A Theoretical Study of the Hydrodynamic Performance of an Asymmetric Fixed-Detached OWC Device
Abstract
:1. Introduction
2. Boundary Value Problem
- The rear wall by .
- The front wall by where .
- The internal free surface inside the chamber by .
- The external free surface by .
- The bottom by .
3. Solution Method
3.1. Matched Eigenfunction Expansion Method
3.1.1. Definition of Velocity Potentials
3.1.2. Matching of Regions
3.1.3. Fixed-Detached OWC Device near a Reflecting Wall
3.2. Boundary Element Method
3.2.1. Boundary Integral Equation
3.2.2. Matching of subdomains
4. Efficiency Relations
5. Convergence and Truncation Analyses
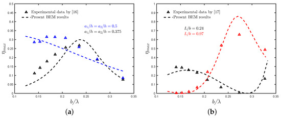
6. Comparison with Experimental Results
7. Results and Discussion
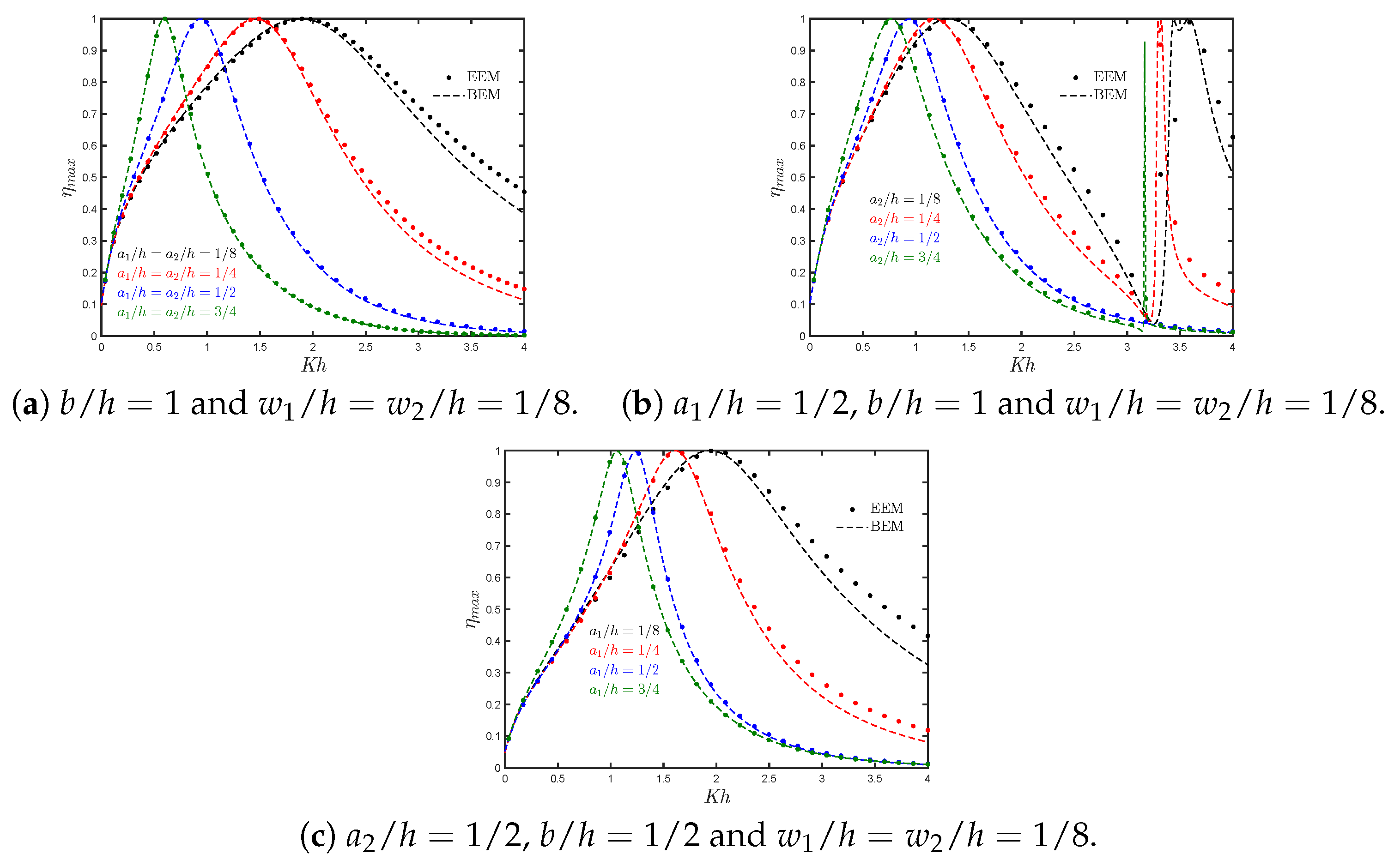
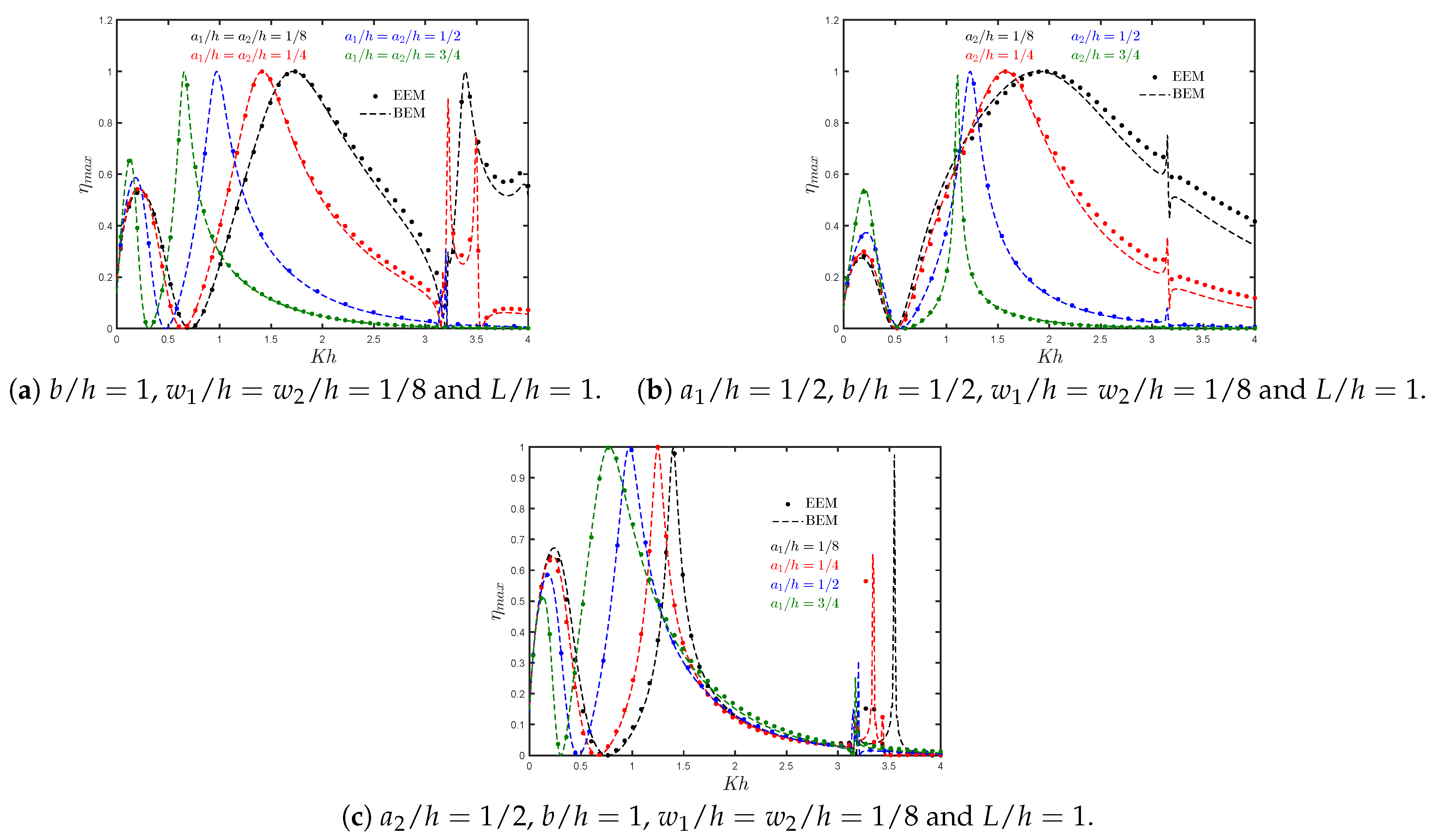
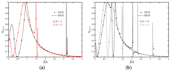
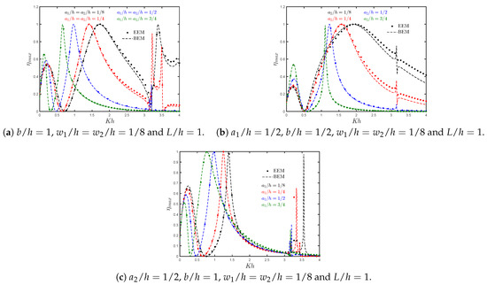
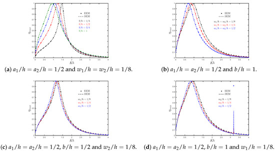
