Spatial and Long-Term Temporal Changes in Water Quality Dynamics of the Tonle Sap Ecosystem
Abstract
1. Introduction
2. Materials and Methods
2.1. Study Area
2.2. Sample Collection and Laboratory Techniques
2.3. Watershed Land-Use Estimations and Climate Data
2.4. Data Preparation
2.5. Statistical Analyses and Data Presentation
3. Results
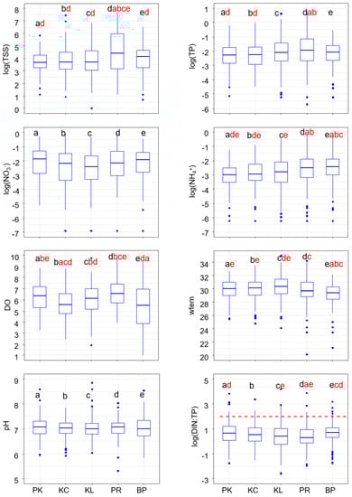
3.1. Spatial Variation in Water Quality Parameter
3.2. Temporal Trends in Water Quality Parameter
3.2.1. Trend Analyses of Water Quality Parameters
3.2.2. Temporal Variation of DIN:TP Ratio by Wet and Dry Season
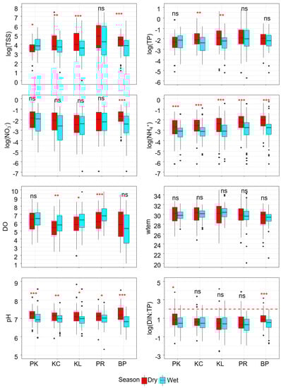
3.3. Seasonal Patterns of Water Quality
3.4. Drivers of Water Quality Change
4. Discussion
4.1. Spatial Heterogeneity of Water Quality in the Tonle Sap Lake-River Ecosystem
4.2. Water Quality Trends
4.3. Seasonal Pattern in Water Quality
4.4. Potential Nutrient Limitation Change to Algal Production
4.5. Influence of Water Parameters
5. Conclusions
Supplementary Materials
Author Contributions
Funding
Data Availability Statement
Acknowledgments
Conflicts of Interest
References
- Alabaster, J.S. Water Quality Criteria for Freshwater Fish, 2nd ed.; Food and Agriculture Organization of the United Nations (FAO): Rome, Italy, 1982; Volume 24, ISBN 0408108495. [Google Scholar]
- Chea, R.; Grenouillet, G.; Lek, S. Evidence of Water Quality Degradation in Lower Mekong Basin Revealed by Self-Organizing Map. PLoS ONE 2016, 11. [Google Scholar] [CrossRef]
- Kua, Z.X.; Hamilton, I.M.; McLaughlin, A.L.; Brodnik, R.M.; Keitzer, S.C.; Gilliland, J.; Hoskins, E.A.; Ludsin, S.A. Water warming increases aggression in a tropical fish. Sci. Rep. 2020, 10, 1–13. [Google Scholar] [CrossRef]
- Ngor, P.B.; Legendre, P.; Oberdorff, T.; Lek, S. Flow alterations by dams shaped fish assemblage dynamics in the complex Mekong-3S river system. Ecol. Indic. 2018, 88, 103–114. [Google Scholar] [CrossRef]
- Campbell, I.C. The Mekong: Biophysical Environment of an International River Basin, 3rd ed.; Thorp, J.H., Ed.; Academic Press: New York, NY, USA, 2009; ISBN 978-0-12-374026-7. [Google Scholar]
- Ozaki, H.; Co, T.K.; Le, A.K.; Pham, V.N.; Nguyen, V.B.; Tarao, M.; Nguyen, H.C.; Le, V.D.; Nguyen, H.T.; Sagehashi, M.; et al. Human factors and tidal influences on water quality of an urban river in Can Tho, a major city of the Mekong Delta, Vietnam. Environ. Monit. Assess. 2014, 186, 845–858. [Google Scholar] [CrossRef] [PubMed]
- Campbell, I.C. Perceptions, data, and river management: Lessons from the Mekong River. Water Resour. Res. 2007, 43, 1–13. [Google Scholar] [CrossRef]
- Ngor, P.B.; Grenouillet, G.; Phem, S.; So, N.; Lek, S. Spatial and temporal variation in fish community structure and diversity in the largest tropical flood-pulse system of South-East Asia. Ecol. Freshw. Fish 2018, 27, 1087–1100. [Google Scholar] [CrossRef]
- Campbell, I.C.; Say, S.; Beardall, J. Tonle Sap Lake, the Heart of the Lower Mekong. In The Mekong: Biophysical Environment of an International River Basin; Academic Press publications: Cambridge, MA, USA, 2009; pp. 251–272. ISBN 9780123740267. [Google Scholar]
