Assessing Climate Change Effects on Water Balance in a Monsoon Watershed
Abstract
1. Introduction
2. Data Collection and Methodology
2.1. Study Area
2.2. SWAT Model
2.3. Data Preparation and Model Setup
2.4. SWAT Model Evaluation
2.5. Downscaling and Bias Correction of Future Climate Data
3. Results and Discussion
3.1. Model Evaluation
3.2. Projected Precipitation and Temperature
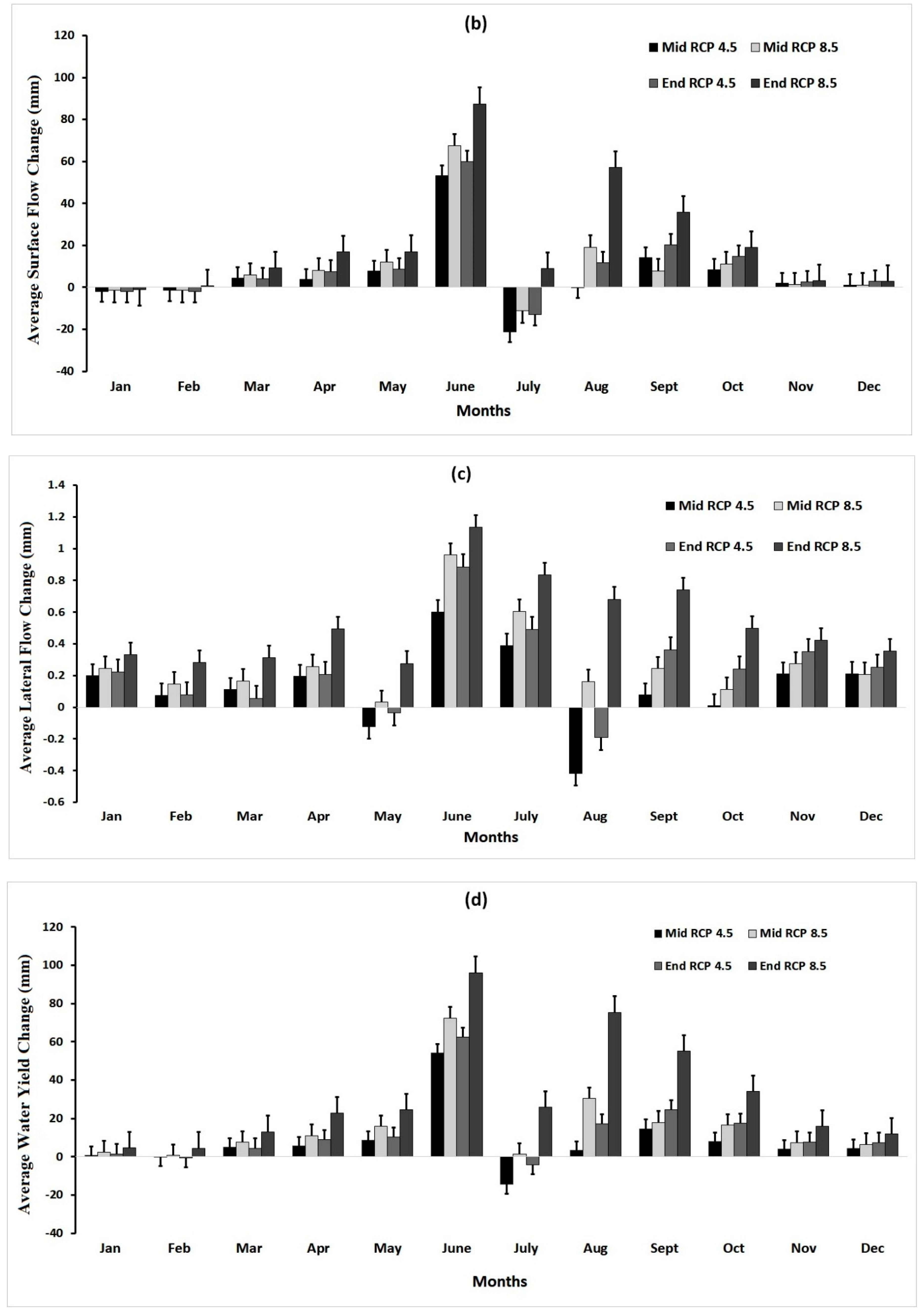
3.3. Monthly Climate Change Impact on Water Balance
3.4. Impact of Climate Change on Annual Water Balance
3.5. GCMs Variability
4. Conclusions
Author Contributions
Funding
Conflicts of Interest
References
- Hagemann, S.; Chen, C.; Clark, D.B.; Folwell, S.; Gosling, S.N.; Haddeland, I.; Hanasaki, N.; Heinke, J.; Ludwig, F.; Voss, F.; et al. Climate change impact on available water resources obtained using multiple global climate and hydrology models. Earth Syst. Dyn. 2013, 4, 129–144. [Google Scholar] [CrossRef]
- Zhang, A.; Zhang, C.; Fu, G.; Wang, B.; Bao, Z.; Zheng, H. Assessments of impacts of climate change and human activities on runoff with SWAT for the Huifa River Basin, Northeast China. Water Resour. Manag. 2012, 26, 2199–2217. [Google Scholar] [CrossRef]
- Edenhofer, O.R.; Pichs-Madruga, Y.; Sokona, E.; Farahani, S.; Kadner, K.; Seyboth, A.; Adler, I.; Baum, S.; Brunner, P.; Eickemeier, B.; et al. (Eds.) IPCC: Summary for Policymakers. In Climate Change 2014: Mitigation of Climate Change. Contribution of Working Group III to the Fifth Assessment Report of the Intergovernmental Panel on Climate Change; Cambridge University Press: Cambridge, UK; New York, NY, USA, 2014. [Google Scholar]
- National Institute of Meteorological Research (NIMR). Understanding of Climate Change II.; NIMR: Seoul, Korea, 2009; 611p.
- National Institute of Meteorological Research (NIMR). The Application of Regional Climate Change Scenario for the National Climate Change (IV); NIMR: Seoul, Korea, 2008; 355p.
- Ministry of Land, Infrastructure and Transport. Nation-Wide River Basins Investigation Report; MOLIT: Seoul, Korea, 2012.
- Ministry of Land, Infrastructure and Transport. The 4th Long-Term Comprehensive Plan of Water Resources (2001–2020); 3rd Revision; K-Water, MOLIT: Seoul, Korea, 2016.
- Pradhanang, S.M.; Mukundan, R.; Schneiderman, E.M.; Zion, M.S.; Anandhi, A.; Pierson, D.C.; Frei, A.; Easton, Z.M.; Fuka, D.; Steenhuis, T.S. Streamflow responses to climate change: Analysis of hydrologic indicators in a New York City water supply watershed. JAWRA J. Am. Water Resour. Assoc. 2013, 49, 1308–1326. [Google Scholar] [CrossRef]
