Assessment of Shallow Groundwater Purification Processes after the Construction of a Municipal Sewerage Network
Abstract
:1. Introduction
2. Materials and Methods
2.1. Site Location and Characteristics
2.2. Field Sampling and Laboratory Analysis
2.3. Statistical Analysis and GIS
3. Results and Discussion
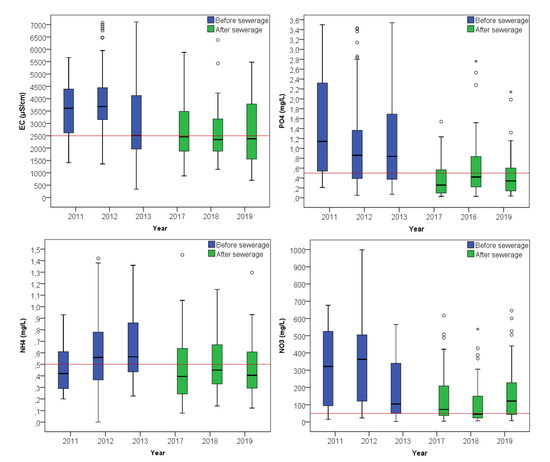
3.1. Water Quality before the Construction of the Sewerage Network
3.2. Water Quality Changes after the Construction of the Sewerage Network
3.3. Results of the Discriminant Analysis
3.4. Spatio-Temporal Changes in Groundwater Quality
3.5. Results of Principal Component Analysis
3.6. Anion and Cation Content of Groundwater
3.7. Changes in Groundwater Level after the Construction of the Sewerage Network
4. Conclusions
Author Contributions
Funding
Institutional Review Board Statement
Informed Consent Statement
Data Availability Statement
Acknowledgments
Conflicts of Interest
References
- Graham, J.P.; Polizzotto, M.L. Pit latrines and their impacts on groundwater quality: A systematic review. Environ. Health Perspect. 2013, 121, 521–530. [Google Scholar] [CrossRef] [Green Version]
- Richards, S.; Paterson, E.; Withers, P.J.; Stutter, M. Septic tank discharges as multi-pollutant hotspots in catchments. Sci. Total Environ. 2016, 542, 854–863. [Google Scholar] [CrossRef] [PubMed]
- Fylypchuk, V.; Induchny, S.; Pearce, P.; Fylypchuk, L.; Martynov, S. Application of expanded polystyrene filter for tertiary treatment of domestic waste effluent in the UK. J. Water Land Dev. 2017, 35, 41–47. [Google Scholar] [CrossRef]
- Bugajski, P.M.; Kurek, K.; Młyński, D.; Operacz, A. Designed and real hydraulic load of household wastewater treatment plants. J. Water Land Dev. 2019, 40, 155–160. [Google Scholar] [CrossRef]
- Mester, T.; Balla, D.; Karancsi, G.; Bessenyei, É.; Szabó, G. Effects of nitrogen loading from domestic wastewater on groundwater quality. Water SA 2019, 45, 349–358. [Google Scholar] [CrossRef] [Green Version]
- Heatwole, K.K.; McCray, J.E. Modeling potential vadose-zone transport of nitrogen from onsite wastewater systems at the development scale. J. Contam. Hydrol. 2007, 91, 184–201. [Google Scholar] [CrossRef] [PubMed]
- Nemčić-Jurec, J.; Singh, S.K.; Jazbec, A.; Gautam, S.K.; Kovač, I. Hydrochemical investigations of groundwater quality for drinking and irrigational purposes: Two case studies of Koprivnica-Križevci County (Croatia) and district Allahabad (India). Sustain. Water Resour. Manag. 2017, 5, 467–490. [Google Scholar] [CrossRef]
- Mester, T.; Szabo, G.; Bessenyei, E.; Karancsi, G.; Barkoczi, N.; Balla, D. The effects of uninsulated sewage tanks on groundwater. A case study in an eastern Hungarian settlement. J. Water Land Dev. 2017, 33, 123–129. [Google Scholar] [CrossRef] [Green Version]
- Hastuti, E.; Riyana, R.; Joy, B.; Supratman, U.; Pamekas, R. Integrated Community Onsite Sanitation System for Close Loop Faecal Management. In Proceedings of the 4th International Conference on Sustainability Science (CSS2020), Bandung, Indonesia, 8 October 2020; Volume 249, p. 01005. [Google Scholar]
- Azzellino, A.; Colombo, L.; Lombi, S.; Marchesi, V.; Piana, A.; Andrea, M.; Alberti, L. Groundwater diffuse pollution in functional urban areas: The need to define anthropogenic diffuse pollution background levels. Sci. Total Environ. 2019, 656, 1207–1222. [Google Scholar] [CrossRef]
