Enhanced Removal of Contaminants of Emerging Concern through Hydraulic Adjustments in Soil Aquifer Treatment
Abstract
1. Introduction
2. Materials and Methods
2.1. Laboratory Setup of 6-m Column
2.2. TWW Characterization and Sample Analysis
2.3. Evaluation of the Removal Efficiency and Sorption Capacity of the Target CECs
2.4. Selection of Target CECs and Their Physico-Chemical Properties
3. Results and Discussion
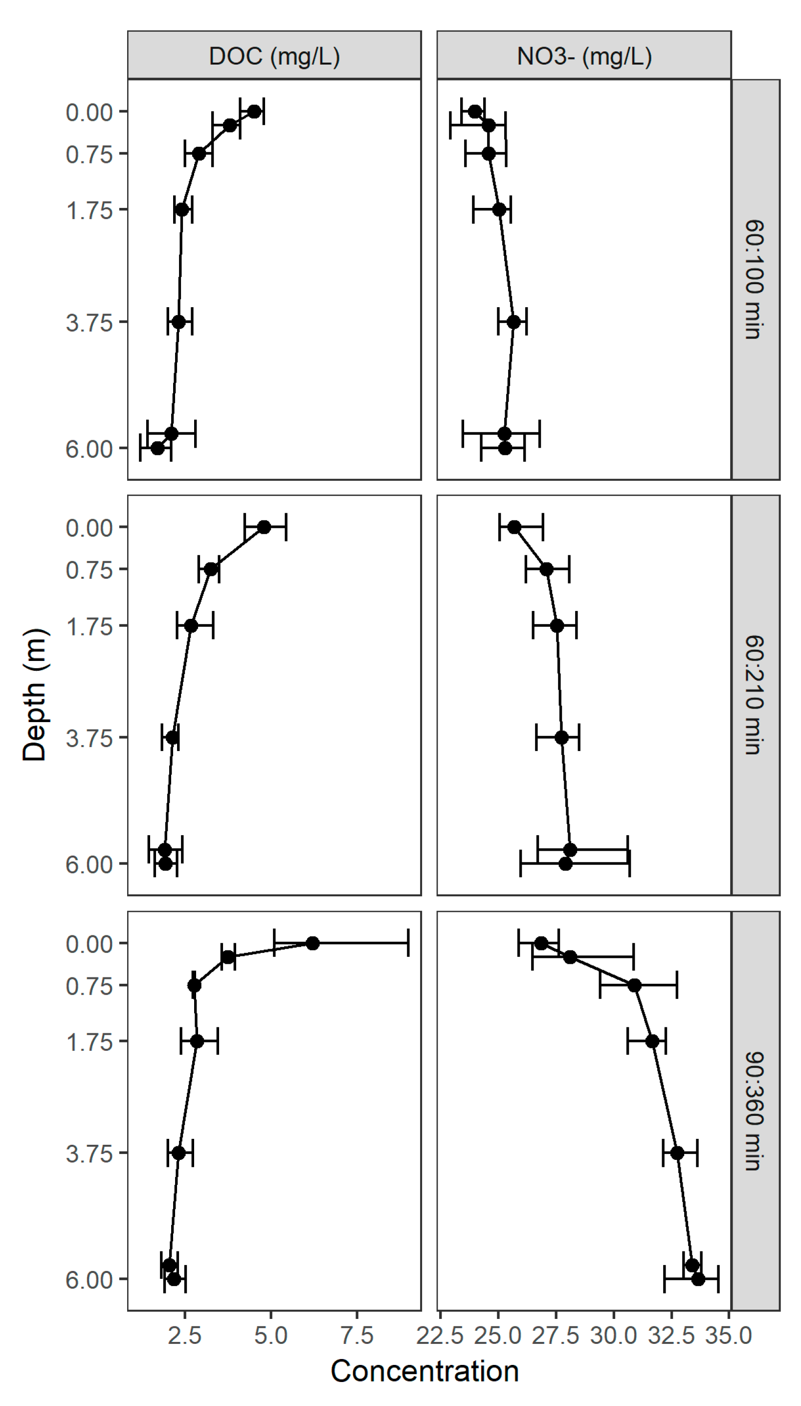
3.1. DO Levels and Removal of DOC and N Species under Different HLCs
3.2. CEC Concentrations in Analyzed TWW
3.3. Potential Removal Processes Affecting CECs
3.4. Influence of HLCs on CEC Removal
4. Conclusions
Supplementary Materials
Author Contributions
Funding
Acknowledgments
Conflicts of Interest
References
- UN Water. Sustainable Development Goal 6: Synthesis Report 2018 on Water and Sanitation; United Nations Publications; United Nations: New York, NY, USA, 2018; ISBN 978-92-1-101370-2. [Google Scholar]
- Boretti, A.; Rosa, L. Reassessing the projections of the World Water Development Report. NPJ Clean Water 2019, 2, 1–6. [Google Scholar] [CrossRef]
- Hussain, I.; Hanjra, M.A. Does irrigation water matter for rural poverty alleviation? Evidence from South and South-East Asia. Water Policy 2003, 5, 429–442. [Google Scholar] [CrossRef]
- Green, T.R.; Taniguchi, M.; Kooi, H.; Gurdak, J.J.; Allen, D.M.; Hiscock, K.M.; Treidel, H.; Aureli, A. Beneath the surface of global change: Impacts of climate change on groundwater. J. Hydrol. 2011, 405, 532–560. [Google Scholar] [CrossRef]
- Lobell, D.B.; Burke, M.B.; Tebaldi, C.; Mastrandrea, M.D.; Falcon, W.P.; Naylor, R.L. Prioritizing Climate Change Adaptation Needs for Food Security in 2030. Science 2008, 319, 607–610. [Google Scholar] [CrossRef]
- Flörke, M.; Kynast, E.; Bärlund, I.; Eisner, S.; Wimmer, F.; Alcamo, J. Domestic and industrial water uses of the past 60 years as a mirror of socio-economic development: A global simulation study. Glob. Environ. Chang. 2013, 23, 144–156. [Google Scholar] [CrossRef]
- Icekson-Tal, N.; Michail, M.; Avraham, O.; Sherer, D.; Shoham, G. Dan Region Reclamation Project: Groundwater Recharge with Municipal Effluent, Recharge Basins Soreq, Yavne 1, Yavne 2 and Yavne 3; Mekorot Water Co. Ltd.: Dan Region Unit, Ramla, Israel, 2011. [Google Scholar]
- Water Reuse Europe. Water Reuse Europe Review 2018; Water Reuse Europe: Bedford, UK, 2018. [Google Scholar]