- Lamberts, D. The Tonle Sap Lake as a productive ecosystem. Int. J. Water Resour. Dev. 2006, 22, 481–495. [Google Scholar] [CrossRef]
- Kummu, M.; Koponen, J.; Sarkkula, J. Modelling Sediment and Ecosystem in Tonle Sap Lake for Impact Assessment. RMZ-Mater. Geoenviron. 2005, 52, 87–89. [Google Scholar]
- Poulsen, A.F.; Poeu, O.; Viravong, S.; Suntornratana, U.; Tung, N.T. Fish Migrations of the Lower Mekong River Basin: Implications for Development, Planning and Environmental Management; Bishop, A., Ed.; Mekong River Commission: Phnom Penh, Cambodia, 2002. [Google Scholar]
- Bishop, A.; Veasna, B.; Campbell, I.; Feldkotter, C.; Garsdal, G.S.; Gerrinck, L.; Griffiths, D.; Hodgkinson, P.; Hook, J.; Ishihata, T.; et al. State of the Basin Report: 2003 Executive Summary; Mekong River Commission: Phnom Penh, Cambodia, 2003. [Google Scholar]
- Hortle, K.G.; Bamrungrach, P. Fisheries Habitat and Yield in the Lower Mekong Basin; Starr, P., Ngor, P.., Degen, P., So, N., Eds.; Mekong River Commission: Phnom Penh, Cambodia, 2015. [Google Scholar]
- Hortle, K.G. Consumption and the Yield of Fish and Other Aquatic Animals from the Lower Mekong Basin; Burnhil, T.J., Ed.; Mekong River Commission: Vientiane, Laos, 2017. [Google Scholar]
- Johnstone, G.; Ranjitha, P.; Fabrice, D.; Kosal, M.; Oeur, I.; Sithirith, M.; Bunna, P.; Sophat, S.; Sokheng, C.; Sochanny, H.; et al. Tonle Sap Scoping Report; CGIAR Research Program on Aquatic Agricultural Systems: Penang, Malaysia, 2013. [Google Scholar]
- Sor, R.; Ngor, P.B.; Soum, S.; Chandra, S.; Hogan, Z.S.; Null, S.E. Water quality degradation in the lower mekong basin. Water 2021, 13, 1555. [Google Scholar] [CrossRef]
- Arias, M.E.; Cochrane, T.A.; Piman, T.; Kummu, M.; Caruso, B.S.; Killeen, T.J. Quantifying changes in flooding and habitats in the Tonle Sap Lake (Cambodia) caused by water infrastructure development and climate change in the Mekong Basin. J. Environ. Manag. 2012, 112, 53–66. [Google Scholar] [CrossRef]
- Arias, M.E.; Holtgrieve, G.W.; Ngor, P.B.; Dang, T.D.; Piman, T. Maintaining perspective of ongoing environmental change in the Mekong floodplains. Environ. Sustain. 2019, 37, 1–7. [Google Scholar] [CrossRef]
- Sabo, J.L.; Ruhi, A.; Holtgrieve, G.W.; Elliott, V.; Arias, M.E.; Ngor, P.B.; Räsänen, T.A.; Nam, S. Designing river flows to improve food security futures in the Lower Mekong Basin. Science (80-) 2017, 358. [Google Scholar] [CrossRef] [PubMed]
- Oeurng, C.; Cochrane, T.A.; Chung, S.; Kondolf, M.G.; Piman, T.; Arias, M.E. Assessing climate change impacts on river flows in the Tonle Sap Lake Basin, Cambodia. Water 2019, 11, 618. [Google Scholar] [CrossRef]
- Arias, M.E.; Piman, T.; Lauri, H.; Cochrane, T.A.; Kummu, M. Dams on Mekong tributaries as significant contributors of hydrological alterations to the Tonle Sap Floodplain in Cambodia. Hydrol. Earth Syst. Sci. 2014, 18, 5303–5315. [Google Scholar] [CrossRef]
- Kummu, M.; Sarkkula, J. Impact of the Mekong River flow alteration on the Tonle Sap flood pulse. AMBIO A J. Hum. Environ. 2008, 37, 185–192. [Google Scholar] [CrossRef]