- Machiwal, D.; Jha, M.K. Identifying sources of groundwater contamination in a hard-rock aquifer system using multivariate statistical analyses and GIS-based geostatistical modeling techniques. J. Hydrol. Reg. Stud. 2015, 4, 80–110. [Google Scholar] [CrossRef] [Green Version]
- Kringel, R.; Rechenburg, A.; Kuitcha, D.; Fouépé, A.; Bellenberg, S.; Kengne, I.M.; Fomo, M.A. Mass balance of nitrogen and potassium in urban groundwater in Central Africa, Yaounde/Cameroon. Sci. Total Environ. 2016, 547, 382–395. [Google Scholar] [CrossRef] [Green Version]
- Adimalla, N.; Qian, H.; Tiwari, D.M. Groundwater chemistry, distribution and potential health risk appraisal of nitrate enriched groundwater: A case study from the semi-urban region of South India. Ecotoxicol. Environ. Saf. 2020, 207, 111277. [Google Scholar] [CrossRef] [PubMed]
- Janža, M.; Prestor, J.; Pestotnik, S.; Jamnik, B. Nitrogen mass balance and pressure impact model applied to an urban aquifer. Water 2020, 12, 1171. [Google Scholar] [CrossRef] [Green Version]
- Wakida, F.T.; Lerner, D.N. Non-agricultural sources of groundwater nitrate: A review and case study. Water Res. 2005, 39, 3–16. [Google Scholar] [CrossRef] [PubMed]
- Koda, E.; Sieczka, A.; Osinski, P. Ammonium Concentration and Migration in Groundwater in the Vicinity of Waste Management Site Located in the Neighborhood of Protected Areas of Warsaw, Poland. Sustainability 2016, 8, 1253. [Google Scholar] [CrossRef] [Green Version]
- Simmons, R.C.; Gold, A.J.; Groffman, P.M. Nitrate dynamics in riparian forests: Groundwater studies. J. Environ. Qual. 1992, 21, 659–665. [Google Scholar] [CrossRef] [Green Version]
- Moore, K.B.; Ekwurzel, B.; Esser, B.K.; Hudson, G.B.; Moran, J.E. Sources of groundwater nitrate revealed using residence time and isotope methods. Appl. Geochem. 2006, 21, 1016–1029. [Google Scholar] [CrossRef] [Green Version]
- Zhang, Q.; Qian, H.; Xu, P.; Li, W.; Feng, W.; Liu, R. Effect of hydrogeological conditions on groundwater nitrate pollution and human health risk assessment of nitrate in Jiaokou Irrigation District. J. Clean. Prod. 2021, 298, 126783. [Google Scholar] [CrossRef]
- Huang, G.; Liu, C.; Zhang, Y.; Chen, Z. Groundwater is important for the geochemical cycling of phosphorus in rapidly urbanized areas: A case study in the Pearl River Delta. Environ. Pollut. 2020, 260, 114079. [Google Scholar] [CrossRef]
- Mittal, A.; Singh, R.; Chakma, S.; Goel, G. Permeable reactive barrier technology for the remediation of groundwater contaminated with nitrate and phosphate resulted from pit-toilet leachate. J. Water Process. Eng. 2020, 37, 101471. [Google Scholar] [CrossRef]
- Horváth, E. Soil and Groundwater Protection; Digital Textbook Library; TÁMOP: Hungary, Budapest, 2011; Volume 4. [Google Scholar]
- Foster, S.S.D. The interdependence of groundwater and urbanisation in rapidly developing cities. Urban Water 2001, 3, 185–192. [Google Scholar] [CrossRef]
- Wijnen, M.; Augeard, B.; Hiller, B.; Ward, C.; Huntjens, P. Managing the Invisible: Understanding and Improving Groundwater Governance. Available online: https://openknowledge.worldbank.org/handle/10986/17228 (accessed on 11 July 2021).