- European Commission. Regulation (EU) 2020/741 of the European Parliament and of the Council of 25 May 2020 on minimum requirements for water reuse. Off. J. Eur. Union 2020, L 177/63, 32–55. [Google Scholar]
- Cannavo, P.; Richaume, A.; Lafolie, F. Fate of nitrogen and carbon in the vadose zone: In situ and laboratory measurements of seasonal variations in aerobic respiratory and denitrifying activities. Soil Biol. Biochem. 2004, 36, 463–478. [Google Scholar] [CrossRef]
- Sharma, S.K.; Kennedy, M.D. Soil aquifer treatment for wastewater treatment and reuse. Int. Biodeterior. Biodegrad. 2017, 119, 671–677. [Google Scholar] [CrossRef]
- Drewes, J.E.; Heberer, T.; Rauch, T.; Reddersen, K. Fate of Pharmaceuticals During Ground Water Recharge. Groundw. Monit. Remediat. 2003, 23, 64–72. [Google Scholar] [CrossRef]
- Takabe, Y.; Kameda, I.; Suzuki, R.; Nishimura, F.; Kusuda, Y.; Phattarapattamawong, S.; Itoh, S. Evaluation of Dissolved Organic Matter Removals through WWT and SAT Using Pilot-Scale and Lab-Scale Reactors. Water Air Soil Pollut. 2019, 230, 127. [Google Scholar] [CrossRef]
- Lapworth, D.J.; Baran, N.; Stuart, M.E.; Ward, R.S. Emerging organic contaminants in groundwater: A review of sources, fate and occurrence. Environ. Pollut. 2012, 163, 287–303. [Google Scholar] [CrossRef] [PubMed]
- Rojas, M.R.; Leung, C.; Bonk, F.; Zhu, Y.; Edwards, L.; Arnold, R.G.; Sáez, A.E.; Klečka, G. Assessment of the Effectiveness of Secondary Wastewater Treatment Technologies to Remove Trace Chemicals of Emerging Concern. Crit. Rev. Environ. Sci. Technol. 2013, 43, 1281–1314. [Google Scholar] [CrossRef]
- Taheran, M.; Naghdi, M.; Brar, S.K.; Verma, M.; Surampalli, R.Y. Emerging contaminants: Here today, there tomorrow! Environ. Nanotechnol. Monit. Manag. 2018, 10, 122–126. [Google Scholar] [CrossRef]
- Arnold, K.E.; Brown, A.R.; Ankley, G.T.; Sumpter, J.P. Medicating the environment: Assessing risks of pharmaceuticals to wildlife and ecosystems. Phil. Trans. R. Soc. B 2014, 369. [Google Scholar] [CrossRef]
- Fahrenfeld, N.; Ma, Y.; O’Brien, M.; Pruden, A. Reclaimed water as a reservoir of antibiotic resistance genes: Distribution system and irrigation implications. Front. Microbiol. 2013, 4. [Google Scholar] [CrossRef]
- Amy, G.; Drewes, J. Soil Aquifer Treatment (SAT) as a Natural and Sustainable Wastewater Reclamation/Reuse Technology: Fate of Wastewater Effluent Organic Matter (EfOM) and Trace Organic Compounds. Environ. Monit Assess 2007, 129, 19–26. [Google Scholar] [CrossRef] [PubMed]