- Lu, X.; Kummu, M.; Oeurng, C. Reappraisal of sediment dynamics in the Lower Mekong River, Cambodia. Earth Surf. Process. Landforms 2014, 39, 1855–1865. [Google Scholar] [CrossRef]
- Hoshikawa, K.; Fujihara, Y.; Siev, S.; Arai, S.; Nakamura, T.; Fujii, H.; Sok, T.; Yoshimura, C. Characterization of total suspended solid dynamics in a large shallow lake using long-term daily satellite images. Hydrol. Process. 2019, 33, 2745–2758. [Google Scholar] [CrossRef]
- Lohani, S.; Dilts, T.E.; Weisberg, P.J.; Null, S.E.; Hogan, Z.S. Rapidly accelerating deforestation in Cambodia’s Mekong River basin: A comparative analysis of spatial patterns and drivers. Water 2020, 12, 2191. [Google Scholar] [CrossRef]
- Daly, K.; Ahmad, S.K.; Bonnema, M.; Beveridge, C.; Hossain, F.; Nijssen, B.; Holtgrieve, G. Recent warming of Tonle Sap Lake, Cambodia: Implications for one of the world’ s most productive inland fisheries. Lakes Reserv. 2020. [Google Scholar] [CrossRef]
- Nhim, S. Station Profiles of Water Quality Monitoring Network in Cambodia, Consultancy report; Water Quality Monitoring Specialist: Phnom Penh, Cambodia, 2003. [Google Scholar]
- Kummu, M.; Tes, S.; Yin, S.; Adamson, P.; Józsa, J.; Koponen, J.; Richey, J.; Sarkkula, J.; Richey, J.; Sarkkula, J. Water balance analysis for the Tonle Sap Lake–floodplain system. Hydrol. Process. 2014, 28, 1722–1733. [Google Scholar] [CrossRef]
- MRC. Overview of the Hydrology of the Mekong Basin; Mekong River Commission: Vientiane, Laos, 2005. [Google Scholar]
- MRC. 2017 Lower Mekong Regional: Water Quality Monitoring Report; Mekong River Commission: Vientiane, Laos, 2019. [Google Scholar]
- Ly, K.; Larsen, H.; Van Duyen, N. 2013 Lower Mekong Rigional Water Quality Monitoring Report; Taylor, R., Ed.; Mekong River Commission: Vientiane, Laos, 2013. [Google Scholar]
- Eaton, A.; Clesceri, L.; Greenberg, A.F.M. APHA Method 4500-P. Stand. Methods Exam. Water Wastewater 1992, 552, 4.108–4.117. [Google Scholar]
- Ly, K.; Larsen, H. 2014 Lower Mekong Regional: Water Quality Monitoring Report; Brown, R., Ed.; Mekong River Commission: Vientiane, Laos, 2014. [Google Scholar]
- Jarvis, A.; Reuter, H.; Nelson, A.D.; Guevara, E. Hole-Filled SRTM for the Globe Version 4: Data Grid. Available online: http://srtm.csi.cgiar.org/ (accessed on 19 August 2008).
- Tarboton, D.G.; Bras, R.L.; Rodriguez-Iturbe, I. On the extraction of channel networks from digital elevation data. Hydrol. Process. 1991, 5, 81–100. [Google Scholar] [CrossRef]
- Regional Land Cover Monitoring System Version 2. Available online: https://www.landcovermapping.org/en/landcover/ (accessed on 11 April 2020).
- Doxsey-Whitfield, E.; MacManus, K.; Adamo, S.B.; Pistolesi, L.; Squires, J.; Borkovska, O.; Baptista, S.R. Taking Advantage of the Improved Availability of Census Data: A First Look at the Gridded Population of the World, Version 4. Pap. Appl. Geogr. 2015, 1, 226–234. [Google Scholar] [CrossRef]
- Harris, I.C.; Jones, P.D. CRU TS4.03: Climatic Research Unit (CRU) Time-Series (TS) version 4.03 of high-resolution gridded data of month-by-month variation in climate (January 1901–December 2018). Available online: http://dx.doi.org/10.5285/10d3e3640f004c578403419aac167d82 (accessed on 22 January 2020).