- Jeung, S.J.; Sung, J.H.; Kim, B.S. Assessment of the impacts of climate change on climatic zones over the Korean Peninsula. Adv. Meteorol. 2019, 1–11. [Google Scholar] [CrossRef]
- Ercan, M.B.; Maghami, I.; Bowes, B.D.; Morsy, M.M.; Goodall, J.L. Estimating potential climate change effects on the upper neuse watershed water balance using the SWAT model. JAWRA J. Am. Water Resour. Assoc. 2020, 56. [Google Scholar] [CrossRef]
- Arnold, J.G.; Srinivasan, R.; Muttiah, R.S.; Williams, J.R. Large-area hydrologic modeling and assessment: Part I. Model development. J. Am. Water Resour. Assoc. 1998, 34, 73–89. [Google Scholar] [CrossRef]
- Abbaspour, K.C.; Rouholahnejad, E.; Vaghefi, S.; Srinivasan, R.; Yang, H.; Kløve, B. A continental-scale hydrology and water quality model for Europe: Calibration and uncertainty of a high-resolution large-scale SWAT model. J. Hydrol. 2015, 524, 733–752. [Google Scholar] [CrossRef]
- Uniyal, B.; Jha, M.K.; Verma, A.K. Assessing climate change impact on water balance components of a river basin using SWAT model. Water Resour. Manag. 2015, 29, 4767–4785. [Google Scholar] [CrossRef]
- Bhatta, B.; Shrestha, S.; Shrestha, P.K.; Talchabhadel, R. Evaluation and application of a SWAT model to assess the climate change impact on the hydrology of the Himalayan River Basin. CATENA 2019, 181, 104082. [Google Scholar] [CrossRef]
- Yan, T.; Bai, J.; Toloza, A.; Liu, J.; Shen, Z. Future climate change impacts on streamflow and nitrogen exports based on CMIP5 projection in the Miyun Reservoir Basin, China. Ecohydrol. Hydrobiol. 2018. [Google Scholar] [CrossRef]
- Park, J.-Y.; Yu, Y.-S.; Hwang, S.-J.; Kim, C.; Kim, S.-J. SWAT modeling of best management practices for Chungju dam watershed in South Korea under future climate change scenarios. Paddy Water Environ. 2014, 12, 65–75. [Google Scholar] [CrossRef]
- Ahn, S.R.; Jeong, J.H.; Kim, S.J. Assessing drought threats to agricultural water supplies under climate change by combining the SWAT and MODSIM models for the Geum River basin, South Korea. Hydrol. Sci. J. 2015, 61, 2740–2753. [Google Scholar] [CrossRef]
- Park, J.Y.; Park, G.A.; Kim, S.J. Assessment of future climate change impact on water quality of Chungju Lake, South Korea, using WASP coupled with SWAT. JAWRA J. Am. Water Resour. Assoc. 2013, 49, 1225–1238. [Google Scholar] [CrossRef]
