaluation of factors affecting gully headcut location using summary statistics and the maximum entropy model: Golestan Province, NE Iran. Sci. Total Environ. 2019, 677, 281–298. [Google Scholar] [CrossRef] [PubMed]
- Sameen, M.I.; Pradhan, B.; Lee, S. Self-learning random forests model for mapping groundwater yield in data-scarce areas. Nat. Resour. Res. 2019, 28, 757–775. [Google Scholar] [CrossRef]
- Sevgen, E.; Kocaman, S.; Nefeslioglu, H.A.; Gokceoglu, C. A novel performance assessment approach using photogrammetric techniques for landslide susceptibility mapping with logistic regression, ann and random forest. Sensors 2019, 19, 3940. [Google Scholar] [CrossRef]
- Yusri, S.; Retnowati, E.; Prastowo, M.; Idris, F. Combining Participatory Mapping, Cloud Computing and Machine Learning for Mapping Climate Induced Landslide Susceptibility in Lembeh Island, North Sulawesi. In Proceedings of the 7th Low Carbon Asia Research Network Annual Meeting: Challenges for Asia to Meet 1.5C Target, LoCARNet, Jakarta, Indonesia, 21–22 November 2018. [Google Scholar]
- Park, S.; Kim, J. Landslide susceptibility mapping based on random forest and boosted regression tree models, and a comparison of their performance. Appl. Sci. 2019, 9, 942. [Google Scholar] [CrossRef]
- Chen, W.; Li, Y.; Xue, W.; Shahabi, H.; Li, S.; Hong, H.; Wang, X.; Bian, H.; Zhang, S.; Pradhan, B.; et al. Modeling flood susceptibility using data-driven approaches of naïve Bayes tree, alternating decision tree, and random forest methods. Sci. Total Environ. 2020, 701. [Google Scholar] [CrossRef]
- Hosseinalizadeh, M.; Kariminejad, N.; Chen, W.; Pourghasemi, H.R.; Alinejad, M.; Mohammadian Behbahani, A.; Tiefenbacher, J.P. Gully headcut susceptibility modeling using functional trees, naïve Bayes tree, and random forest models. Geoderma 2019, 342, 1–11. [Google Scholar] [CrossRef]
- Zhao, Y.; Cheng, D. Collapsing Gullies Susceptibility Mapping Based on Entropy Information Value in Jiangxi Province of China. In Proceedings of the 39th IEEE International Geoscience and Remote Sensing Symposium, IGARSS, Yokohama, Japan, 28 July–2 August 2019; pp. 3471–3474. [Google Scholar]
- Javidan, N.; Kavian, A.; Pourghasemi, H.R.; Conoscenti, C.; Jafarian, Z. Gully erosion susceptibility mapping using multivariate adaptive regression splines-replications and sample size scenarios. Water 2019, 11, 2319. [Google Scholar] [CrossRef]
- Azareh, A.; Rahmati, O.; Rafiei-Sardooi, E.; Sankey, J.B.; Lee, S.; Shahabi, H.; Ahmad, B.B. Modelling gully-erosion susceptibility in a semi-arid region, Iran: Investigation of applicability of certainty factor and maximum entropy models. Sci. Total Environ. 2019, 655, 684–696. [Google Scholar] [CrossRef] [PubMed]
- Arabameri, A.; Pradhan, B.; Lombardo, L. Comparative assessment using boosted regression trees, binary logistic regression, frequency ratio and numerical risk factor for gully erosion susceptibility modelling. Catena 2019, 183. [Google Scholar] [CrossRef]
- Rahmati, O.; Haghizadeh, A.; Pourghasemi, H.R.; Noormohamadi, F. Gully erosion susceptibility mapping: The role of GIS-based bivariate statistical models and their comparison. Nat. Hazards 2016, 82, 1231–1258. [Google Scholar] [CrossRef]
- Rahmati, O.; Tahmasebipour, N.; Haghizadeh, A.; Pourghasemi, H.R.; Feizizadeh, B. Evaluation of different machine learning models for predicting and mapping the susceptibility of gully erosion. Geomorphology 2017, 298, 118–137. [Google Scholar] [CrossRef]
- Arabameri, A.; Pradhan, B.; Rezaei, K. Gully erosion zonation mapping using integrated geographically weighted regression with certainty factor and random forest models in GIS. J. Environ. Manag. 2019, 232, 928–942. [Google Scholar] [CrossRef]