- Jurgens, B.C.; Fram, M.S.; Rutledge, J. Identifying areas of degrading and improving groundwater-quality conditions in the State of California, USA, 1974–2014. Environ. Monit. Assess. 2020, 192, 1–23. [Google Scholar] [CrossRef] [PubMed] [Green Version]
- Kuzichkin, O.R.; Romanov, R.V.; Dorofeev, N.V.; Grecheneva, A.V.; Vasilyev, G.S. The organisation of control over non-centralized water supply under the risk of groundwater dynamics disturbance in karst areas. J. Water Land Dev. 2020, 47, 113–124. [Google Scholar]
- Judeh, T.; Bian, H.; Shahrour, I. GIS-Based Spatiotemporal Mapping of Groundwater Potability and Palatability Indices in Arid and Semi-Arid Areas. Water 2021, 13, 1323. [Google Scholar] [CrossRef]
- Khorasani, H.; Kerachian, R.; Aghayi, M.M.; Zahraie, B.; Zhu, Z. Assessment of the impacts of sewerage network on groundwater quantity and nitrate contamination: Case study of Tehran. In World Environmental and Water Resources Congress 2020: Groundwater, Sustainability, Hydro-Climate/Climate Change, and Environmental Engineering; American Society of Civil Engineers: Reston, VA, USA, 2020; pp. 53–66. [Google Scholar]
- Mester, T.; Balla, D.; Szabó, G. Assessment of Groundwater Quality Changes in the Rural Environment of the Hungarian Great Plain Based on Selected Water Quality Indicators. Water Air Soil Pollut. 2020, 231, 1–14. [Google Scholar] [CrossRef]
- Xiong, G.; An, Q.; Fu, T.; Chen, G.; Xu, X. Evolution analysis and environmental management of intruded aquifers of the Dagu River Basin of China. Sci. Total Environ. 2020, 719, 137260. [Google Scholar] [CrossRef] [PubMed]
- Ghanem, M.; Ahmad, W.; Keilani, Y.; Sawaftah, F.; Schelter, L.; Schuettrumpf, H. Spring water quality in the central West Bank, Palestine. J. Asian Earth Sci. X 2021, 5, 100052. [Google Scholar]
- Zichar, M. Geovisualization-related issues with cognitive aspects. In Proceedings of the 2013 IEEE 4th International Conference on Cognitive Infocommunications (CogInfoCom), Budapest, Hungary, 2–5 December 2013; pp. 503–508. [Google Scholar]
- Jha, M.K.; Shekhar, A.; Jenifer, M.A. Assessing groundwater quality for drinking water supply using hybrid fuzzy-GIS-based water quality index. Water Res. 2020, 179, 115867. [Google Scholar] [CrossRef]
- Patil, V.B.B.; Pinto, S.M.; Govindaraju, T.; Hebbalu, V.S.; Bhat, V.; Kannanur, L.N. Multivariate statistics and water quality index (WQI) approach for geochemical assessment of groundwater quality—A case study of Kanavi Halla Sub-Basin, Belagavi, India. Environ. Geochem. Health 2020, 42, 2667–2684. [Google Scholar] [CrossRef] [PubMed]
- Fang, Y.; Zheng, T.; Zheng, X.; Peng, H.; Wang, H.; Xin, J.; Zhang, B. Assessment of the hydrodynamics role for groundwater quality using an integration of GIS, water quality index and multivariate statistical techniques. J. Environ. Manag. 2020, 273, 111185. [Google Scholar] [CrossRef]
- Güler, C.; Thyne, G.D.; McCray, J.E.; Turner, K.A. Evaluation of graphical and multivariate statistical methods for classification of water chemistry data. Hydrogeol. J. 2002, 10, 455–474. [Google Scholar] [CrossRef]
- Demirel, Z.; Güler, C. Hydrogeochemical evolution of groundwater in a Mediterranean coastal aquifer, Mersin-Erdemli basin (Turkey). Environ. Geol. 2006, 49, 477–487. [Google Scholar] [CrossRef]
- Cloutier, V.; Lefebvre, R.; Therrien, R.; Savard, M.M. Multivariate statistical analysis of geochemical data as indicative of the hydrogeochemical evolution of groundwater in a sedimentary rock aquifer system. J. Hydrol. 2008, 353, 294–313. [Google Scholar] [CrossRef]
- Yidana, S.M.; Banoeng-Yakubo, B.; Akabzaa, T.M. Analysis of groundwater quality using multivariate and spatial analyses in the Keta basin, Ghana. J. Afr. Earth Sci. 2010, 58, 220–234. [Google Scholar] [CrossRef]
- Lin, C.Y.; Abdullah, M.H.; Praveena, S.M.; Yahaya AH, B.; Musta, B. Delineation of temporal variability and governing factors influencing the spatial variability of shallow groundwater chemistry in a tropical sedimentary island. J. Hydrol. 2012, 432, 26–42. [Google Scholar] [CrossRef]
- Farsang, A.; Fejes, I.; Tóth, T.M. Integrated evaluation of urban groundwater hydrogeochemistry in context of fractal behaviour of groundwater level fluctuations. Hydrol. Sci. J. 2017, 62, 1216–1229. [Google Scholar] [CrossRef]
- Hungarian Central Statistical Office (HSCO). 2020. Available online: https://www.ksh.hu/stadat_files/kor/hu/kor0067.html (accessed on 11 July 2021).