- Ternes, T.A.; Bonerz, M.; Herrmann, N.; Teiser, B.; Andersen, H.R. Irrigation of treated wastewater in Braunschweig, Germany: An option to remove pharmaceuticals and musk fragrances. Chemosphere 2007, 66, 894–904. [Google Scholar] [CrossRef]
- Ma, L.; Liu, Y.; Zhang, J.; Yang, Q.; Li, G.; Zhang, D. Impacts of irrigation water sources and geochemical conditions on vertical distribution of pharmaceutical and personal care products (PPCPs) in the vadose zone soils. Sci. Total Environ. 2018, 626, 1148–1156. [Google Scholar] [CrossRef]
- Rozman, D.; Hrkal, Z.; Váňa, M.; Vymazal, J.; Boukalová, Z. Occurrence of Pharmaceuticals in Wastewater and Their Interaction with Shallow Aquifers: A Case Study of Horní Beřkovice, Czech Republic. Water 2017, 9, 218. [Google Scholar] [CrossRef]
- Filter, J.; Jekel, M.; Ruhl, A. Impacts of Accumulated Particulate Organic Matter on Oxygen Consumption and Organic Micro-Pollutant Elimination in Bank Filtration and Soil Aquifer Treatment. Water 2017, 9, 349. [Google Scholar] [CrossRef]
- Onesios, K.M.; Bouwer, E.J. Biological removal of pharmaceuticals and personal care products during laboratory soil aquifer treatment simulation with different primary substrate concentrations. Water Res. 2012, 46, 2365–2375. [Google Scholar] [CrossRef]
- Phattarapattamawong, S.; Takabe, Y.; Echigo, S.; Itoh, S. Control of disinfection byproduct (DBP) precursors by soil aquifer treatment (SAT): What length of hydraulic retention time (HRT) is necessary? Water Supply 2016, 16, 1648–1658. [Google Scholar] [CrossRef]
- Wei, L.; Qin, K.; Zhao, N.; Noguera, D.R.; Qiu, W.; Zhao, Q.; Kong, X.; Zhang, W.; Kabutey, F.T. Transformation of erythromycin during secondary effluent soil aquifer recharging: Removal contribution and degradation path. J. Environ. Sci. 2017, 51, 173–180. [Google Scholar] [CrossRef] [PubMed]
- Kopchynski, T.; Fox, P.; Alsmadi, B.; Berner, M. The effects of soil type and effluent pre-treatment on soil aquifer treatment. Water Sci. Technol. 1996, 34, 235–242. [Google Scholar] [CrossRef]
- Sopilniak, A.; Elkayam, R.; Lev, O. Nitrification in a soil-aquifer treatment system: Comparison of potential nitrification and concentration profiles in the vadose zone. Environ. Sci. Process. Impacts 2017, 19, 1571–1582. [Google Scholar] [CrossRef] [PubMed]