- Assefa, T.T.; Jha, M.K.; Tilahun, S.A.; Yetbarek, E.; Adem, A.A.; Wale, A. Identification of erosion hotspot area using GIS and MCE technique for koga watershed in the upper Blue Nile Basin, Ethiopia. Am. J. Environ. Sci. 2015, 11, 245–255. [Google Scholar] [CrossRef]
- Mhiret, D.A.; Dagnew, D.C.; Assefa, T.T.; Tilahun, S.A.; Zaitchik, B.F.; Steenhuis, T.S. Erosion hotspot identification in the sub-humid Ethiopian highlands. Ecohydrol. Hydrobiol. 2018. [Google Scholar] [CrossRef]
- Gayen, A.; Pourghasemi, H.R.; Saha, S.; Keesstra, S.; Bai, S. Gully erosion susceptibility assessment and management of hazard-prone areas in India using different machine learning algorithms. Sci. Total Environ. 2019, 668, 124–138. [Google Scholar] [CrossRef]
- Zabihi, M.; Mirchooli, F.; Motevalli, A.; Darvishan, A.K.; Pourghasemi, H.R.; Zakeri, M.A.; Sadighi, F. Spatial modelling of gully erosion in Mazandaran Province, northern Iran. Catena 2018, 161, 1–13. [Google Scholar] [CrossRef]
- Amare, S.; Steenhuis, T.; van der Ploeg, M.; Langendoen, E.; Keesstra, S.; Belete, W.; Carranza, C.; Tilahun, S.; Zee, S.v.d. Hydrological and soil controls on valley bottom gully head erosion in the Ethiopian highland, Minzir catchment. Manuscript under review for publication. 2021. [Google Scholar]
- Williams, F.M. Understanding Ethiopia. In Geology and Scenery; Springer: Cham, Switzerland, 2016. [Google Scholar]
- Jemberu, W.; Baartman, J.E.M.; Fleskens, L.; Ritsema, C.J. Participatory assessment of soil erosion severity and performance of mitigation measures using stakeholder workshops in Koga catchment, Ethiopia. J. Environ. Manag. 2018, 207, 230–242. [Google Scholar] [CrossRef] [PubMed]
- Yeshaneh, E.; Salinas, J.L.; Blöschl, G. Decadal Trends of Soil Loss and Runoff in the Koga Catchment, Northwestern Ethiopia. Land Degrad. Dev. 2017, 28, 1806–1819. [Google Scholar] [CrossRef]
- Mekonnen, M.; Keesstra, S.D.; Baartman, J.E.M.; Stroosnijder, L.; Maroulis, J. Reducing Sediment Connectivity Through man-Made and Natural Sediment Sinks in the Minizr Catchment, Northwest Ethiopia. Land Degrad. Dev. 2017, 28, 708–717. [Google Scholar] [CrossRef]
- Molla, T.; Sisheber, B. Estimating soil erosion risk and evaluating erosion control measures for soil conservation planning at Koga watershed in the highlands of Ethiopia. Solid Earth 2017, 8, 13–25. [Google Scholar] [CrossRef]
- Dagnew, D.C.; Guzman, C.D.; Zegeye, A.D.; Tibebu, T.Y.; Getaneh, M.; Abate, S.; Zemale, F.A.; Ayana, E.K.; Tilahun, S.A.; Steenhuis, T.S. Impact of conservationractices on runoff and soil loss in the sub-humid Ethiopian Highlands: The Debre Mawi watershed. J. Hydrol. Hydromech. 2015, 63, 210–219. [Google Scholar] [CrossRef]
- Oliveira, A.H.; da Silva, M.A.; Silva, M.L.N.; Curi, N.; Neto, G.K.; de Freitas, D.A.F. Development of topographic factor modeling for application in soil erosion models. In SORIANO, MCH Soil Processes and Current Trends in Quality Assessment; InTech: Rijeka, Croatia, 2013; pp. 111–138. [Google Scholar]
- Arnold, J.G.; Kiniry, J.; Srinivasan, R.; Williams, J.; Haney, E.; Neitsch, S. Soil and Water Assessment Tool Input/Output Documentation Version 2012; Texas Water Resources Institute: College Station, TX, USA, 2012; Volume 7. [Google Scholar]
- Watson, D.F.; Philip, G. A refinement of inverse distance weighted interpolation. Geo Process. 1985, 2, 315–327. [Google Scholar]
- Conrad, O.; Bechtel, B.; Bock, M.; Dietrich, H.; Fischer, E.; Gerlitz, L.; Wehberg, J.; Wichmann, V.; Böhner, J. System for automated geoscientific analyses (SAGA) v. 2.1. 4. Geosci. Model. Dev. Discuss. 2015, 8, 2271–2312. [Google Scholar] [CrossRef]
- GISGeography. Raster Resampling for Discrete and Continuous Data. Available online: https://gisgeography.com/raster-resampling/ (accessed on 13 December 2020).