- Koudelak, P.; West, S. Sewerage network modelling in Latvia, use of InfoWorks CS and Storm Water Management Model 5 in Liepaja city. Water Environ. J. 2008, 22, 81–87. [Google Scholar] [CrossRef]
- Gil, B.; Wrona, R.; Kawczyński, A. Sewerage network analysis for damage vulnerability in one of cities in the Upper Silesia. J. Civ. Eng. Environ. Archit. 2015, 62, 65–79. [Google Scholar] [CrossRef]
- Hungarian Central Statistical Office (HSCO). 2021. Available online: https://nyilvantarto.hu/hu/statisztikak?stat=kozerdeku (accessed on 11 July 2021).
- Rónai ABonczán, B.; János, E.; Kőrössy, L.; Szepesházy, K.; Ubancsek, J. Geological atlas of the Great Hungarian Plain, Püspökladány (in Hungarian); Hungarian State Geological Institute: Budapest, Hungary, 1980; p. 20. [Google Scholar]
- Michéli, E.; Fuchs, M.; Hegymegi, P.; Stefanovits, P. Classification of the major soils of Hungary and their correlation with the World Reference Base for Soil Resources (WRB). Agrokémia És Talajt. 2006, 55, 19–28. [Google Scholar] [CrossRef]
- Balla, D.; Novák, T.J.; Zichar, M. Approximation of the WRB reference group with the reapplication of archive soil databases. Acta Univ. Sapientiae Agric. Environ. 2016, 8, 27–38. [Google Scholar] [CrossRef] [Green Version]
- Apollaro, C.; Vespasiano, G.; Muto, F.; De Rosa, R.; Barca, D.; Marini, L. Use of mean residence time of water, flowrate, and equilibrium temperature indicated by water geothermometers to rank geothermal resources. Application to the thermal water circuits of Northern Calabria. J. Volcanol. Geotherm. Res. 2016, 328, 147–158. [Google Scholar] [CrossRef]
- Babiker, I.S.; Mohamed, M.A.; Hiyama, T. Assessing groundwater quality using GIS. Water Resour. Manag. 2007, 21, 699–715. [Google Scholar] [CrossRef]
- Adimalla, N.; Taloor, A.K. Hydrogeochemical investigation of groundwater quality in the hard rock terrain of South India using Geographic Information System (GIS) and groundwater quality index (GWQI) techniques. Groundw. Sustain. Dev. 2020, 10, 100288. [Google Scholar] [CrossRef]
- Aravinthasamy, P.; Karunanidhi, D.; Subramani, T.; Roy, P.D. Demarcation of groundwater quality domains using GIS for best agricultural practices in the drought-prone Shanmuganadhi River basin of South India. Environ. Sci. Pollut. Res. 2021, 28, 18423–18435. [Google Scholar] [CrossRef]
- Makki, Z.F.; Zuhaira, A.A.; Al-Jubouri, S.M.; Al-Hamd, R.K.S.; Cunningham, L.S. GIS-based assessment of groundwater quality for drinking and irrigation purposes in central Iraq. Environ. Monit. Assess. 2021, 193, 1–27. [Google Scholar] [CrossRef] [PubMed]
- Balla, D.; Zichar, M.; Tóth, R.; Kiss, E.; Karancsi, G.; Mester, T. Geovisualization techniques of spatial environmental data using different visualization tools. Appl. Sci. 2020, 10, 6701. [Google Scholar] [CrossRef]