- Crites, R.W.; Reed, S.C.; Bastian, R. Land Treatment Systems for Municipal and Industrial Wastes; McGraw Hill Professional: New York, NY, USA, 2000. [Google Scholar]
- Elkayam, R.; Sopliniak, A.; Gasser, G.; Pankratov, I.; Lev, O. Oxidizer Demand in the Unsaturated Zone of a Surface-Spreading Soil Aquifer Treatment System. Vadose Zone J. 2015, 14. [Google Scholar] [CrossRef]
- Ben Moshe, S.; Weisbrod, N.; Barquero, F.; Sallwey, J.; Orgad, O.; Furman, A. On the role of operational dynamics in biogeochemical efficiency of a soil aquifer treatment system. Hydrol. Earth Syst. Sci. 2020, 24, 417–426. [Google Scholar] [CrossRef]
- Silver, M.; Selke, S.; Balsaa, P.; Wefer-Roehl, A.; Kübeck, C.; Schüth, C. Fate of five pharmaceuticals under different infiltration conditions for managed aquifer recharge. Sci. Total Environ. 2018, 642, 914–924. [Google Scholar] [CrossRef]
- US EPA. Process Design Manual: Land Treatment of Municipal Wastewater Effluents; U.S. Environmental Protection Agency: Cincinnati, OH, USA, 2006; p. 193.
- Martins, T.; Leitão, T.E.; Carvalho, M.R. Assessment of Wastewater Contaminants Retention for a Soil-aquifer Treatment System Using Soil-column Experiments. Procedia Earth Planet. Sci. 2017, 17, 332–335. [Google Scholar] [CrossRef]
- Fox, P.; Aboshanp, W.; Alsamadi, B. Analysis of soils to demonstrate sustained organic carbon removal during soil aquifer treatment. J. Environ. Qual. 2005, 34, 156–163. [Google Scholar]
- Essandoh, H.M.K.; Tizaoui, C.; Mohamed, M.H.A. Removal of dissolved organic carbon and nitrogen during simulated soil aquifer treatment. Water Res. 2013, 47, 3559–3572. [Google Scholar] [CrossRef]
- DIN Deutsches Institut für Normung e.V. DIN 38407-36:2014-09, Deutsche Einheitsverfahren zur Wasser-, Abwasser- und Schlammuntersuchung_- Gemeinsam erfassbare Stoffgruppen (Gruppe_F)_- Teil_36: Bestimmung ausgewählter Pflanzenschutzmittelwirkstoffe und Anderer Organischer Stoffe in Wasser_- Verfahren Mittels Hochleistungs-Flüssigkeitschromatographie und Massenspektrometrischer Detektion (HPLC-MS/MS bzw. -HRMS) nach Direktinjektion_(F_36); Beuth Verlag GmbH: Berlin, Germany, 2014. [Google Scholar]
- Stadtentwässerung Dresden Die Kläranlage Dresden-Kaditz 2018. Available online: https://www.stadtentwaesserung-dresden.de/fileadmin/user_upload/downloads/faltblaetter-broschueren/klaeranlage-dresden-kaditz.pdf (accessed on 19 September 2020).