- Pierce, D. Ncdf4: Interface to Unidata netCDF. R Packag. Version 1.17. 2019. Available online: https://cran.r-project.org/web/packages/ncdf4/index.html (accessed on 7 May 2021).
- Hijmans, R.J. Raster: Geographic Data Analysis and Modeling. R Packag. Version 3.3-13. 2020. Available online: https://www.researchgate.net/publication/311921423_Raster_Raster_Geographic_data_analysis_and_modeling (accessed on 7 May 2021).
- Rob, A.; Ihaka, R.; Reid, D.; Shaub, D. Interpolate Missing Values in a Time Series. In Forecasting Functions for Time Series and Linear Models; 2020; pp. 95–97. ISBN 0000000221405. Available online: https://cran.r-project.org/web/packages/forecast/forecast.pdf (accessed on 7 May 2021).
- Ngor, P.B.; Oberdorff, T.; Phen, C.; Baehr, C.; Grenouillet, G.; Lek, S. Fish assemblage responses to flow seasonality and predictability in a tropical flood pulse system. Ecosphere 2018, 9, e02366. [Google Scholar] [CrossRef]
- Wetzel, R.G. Limnology: Lake and River Ecosystem, 3rd ed.; Gulf Professional Publishing: San Diego, CA, USA, 2001; Volume 35, ISBN 9780127447605. [Google Scholar]
- Morris, D.P.; Lewis, W.M., Jr. Phytoplankton nutrient limitation in Colorado mountain lakes. Freshw. Biol. 1988, 20, 315–327. [Google Scholar] [CrossRef]
- Siegel, S.; Castellan, J.N.J. Non Parametric Statistics for the Behavioural Sciences, 2nd ed.; Mcgraw-Hill Book Company: New York, NY, USA, 1988. [Google Scholar]
- Wickham, H. Ggplot2: Elegant Graphics for Data Analysis; Springer: Cham, Switzerland, 2016. [Google Scholar]
- Cleveland, R.B.; Cleveland, W.S.; McRae, J.E.; Terpenning, I. STL: A Seasonal- Trend Decomposition Procedure Based on Loess. J. Off. Stat. 1990, 6, 3–73. [Google Scholar]
- Eregno, F.E.; Nilsen, V.; Seidu, R.; Heistad, A. Evaluating the Trend and Extreme Values of Faecal Indicator Organisms in a Raw Water Source: A Potential Approach for Watershed Management and Optimizing Water Treatment Practice. Environ. Process. 2014, 1, 287–309. [Google Scholar] [CrossRef]
- Hirsch, R.M.; Slack, J.R.; Smith, R.A. Techniques of trend analysis for monthly water quality data. Water Resour. Res. 1982, 18, 107–121. [Google Scholar] [CrossRef]
- Hipel, K.W.; McLeod, A.I. Time Series Modelling of Water Resources and Environmental Systems; Elsevier Science B.V.: Amsterdam, The Netherlands, 1994; ISBN 0444892702. [Google Scholar]
- Hirsch, R.M.; Slack, J.R. A Nonparametric Trend Test for Seasonal Data With Serial Dependence. Water Resour. Res. 1984, 20, 727–732. [Google Scholar] [CrossRef]
- Pohlert, T. Trend: Non-Parametric Trend Tests and Change-Point Detection. R Packag. Version 1.1.4. 2020, pp. 1–18. Available online: https://rdrr.io/cran/trend/ (accessed on 7 May 2021).
- Venables, W.N.; Ripley, B.D. Modern Applied Statistics with S, 4th ed.; Springer: New York, NY, USA, 2002; ISBN 0387954570. [Google Scholar]
- R Core Team R: A Language and Environment for Statistical Computing 2021. 2019. Available online: https://www.eea.europa.eu/data-and-maps/indicators/oxygen-consuming-substances-in-rivers/r-development-core-team-2006 (accessed on 7 May 2021).
