The Ecological Relationship of Groundwater–Soil–Vegetation in the Oasis–Desert Transition Zone of the Shiyang River Basin
Abstract
1. Introduction
2. Materials and Methods
2.1. Study Area
2.2. Data Sources and Methods
3. Results
3.1. Surface Soil Moisture and Salt Content
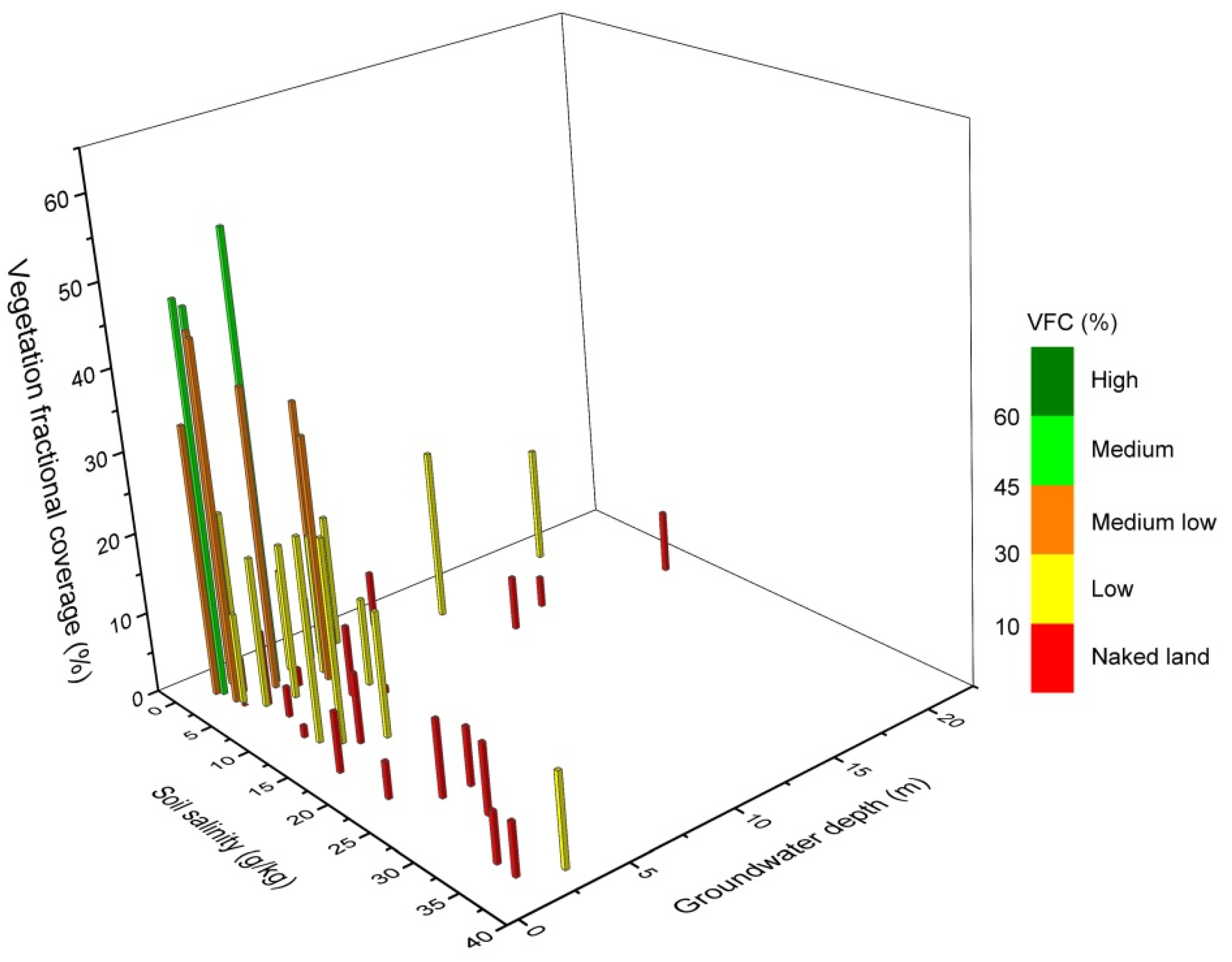
3.2. Ecological Vegetation Coverage and Groundwater Depth
4. Discussion
4.1. Ecological Relationship among Groundwater, Soil and Vegetation
4.2. Ecological Degradation of Transition Zone Dominated by Groundwater
4.3. Suggestions and Measures for Ecological Protection in Different Levels and Districts
5. Conclusions
Author Contributions
Funding
Institutional Review Board Statement
Informed Consent Statement
Data Availability Statement
Acknowledgments
Conflicts of Interest
References
- Odorico, P.D.; Bhattachan, A.; Davis, K.F.; Ravi, S.; Runyan, C.W. Global desertification: Drivers and feedbacks. Adv. Water Resour. 2013, 51, 326–344. [Google Scholar] [CrossRef]
- Yang, X.; Zhang, K.; Jia, B.; Ci, L. Desertification assessment in China: An overview. J. Arid Environ. 2005, 63, 517–531. [Google Scholar] [CrossRef]
- Miyazono, S.; Patiño, R.; Taylor, C.M. Desertification, salinization, and biotic homogenization in a dryland river ecosystem. Sci. Total Environ. 2015, 511, 444–453. [Google Scholar] [CrossRef] [PubMed]
- Zhang, Z.; Huisingh, D. Combating desertification in China: Monitoring, control, management and revegetation. J. Clean. Prod. 2018, 182, 765–775. [Google Scholar] [CrossRef]
- Tao, W. Aeolian desertification and its control in Northern China. Int. Soil Water Conserv. Res. 2014, 2, 34–41. [Google Scholar] [CrossRef]
- Xu, H.; Ye, M.; Li, J. Changes in groundwater levels and the response of natural vegetation to transfer of water to the lower reaches of the Tarim River. J. Environ. Sci. 2007, 19, 1199–1207. [Google Scholar] [CrossRef]
- Zhao, M.; Wang, W.; Wang, Z.; Chen, L.; Ma, Z.; Wang, Q. Water use of Salix in the variably unsaturated zone of a semiarid desert region based on in-situ observation. J. Hydrol. 2020, 591, 125579. [Google Scholar] [CrossRef]
- Bhanja, S.N.; Malakar, P.; Mukherjee, A.; Rodell, M.; Mitra, P.; Sarkar, S. Using Satellite-Based Vegetation Cover as Indicator of Groundwater Storage in Natural Vegetation Areas. Geophys. Res. Lett. 2019, 46, 8082–8092. [Google Scholar] [CrossRef]
- Jin, X.; Wan, L.; Zhang, Y.; Xue, Z.; Yin, Y. A Study of the Relationship between Vegetation Growth and Groundwater in the Yinchuan Plain. Earth Sci. Front. 2007, 14, 197–203. [Google Scholar] [CrossRef]