- He, K.; Asada, Y.; Echigo, S.; Itoh, S. Biodegradation of pharmaceuticals and personal care products in the sequential combination of activated sludge treatment and soil aquifer treatment. Environ. Technol. 2020, 41, 378–388. [Google Scholar] [CrossRef]
- Krupka, K.; Kaplan, D.; Whelan, G.; Serne, R.; Mattigod, S. Understanding Variation in Partition Coefficient, Kd, Values. Volume 1: The Kd Model, Methods of Measurement, and Application of Chemical Reaction Codes; Environmental Protection Agency: Washington, DC, USA, 1999. [Google Scholar]
- Wells, M.J. Log DOW: Key to understanding and regulating wastewater-derived contaminants. Environ. Chem. 2007, 3, 439–449. [Google Scholar] [CrossRef]
- Schaffer, M.; Boxberger, N.; Börnick, H.; Licha, T.; Worch, E. Sorption influenced transport of ionizable pharmaceuticals onto a natural sandy aquifer sediment at different pH. Chemosphere 2012, 87, 513–520. [Google Scholar] [CrossRef] [PubMed]
- Sabljić, A.; Güsten, H.; Verhaar, H.; Hermens, J. QSAR modelling of soil sorption. Improvements and systematics of log KOC vs. log KOW correlations. Chemosphere 1995, 31, 4489–4514. [Google Scholar] [CrossRef]
- Gurke, R.; Rößler, M.; Marx, C.; Diamond, S.; Schubert, S.; Oertel, R.; Fauler, J. Occurrence and removal of frequently prescribed pharmaceuticals and corresponding metabolites in wastewater of a sewage treatment plant. Sci. Total Environ. 2015, 532, 762–770. [Google Scholar] [CrossRef] [PubMed]
- Reemtsma, T.; Miehe, U.; Duennbier, U.; Jekel, M. Polar pollutants in municipal wastewater and the water cycle: Occurrence and removal of benzotriazoles. Water Res. 2010, 44, 596–604. [Google Scholar] [CrossRef]
- Loos, R.; Carvalho, R.; António, D.C.; Comero, S.; Locoro, G.; Tavazzi, S.; Paracchini, B.; Ghiani, M.; Lettieri, T.; Blaha, L.; et al. EU-wide monitoring survey on emerging polar organic contaminants in wastewater treatment plant effluents. Water Res. 2013, 47, 6475–6487. [Google Scholar] [CrossRef]
- Molins-Delgado, D.; Silvia Díaz-Cruz, M.; Barceló, D. Removal of polar UV stabilizers in biological wastewater treatments and ecotoxicological implications. Chemosphere 2015, 119, S51–S57. [Google Scholar] [CrossRef]
- Castronovo, S.; Wick, A.; Scheurer, M.; Nödler, K.; Schulz, M.; Ternes, T.A. Biodegradation of the artificial sweetener acesulfame in biological wastewater treatment and sandfilters. Water Res. 2017, 110, 342–353. [Google Scholar] [CrossRef]
- He, K.; Echigo, S.; Itoh, S. Effect of operating conditions in soil aquifer treatment on the removals of pharmaceuticals and personal care products. Sci. Total Environ. 2016, 565, 672–681. [Google Scholar] [CrossRef] [PubMed]
- Wiese, B.; Massmann, G.; Jekel, M.; Heberer, T.; Dünnbier, U.; Orlikowski, D.; Grützmacher, G. Removal kinetics of organic compounds and sum parameters under field conditions for managed aquifer recharge. Water Res. 2011, 45, 4939–4950. [Google Scholar] [CrossRef] [PubMed]
- Schmidt, C.K.; Lange, F.T.; Brauch, H.-J. Characteristics and evaluation of natural attenuation processes for organic micropollutant removal during riverbank filtration. Water Supply 2007, 7, 1–7. [Google Scholar] [CrossRef]