7.1. Asymmetric Fixed-Detached OWC Device over a Flat Bottom
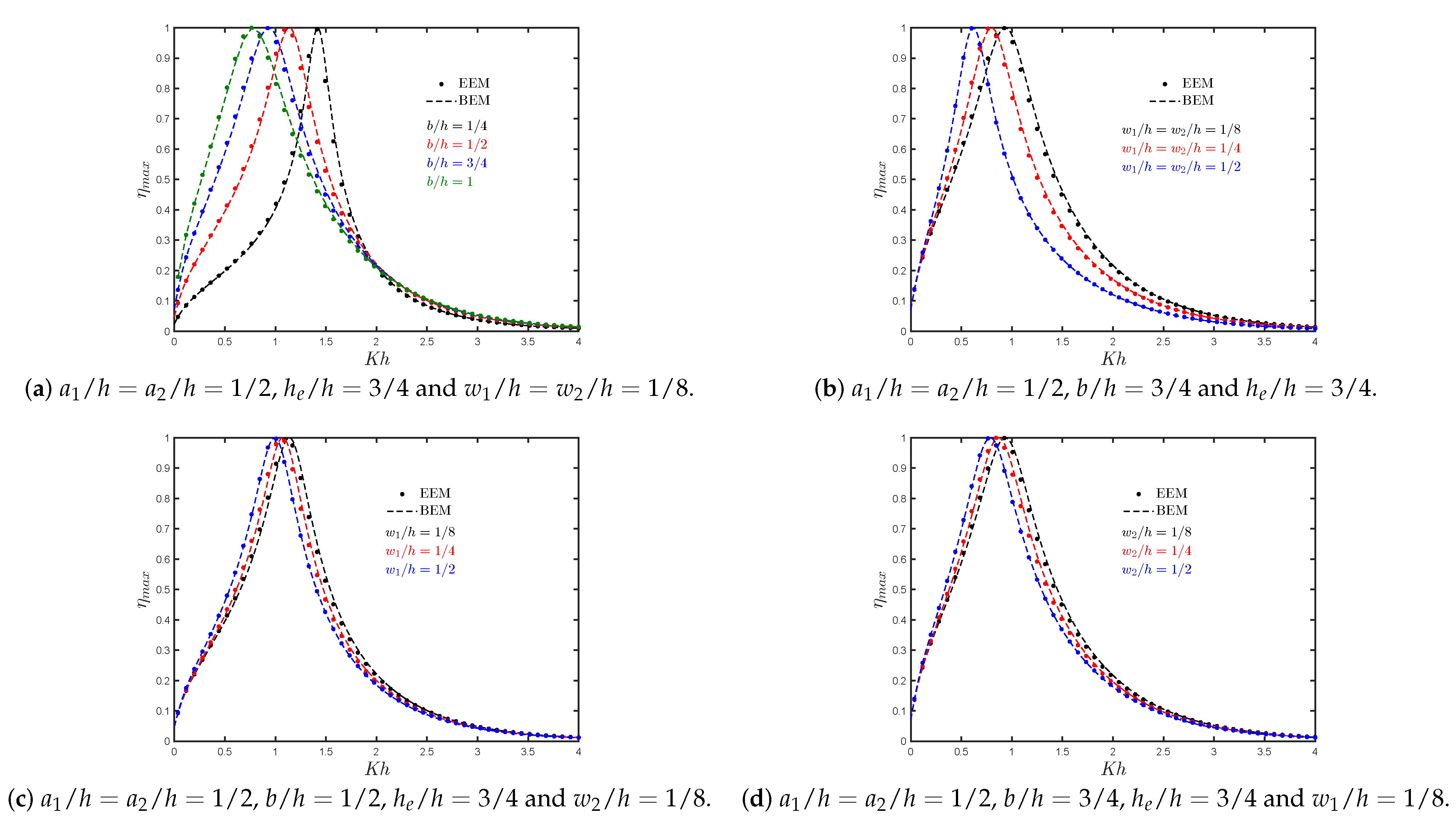
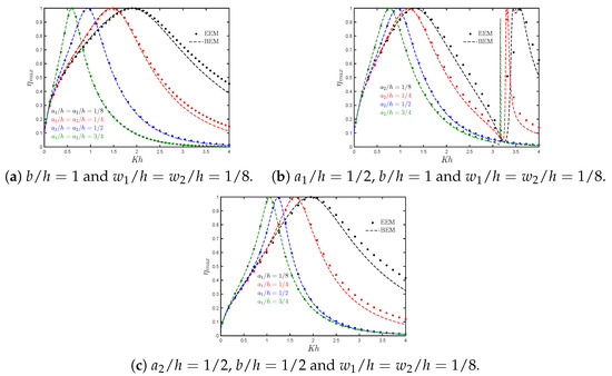
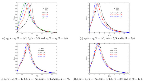
7.2. Asymmetric Fixed-Detached OWC Device over a Step
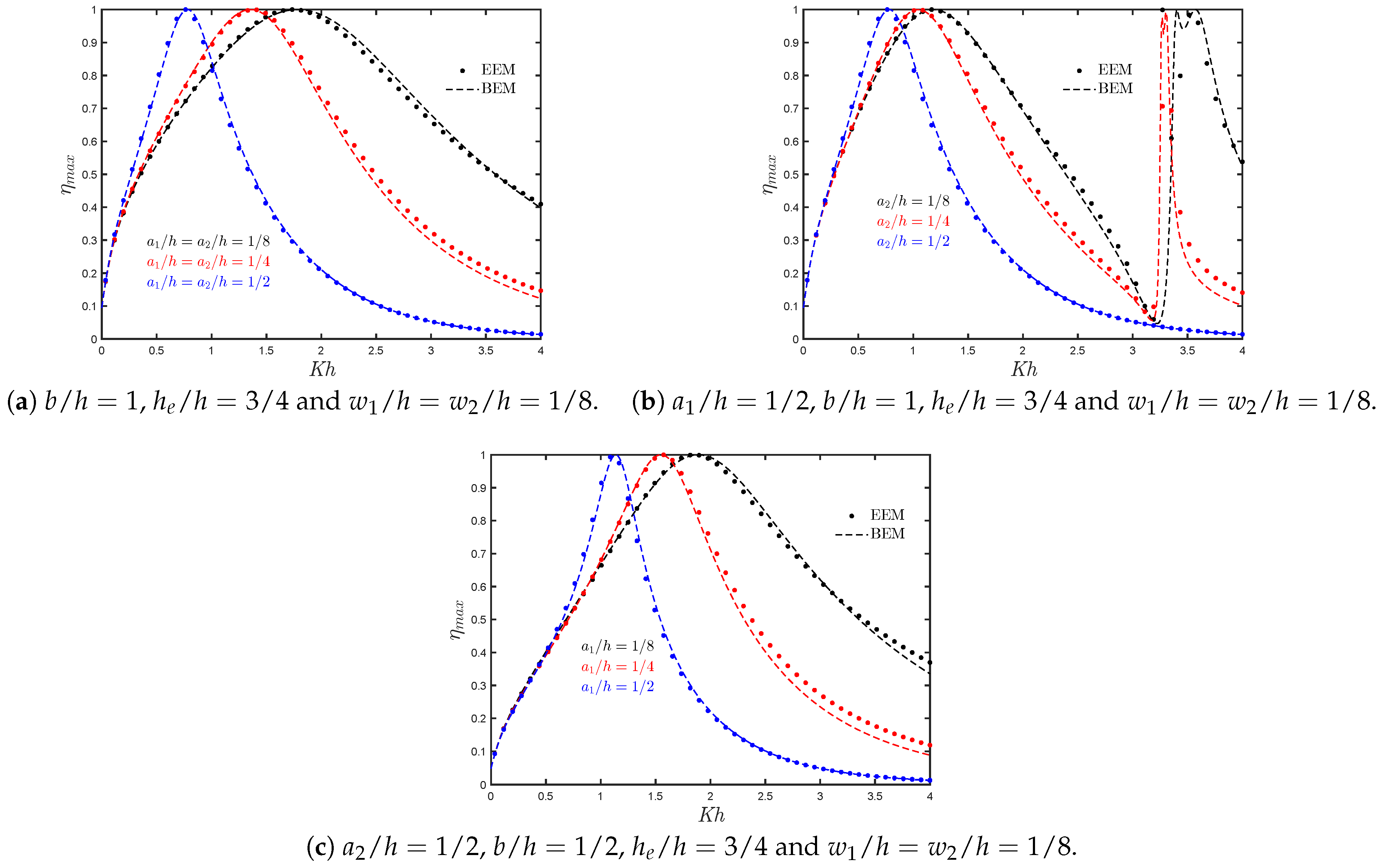
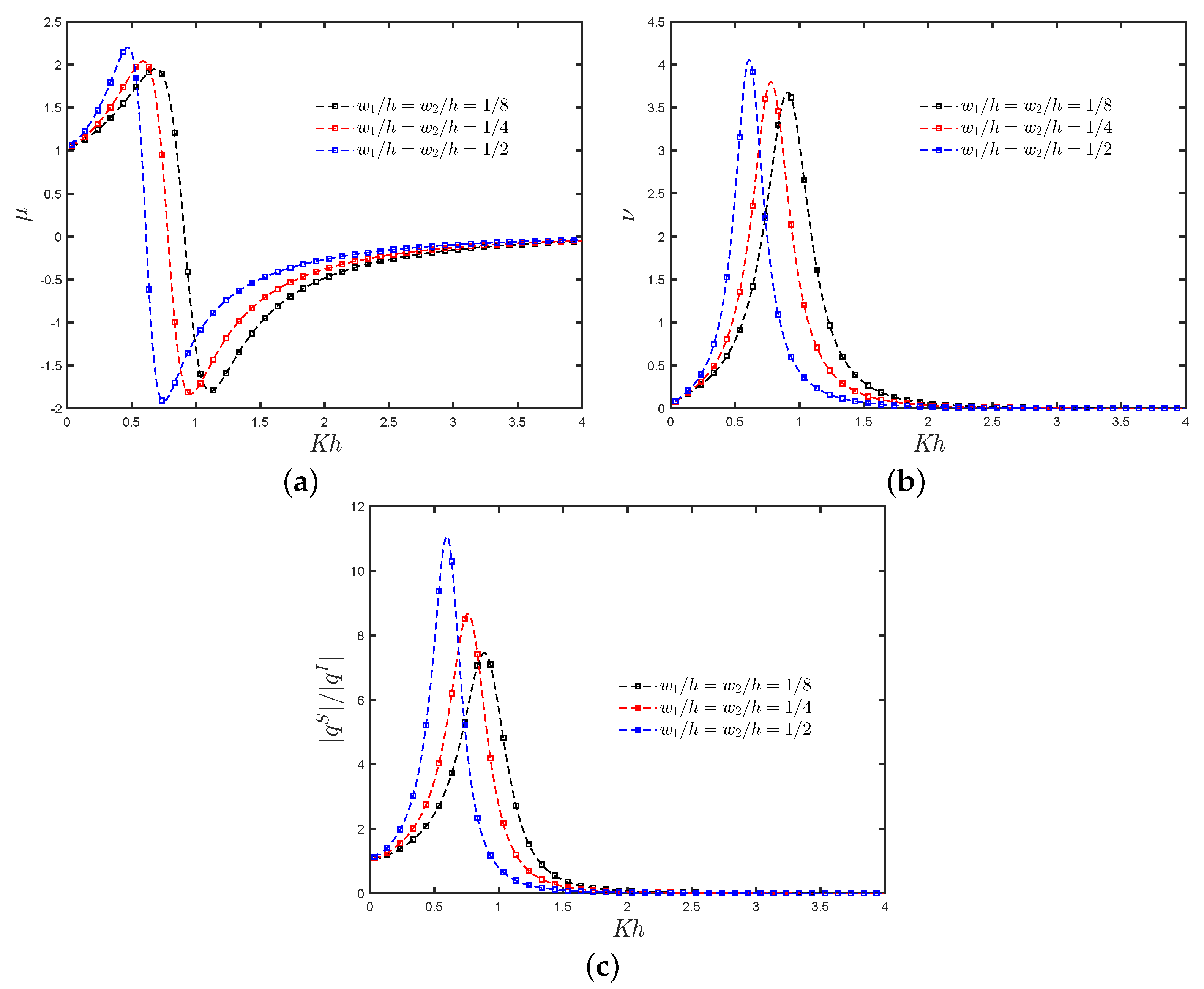
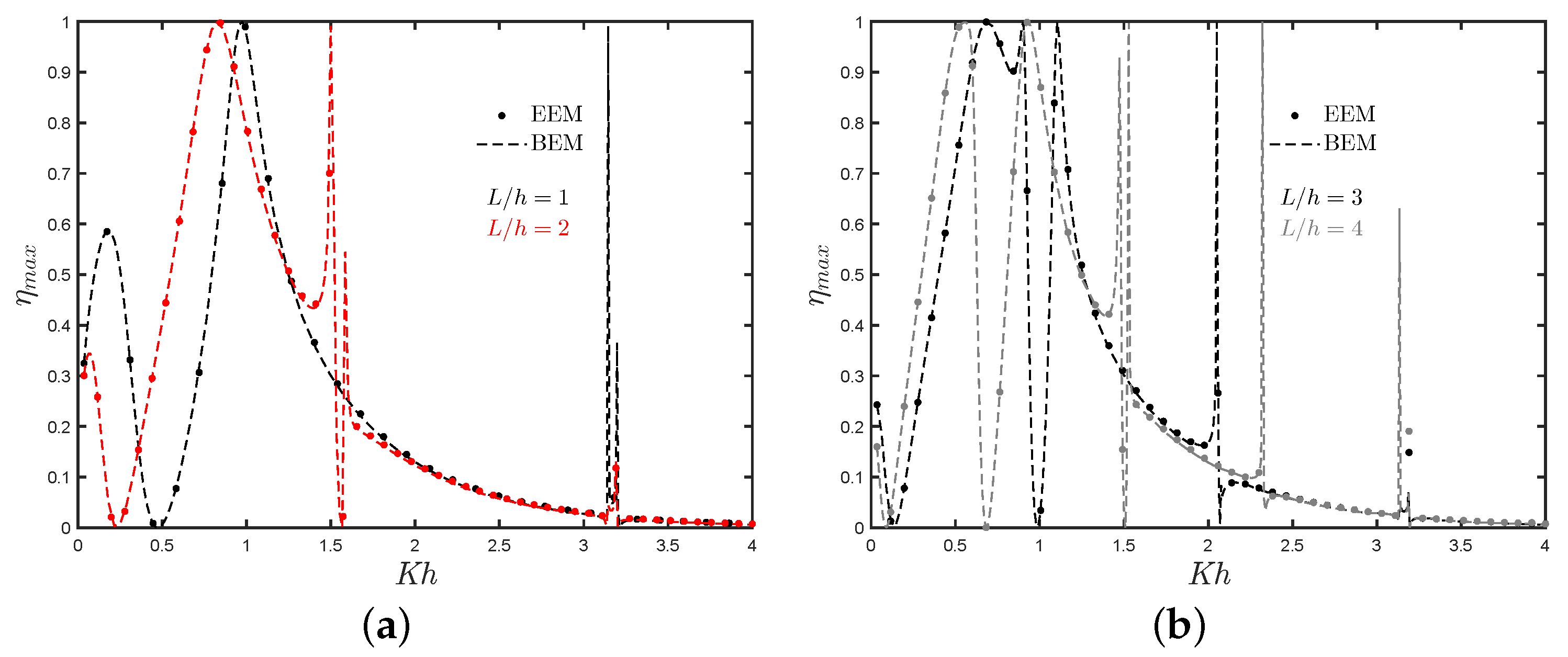
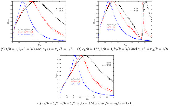
7.3. Asymmetric Fixed-Detached OWC Device near a Reflecting Wall
8. Conclusions
- An increase in the chamber length leads to an increase in the bandwidth of the efficiency curves. This is similar to the findings for a land-fixed OWC device reported by Evans and Porter [9].