- You, X.; Liu, J. Describing the spatial–temporal dynamics of groundwater-dependent vegetation (GDV): A theoretical methodology. Ecol. Model. 2018, 383, 127–137. [Google Scholar] [CrossRef]
- Zhang, H.; Wang, X.-S. The impact of groundwater depth on the spatial variance of vegetation index in the Ordos Plateau, China: A semivariogram analysis. J. Hydrol. 2020, 588, 125096. [Google Scholar] [CrossRef]
- Johansen, O.M.; Andersen, D.K.; Ejrnæs, R.; Pedersen, M.L. Relations between vegetation and water level in groundwater dependent terrestrial ecosystems (GWDTEs). Limnologica 2018, 68, 130–141. [Google Scholar] [CrossRef]
- Jin, X.; Hu, G.; Shi, X. Relationship between soil salinization and vegetation growing, groundwater depth in the Yinchuan Plain. Geoscince 2009, 23, 23–27. [Google Scholar]
- Yang, J.; Zhao, J.; Zhu, G.; Wang, Y.; Ma, X.; Wang, J.; Guo, H.; Zhang, Y. Soil salinization in the oasis areas of downstream inland rivers—Case Study: Minqin oasis. Quat. Int. 2020, 537, 69–78. [Google Scholar] [CrossRef]
- Sun, Q.; Zhang, P.; Sun, D.; Liu, A.; Dai, J. Desert vegetation-habitat complexes mapping using Gaofen-1 WFV (wide field of view) time series images in Minqin County, China. Int. J. Appl. Earth Obs. Geoinf. 2018, 73, 522–534. [Google Scholar] [CrossRef]
- Ding, C.; Zhang, L.; Liao, M.; Feng, G.; Dong, J.; Ao, M.; Yu, Y. Quantifying the spatio-temporal patterns of dune migration near Minqin Oasis in northwestern China with time series of Landsat-8 and Sentinel-2 observations. Remote Sens. Environ. 2020, 236, 111498. [Google Scholar] [CrossRef]
- Ren, X.; Yang, X.; Wang, Z.; Zhu, B.; Zhang, D.; Rioual, P. Geochemical evidence of the sources of aeolian sands and their transport pathways in the Minqin Oasis, northwestern China. Quat. Int. 2014, 334–335, 165–178. [Google Scholar] [CrossRef]
- Dong, Z.; Man, D.; Luo, W.; Qian, G.; Wang, J.; Zhao, M.; Liu, S.; Zhu, G.; Zhu, S. Horizontal aeolian sediment flux in the Minqin area, a major source of Chinese dust storms. Geomorphology 2010, 116, 58–66. [Google Scholar] [CrossRef]
- Feng, H.; Ochoa, C.G.; Xi, C.; Danrong, Z. Modeling oasis dynamics driven by ecological water diversion and implications for oasis restoration in arid endorheic basins. J. Hydrol. 2021, 593, 125774. [Google Scholar]
- Wang, J.; Xie, Y.; Wang, X.; Dong, J.; Bie, Q. Detecting Patterns of Vegetation Gradual Changes (2001–2017) in Shiyang River Basin, Based on a Novel Framework. Remote Sens. 2019, 11, 2475. [Google Scholar] [CrossRef]
- Li, L.; Wang, D.; Han, T. Spatial-temporal dynamics of vegetation coverage and responding to climate change in Shiyang River Basin during 2000–2015. J. Desert Res. 2018, 38. [Google Scholar] [CrossRef]