- Adhikary, P.P.; Chandrasekharan, H.; Chakraborty, D.; Kamble, K. Assessment of groundwater pollution in West Delhi, India using geostatistical approach. Environ. Monit. Assess. 2009, 167, 599–615. [Google Scholar] [CrossRef]
- Delhomme, J. Kriging in the hydrosciences. Adv. Water Resour. 1978, 1, 251–266. [Google Scholar] [CrossRef]
- Jolliffe, I.T. Principal Component Analysis, 2nd ed.; Springer: New York, NY, USA, 2002. [Google Scholar]
- Fisher, R.A. The use of multiple measurements in taxonomic problems. Ann. Eugen. 1936, 7, 179–188. [Google Scholar] [CrossRef]
- Adekunle, I.M.; Adetunji, M.T.; Gbadebo, A.M.; Banjoko, O.B. Assessment of groundwater quality in a typical rural settlement in Southwest Nigeria. Int. J. Environ. Res. Public Health 2007, 4, 307–318. [Google Scholar] [CrossRef] [Green Version]
- Khan, A.; Khan, H.H.; Umar, R. Impact of land-use on groundwater quality: GIS-based study from an alluvial aquifer in the western Ganges basin. Appl. Water Sci. 2017, 7, 4593–4603. [Google Scholar] [CrossRef] [Green Version]
- Muzenda, F.; Masocha, M.; Misi, S.N. Groundwaterquality assessment using a water quality index and GIS: A case of Ushewokunze Settlement, Harare, Zimbabwe. Phys. Chem. Earth 2019, 112, 134–140. [Google Scholar] [CrossRef]
- Celestino, A.E.M.; Leal, J.A.R.; Cruz, D.A.M.; Vargas, J.T.; De Lara Bashulto, J.; Ramírez, J.M. Identification of the hydrogeochemical processes and assessment of groundwater quality, using multivariate statistical approaches and water quality index in a wastewater irrigated region. Water 2019, 11, 1702. [Google Scholar] [CrossRef] [Green Version]











| Parameter | Mean | St. Deviation | ||||||||||
|---|---|---|---|---|---|---|---|---|---|---|---|---|
| 2011 | 2012 | 2013 | 2017 | 2018 | 2019 | 2011 | 2012 | 2013 | 2017 | 2018 | 2019 | |
| pH | 7.83 | 7.76 | 8.25 | 7.51 | 7.99 | 7.26 | 0.257 | 0.275 | 0.457 | 0.301 | 0.417 | 0.351 |
| EC (µS/cm) | 3524 | 3877 | 3032 | 2845 (+) | 2637 (+) | 2726 (+) | 1194 | 1280 | 1701 | 1785 | 1136 | 1567 |
| NH4+ (mg/L) | 0.539 | 0.609 | 0.691 | 0.529 (+) | 0.653 (+) | 0.512 (+) | 0.288 | 0.337 | 0.373 | 0.545 | 0.773 | 0.505 |
| NO2− (mg/L) | 0.269 | 0.265 | 0.306 | 0.204 (+) | 0.211 (+) | 0.267 (+) | 0.24 | 0.36 | 0.33 | 0.40 | 0.29 | 0.42 |
| NO3− (mg/L) | 327.1 | 361.9 | 187.8 | 142.7 (+) | 109.8 (+) | 163.5 (+) | 217.4 | 266.5 | 164.4 | 159.3 | 129.5 | 170.7 |
| PO43− (mg/L) | 1.36 | 1.12 | 1.22 | 0.39 (+) | 0.65 (+) | 0.49 (+) | 0.93 | 0.78 | 1.09 | 0.39 | 0.65 | 0.49 |
| COD (mg/L) | 5.14 | 5.49 | 6.85 | 7.65 (−) | 7.16 (−) | 7.62 (−) | 1.94 | 1.85 | 3.94 | 3.23 | 5.78 | 3.76 |
| Na (mg/L) | 424.6 | 361.8 | 237.9 | 377.9 (−) | 352.4 (−) | 379.3 (−) | 285.9 | 213.5 | 141.7 | 389.6 | 298.6 | 330.1 |