- Joseph, S.; Anitha, K.; Srivastava, V.; Reddy, C.; Thomas, A.; Murthy, M. Rainfall and elevation influence the local-scale distribution of tree community in the southern region of Western Ghats biodiversity hotspot (India). Int. J. For. Res. 2012, 2012. [Google Scholar] [CrossRef]
- Jin, X.; Zhang, Y.; Schaepman, M.E.; Clevers, J.; Su, Z.; Cheng, J.; Jiang, J.; van Genderen, J. Impact of elevation and aspect on the spatial distribution of vegetation in the Qilian mountain area with remote sensing data. In Proceedings of the XXI Congress: Silk Road for Information from Imagery and Remote Sensing (ISPRS 2008), Beijing, China, 3–11 July 2008; The International Society for Photogrammetry: Hannover, Germany; pp. 1385–1390. [Google Scholar]
- Wang, L.; Wei, S.; Horton, R.; Shao, M. Effects of vegetation and slope aspect on water budget in the hill and gully region of the Loess Plateau of China. Catena 2011, 87, 90–100. [Google Scholar] [CrossRef]
- Patton, P.C.; Schumm, S.A. Gully erosion, Northwestern Colorado: A threshold phenomenon. Geology 1975, 3, 88–90. [Google Scholar] [CrossRef]
- Peckham, S.D. Profile, plan and streamline curvature: A simple derivation and applications. Proc. Geomorphometry 2011, 4, 27–30. [Google Scholar]
- Wilson, J.P.; Gallant, J.C. Terrain Analysis: Principles and Applications; John Wiley & Sons: Hoboken, NJ, USA, 2000. [Google Scholar]
- Conforti, M.; Aucelli, P.P.C.; Robustelli, G.; Scarciglia, F. Geomorphology and GIS analysis for mapping gully erosion susceptibility in the Turbolo stream catchment (Northern Calabria, Italy). Nat. Hazards 2011, 56, 881–898. [Google Scholar] [CrossRef]
- Thommeret, N.; Bailly, J.; Puech, C. Robust extraction of Thalwegs networks from DTMs for topological characterisation: A case study on badlands. Proc. Geomorphometry 2009, 31, 218–223. [Google Scholar]
- Shankar, S.; Dharanirajan, K. Drainage morphometry of flood prone rangat watershed, middle Andaman, India—A geospatial approach. Int. J. Innov. Technol. Explor. Eng. 2014, 3, 15–22. [Google Scholar]
- Amatulli, G.; Domisch, S.; Tuanmu, M.-N.; Parmentier, B.; Ranipeta, A.; Malczyk, J.; Jetz, W. A suite of global, cross-scale topographic variables for environmental and biodiversity modeling. Sci. Data 2018, 5, 180040. [Google Scholar] [CrossRef] [PubMed]
- Jenness, J. Topographic Position Index (tpi_jen. avx) Extension for ArcView 3. x, v. 1.3 a; Jenness Enterprises: Flagstaff, AZ, USA, 2006. [Google Scholar]
- Weiss, A. Topographic position and landforms analysis. In Proceedings of the Poster Presentation, ESRI User Conference, San Diego, CA, USA, 9–13 July 2001. [Google Scholar]
- Gayen, A.; Saha, S. Application of weights-of-evidence (WoE) and evidential belief function (EBF) models for the delineation of soil erosion vulnerable zones: A study on Pathro river basin, Jharkhand, India. Modeling Earth Syst. Environ. 2017, 3, 1123–1139. [Google Scholar] [CrossRef]
- Zhang, Q.; Dong, Y.; Lei, T.; Yang, Z.; Zhang, A.; Liu, X. Effects of detachment capacity on soil erodibility to concentrated flow with flume experiments. In Proceedings of the 2017 ASABE Annual International Meeting, Spokane, Washington, DC, USA, 16–19 July 2017. [Google Scholar]
- Brandt, J.; Geeson, N.; Zucca, C. Desertification indicator system for mediterranean europe (DIS4ME). In Proceedings of the AIDCCD-Active Exchange of Experience on Indicators and Development of Perspectives in the Context of UNCCD. Local and Regional Desertification Indicators in a Global Perspective, International Seminar, Beijing, China, 16–18 May 2005; Enne, G., Yeroyanni, M., Eds.; pp. 43–58. [Google Scholar]
- Lowery, B.; Swan, J.; Schumacher, T.; Jones, A. Physical properties of selected soils by erosion class. J. Soil Water Conserv. 1995, 50, 306–311. [Google Scholar]
- Qin, C.-Z.; Zhu, A.-X.; Pei, T.; Li, B.-L.; Scholten, T.; Behrens, T.; Zhou, C.-H. An approach to computing topographic wetness index based on maximum downslope gradient. Precis. Agric. 2011, 12, 32–43. [Google Scholar] [CrossRef]
- Gómez-Gutiérrez, Á.; Conoscenti, C.; Angileri, S.E.; Rotigliano, E.; Schnabel, S. Using topographical attributes to evaluate gully erosion proneness (susceptibility) in two mediterranean basins: Advantages and limitations. Nat. Hazards 2015, 79, 291–314. [Google Scholar] [CrossRef]