- Huang, F.; Chunyu, X.; Zhang, D.; Chen, X.; Ochoa, C.G. A framework to assess the impact of ecological water conveyance on groundwater-dependent terrestrial ecosystems in arid inland river basins. Sci. Total Environ. 2020, 709, 136155. [Google Scholar] [CrossRef] [PubMed]
- Huang, F.; Zhang, Y.; Zhang, D.; Chen, X. Environmental Groundwater Depth for Groundwater-Dependent Terrestrial Ecosystems in Arid/Semiarid Regions: A Review. Int. J. Environ. Res. Public Health 2019, 16, 763. [Google Scholar] [CrossRef] [PubMed]
- Chunyu, X.; Huang, F.; Xia, Z.; Zhang, D.; Chen, X.; Xie, Y. Assessing the Ecological Effects of Water Transport to a Lake in Arid Regions: A Case Study of Qingtu Lake in Shiyang River Basin, Northwest China. Int. J. Environ. Res. Public Health 2019, 16, 145. [Google Scholar] [CrossRef]
- Cao, L.; Nie, Z.; Liu, M.; Lu, H.; Wang, L. Changes in natural vegetation growth and groundwater depth and their relationship in the Minqin oasis in the Shiyang River Basin. Hydrogeol. Eng. Geol. 2020, 47, 25–33. [Google Scholar] [CrossRef]
- Jin, X.; Wang, S.; Xia, W. Response of vegetation to variation in climate and groundwater in the Qaidam Basin. Hydrogeol. Eng. Geol. 2016, 43, 31–36. [Google Scholar] [CrossRef]
- Jin, X. Quantitative relationship between the desert vegetation and groundwater depth in Ejina Oasis, the Heihe River Basin. Earth Sci. Front. 2010, 17, 181–186. [Google Scholar]
- Dang, X.; Lu, N.; Gu, X.; Jin, X. Groundwater threshold of ecological vegetation in Qaidam Basin. Hydrogeol. Eng. Geol. 2019, 46, 1–8. [Google Scholar] [CrossRef]
- Wang, J.; Zhang, G.; Cui, H.; Wang, Q.; Dong, H.; Hao, J. System index attribute and application of groundwater function zoning in northwest inland area of China. Shuili Xuebao 2020, 51, 796–804. [Google Scholar]
- Wang, J.; Zhang, G.; Yan, M.; Tian, Y.; Wang, Q. Index weight analysis of groundwater function evaluation and zoning system in arid areas. Trans. Chin. Soc. Agric. Eng. 2020, 36, 133–143. [Google Scholar] [CrossRef]
- Liu, F.; Chen, P.; Yu, H.; Ma, J. Spatial distribution characteristics of soil water and salt under different land use types in Minqin Oasis. Arid Land Geogr. 2020, 43, 406–414. [Google Scholar] [CrossRef]
- Ma, Z.; Kang, S.; Zhang, L.; Tong, L.; Su, X. Analysis of impacts of climate variability and human activity on streamflow for a river basin in arid region of northwest China. J. Hydrol. 2008, 352, 239–249. [Google Scholar] [CrossRef]
- Wang, X.; Chen, X.; Ding, Q.; Zhao, X.; Wang, X.; Ma, Z.; Lian, J. Vegetation and soil environmental factor characteristics, and their relationship at different desertification stages: A case study in the Minqin desert-oasis ecotone. Acta Ecol. Sin. 2018, 38, 1569–1580. [Google Scholar]