- Glorian, H.; Börnick, H.; Sandhu, C.; Grischek, T. Water Quality Monitoring in Northern India for an Evaluation of the Efficiency of Bank Filtration Sites. Water 2018, 10, 1804. [Google Scholar] [CrossRef]
- Löffler, D.; Römbke, J.; Meller, M.; Ternes, T.A. Environmental Fate of Pharmaceuticals in Water/Sediment Systems. Environ. Sci. Technol. 2005, 39, 5209–5218. [Google Scholar] [CrossRef]
- Martínez-Hernández, V.; Meffe, R.; Herrera López, S.; de Bustamante, I. The role of sorption and biodegradation in the removal of acetaminophen, carbamazepine, caffeine, naproxen and sulfamethoxazole during soil contact: A kinetics study. Sci. Total Environ. 2016, 559, 232–241. [Google Scholar] [CrossRef]
- Hermes, N.; Jewell, K.S.; Schulz, M.; Müller, J.; Hübner, U.; Wick, A.; Drewes, J.E.; Ternes, T.A. Elucidation of removal processes in sequential biofiltration (SBF) and soil aquifer treatment (SAT) by analysis of a broad range of trace organic chemicals (TOrCs) and their transformation products (TPs). Water Res. 2019, 163, 114857. [Google Scholar] [CrossRef]
- Laws, B.V.; Dickenson, E.R.V.; Johnson, T.A.; Snyder, S.A.; Drewes, J.E. Attenuation of contaminants of emerging concern during surface-spreading aquifer recharge. Sci. Total Environ. 2011, 409, 1087–1094. [Google Scholar] [CrossRef]
- Funke, J.; Prasse, C.; Lütke Eversloh, C.; Ternes, T.A. Oxypurinol—A novel marker for wastewater contamination of the aquatic environment. Water Res. 2015, 74, 257–265. [Google Scholar] [CrossRef]
- McCance, W.; Jones, O.A.H.; Edwards, M.; Surapaneni, A.; Chadalavada, S.; Currell, M. Contaminants of Emerging Concern as novel groundwater tracers for delineating wastewater impacts in urban and peri-urban areas. Water Res. 2018, 146, 118–133. [Google Scholar] [CrossRef]
- Gasser, G.; Rona, M.; Voloshenko, A.; Shelkov, R.; Tal, N.; Pankratov, I.; Elhanany, S.; Lev, O. Quantitative Evaluation of Tracers for Quantification of Wastewater Contamination of Potable Water Sources. Environ. Sci. Technol. 2010, 44, 3919–3925. [Google Scholar] [CrossRef] [PubMed]
- Schaffer, M.; Börnick, H.; Nödler, K.; Licha, T.; Worch, E. Role of cation exchange processes on the sorption influenced transport of cationic β-blockers in aquifer sediments. Water Res. 2012, 46, 5472–5482. [Google Scholar] [CrossRef] [PubMed]
- Bertelkamp, C.; Verliefde, A.R.D.; Schoutteten, K.; Vanhaecke, L.; Vanden Bussche, J.; Singhal, N.; van der Hoek, J.P. The effect of redox conditions and adaptation time on organic micropollutant removal during river bank filtration: A laboratory-scale column study. Sci. Total Environ. 2016, 544, 309–318. [Google Scholar] [CrossRef] [PubMed]
- Bertelkamp, C.; Reungoat, J.; Cornelissen, E.R.; Singhal, N.; Reynisson, J.; Cabo, A.J.; van der Hoek, J.P.; Verliefde, A.R.D. Sorption and biodegradation of organic micropollutants during river bank filtration: A laboratory column study. Water Res. 2014, 52, 231–241. [Google Scholar] [CrossRef]
- Nham, H.T.T.; Greskowiak, J.; Nödler, K.; Rahman, M.A.; Spachos, T.; Rusteberg, B.; Massmann, G.; Sauter, M.; Licha, T. Modeling the transport behavior of 16 emerging organic contaminants during soil aquifer treatment. Sci. Total Environ. 2015, 514, 450–458. [Google Scholar] [CrossRef]