- Shit, P.K.; Paira, R.; Bhunia, G.; Maiti, R. Modeling of potential gully erosion hazard using geo-spatial technology at Garbheta block, West Bengal in India. Model. Earth Syst. Environ. 2015, 1, 2. [Google Scholar] [CrossRef]
- Vijith, H.; Dodge-Wan, D. Modelling terrain erosion susceptibility of logged and regenerated forested region in northern Borneo through the Analytical Hierarchy Process (AHP) and GIS techniques. Geoenviron. Disasters 2019, 6, 8. [Google Scholar] [CrossRef]
- Thomas, J.T.; Iverson, N.R.; Burkart, M.R. Bank-collapse processes in a valley-bottom gully, western Iowa. Earth Surf. Process. Landf. 2009, 34, 109–122. [Google Scholar] [CrossRef]
- Marinho, G.V.; de Castro, S.S.; de Campos, A.B. Hydrology and gully processes in the upper Araguaia River basin, Central Brazil. Z. Fur Geomorphol. Suppl. 2006, 145, 119–145. [Google Scholar]
- Amare, S.; Keesstra, S.; van der Ploeg, M.; Langendoen, E.; Steenhuis, T.; Tilahun, S. Causes and controlling factors of Valley bottom Gullies. Land 2019, 8, 141. [Google Scholar] [CrossRef]
- Mamedov, A.; Levy, G.; Shainberg, I.; Letey, J. Wetting rate, sodicity, and soil texture effects on infiltration rate and runoff. Soil Res. 2001, 39, 1293–1305. [Google Scholar] [CrossRef]
- Dunaway, D.; Swanson, S.R.; Wendel, J.; Clary, W. The effect of herbaceous plant communities and soil textures on particle erosion of alluvial streambanks. Geomorphology 1994, 9, 47–56. [Google Scholar] [CrossRef]
- Shahrivar, A.; Christopher, T.B.S. The effects of soil physical characteristics on gully erosion development in Kohgiloyeh & Boyer Ahmad province Iran. Adv. Environ. Biol. 2012, 6, 397–405. [Google Scholar]
- Gutiérrez, Á.G.; Schnabel, S.; Contador, F.L. Gully erosion, land use and topographical thresholds during the last 60 years in a small rangeland catchment in SW Spain. Land Degrad. Dev. 2009, 20, 535–550. [Google Scholar] [CrossRef]
- Gigović, L.; Pourghasemi, H.R.; Drobnjak, S.; Bai, S. Testing a new ensemble model based on SVM and random forest in forest fire susceptibility assessment and its mapping in Serbia’s Tara National Park. Forests 2019, 10, 408. [Google Scholar] [CrossRef]
- Wei, T.; Simko, V. R package “corrplot”: Visualization of a Correlation Matrix (Version 0.84). 2017. Available online: https://github.com/taiyun/corrplot (accessed on 8 December 2020).
- Arabameri, A.; Pradhan, B.; Rezaei, K.; Lee, C.W. Assessment of landslide susceptibility using statistical- and artificial intelligence-based FR-RF integrated model and multiresolution DEMs. Remote Sens. 2019, 11, 999. [Google Scholar] [CrossRef]
- Jenks, G.F.; Caspall, F.C. Error on choroplethic maps: Definition, measurement, reduction. Ann. Assoc. Am. Geogr. 1971, 61, 217–244. [Google Scholar] [CrossRef]
- Kornejady, A.; Pourghasemi, H.R.; Afzali, S.F. Presentation of RFFR new ensemble model for landslide susceptibility assessment in Iran. In Advances in Natural and Technological Hazards Research; Springer: Amsterdam, The Netherlands, 2019; Volume 50, pp. 123–143. [Google Scholar]
- Arabameri, A.; Rezaei, K.; Pourghasemi, H.R.; Lee, S.; Yamani, M. GIS-based gully erosion susceptibility mapping: A comparison among three data-driven models and AHP knowledge-based technique. Environ. Earth Sci. 2018, 77. [Google Scholar] [CrossRef]
- Mohammady, M.; Pourghasemi, H.R.; Amiri, M. Land subsidence susceptibility assessment using random forest machine learning algorithm. Environ. Earth Sci. 2019, 78. [Google Scholar] [CrossRef]
- Lawrence, R.L.; Wood, S.D.; Sheley, R.L. Mapping invasive plants using hyperspectral imagery and Breiman Cutler classifications (RandomForest). Remote Sens Environ. 2006, 100, 356–362. [Google Scholar] [CrossRef]
- Rahmati, O.; Pourghasemi, H.R.; Melesse, A.M. Application of GIS-based data driven random forest and maximum entropy models for groundwater potential mapping: A case study at Mehran Region, Iran. Catena 2016, 137, 360–372. [Google Scholar] [CrossRef]
- Breiman, L. Random forests. Mach. Learn. 2001, 45, 5–32. [Google Scholar] [CrossRef]