- Zhang, Y.; Chang, Z. Study on the dynamic vegetation degeneration in the Minqin Desert Area. Arid Zone Res. 2008, 25, 16–21. [Google Scholar] [CrossRef]
- Liu, H.; Liu, S.; Li, Y.; Yang, Z.; Li, Y. Response of riparian vegetation to the change of groundwater level at middle and lower reaches of the Shiyang River. Arid Zone Res. 2012, 29, 335–341. [Google Scholar]
- Kang, S.; Xiaoling, S.U.; Tong, L.; Shi, P.; Yang, X.; Abe, Y.; Taisheng, D.U.; Shen, Q.; Zhang, J. The impacts of human activities on the water-land environment of the Shiyang River basin, an arid region in northwest China. Hydrol. Sci. J. 2004, 49, 413–427. [Google Scholar] [CrossRef]
- Hao, Y.; Xie, Y.; Ma, J.; Zhang, W. The critical role of local policy effects in arid watershed groundwater resources sustainability: A case study in the Minqin oasis, China. Sci. Total Environ. 2017, 601–602, 1084–1096. [Google Scholar] [CrossRef] [PubMed]
- Yue, S.; Kang, S.Z.; Li, F.S.; Lu, Z. Comparison of interpolation methods for depth to groundwater and its temporal and spatial variations in the Minqin oasis of northwest China. Environ. Model. Softw. 2009, 24, 1163–1170. [Google Scholar]
- Zhao, P.; Xu, X.; Qu, J.; Zhang, J.; Ma, Q.; Zhang, H.; Xu, G.; Ma, J.; WU, Y. Relationships between artificial Haloxylon ammodendron communities and soil-water factors in Minqin oasis-desert ecotone. Acta Ecol. Sin. 2017, 37, 1496–1505. [Google Scholar] [CrossRef]
- Bao, S. Soil Agro-Chemistrical Analysis; China Agriculture Press: Beijing, China, 2005. [Google Scholar]
- Tian, F.; Zhang, Y.; Lu, S. Spatial-temporal dynamics of cropland ecosystem water-use efficiency and the responses to agricultural water management in the Shiyang River Basin, northwestern China. Agric. Water Manag. 2020, 237, 106176. [Google Scholar] [CrossRef]
- Wei, W.; Xie, B.; Zhang, X.; Zhang, J. Spatial Heterogeneity of Soil Moisture and Vegetation Cover in Shiyang River Basin, Northwest China. Earth Environ. Sci. 2019, 237, 052003. [Google Scholar] [CrossRef]
- Zhang, S.; Ye, Z.; Chen, Y.; Xu, Y. Vegetation responses to an ecological water conveyance project in the lower reaches of the Heihe River basin. Ecohydrology 2017, 10, e1866. [Google Scholar] [CrossRef]
- Li, M.; Wu, B.; Yan, C.; Zhou, W. Estimation of vegetation fraction in the upper basin of Miyun Reservoir by remote sensing. Resour. Sci. 2004, 26, 153–159. [Google Scholar]
- Zhang, Y.; Zhu, G.; Ma, H.; Yang, J.; Pan, H.; Guo, H.; Wan, Q.; Yong, L. Effects of Ecological Water Conveyance on the Hydrochemistry of a Terminal Lake in an Inland River: A Case Study of Qingtu Lake in the Shiyang River Basin. Water 2019, 11, 1673. [Google Scholar] [CrossRef]