- Dimkic, M.; Kovacevic, S.; Pusic, M.; Dotlic, M. Modeling of sorption and degradation of selected pharmaceuticals: Case study of Belgrade groundwater source. Geol. Balk Poluos 2017, 47–59. [Google Scholar] [CrossRef]







| Layer | Depths (m) | Gravel (%) | Sand (%) | Silt (%) | Clay (%) | Bulk Density (g/cm3) | TOC (%) |
|---|---|---|---|---|---|---|---|
| 1 | 0.00–1.53 | 0.7 | 93.9 | 2.4 | 3.0 | 1.38 | 0.25 |
| 2 | 1.53–2.58 | 0.6 | 94.4 | 2.1 | 2.9 | 1.36 | 0.10 |
| 3 | 2.58–3.52 | 0.0 | 99.2 | 0.1 | 0.7 | 1.40 | 0.01 |
| 4 | 3.52–4.62 | 0.0 | 97.4 | 0.6 | 2.0 | 1.51 | 0.02 |
| 5 | 4.62–6.00 | 0.4 | 86.4 | 5.6 | 7.6 | 1.48 | 0.05 |
| Scenario | 1.1 | 1.2 | 1.3 | 1.4 | 1.5 | 1.6 | 2.1 | 2.2 | 3 | 4 | 5 |
|---|---|---|---|---|---|---|---|---|---|---|---|
| HLC | 60:100 min 1 | 60:150 min | 60:210 min | 60:240 min | 60:360 min | 60:444 min | 90:225 min | 90:360 min | 120:720 min | 3:4 d | 2:5 d |
| No. of cycles | 116 | 96 | 59 | 48 | 42 | 46 | 51 | 45 | 20 | 8 | 8 |
| Duration (days) | 14 | 14 | 11 | 10 | 24 | 17 | 11 | 14 | 12 | 56 | 56 |
| DOC (mg/L) | Ammonium (mg/L) | Nitrate NO3- (mg/L) | BOD (mg/L) | COD (mg/L) | pH |
|---|---|---|---|---|---|
| 5–11 | 0.4–0.7 | 23–35 | 4 | 32 | 7 |
| CEC Type | Substance | log Kow | pKa 1 | log Dow (pH = 7) | Predominant Charge (pH = 7) | log Koc | log Kd |
|---|---|---|---|---|---|---|---|
| Artificial sweetener | Acesulfame | −0.55 | 3.02 (a) | −1.49 | Anionic | 0.25 | −2.50 |
| Triazole | Benzotriazole | 1.3 | 9.04 (a) | 1.29 | Neutral | 1.69 | −1.87 |
| 4-Methylbenzotriazole | 1.82 | 9.12 (a) | 1.81 | Neutral | 1.96 | −1.75 | |
| 5-Methylbenzotriazole | 1.82 | 9.29 (a) | 1.81 | Neutral | 1.96 | −1.75 | |
| Analgesics/anti-inflammatories | 4-Formylaminoantipyrine | 0.11 | 12.66 (a) | 0.11 | Neutral | 1.08 | −2.13 |
| Diclofenac | 4.26 | 4 (a) | 1.37 | Anionic | 1.73 | −1.85 | |
| Ibuprofen | 3.84 | 4.85 (a) | 1.71 | Anionic | 1.91 | −1.77 | |
| Angiotensin agents | Candesartan | 5.31 | 3.51, 5.85 (a) | 1.04 | Anionic | 1.56 | −1.92 |
| Irbesartan | 5.34 | 5.85 (a) | 4.46 | Anionic | 3.71 | −0.99 | |
| Valsartan | 5.27 | 4.35, 5.86 (a) | 1.65 | Anionic | 1.88 | −1.79 | |
| Antibiotics | Sulfamethoxazole | 0.79 | 6.16 (a) | 0.14 | Anionic | 1.09 | −2.13 |
| Acetylsulfamethoxazole | 0.86 | 5.88 (a) | 0.1 | Anionic | 1.07 | −2.14 | |
| Antidepressant | Venlafaxine | 2.74 | 8.91 (b) | 0.84 | Cationic | 1.46 | −1.97 |
| Antiepileptic | Carbamazepine | 2.77 | 15.96 (a) | 2.77 | Neutral | 2.46 | −1.53 |
| Gabapentin | −1.27 | 4.63 (a), 9.91 (b) | −1.27 | Zwitterion | 0.36 | −2.45 | |
| Gabapentin-Lactam | 3.985 | 3.83 (a) | 1.03 | Anionic | 1.56 | −1.93 | |
| Primidone | 1.12 | 11.5 (a) | 1.12 | Neutral | 1.60 | −1.91 | |
| Antigout agent | Oxypurinol | −1.67 | 6.25 (a) | −2.46 | Anionic | −0.26 | −2.71 |
| Cardiovascular drugs | Atenolol | 0.43 | 9.67 (b) | −2.14 | Cationic | −0.09 | −2.64 |
| Hydrochlorothiazide | −0.58 | 9.09 (a) | −0.58 | Neutral | 0.72 | −2.29 | |
| Metoprolol | 1.76 | 9.67 (b) | −0.81 | Cationic | 0.60 | −2.34 | |