- Lai, J.S.; Tsai, F. Improving GIS-based landslide susceptibility assessments with multi-temporal remote sensing and machine learning. Sensors 2019, 19, 3717. [Google Scholar] [CrossRef]
- Fang, P.; Zhang, X.; Wei, P.; Wang, Y.; Zhang, H.; Liu, F.; Zhao, J. The Classification Performance and Mechanism of Machine Learning Algorithms in Winter Wheat Mapping Using Sentinel-2 10 m Resolution Imagery. Appl. Sci. 2020, 10, 5075. [Google Scholar] [CrossRef]
- Liaw, M.A. Package ‘randomForest’; University of California, Berkeley: Berkeley, CA, USA, 2018. [Google Scholar]
- Ghimire, B.; Rogan, J.; Galiano, V.R.; Panday, P.; Neeti, N. An evaluation of bagging, boosting, and random forests for land-cover classification in Cape Cod, Massachusetts, USA. GIScience Remote Sens. 2012, 49, 623–643. [Google Scholar] [CrossRef]
- Han, H.; Guo, X.; Yu, H. Variable selection using mean decrease accuracy and mean decrease gini based on random forest. In Proceedings of the 2016 7th IEEE International Conference on Software Engineering and Service Science (ICSESS), Beijing, China, 26–28 August 2016; pp. 219–224. [Google Scholar]
- Bradley, A.P. The use of the area under the ROC curve in the evaluation of machine learning algorithms. Pattern Recogn. 1997, 30, 1145–1159. [Google Scholar] [CrossRef]
- O’brien, R.M. A caution regarding rules of thumb for variance inflation factors. Qual. Quant. 2007, 41, 673–690. [Google Scholar] [CrossRef]
- Yitbarek, T.W.; Belliethathan, S.; Stringer, L.C. The onsite cost of gully erosion and cost-benefit of gully rehabilitation: A case study in Ethiopia. Land Degrad. Dev. 2012, 23, 157–166. [Google Scholar] [CrossRef]
- Meliho, M.; Khattabi, A.; Mhammdi, N. A GIS-based approach for gully erosion susceptibility modelling using bivariate statistics methods in the Ourika watershed, Morocco. Environ. Earth Sci. 2018, 77. [Google Scholar] [CrossRef]
- Rahmati, O.; Tahmasebipour, N.; Haghizadeh, A.; Pourghasemi, H.R.; Feizizadeh, B. Evaluating the influence of geo-environmental factors on gully erosion in a semi-arid region of Iran: An integrated framework. Sci. Total Environ. 2017, 579, 913–927. [Google Scholar] [CrossRef]
- Akgün, A.; Türk, N. Mapping erosion susceptibility by a multivariate statistical method: A case study from the Ayvalik region, NW Turkey. Comput. Geosci. 2011, 37, 1515–1524. [Google Scholar] [CrossRef]
- Bewket, W. Land cover dynamics since the 1950s in Chemoga watershed, Blue Nile basin, Ethiopia. Mt. Res. Dev. 2002, 22, 263–269. [Google Scholar] [CrossRef]
- Gábris, G.; Kertész, Á.; Zámbó, L. Land use change and gully formation over the last 200 years in a hilly catchment. Catena 2003, 50, 151–164. [Google Scholar] [CrossRef]
- Jha, P.; Mohapatra, K.P.; Dubey, S.K. Impact of land use on physico-chemical and hydrological properties of ustifluvent soils in riparian zone of river Yamuna, India. Agrofor. Syst. 2010, 80, 437–445. [Google Scholar] [CrossRef]
- Liu, X.B.; Zhang, X.Y.; Wang, Y.X.; Sui, Y.Y.; Zhang, S.L.; Herbert, S.J.; Ding, G. Soil degradation: A problem threatening the sustainable development of agriculture in Northeast China. PlantSoil Environ. 2010, 56, 87–97. [Google Scholar] [CrossRef]
- Spaargaren, O. Major soils of the world. In Proceedings of the International Soil Conference and Information Centre, Wageningen, The Netherlands, 12 March–6 April 2001; pp. 2–46. [Google Scholar]
- Nyssen, J.; Moeyersons, J.; Deckers, J.; Haile, M.; Poesen, J. Vertic movements and the development of stone covers and gullies, Tigray Highlands, Ethiopia. Z. Fur Geomorphol. 2000, 44, 145–164. [Google Scholar]
- Wang, Y.; Sun, D.; Wen, H.; Zhang, H.; Zhang, F. Comparison of Random Forest Model and Frequency Ratio Model for Landslide Susceptibility Mapping (LSM) in Yunyang County (Chongqing, China). Int. J. Environ. Res. Public Health 2020, 17, 4206. [Google Scholar] [CrossRef] [PubMed]







| Data Used | Description | Resolution | Source |
|---|---|---|---|
| Digital elevation model (DEM) | DEM to delineate the catchment boundary and river networks and characterize the landscape. Topography plays an important role in runoff processes and helps us to understand the physical processes of disaggregation, transport, and soil deposition [50] | 12.5 m | Advanced Land Observing Satellite (ALOS) |