- Misigo, A.W.S.; Suzuki, S. Spatial-Temporal Sediment Hydrodynamics and Nutrient Loads in Nyanza Gulf, Characterizing Variation in Water Quality. World J. Eng. Technol. 2018, 6, 98–115. [Google Scholar] [CrossRef]
- Kraemer, B.M.; Chandra, S.; Dell, A.I.; Dix, M.; Kuusisto, E.; Livingstone, D.M.; Schladow, S.G.; Silow, E.; Sitoki, L.M.; Tamatamah, R.; et al. Global patterns in lake ecosystem responses to warming based on the temperature dependence of metabolism. Glob. Chang. Biol. 2016, 23, 1881–1890. [Google Scholar] [CrossRef] [PubMed]
- Irvine, K.N.; Richey, J.E.; Holtgrieve, G.W.; Sarkkula, J.; Sampson, M. Spatial and temporal variability of turbidity, dissolved oxygen, conductivity, temperature, and fluorescence in the lower mekong river-tonle sap system identified using continuous monitoring. Int. J. River Basin Manag. 2011, 9, 151–168. [Google Scholar] [CrossRef]
- Vuai, S.A.H.; Ibembe, J.D.; Mungai, N.W. Influence of Land Use Activities on Spatial and Temporal Variation of Nutrient Deposition in Mwanza Region: Implication to the Atmospheric Loading to the Lake Victoria. Atmos. Clim. Sci. 2013, 3, 224–234. [Google Scholar] [CrossRef][Green Version]
- Null, S.E.; Farshid, A.; Goodrum, G.; Gray, C.A.; Lohani, S.; Morrisett, C.N.; Prudencio, L.; Sor, R. A meta-analysis of environmental tradeoffs of hydropower dams in the sekong, sesan, and srepok (3S) rivers of the lower mekong basin. Water 2021, 13, 63. [Google Scholar] [CrossRef]
- Ly, K.; Metternicht, G.; Marshall, L. Linking Changes in Land Cover and Land Use of the Lower Mekong Basin to Instream Nitrate and Total Suspended Solids Variations. Sustainability 2020, 12, 2992. [Google Scholar] [CrossRef]
- Oeurng, C.; Cochrane, T.A.; Arias, M.E.; Shrestha, B.; Piman, T. Assessment of changes in riverine nitrate in the Sesan, Srepok and Sekong tributaries of the Lower Mekong River Basin. J. Hydrol. Reg. Stud. 2016, 8, 95–111. [Google Scholar] [CrossRef]
- Chan, B.; Ngor, P.B.; So, N.; Lek, S. Spatial and temporal changes in fish yields and fish communities in the largest tropical floodplain lake in Asia. Ann. Limnol. 2017, 53, 485–493. [Google Scholar] [CrossRef]
- Yang, J.; Wang, F.; Lv, J.; Liu, Q.; Nan, F.; Liu, X.; Xu, L.; Xie, S.; Feng, J. Interactive effects of temperature and nutrients on the phytoplankton community in an urban river in China. Environ. Monit. Assess. 2019, 191. [Google Scholar] [CrossRef]
- Hamilton, S.K.; Lewis, W.M., Jr. Basin morphology in relation to chemical and ecological characteristics of lakes on the Oricono River floodplain, Venezuela. Arch. Hydrobiol. 1990, 119, 393–425. [Google Scholar]
- Kummu, M.; Penny, D.; Sarkkula, J.; Koponen, J. Sediment: Curse or blessing for Tonle Sap Lake? Ambio 2008, 37, 158–163. [Google Scholar] [CrossRef]
- Dodds, W.K.; Whiles, M.R. Freshwater Ecology: Concepts and Environmental Applications of Limnology, 3rd ed.; Hutchins, L., Ed.; Academic Press: London, UK, 2017; ISBN 9780128132555. [Google Scholar]
- Liljeström, I.; Kummu, M.; Varis, O. Nutrient Balance Assessment in the Mekong Basin: Nitrogen and Phosphorus Dynamics in a Catchment Scale. Int. J. Water Resour. Dev. 2012, 28, 373–391. [Google Scholar] [CrossRef]