| Parameter | Minimum | Maximum | ||||||||||
| 2011 | 2012 | 2013 | 2017 | 2018 | 2019 | 2011 | 2012 | 2013 | 2017 | 2018 | 2019 | |
| pH | 7.24 | 7.01 | 7.23 | 7.02 | 7.21 | 6.81 | 8.39 | 8.44 | 9.42 | 8.3 | 8.87 | 8.25 |
| EC (µS/cm) | 1410 | 1360 | 340 | 876 (−) | 1140 (−) | 695 (−) | 5670 | 7080 | 7670 | 9290 (−) | 6380 (+) | 8910 (−) |
| NH4+ (mg/L) | 0.2 | 0.211 | 0.225 | 0.078 (+) | 0.140 (+) | 0.122 (+) | 1.81 | 2.13 | 1.89 | 3.42 (−) | 3.97 (−) | 3.36 (−) |
| NO2− (mg/L) | 0.015 | 0.013 | 0.017 | 0.006 (+) | 0.000 (+) | 0.001 (+) | 1.36 | 1.61 | 1.28 | 1.86 (−) | 1.37 (−) | 1.94 (−) |
| NO3− (mg/L) | 15.38 | 23.35 | 8.36 | 4.46 (+) | 6.95 (+) | 7.61 (+) | 676.8 | 1140 | 564.8 | 616.6 (−) | 538.3 (+) | 645.5 (−) |
| PO43− (mg/L) | 0.21 | 0.05 | 0.07 | 0.03 (+) | 0.03 (+) | 0.04 (+) | 3.52 | 3.43 | 4.07 | 1.54 (+) | 2.76 (+) | 2.14 (+) |
| COD (mg/L) | 1.84 | 1.68 | 2.40 | 2.90 (−) | 1.1 (+) | 1.66 (+) | 9.36 | 10.29 | 18.20 | 17.68 (+) | 36.8 (−) | 16.65 (+) |
| Na (mg/L) | 14.35 | 14.1 | 8.90 | 75.8 (−) | 97.4 (−) | 52.1 (−) | 1120 | 1485 | 653.2 | 2254 (−) | 1828 (−) | 2019 (−) |
| Parameter | Lower Quartile | Upper Quartile | ||||||||||
| 2011 | 2012 | 2013 | 2017 | 2018 | 2019 | 2011 | 2012 | 2013 | 2017 | 2018 | 2019 | |
| pH | 7.65 | 7.56 | 7.92 | 7.29 | 7.68 | 6.96 | 8.01 | 7.91 | 8.56 | 7.74 | 8.29 | 7.41 |
| EC (µS/cm) | 2585 | 3152 | 1950 | 1871 (+) | 1874 (+) | 1511 (+) | 4395 | 4515 | 4310 | 3507 (+) | 3190 (+) | 3792 (+) |
| NH4+ (mg/L) | 0.29 | 0.36 | 0.43 | 0.243 (+) | 0.325 (+) | 0.289 (+) | 0.61 | 0.785 | 0.865 | 0.643 (+) | 0.680 (+) | 0.617 (+) |
| NO2− (mg/L) | 0.03 | 0.04 | 0.052 | 0.021 (+) | 0.009 (+) | 0.024 (+) | 0.32 | 0.297 | 0.416 | 0.167 (+) | 0.300 (+) | 0.308 (+) |
| NO3− (mg/L) | 94.41 | 119.3 | 50.16 | 37.65 (+) | 23.72 (+) | 43.09 (+) | 527.6 | 507.1 | 341.7 | 221.1 (+) | 153.1 (+) | 244.8 (+) |
| PO43− (mg/L) | 0.54 | 0.385 | 0.374 | 0.095 (+) | 0.215 (+) | 0.137 (+) | 2.35 | 1.67 | 1.75 | 0.577 (+) | 0.863 (+) | 0.604 (+) |
| COD (mg/L) | 3.58 | 3.54 | 4.02 | 5.24 (−) | 3.59 (+) | 4.57 (−) | 6.57 | 6.29 | 8.05 | 9.89 (−) | 8.48 (−) | 10.1 (−) |
| Na (mg/L) | 209.1 | 215.1 | 132.2 | 154.1 (−) | 182.4 (−) | 185.4 (−) | 645.2 | 395.6 | 312.8 | 422.5 (−) | 447.8 (−) | 477.9 (−) |
| Classification Results a,c | |||||
|---|---|---|---|---|---|
| Sewerage Status | Predicted Group Membership | Total | |||
| 1 | 2 | ||||
| Original | Count | Before sewerage | 175 | 23 | 198 |
| After sewerage | 29 | 91 | 120 | ||
| % | Before sewerage | 88.4 | 11.6 | 100.0 | |
| After sewerage | 24.2 | 75.8 | 100.0 | ||
| Cross-validated b | Count | Before sewerage | 173 | 25 | 198 |
| After sewerage | 31 | 89 | 120 | ||
| % | Before sewerage | 87.4 | 12.6 | 100.0 | |