| Land use/cover | Land use/cover and soil digital layer are used to quantify the hydrological processes and soil erosion in a catchment [51] | 12.5 m | Song et al. [52] |
| Soil data | This data set includes soil type and texture data for the Minzir study catchment. | 1:50,000 | Amhara Design and Supervision Works Enterprise, Ethiopia |
| Groundwater level | In this study, we used groundwater table (GWT) readings from 50 piezometers, reported for 2018. GWT was measured from the soil surface to the location of the GWT. GWT surface was generated using inverse distance weighting (IDW) interpolation of the observations using ArcGIS [52]. | 50 piezometers distributed across the catchment | [43] |
| Variable | Description | Classes/Class Range |
|---|---|---|
| Elevation | Determines vegetation distribution and rainfall patterns [55,56], which indirectly affect gully distribution [24]. | 2030–2265 |
| Slope | Determines both the kinetic energy and the volume of surface runoff [8], which, in turn, affects drainage density, discharge, and soil erosion [24]. | 0–34 |
| Aspect | Variation in aspect influences the distribution of vegetation by influencing the rate of recharge, soil moisture content, and evaporation that, in turn, control gully development [57,58]. | Flat, North, Northeast, East, Southeast, South, Southwest, West, Northwest, and North |
| Plan curvature | Plan curvature, also known as contour curvature [59], is defined as “the rate of change of aspect along a contour” [60]. Plan curvature can have positive, negative, and zero values representing convexity, concavity, and flatness, respectively [61]. Flow diverges on a convex slope and converges on a concave slope. | Concave, flat, and convex |
| Profile curvature | Profile curvature is defined as “the rate of change of slope down a flow line” [60], and its values can be positive, negative, and zero. Profile curvature with positive values is concaved upward, with slopes decreasing downhill and flows being accelerated. Profile curvature with negative values is upwardly convexed, with slopes increasing downhill and flows being decelerated. Zero values are flat surfaces. | −2.69–2.01 |
| Convergence index (CI) | CI estimates the divergence (when CI is negative) and convergence (positive) of flow in a given area; it is calculated on the basis of aspect information [62]. | −100–99.2 |
| Topographic ruggedness index (TRI) | TRI is a measure of topographic heterogeneity and is calculated on the basis of relief and drainage [63]. The TRI value for flat areas is zero, while the value for mountain areas with steep ridges is positive [64]. | 0.35–19.6 |
| Topography position index (TPI) | TPI is derived from DEM by comparing a given cell elevation to the average of its surroundings [65]. The TPI value can be positive (when the elevation of a location greater than the average of its neighborhood), negative (when less than the surrounding areas), and zero (for flat or constant slope) [66]. | −7.90–22.8 |
| Slope length (LS) | LS is defined as the distance between the start of overland flow to a point where the slope gradient decreases sufficiently to cause depositions [67]. LS influences soil erodibility and critical shear stress [68]. | 0–772 |
| Drainage density (DD) | Drainage density is a measure of stream length per unit of catchment area [69] and is used as a predictor of gully erosion in many studies. The soil drainage characteristics affect soil water retention capacity, which, in turn, determines the rate of soil erosion [70]. | 0–2.2 |
| Topographic wetness index (TWI) | TWI quantifies the effect of local topography over the hydrological process and assesses the spatial distribution of soil moisture and surface saturation [71]. In areas where saturation excess runoff is the dominant process of gullies, TWI predicts saturated areas susceptible to gullies [72]. | 2.89–17.6 |
| Stream power index (SPI) | SPI estimates the erosive power of surface runoff as a result of the relationship between discharge and catchment area [73]. Similarly, it predicts the potential of streams to modify the geomorphology of a catchment by gully erosion [74]. | 0–5965 |