- Mo, K.; Chen, Q.; Chen, C.; Zhang, J.; Wang, L.; Bao, Z. Spatiotemporal variation of correlation between vegetation cover and precipitation in an arid mountain-oasis river basin in northwest China. J. Hydrol. 2019, 574, 138–147. [Google Scholar] [CrossRef]
- Chai, C.; Xu, X.; Tang, W.; Wang, F.; Wang, L. Root system of the main sand fixing plants in desert zone of Shiyanghe River Basin. J. Northwest For. Univ. 2009, 24, 21–26. [Google Scholar]
- Sheng, J.; Qiao, Y.; Liu, H.; Zhai, Z.; Guo, Y. A study on the root system of Haloxylon Aammodendron (C. A. Mey.) Bunge. Acta Agrestia Sin. 2004, 12, 91–94. [Google Scholar]
- Dong, Z.; Li, S.; Zhao, Y.; Lei, J.; Li, C. Stable oxygen-hydrogen isotopes reveal water use strategies of Tamarix taklamakanensis in the Taklimakan Desert, China. J. Arid Land 2020, 12, 115–129. [Google Scholar] [CrossRef]
- Kebin, Z. The growth of man-made forests of Haloxylon ammodendron and their soil water contents in the Minqin desert region, Gansu Province, China. J. Arid Environ. 1989, 17, 109–115. [Google Scholar] [CrossRef]
- Editorial board of Flora of China. Flora of China; Science Press: Beijing, China, 1979; Volume 25, p. 18. [Google Scholar]
- Liu, H.; Wang, J.; Chang, Z.; Ma, Q.; Yang, Z.; Zhan, K. Characteristics of desert flora and vegetation in lower reach of Shiyang River Basin. Chin. J. Ecol. 2006, 25, 113–118. [Google Scholar]
- Ehleringer, J.R.; Phillips, S.L.; Schuster, W.S.F.; Sandquist, D.R. Differential utilization of summer rains by desert plants. Oecologia 1991, 88, 430–434. [Google Scholar] [CrossRef]
- McLendon, T.; Hubbard, P.J.; Martin, D.W. Partitioning the use of precipitation- and groundwater-derived moisture by vegetation in an arid ecosystem in California. J. Arid Environ. 2008, 72, 986–1001. [Google Scholar] [CrossRef]
- Horton, J.L.; Clark, J.L. Water table decline alters growth and survival of Salix gooddingii and Tamarix chinensis seedlings. For. Ecol. Manag. 2001, 140, 239–247. [Google Scholar] [CrossRef]
- Fu, B.; Burgher, I. Riparian vegetation NDVI dynamics and its relationship with climate, surface water and groundwater. J. Arid Environ. 2015, 113, 59–68. [Google Scholar] [CrossRef]
- Amezketa, E. An integrated methodology for assessing soil salinization, a pre-condition for land desertification. J. Arid Environ. 2006, 67, 594–606. [Google Scholar] [CrossRef]
- Thomas, D.S.G.; Middleton, N.J. Salinization: New perspectives on a major desertification issue. J. Arid Environ. 1993, 24, 95–105. [Google Scholar] [CrossRef]