- Burnett, W.C.; Wattayakorn, G.; Supcharoen, R.; Sioudom, K.; Kum, V.; Chanyotha, S.; Kritsananuwat, R. Groundwater discharge and phosphorus dynamics in a flood-pulse system: Tonle Sap Lake, Cambodia. J. Hydrol. 2017, 549, 79–91. [Google Scholar] [CrossRef]
- Downing, J.A.; Mccauley, E. The nitrogen: Phosphorus relationship in lakes. Limnol. Oceanogr. 1992, 37, 936–945. [Google Scholar] [CrossRef]
- Van Der Molen, D.T.; Boers, P.C.M. Changes in phosphorus and nitrogen cycling following food web manipulations in a shallow Dutch lake. Freshw. Biol. 1996, 35, 189–202. [Google Scholar] [CrossRef]
- Phlips, E.J.; Cichra, M.; Havens, K.; Hanlon, C.; Badylak, S.; Rueter, B.; Randall, M.; Hansen, P. Relationships between phytoplankton dynamics and the availability of light and nutrients in a shallow sub-tropical lake. J. Plankton Res. 1997, 19, 319–342. [Google Scholar] [CrossRef]
- Campbell, I.C.C.; Poole, C.; Giesen, W.; Valbo-Jorgensen, J. Species diversity and ecology of Tonle Sap Great Lake, Cambodia. Aquat. Sci. 2006, 68, 355–373. [Google Scholar] [CrossRef]
- Chan, B.; Brosse, S.; Hogan, Z.S.; Ngor, P.B.; Lek, S. Influence of local habitat and climatic factors on the distribution of fish species in the tonle sap lake. Water 2020, 12, 786. [Google Scholar] [CrossRef]
- Wang, K.; Zhang, Z.; Zhu, Y.; Wang, G.; Shi, D.; Christie, P. Surface water phosphorus dynamics in rice fields receiving fertiliser and manure phosphorus. Chemosphere 2001, 42, 209–214. [Google Scholar] [CrossRef]
- Siev, S.; Yang, H.; Sok, T.; Uk, S.; Song, L.; Kodikara, D.; Oeurng, C.; Hul, S.; Yoshimura, C. Sediment dynamics in a large shallow lake characterized by seasonal flood pulse in Southeast Asia. Sci. Total Environ. 2018, 631–632, 597–607. [Google Scholar] [CrossRef]
- Wurtsbaugh, W.A.; Heredia, N.A.; Laub, B.G.; Meredith, C.S.; Mohn, H.E.; Null, S.E.; Pluth, D.A.; Roper, B.B.; Carl Saunders, W.; Stevens, D.K.; et al. Approaches for studying fish production: Do river and lake researchers have different perspectives? Can. J. Fish. Aquat. Sci. 2014, 72, 149–160. [Google Scholar] [CrossRef]
- Pin, K.; Nut, S.; Hogan, Z.S.; Chandra, S.; Saray, S.; Touch, B.; Chheng, P.; Ngor, P.B. Cambodian freshwater fish assemblage structure and distribution patterns: Using a large-scale monitoring network to understand the dynamics and management implications of species clusters in a global biodiversity hotspot. Water 2020, 12, 2506. [Google Scholar] [CrossRef]
- Bogotá-Gregory, J.D.; Lima, F.C.T.; Correa, S.B.; Silva-Oliveira, C.; Jenkins, D.G.; Ribeiro, F.R.; Lovejoy, N.R.; Reis, R.E.; Crampton, W.G.R. Biogeochemical water type influences community composition, species richness, and biomass in megadiverse Amazonian fish assemblages. Sci. Rep. 2020, 10, 1–15. [Google Scholar] [CrossRef]




| Parameters | Abbreviation | Units | Methods | Filter | Detection Limit |
|---|---|---|---|---|---|
| Total Nitrate and Nitrite | NO3− | mg/L | 4500-NO3-2/SM | 0.45 µm | 0.001 mg/L |
| Total Phosphorus | TP | mg/L | 4500-P/SM | 0.45 µm | 0.003 mg/L |
| Ammonium | NH4+ | mg/L | 4500-NH4+/SM | - | 0.002 mg/L |
| Total Suspended Solids | TSS | mg/L | 2540-D-TSS-SM | 0.45 µm | - |