| Groundwater table depth (GWT) | Research conducted in humid and subhumid regions has shown that elevated groundwater is one of the most important causes of gully erosion [18,75,76]. Nevertheless, we do not see this important factor incorporated in any of the gully erosion prediction models so far. | 0.01–4.05 (m) |
| Soil type | Although gullies can evolve on any soil type, the soil type determines the size and shape of the gullies [77]. Therefore, integrating soil type into gully modeling increases prediction accuracy. | Alisols, Cambisols, Ferralsols, Fluvisols, Leptosols, Luvisols, Nitisols, Regosols, and Vertisols. |
| Soil texture | Soil texture determines the rate of infiltration [78] and erosion resistance, which determines the volume of gully erosion [79,80] | Clay, clay loam, loam, sandy clay, sandy clay loam, silty clay, and silty clay loam. |
| Land cover | Land cover and gullies are closely linked [81] as land cover is one of the factors that set the threshold for gully initiation [81] | cultivated land, bushland, plantation forest, village, waterbody, woodland, and grassland |
| Gully Predictor Variables | Collinearity Statistics | |
|---|---|---|
| Tolerance (TOL) | Variance Inflation Factors (VIF) | |
| Land cover | 0.88 | 1.13 |
| Plan curvature | 0.49 | 2.04 |
| Profile curvature | 0.56 | 1.79 |
| Texture | 0.79 | 1.27 |
| Aspect | 0.96 | 1.04 |
| Convergence index | 0.68 | 1.46 |
| Drainage density | 0.78 | 1.28 |
| Groundwater | 0.81 | 1.23 |
| Elevation | 0.36 | 2.75 |
| Slope length | 0.59 | 1.68 |
| Stream power index | 0.77 | 1.29 |
| Topographic position index | 0.65 | 1.54 |
| Terrain ruggedness index | 0.13 | 7.8 |
| Topographic wetness index | 0.42 | 2.39 |
| Slope | 0.13 | 7.4 |
| Soil type | 0.5 | 1.99 |
| Parameter | Minimum | Maximum | Average | Median |
|---|---|---|---|---|
| Width (m) | 2.06 | 15 | 6.08 | 5.13 |
| Depth (m) | 0.47 | 8.18 | 1.65 | 1.44 |
| Length (m) | 22.8 | 1463 | 227 | 134 |
| Area (ha) | 0.004 | 5.16 | 0.3 | 0.08 |
| Factors | Class | Pixels in Domain | % of Pixels in Domain | Training Gully Pixels in Domain | % of Gully Training Pixels in Domain | FR | NFR |
|---|---|---|---|---|---|---|---|
| CI | −100–−42.75 | 12,282 | 10.8 | 320 | 14.5 | 1.34 | 1 |
| −42.7–−10.6 | 22,765 | 19.9 | 509 | 23 | 1.15 | 0.65 | |
| −10.6–9 | 44,119 | 38.7 | 805 | 36.4 | 0.94 | 0.27 | |
| 9–39.6 | 22,656 | 19.8 | 391 | 17.7 | 0.89 | 0.18 | |
| 39.6–99.2 | 12,274 | 10.7 | 188 | 8.49 | 0.79 | 0 | |
| Elevation | 2030–2070 | 42,552 | 37.3 | 836 | 37.8 | 1.01 | 0.66 |
| 2070–2104 | 33,214 | 29.1 | 984 | 44.5 | 1.53 | 1 | |
| 2104–2141 | 18,891 | 16.6 | 360 | 16.3 | 0.98 | 0.64 | |
| 2141–2186 | 14,494 | 12.7 | 33 | 1.49 | 0.12 | 0.08 | |
| 2186–2265 | 4945 | 4.33 | 0 | 0 | 0 | 0 | |
| Plan curvature | Concave | 31,069 | 27.2 | 502 | 22.7 | 0.83 | 0 |
| Flat | 52,826 | 46.3 | 1076 | 48.6 | 1.05 | 0.86 | |
| Convex | 30,201 | 26.5 | 635 | 28.7 | 1.08 | 1 | |
| Profile curvature | −2.69–−0.75 | 4566 | 4 | 72 | 3.25 | 0.81 | 0 |
| −0.75–−0.31 | 27,155 | 23.8 | 446 | 20.1 | 0.85 | 0.07 | |
| −0.31–0.30 | 50,120 | 43.9 | 1017 | 45.9 | 1.05 | 0.50 | |
| 0.30–0.75 | 27,292 | 23.9 | 555 | 25.1 | 1.05 | 0.50 | |
| 0.75–2.01 | 4963 | 4.35 | 123 | 5.56 | 1.28 | 1 | |
| LS (m) | 0–25 | 79,752 | 69.9 | 1463 | 66.1 | 0.94 | 0 |
| 25–78 | 23,282 | 20.4 | 468 | 21.1 | 1.04 | 0.12 | |
| 78–163 | 7754 | 6.79 | 207 | 9.35 | 1.38 | 0.59 | |
| 163–315 | 2601 | 2.28 | 52 | 2.35 | 1.03 | 0.12 | |
| 315–772 | 707 | 0.62 | 23 | 1.04 | 1.68 | 1 | |
| TPI | −7.90 to −1.61 | 14,649 | 12.8 | 618 | 27.9 | 2.17 | 1 |
| −1.61 to −0.17 | 37,952 | 33.3 | 838 | 37.9 | 1.14 | 0.47 | |
| −0.17–1.19 | 40,363 | 35.4 | 575 | 30 | 0.73 | 0.27 | |
| 1.19–3.67 | 19,316 | 16.9 | 175 | 7.91 | 0.47 | 0.13 | |
| 3.67–22.8 | 1816 | 1.59 | 7 | 0.32 | 0.2 | 0 | |
| SPI | 0–128 | 110,406 | 96.8 | 1999 | 90.3 | 0.93 | 0 |
| 128–507 | 2643 | 2.32 | 106 | 4.79 | 2.07 | 0.24 | |
| 507–1170 | 743 | 0.65 | 80 | 3.61 | 5.55 | 1 | |
| 1170–2365 | 238 | 0.21 | 21 | 0.95 | 4.55 | 0.78 | |
| 2365–5965 | 66 | 0.06 | 7 | 0.32 | 5.47 | 0.98 | |
| TWI | 2.89–5.86 | 42,422 | 37.2 | 665 | 30 | 0.81 | 0 |