- By increasing the thickness of the rear and front walls, the bandwidth of the efficiency curves and their peak frequency value are reduced. This reduction in efficiency, especially for short wavelengths, is due to the decrease in energy transfer owing to the wave motion when a large thickness is considered.
- Both the effective area under the efficiency curves and the magnitude of the natural frequency increase when the submergence of the walls decreases. This is because a larger gap between the front wall lip and the bottom allows more energy to be transferred to the water column.
- Regarding the presence of a step, it was observed that this reduces the frequency at which resonance occurs since the effect is similar to reducing the gap between the lip of the walls and the bottom.
- When the separation distance is shorter, the near trapped and standing waves in the gap of the OWC chamber and the reflecting wall play a significant role in the hydrodynamic performance. It was observed that the efficiency bandwidth is reduced, and a medium-height peak appears at low frequencies.
- At low frequencies, the presence of constructive and destructive wave interference from the OWC device and the waves reflected by the wall results in zero efficiency. This phenomenon is extremely sensitive to changes in the OWC parameters, and engineers should take it into account when constructing a fixed-detached OWC device near a vertical wall.
Author Contributions
Funding
Acknowledgments
Conflicts of Interest
References
- Gunn, K.; Stock-Williams, C. Quantifying the global wave power resource. Renew. Energy 2012, 44, 296–304. [Google Scholar] [CrossRef]
- Calheiros-Cabral, T.; Clemente, D.; Rosa-Santos, P.; Taveira-Pinto, F.; Ramos, V.; Morais, T.; Cestaro, H. Evaluation of the annual electricity production of a hybrid breakwater-integrated wave energy converter. Energy 2020, 213, 118845. [Google Scholar] [CrossRef]
- Falcão, A.F.O. Wave energy utilization: A review of the technologies. Renew. Sustain. Energy Rev. 2010, 14, 899–918. [Google Scholar] [CrossRef]
- Falcão, A.F.O.; Henriques, J.C.C. Oscillating-water-column wave energy converters and air turbines: A review. Renew. Energy 2016, 85, 1391–1424. [Google Scholar] [CrossRef]
- Falnes, J.; McIver, P. Surface wave interactions with systems of oscillating bodies and pressure distributions. Appl. Ocean Res. 1985, 7, 225–234. [Google Scholar] [CrossRef]
- Evans, D.V. A theory for wave-power absorption by oscillating bodies. J. Fluid Mech. 1976, 77, 1–25. [Google Scholar] [CrossRef]
- Evans, D.V. Power from water waves. Annu. Rev. Fluid Mech. 1981, 13, 157–187. [Google Scholar] [CrossRef]
- Mei, C.C. Power Extraction from Water Waves. J. Mar. Res. 1976, 20, 63–66. [Google Scholar]
- Evans, D.; Porter, R. Hydrodynamic characteristics of an oscillating water column device. Appl. Ocean Res. 1995, 17, 155–164. [Google Scholar] [CrossRef]
- Evans, D.; Porter, R. Efficient calculation of hydrodynamic properties of owc-type devices. ASME. J. Offshore Mech. Arct. Eng. 1997, 119, 210–218. [Google Scholar] [CrossRef]
- Şentürk, U.; Özdamar, A. Wave energy extraction by an oscillating water column with a gap on the fully submerged front wall. Appl. Ocean Res. 2012, 37, 174–182. [Google Scholar] [CrossRef]
- Morris-Thomas, M.T.; Irvin, R.J.; Thiagarajan, K.P. An Investigation Into the Hydrodynamic Efficiency of an Oscillating Water Column. J. Offshore Mech. Arct. 2006, 129, 273–278. [Google Scholar] [CrossRef]
- Rezanejad, K.; Bhattacharjee, J.; Guedes Soares, C. Stepped sea bottom effects on the efficiency of nearshore oscillating water column device. Ocean Eng. 2013, 70, 25–38. [Google Scholar] [CrossRef]
- Wang, D.J.; Katory, M.; Li, Y.S. Analytical and experimental investigation on the hydrodynamic performance of onshore wave-power devices. Ocean Eng. 2002, 29, 871–885. [Google Scholar] [CrossRef]
- Sarmento, A.J.N.A. Wave flume experiments on two-dimensional oscillating water column wave energy devices. Exp. Fluids 1992, 12, 286–292. [Google Scholar] [CrossRef]