| Site | Parameters | ||||||
|---|---|---|---|---|---|---|---|
| TSS | TP | NO3− | NH4+ | DO | pH | wtem | |
| PK | +4.57 *** | +9.74 *** | −3.99 *** | +4.03 *** | +6.57 *** | +1.95 | −0.84 |
| KC | +7.79 *** | +10.35 *** | −3.70 *** | +3.77 *** | +2.65 * | +2.00 * | +0.86 |
| KL | +5.52 *** | +8.65 *** | −0.75 | +1.37 | +0.49 | +2.35 * | +0.82 |
| PR | +3.44 *** | −0.35 | −0.53 | +0.81 | +0.28 | +1.46 | +2.84 ** |
| BP | +0.16 | +1.22 | +3.15 * | +0.37 | +6.62 *** | +4.37 *** | +2.25 * |
| Parameters | Predictors | Sites | ||||
|---|---|---|---|---|---|---|
| PK | KC | KL | BP | PR | ||
| TSS | Max. WL | 3.42 ** | 1.89. | 2.55 * | 3.02 * | (−)1.14 |
| Air Temperature | 2.11. | 2.34 * | 2.36 * | − | (−)0.93 | |
| Precipitation | (−)1.47 | − | − | (−)2.94 * | (−)1.02 | |
| Forest cover | (−)1.90. | −1.92. | (−)2.87 * | (−)5.87 ** | 1.32 | |
| Flooded forest | − | − | − | 1.87 | − | |
| Population density | (−)1.67 | (−)1.17 | −2.61 * | − | 1.73 | |
| Plantation | − | (−)2.30 * | − | 1.76 | 0.95 | |
| Crops | − | (−)2.34 * | − | (−)3.45 * | (−)2.44. | |
| Rice | − | − | (−)1.86 | − | − | |
| Multiple R2 | 0.53 | 0.59 | 0.65 | 0.93 | 0.68 | |
| TP | Max. WL | − | − | − | − | −1.56 |
| Air Temperature | (−)1.49 | − | − | − | − | |
| Precipitation | − | − | − | − | − | |
| Forest cover | (−)2.54 * | (−)3.39 ** | (−)3.94 ** | − | − | |
| Flooded forest | (−)3.83 ** | (−)2.12. | (−)1.59 | − | − | |
| Population density | (−)3.70 ** | (−)6.13 *** | (−)5.43 *** | − | − | |
| Plantation | − | (−)1.74 | − | − | ||
| Crops | − | − | − | 1.48 | − | |
| Rice | − | − | − | − | 2.73 * | |
| Multiple R2 | 0.78 | 0.87 | 0.83 | 0.17 | 0.43 | |
| NO3− | Max. WL | − | − | − | (−)2.79 * | (−)4.68 ** |
| Air Temperature | − | − | − | (−)1.46 | (−)3.03 * | |
| Precipitation | − | − | − | 1.94 | − | |
| Forest cover | (−)1.37 | − | − | 1.9 | 3.32 * | |
| Flooded forest | − | − | − | − | (−)3.26 * | |
| Population density | (−)1.53 | − | − | 1.73 | 2.73 * | |
| Plantation | − | − | − | 2.31. | − | |
| Crops | − | − | − | − | (−)4.79 ** | |
| Rice | − | − | − | 0.95 | − | |
| Multiple R2 | 0.27 | − | − | 0.71 | 0.91 | |
| NH4+ | Max. WL | 3.06 ** | − | (−)2.37 * | (−)1.07 | (−)1.64 |
| Air Temperature | − | − | (−)4.69 *** | − | (−)1.1 | |
| Precipitation | − | 1.7 | − | 1.5 | 5.51 ** | |
| Forest cover | − | (−)1.87. | − | − | (−)1.76 | |
| Flooded forest | (−)2.91 * | − | − | 1.95 | 1.88 | |
| Population density | (−)2.03. | −1.65 | − | 1.67 | − | |
| Plantation | − | − | − | 2.66 * | 4.03 * | |
| Crops | − | − | − | 2.26. | 1.61 | |
| Rice | − | − | − | 2.58 * | 5.46 ** | |
| Multiple R2 | 0.67 | 0.39 | 0.54 | 0.82 | 0.96 | |
| DIN:TP | Max. WL | − | − | − | 1.54 | 2.41. |
| Air Temperature | 1.83. | − | − | − | 1.89 | |
| Precipitation | − | − | − | − | − | |
| Forest cover | 1.51 | 2.87 * | 4.19 ** | (−)1.57 | (−)1.49 | |
| Flooded forest | 3.38 ** | − | − | 2.48 * | − | |
| Population density | 2.71 * | 2.25 * | 3.08 ** | (−)1.54 | (−)1.89 | |
| Plantation | − | − | 2.00. | 3.30 * | − | |
| Crops | − | − | 2.21 * | 2.70 * | 1.97. | |
| Rice | − | (−)1.94. | (−)1.47 | − | (−)2.31. | |