| 5.86–7.15 | 35,986 | 31.5 | 612 | 27.7 | 0.88 | 0.03 | |
| 7.15–8.67 | 19,052 | 16.7 | 385 | 17.4 | 1.04 | 0.12 | |
| 8.67–10.7 | 12,163 | 10.7 | 314 | 14.2 | 1.33 | 0.27 | |
| 10.7–17.6 | 4473 | 3.92 | 237 | 10.7 | 2.73 | 1 | |
| DD (km km−2) | 0–0.2 | 45,742 | 40.1 | 300 | 13.5 | 0.34 | 0 |
| 0.2–0.5 | 30,765 | 26.9 | 998 | 45.1 | 1.67 | 1 | |
| 0.5–0.9 | 21,601 | 18.9 | 619 | 28 | 1.48 | 0.85 | |
| 0.9–1.4 | 12,484 | 10.9 | 231 | 10.4 | 0.95 | 0.46 | |
| 1.4–2.2 | 3504 | 3.07 | 65 | 2.94 | 0.96 | 0.46 | |
| land cover | Cultivated land | 94,296 | 82.6 | 1243 | 56.2 | 0.68 | 0.21 |
| Bushland | 951 | 0.83 | 11 | 0.5 | 0.6 | 0.18 | |
| Plantation forest | 2173 | 1.90 | 0 | 0 | 0 | 0 | |
| Village | 431 | 0.38 | 0 | 0 | 0 | 0 | |
| Waterbody | 62 | 0.05 | 0 | 0 | 0 | 0 | |
| Woodland | 1153 | 1.01 | 21 | 0.95 | 0.94 | 0.29 | |
| Grassland | 15,030 | 13.2 | 938 | 42.4 | 3.22 | 1 | |
| Soil type | Alisols | 8800 | 7.71 | 102 | 4.61 | 0.6 | 0.17 |
| Cambisols | 2743 | 2.40 | 163 | 7.36 | 3.06 | 0.89 | |
| Ferralsols | 4262 | 3.73 | 0 | 0 | 0 | 0 | |
| Fluvisols | 1782 | 1.56 | 119 | 5.38 | 3.44 | 1 | |
| Leptosols | 11,390 | 9.98 | 46 | 2.08 | 0.21 | 0.06 | |
| Luvisols | 16,893 | 14.8 | 168 | 7.59 | 0.51 | 0.15 | |
| Nitosols | 33,675 | 29.5 | 615 | 27.8 | 0.94 | 0.27 | |
| Regosols | 1284 | 1.12 | 0 | 0 | 0 | 0 | |
| Vertisols | 33,267 | 29.1 | 1000 | 45.2 | 1.55 | 0.45 | |
| Texture | Clay | 95,486 | 83.7 | 2149 | 97.1 | 1.16 | 0.47 |
| Clay loam | 6676 | 5.85 | 44 | 1.99 | 0.34 | 0.14 | |
| Loam | 3503 | 3.07 | 0 | 0 | 0 | 0 | |
| Sandy clay | 373 | 0.33 | 18 | 0.81 | 2.49 | 1 | |
| Sandy clay loam | 3960 | 3.47 | 0 | 0 | 0 | 0 | |
| Silty clay | 1423 | 1.25 | 2 | 0.09 | 0.07 | 0.03 | |
| Silty clay loam | 2675 | 2.34 | 0 | 0 | 0 | 0 | |
| GWT (m) | 0–1.03 | 2514 | 2.20 | 2 | 0.09 | 0.04 | 0 |
| 1.03–1.51 | 8718 | 7.64 | 227 | 10.2 | 1.34 | 1 | |
| 1.51–1.95 | 38,198 | 33.5 | 994 | 44.9 | 1.34 | 0.99 | |
| 1.95–2.42 | 36,005 | 31.5 | 622 | 28.1 | 0.89 | 0.65 | |
| 2.42–4.05 | 28,661 | 25.1 | 368 | 16.6 | 0.66 | 0.48 | |
| Aspect | Flat | 4915 | 4.31 | 85 | 3.84 | 0.89 | 0.43 |
| North | 12,441 | 10.9 | 85 | 3.84 | 0.35 | 0.04 | |
| Northeast | 7781 | 6.82 | 44 | 1.99 | 0.29 | 0 | |
| East | 4312 | 3.78 | 34 | 1.54 | 0.41 | 0.08 | |
| Southeast | 8028 | 7.04 | 151 | 6.82 | 0.97 | 0.48 | |
| South | 13,624 | 11.9 | 448 | 20.2 | 1.694 | 1 | |
| Southwest | 23,504 | 20.6 | 675 | 30.5 | 1.484 | 0.85 | |
| West | 20,385 | 17.9 | 410 | 18.5 | 1.04 | 0.53 | |
| Northwest | 19,106 | 16.7 | 281 | 12.7 | 0.76 | 0.33 |
Publisher’s Note: MDPI stays neutral with regard to jurisdictional claims in published maps and institutional affiliations. |
© 2021 by the authors. Licensee MDPI, Basel, Switzerland. This article is an open access article distributed under the terms and conditions of the Creative Commons Attribution (CC BY) license (http://creativecommons.org/licenses/by/4.0/).
Share and Cite
Amare, S.; Langendoen, E.; Keesstra, S.; Ploeg, M.v.d.; Gelagay, H.; Lemma, H.; Zee, S.E.A.T.M.v.d. Susceptibility to Gully Erosion: Applying Random Forest (RF) and Frequency Ratio (FR) Approaches to a Small Catchment in Ethiopia. Water 2021, 13, 216. https://doi.org/10.3390/w13020216
Amare S, Langendoen E, Keesstra S, Ploeg Mvd, Gelagay H, Lemma H, Zee SEATMvd. Susceptibility to Gully Erosion: Applying Random Forest (RF) and Frequency Ratio (FR) Approaches to a Small Catchment in Ethiopia. Water. 2021; 13(2):216. https://doi.org/10.3390/w13020216
Chicago/Turabian StyleAmare, Selamawit, Eddy Langendoen, Saskia Keesstra, Martine van der Ploeg, Habtamu Gelagay, Hanibal Lemma, and Sjoerd E. A. T. M. van der Zee. 2021. "Susceptibility to Gully Erosion: Applying Random Forest (RF) and Frequency Ratio (FR) Approaches to a Small Catchment in Ethiopia" Water 13, no. 2: 216. https://doi.org/10.3390/w13020216
APA StyleAmare, S., Langendoen, E., Keesstra, S., Ploeg, M. v. d., Gelagay, H., Lemma, H., & Zee, S. E. A. T. M. v. d. (2021). Susceptibility to Gully Erosion: Applying Random Forest (RF) and Frequency Ratio (FR) Approaches to a Small Catchment in Ethiopia. Water, 13(2), 216. https://doi.org/10.3390/w13020216