- Yang, H.; Feng, Q.; Guo, X. Variation of groundwater depth and its influence factors in the Minqin Oasis in 1999-2013. J. Desert Res. 2017, 37, 562–570. [Google Scholar] [CrossRef]















| Site Abbreviation | Landform | Number of Quadrats | Groundwater Depth (m) | Vegetation Types | Typical Communities |
|---|---|---|---|---|---|
| NH | Oasis–Desert Transition Zone/Wetland | 17 | 1.4–5.9 | Shrubs/Herbs | Haloxylon ammodendron/Kalidium foliatum |
| WW | Riparian zone | 26 | 1.3–6.0 | Trees/Shrubs/Herbs | Elaeagnus angustifolia/Tamarix spp./Achnatherum splendens |
| QTH | Desert/Wetland | 24 | 1.1–4.0 | Shrubs/Herbs | Kalidium foliatum/Phragmites australis |
| MQW | Oasis–Desert Transition Zone | 8 | 9.0–17.8 | Shrubs/Herbs | Haloxylon ammodendron/Tamarix spp. |
| MQEW | Oasis–Desert Transition Zone | 15 | 5.2–20.8 | Shrubs/Herbs | Haloxylon ammodendron/Nitraria spp. |
| MQEE | Oasis–Desert Transition Zone | 14 | 1.97–5.0 | Trees/Shrubs/Herbs | Kalidium foliatum/Achnatherum splendens |
| R | WW | NH | MQW | MQEW | MQEE | QTH |
|---|---|---|---|---|---|---|
| n | 12 | 12 | 3 | 11 | 5 | 4 |
| PRE/mm | 0.63 | 0.30 | −0.43 | 0.17 | −0.05 | −0.13 |
| TEM/°C | −0.29 | −0.15 | −0.05 | −0.06 | −0.12 | 0.49 |
| RH/% | 0.23 | 0.03 | −0.25 | 0.04 | 0.09 | −0.37 |
R: 0 1 | ||||||
Publisher’s Note: MDPI stays neutral with regard to jurisdictional claims in published maps and institutional affiliations. |
© 2021 by the authors. Licensee MDPI, Basel, Switzerland. This article is an open access article distributed under the terms and conditions of the Creative Commons Attribution (CC BY) license (https://creativecommons.org/licenses/by/4.0/).
Share and Cite
Cao, L.; Nie, Z.; Liu, M.; Wang, L.; Wang, J.; Wang, Q. The Ecological Relationship of Groundwater–Soil–Vegetation in the Oasis–Desert Transition Zone of the Shiyang River Basin. Water 2021, 13, 1642. https://doi.org/10.3390/w13121642
Cao L, Nie Z, Liu M, Wang L, Wang J, Wang Q. The Ecological Relationship of Groundwater–Soil–Vegetation in the Oasis–Desert Transition Zone of the Shiyang River Basin. Water. 2021; 13(12):1642. https://doi.org/10.3390/w13121642
Chicago/Turabian StyleCao, Le, Zhenlong Nie, Min Liu, Lifang Wang, Jinzhe Wang, and Qian Wang. 2021. "The Ecological Relationship of Groundwater–Soil–Vegetation in the Oasis–Desert Transition Zone of the Shiyang River Basin" Water 13, no. 12: 1642. https://doi.org/10.3390/w13121642
APA StyleCao, L., Nie, Z., Liu, M., Wang, L., Wang, J., & Wang, Q. (2021). The Ecological Relationship of Groundwater–Soil–Vegetation in the Oasis–Desert Transition Zone of the Shiyang River Basin. Water, 13(12), 1642. https://doi.org/10.3390/w13121642