| Multiple R2 | 0.70 | 0.77 | 0.81 | 0.76 | 0.71 | |
| DO | Max. WL | − | − | (−)1.25 | (−)2.70 * | (−)2.02. |
| Air Temperature | − | − | − | (−)4.11 ** | (−)1.75 | |
| Precipitation | (−)2.08. | − | − | (−)2.43. | − | |
| Forest cover | − | − | 2.87 * | 1.67 | 2.77 * | |
| Flooded forest | (−)2.26 * | − | (−)2.79 * | 5.35 ** | − | |
| Population density | (−)1.85. | − | − | 4.78 ** | 2.83 * | |
| Plantation | −1.4 | − | (−)2.11. | 6.09 ** | − | |
| Crops | − | 1.57 | − | − | − | |
| Rice | (−)1.90. | (−)1.66 | (−)5.22 *** | − | − | |
| Multiple R2 | 0.73 | 0.32 | 0.71 | 0.97 | 0.52 | |
| pH | Max. WL | 2.04. | 1.71 | − | 1.27 | 1.78 |
| Air Temperature | − | − | − | 1.24 | 0.75 | |
| Precipitation | (−)1.43 | (−)1.86. | (−)2.23 * | − | (−)1.3 | |
| Forest cover | (−)2.70 * | − | 4.00 ** | − | (−)1.54 | |
| Flooded forest | 1.92. | 1.87. | − | (−)1.65 | 1.1 | |
| Population density | − | 2.25 * | 4.25 *** | (−)1.11 | (−)1.21 | |
| Plantation | − | − | − | (−)1.99 | (−)3.43 * | |
| Crops | − | − | − | (−)1.15 | 1.93 | |
| Rice | − | − | − | (−)1.05 | −1.3 | |
| Multiple R2 | 0.56 | 0.44 | 0.62 | 0.76 | 0.92 | |
| wtem | Max. WL | − | − | (−)2.59 * | (−)2.07. | 1.14 |
| Air Temperature | 2.73 * | − | − | − | − | |
| Precipitation | − | − | − | 0.98 | 2.94 * | |
| Forest cover | − | − | 2.66 * | − | (−)1.89 | |
| Flooded forest | 1.51 | 3.24 ** | (−)1.27 | 1.84 | 1.76 | |
| Population density | 1.81. | 3.68 ** | 1.59 | 1.14 | (−)1.3 | |
| Plantation | − | − | (−)2.48 * | 1.31 | (−)2.42. | |
| Crops | − | − | − | 1.88 | 3.29 * | |
| Rice | − | − | (−)1.36 | 1.5 | (−)1.39 | |
| Multiple R2 | 0.59 | 0.62 | 0.71 | 0.71 | 0.93 | |
Publisher’s Note: MDPI stays neutral with regard to jurisdictional claims in published maps and institutional affiliations. |
© 2021 by the authors. Licensee MDPI, Basel, Switzerland. This article is an open access article distributed under the terms and conditions of the Creative Commons Attribution (CC BY) license (https://creativecommons.org/licenses/by/4.0/).
Share and Cite
Soum, S.; Ngor, P.B.; Dilts, T.E.; Lohani, S.; Kelson, S.; Null, S.E.; Tromboni, F.; Hogan, Z.S.; Chan, B.; Chandra, S. Spatial and Long-Term Temporal Changes in Water Quality Dynamics of the Tonle Sap Ecosystem. Water 2021, 13, 2059. https://doi.org/10.3390/w13152059
Soum S, Ngor PB, Dilts TE, Lohani S, Kelson S, Null SE, Tromboni F, Hogan ZS, Chan B, Chandra S. Spatial and Long-Term Temporal Changes in Water Quality Dynamics of the Tonle Sap Ecosystem. Water. 2021; 13(15):2059. https://doi.org/10.3390/w13152059
Chicago/Turabian StyleSoum, Savoeurn, Peng Bun Ngor, Thomas E. Dilts, Sapana Lohani, Suzanne Kelson, Sarah E. Null, Flavia Tromboni, Zeb S. Hogan, Bunyeth Chan, and Sudeep Chandra. 2021. "Spatial and Long-Term Temporal Changes in Water Quality Dynamics of the Tonle Sap Ecosystem" Water 13, no. 15: 2059. https://doi.org/10.3390/w13152059
APA StyleSoum, S., Ngor, P. B., Dilts, T. E., Lohani, S., Kelson, S., Null, S. E., Tromboni, F., Hogan, Z. S., Chan, B., & Chandra, S. (2021). Spatial and Long-Term Temporal Changes in Water Quality Dynamics of the Tonle Sap Ecosystem. Water, 13(15), 2059. https://doi.org/10.3390/w13152059