| After sewerage | 25.8 | 74.2 | 100.0 | ||
| Parameter | pH | EC | NH4+ | NO2− | NO3− | PO43− | COD | Na+ |
|---|---|---|---|---|---|---|---|---|
| pH | 1.000 | |||||||
| EC | −0.115 * | 1.000 | ||||||
| NH4+ | 0.044 | 0.408 ** | 1.000 | |||||
| NO2− | −0.044 | 0.357 ** | 0.335 ** | 1.000 | ||||
| NO3− | −0.112 * | 0.771 ** | 0.297 ** | 0.205 ** | 1.000 | |||
| PO43− | 0.329 ** | 0.112 * | 0.029 | −0.095 | 0.192 ** | 1.000 | ||
| COD | −0.117 * | 0.165 ** | 0.188 ** | 0.221 ** | −0.106 | 0.080 | 1.000 | |
| Na+ | −0.016 | 0.445 ** | 0.066 | 0.173 ** | 0.329 ** | −0.002 | 0.124 * | 1.000 |
| Rotated Component Matrix a | |||
|---|---|---|---|
| Parameters | Component | ||
| 1 | 2 | 3 | |
| NO3− | 0.888 | −0.063 | 0.074 |
| EC | 0.877 | 0.307 | 0.021 |
| Na+ | 0.569 | 0.110 | −0.083 |
| COD | −0.108 | 0.743 | −0.015 |
| NH4+ | 0.212 | 0.717 | 0.147 |
| NO2− | 0.255 | 0.657 | −0.109 |
| PO43− | 0.148 | −0.052 | 0.810 |
| pH | −0.173 | 0.068 | 0.790 |
| Classification Results a,c | |||||
|---|---|---|---|---|---|
| Sewerage Status | Predicted Group Membership | Total | |||
| Before Sewerage | After Sewerage | ||||
| Original | Count | Before sewerage | 43 | 4 | 47 |
| After sewerage | 3 | 70 | 73 | ||
| % | Before sewerage | 91.5 | 8.5 | 100.0 | |
| After sewerage | 4.1 | 95.9 | 100.0 | ||
| Cross-validated b | Count | Before sewerage | 43 | 4 | 47 |
| After sewerage | 3 | 70 | 73 | ||
| % | Before sewerage | 91.5 | 8.5 | 100.0 | |
| After sewerage | 4.1 | 95.9 | 100.0 | ||
Publisher’s Note: MDPI stays neutral with regard to jurisdictional claims in published maps and institutional affiliations. |
© 2021 by the authors. Licensee MDPI, Basel, Switzerland. This article is an open access article distributed under the terms and conditions of the Creative Commons Attribution (CC BY) license (https://creativecommons.org/licenses/by/4.0/).
Share and Cite
Mester, T.; Szabó, G.; Balla, D. Assessment of Shallow Groundwater Purification Processes after the Construction of a Municipal Sewerage Network. Water 2021, 13, 1946. https://doi.org/10.3390/w13141946
Mester T, Szabó G, Balla D. Assessment of Shallow Groundwater Purification Processes after the Construction of a Municipal Sewerage Network. Water. 2021; 13(14):1946. https://doi.org/10.3390/w13141946
Chicago/Turabian StyleMester, Tamás, György Szabó, and Dániel Balla. 2021. "Assessment of Shallow Groundwater Purification Processes after the Construction of a Municipal Sewerage Network" Water 13, no. 14: 1946. https://doi.org/10.3390/w13141946
APA StyleMester, T., Szabó, G., & Balla, D. (2021). Assessment of Shallow Groundwater Purification Processes after the Construction of a Municipal Sewerage Network. Water, 13(14), 1946. https://doi.org/10.3390/w13141946