- He, F.; Li, M.; Huang, Z. An Experimental Study of Pile-Supported OWC-Type Breakwaters: Energy Extraction and Vortex-Induced Energy Loss. Energies 2016, 9, 540. [Google Scholar] [CrossRef] [Green Version]
- He, G.; Huang, Z. Using an Oscillating Water Column Structure to Reduce Wave Reflection from a Vertical Wall. J. Waterw. Port Coast. Ocean Eng. 2016, 142, 04015021. [Google Scholar] [CrossRef]
- He, F.; Zhang, H.; Zhao, J.; Zheng, S.; Iglesias, G. Hydrodynamic performance of a pile-supported OWC breakwater: An analytical study. Appl. Ocean Res. 2019, 88, 326–340. [Google Scholar] [CrossRef]
- Karthik, S.; Sundar, V.; Sannasiraj, S.A. Hydrodynamic performance characteristics of an oscillating water column device integrated with a pile breakwater. J. Ocean Eng. Mar. Energy 2021, 7, 229–241. [Google Scholar] [CrossRef]
- Iturrioz, A.; Guanche, R.; Armesto, J.A.; Alves, M.A.; Vidal, C.; Losada, I.J. Time-domain modeling of a fixed detached oscillating water column towards a floating multi-chamber device. Ocean Eng. 2014, 76, 65–74. [Google Scholar] [CrossRef]
- Iturrioz, A.; Guanche, R.; Lara, J.L.; Vidal, C.; Losada, I.J. Validation of OpenFOAM® for Oscillating Water Column three-dimensional modeling. Ocean Eng. 2015, 107, 222–236. [Google Scholar] [CrossRef]
- Simonetti, I.; Cappietti, L.; Elsafti, H.; Oumeraci, H. Optimization of the geometry and the turbine induced damping for fixed detached and asymmetric OWC devices: A numerical study. Energy 2017, 139, 1197–1209. [Google Scholar] [CrossRef]
- Qu, M.; Yu, D.Y.; Dou, Z.H.; Wang, S.L. Design and Experimental Study of A Pile-Based Breakwater Integrated with OWC Chamber. China Ocean Eng. 2021, 35, 443–453. [Google Scholar] [CrossRef]
- Elhanafi, A.; Macfarlane, G.; Fleming, A.; Leong, Z. Investigations on 3D effects and correlation between wave height and lip submergence of an offshore stationary OWC wave energy converter. Appl. Ocean Res. 2017, 64, 203–216. [Google Scholar] [CrossRef]
- Elhanafi, A.; Fleming, A.; Macfarlane, G.; Leong, Z. Underwater geometrical impact on the hydrodynamic performance of an offshore oscillating water column–wave energy converter. Renew. Energy 2017, 105, 209–231. [Google Scholar] [CrossRef]
- Elhanafi, A.; Fleming, A.; Macfarlane, G.; Leong, Z. Numerical hydrodynamic analysis of an offshore stationary–floating oscillating water column–wave energy converter using CFD. Int. J. Nav. Archit. 2017, 9, 77–99. [Google Scholar] [CrossRef] [Green Version]
- Elhanafi, A.; Kim, C.J. Experimental and numerical investigation on wave height and power take–off damping effects on the hydrodynamic performance of an offshore–stationary OWC wave energy converter. Renew. Energy 2018, 125, 518–528. [Google Scholar] [CrossRef]
- Zabihi, M.; Mazaheri, S.; Montazeri-Namin, M. Experimental hydrodynamic investigation of a fixed offshore Oscillating Water Column device. Appl. Ocean Res. 2019, 85, 20–33. [Google Scholar] [CrossRef]
- Michele, S.; Renzi, E.; Perez-Collazo, C.; Greaves, D.; Iglesias, G. Power extraction in regular and random waves from an OWC in hybrid wind-wave energy systems. Ocean Eng. 2019, 191, 106519. [Google Scholar] [CrossRef]
- Deng, Z.; Wang, C.; Wang, P.; Higuera, P.; Wang, R. Hydrodynamic performance of an offshore-stationary OWC device with a horizontal bottom plate: Experimental and numerical study. Energy 2019, 187, 115941. [Google Scholar] [CrossRef]
- Deng, Z.; Ou, Z.; Ren, X.; Zhang, D.; Si, Y. Theoretical Analysis of an Asymmetric Offshore-Stationary Oscillating Water Column Device with Bottom Plate. J. Waterw. Port Coast. Ocean Eng. 2020, 146, 04020013. [Google Scholar] [CrossRef]
- Medina-Lopez, E.; Allsop, W.; Dimakopoulos, A.; Bruce, T. Conjectures on the Failure of the OWC Breakwater at Mutriku. In Proceedings of the Coastal Structures and Solutions to Coastal Disasters Joint Conference, Boston, MA, USA, 9–11 September 2015. [Google Scholar]
- Evans, D.V. Wave-power absorption by systems of oscillating surface pressure distributions. J. Fluid Mech. 1982, 114, 481–499. [Google Scholar] [CrossRef]