| Contrast media | Amidotrizoic acid | 2.89 | 2.17 (a) | −0.62 | Anionic | 0.70 | −2.30 |
| Iohexol | −1.95 | 11.73 (a) | −1.95 | Neutral | 0.01 | −2.60 | |
| Iomeprol | −1.45 | 11.73 (a) | −1.45 | Neutral | 0.27 | −2.49 | |
| Iopamidol | −0.74 | 11 (a) | −0.74 | Neutral | 0.64 | −2.33 | |
| Iopromide | −0.45 | 11.09 (a) | −0.44 | Neutral | 0.79 | −2.26 | |
| Lipid regulator | Bezafibrate | 3.99 | 3.83 (a) | 0.97 | Anionic | 1.52 | −1.94 |
| Substance | Concentration in TWW (µg/L) | Concentration in Outflow (µg/L) | No. of Measurements 1 | ||
|---|---|---|---|---|---|
| Average | Std. Deviation | Average | Std. Deviation | (TWW/Outflow) | |
| Acesulfame | 4 | 2.97 | 0.31 | 0.27 | 5/3 |
| Benzotriazole | 12.66 | 5.56 | 5.24 | 2.81 | 7/11 |
| 4-Methylbenzotriazole | 9.9 | 1.85 | 5.79 | 1.85 | 4/8 |
| 5-Methylbenzotriazole | 1.35 | 0.3 | 0.25 | 0.09 | 4/8 |
| 4-Formylaminoantipyrine | 3.14 | 0.03 | <DL | 3/3 | |
| Diclofenac | 3.38 | 1 | <DL | 9/11 | |
| Ibuprofen | 0.07 | 0 | 0.01 | 0.02 | 1/4 |
| Candesartan | 1.93 | 0.21 | 1.47 | 0.3 | 3/7 |
| Irbesartan | 0.52 | 0.11 | 0.08 | 0.05 | 3/8 |
| Valsartan | 3.12 | 3.29 | <DL | 4/3 | |
| Sulfamethoxazole | 0.2 | 0.04 | 0.05 | 0.04 | 9/11 |
| Acetylsulfamethoxazole | 0.18 | 0.04 | <DL | 2/4 | |
| Venlafaxine | 0.72 | 0.1 | 0.18 | 0.1 | 4/3 |
| Carbamazepine | 0.99 | 0.36 | 0.71 | 0.36 | 9/11 |
| Gabapentin | 10.41 | 1.38 | 0.82 | 1.11 | 5/3 |
| Gabapentin-Lactam | 1.2 | 0.09 | <DL | 2/2 | |
| Primidone | 0.54 | 0.03 | 0.48 | 0.07 | 4/3 |
| Oxypurinol | 13 | 0 | 13.5 | 1.12 | 1/4 |
| Atenolol | 0.33 | 0.21 | <DL | 2/2 | |
| Hydrochlorothiazide | 2.33 | 0.23 | 1.44 | 0.31 | 4/8 |
| Metoprolol | 1.85 | 1.67 | <DL | 8/11 | |
| Amidotrizoic acid | 4.71 | 0.95 | 2.42 | 1.7 | 8/9 |
| Iohexol | 0.84 | 0.82 | <DL | 3/8 | |
| Iomeprol | 2.29 | 0.92 | <DL | 5/3 | |
| Iopamidol | 2.36 | 2.74 | 0.72 | 0.57 | 4/8 |
| Iopromide | 1.81 | 1.54 | <DL | 8/11 | |
| Bezafibrate | 0.96 | 1.27 | <DL | 7/7 | |
© 2020 by the authors. Licensee MDPI, Basel, Switzerland. This article is an open access article distributed under the terms and conditions of the Creative Commons Attribution (CC BY) license (http://creativecommons.org/licenses/by/4.0/).
Share and Cite
Sallwey, J.; Jurado, A.; Barquero, F.; Fahl, J. Enhanced Removal of Contaminants of Emerging Concern through Hydraulic Adjustments in Soil Aquifer Treatment. Water 2020, 12, 2627. https://doi.org/10.3390/w12092627
Sallwey J, Jurado A, Barquero F, Fahl J. Enhanced Removal of Contaminants of Emerging Concern through Hydraulic Adjustments in Soil Aquifer Treatment. Water. 2020; 12(9):2627. https://doi.org/10.3390/w12092627
Chicago/Turabian StyleSallwey, Jana, Anna Jurado, Felix Barquero, and Jens Fahl. 2020. "Enhanced Removal of Contaminants of Emerging Concern through Hydraulic Adjustments in Soil Aquifer Treatment" Water 12, no. 9: 2627. https://doi.org/10.3390/w12092627
APA StyleSallwey, J., Jurado, A., Barquero, F., & Fahl, J. (2020). Enhanced Removal of Contaminants of Emerging Concern through Hydraulic Adjustments in Soil Aquifer Treatment. Water, 12(9), 2627. https://doi.org/10.3390/w12092627