- Katsikadelis, J. Boundary Elements. Theory and Applications; Elsevier: Amsterdam, The Netherlands, 2002. [Google Scholar]
- Medina Rodríguez, A.A.; Blanco Ilzarbe, J.M.; Silva Casarín, R.; Izquierdo Ereño, U. The Influence of the Chamber Configuration on the Hydrodynamic Efficiency of Oscillating Water Column Devices. J. Mar. Sci. Eng. 2020, 8, 751. [Google Scholar] [CrossRef]
- Dominguez, J. Boundary Elements in Dynamics; Computational Mechanics Publications: Southampton, UK, 1993. [Google Scholar]
- Medina Rodríguez, A.A.; Martínez Flores, A.; Blanco Ilzarbe, J.M.; Silva Casarín, R. Interaction of oblique waves with an Oscillating Water Column device. Ocean Eng. 2021, 228, 108931. [Google Scholar] [CrossRef]
- Becker, A. The Boundary Element Method in Engineering: A Complete Course; McGraw-Hill Book Company: London, UK, 1992. [Google Scholar]
- Falcão, A.F.O.; Henriques, J.C.C.; Cândido, J.J. Dynamics and optimization of the OWC spar buoy wave energy converter. Renew. Energy 2012, 48, 369–381. [Google Scholar] [CrossRef]
- Gato, L.M.C.; Falcão, A.F.O. Aerodynamics of the wells turbine. Int. J. Mech. Sci. 1988, 30, 383–395. [Google Scholar] [CrossRef]
- Rezanejad, K; Soares, C.G.; López, I.; Carballo, R. Experimental and numerical investigation of the hydrodynamic performance of an oscillating water column wave energy converter. Renew. Energy 2017, 106, 1–16. [Google Scholar] [CrossRef]














| N | 0.5 | 1.0 | 1.5 | 2.0 | 2.5 | 3.0 | 3.5 |
|---|---|---|---|---|---|---|---|
| 5 | 0.66955 | 0.98913 | 0.52865 | 0.24885 | 0.11934 | 0.05863 | 0.02973 |
| 10 | 0.67187 | 0.98611 | 0.52024 | 0.24406 | 0.11657 | 0.05699 | 0.02875 |
| 20 | 0.67273 | 0.98493 | 0.51725 | 0.24238 | 0.11562 | 0.05644 | 0.02842 |
| 30 | 0.67292 | 0.98465 | 0.51653 | 0.24198 | 0.11539 | 0.05630 | 0.02834 |
| 40 | 0.67303 | 0.98450 | 0.51620 | 0.24179 | 0.11529 | 0.05624 | 0.02831 |
| Distance | 0.5 | 1.0 | 1.5 | 2.0 | 2.5 | 3.0 | 3.5 |
|---|---|---|---|---|---|---|---|
| 0.67335 | 0.98449 | 0.51433 | 0.23774 | 0.11040 | 0.05176 | 0.02482 | |
| 0.67335 | 0.98449 | 0.51432 | 0.23768 | 0.11029 | 0.05158 | 0.02457 | |
| 0.67335 | 0.98449 | 0.51432 | 0.23768 | 0.11029 | 0.05158 | 0.02456 | |
| 0.67335 | 0.98449 | 0.51432 | 0.23768 | 0.11029 | 0.05158 | 0.02456 | |
| N | 0.5 | 1.0 | 1.5 | 2.0 | 2.5 | 3.0 | 3.5 |
|---|---|---|---|---|---|---|---|
| 648 | 0.67318 | 0.98474 | 0.51493 | 0.23803 | 0.11048 | 0.05168 | 0.02462 |
| 716 | 0.67325 | 0.98464 | 0.51468 | 0.23789 | 0.11040 | 0.05164 | 0.02460 |
| 784 | 0.67331 | 0.98456 | 0.51448 | 0.23778 | 0.11034 | 0.05161 | 0.02458 |
| 852 | 0.67335 | 0.98449 | 0.51432 | 0.23768 | 0.11029 | 0.05158 | 0.02456 |
| 920 | 0.67338 | 0.98444 | 0.51418 | 0.23761 | 0.11024 | 0.05155 | 0.02455 |
Publisher’s Note: MDPI stays neutral with regard to jurisdictional claims in published maps and institutional affiliations. |
© 2021 by the authors. Licensee MDPI, Basel, Switzerland. This article is an open access article distributed under the terms and conditions of the Creative Commons Attribution (CC BY) license (https://creativecommons.org/licenses/by/4.0/).
Share and Cite
Medina Rodríguez, A.A.; Silva Casarín, R.; Blanco Ilzarbe, J.M. A Theoretical Study of the Hydrodynamic Performance of an Asymmetric Fixed-Detached OWC Device. Water 2021, 13, 2637. https://doi.org/10.3390/w13192637
Medina Rodríguez AA, Silva Casarín R, Blanco Ilzarbe JM. A Theoretical Study of the Hydrodynamic Performance of an Asymmetric Fixed-Detached OWC Device. Water. 2021; 13(19):2637. https://doi.org/10.3390/w13192637
Chicago/Turabian StyleMedina Rodríguez, Ayrton Alfonso, Rodolfo Silva Casarín, and Jesús María Blanco Ilzarbe. 2021. "A Theoretical Study of the Hydrodynamic Performance of an Asymmetric Fixed-Detached OWC Device" Water 13, no. 19: 2637. https://doi.org/10.3390/w13192637
APA StyleMedina Rodríguez, A. A., Silva Casarín, R., & Blanco Ilzarbe, J. M. (2021). A Theoretical Study of the Hydrodynamic Performance of an Asymmetric Fixed-Detached OWC Device. Water, 13(19), 2637. https://doi.org/10.3390/w13192637