- Shope, C.L.; Maharjan, G.R.; Tenhunen, J.; Seo, B.; Kim, K.; Riley, J.; Arnhold, S.; Koellner, T.; Ok, Y.S.; Peiffer, S.; et al. Using the SWAT model to improve process descriptions and define hydrologic partitioning in South Korea. Hydrol. Earth Syst. Sci. 2014, 18, 539–557. [Google Scholar] [CrossRef]
- Ahn, S.R.; Kim, S.J. Analysis of water balance by surface–groundwater interaction using the SWAT model for the Han River basin, South Korea. Paddy Water Environ. 2018. [Google Scholar] [CrossRef]
- Lee, K.S.; Chung, E.-S. Hydrological effects of climate change, groundwater withdrawal, and land use in a small Korean watershed. Hydrol. Process. 2007, 21, 3046–3056. [Google Scholar] [CrossRef]
- Lee, J.; Jung, C.; Kim, S.; Kim, S. Assessment of climate change impact on future groundwater-level behavior using SWAT groundwater-consumption function in Geum River Basin of South Korea. Water 2019, 11, 949. [Google Scholar] [CrossRef]
- Kim, S.J.; Jun, H.D.; Kim, B.S.; Kim, H.S. Evaluation of climate change impacts on the water resource system of the Han-River Basin in South Korea for the AR4 SRES A2 Scenario. Hydrol. Days 2010. [Google Scholar] [CrossRef]
- Park, J.Y.; Park, M.J.; Ahn, S.R.; Park, G.A.; Yi, J.E.; Kim, G.S.; Srinivasan, R.; Kim, S.J. Assessment of future climate change impacts on water quantity and quality for a mountainous dam watershed using SWAT. Trans. ASABE 2011, 54, 1725–1737. [Google Scholar] [CrossRef]
- Kim, J.; Choi, J.; Choi, C.; Park, S. Impacts of changes in climate and land use/land cover under IPCC RCP scenarios on streamflow in the Hoeya River Basin, Korea. Sci. Total Environ. 2013, 452–453, 181–195. [Google Scholar] [CrossRef]
- Kim, S.; Noh, H.; Jung, J.; Jun, H.; Kim, H.S. Assessment of the impacts of global climate change and regional water projects on streamflow characteristics in the Geum River Basin in Korea. Water 2016, 8, 91. [Google Scholar] [CrossRef]
- Joh, H.-K.; Lee, J.-W.; Park, M.-J.; Shin, H.-J.; Yi, J.-E.; Kim, G.-S.; Srinivasan, R.; Kim, S.-J. Assessing climate change on hydrological components of a small forest watershed through SWAT calibration of evapotranspiration and soil moisture. Trans. ASABE 2011, 54, 1773–1781. [Google Scholar] [CrossRef]
- Nkomozepi, T.; Chung, S.-O. The effects of climate change on the water resources of the Geumho River Basin, Republic of Korea. J. Hydro-Environ. Res. 2014, 8, 358–366. [Google Scholar] [CrossRef]
- Maloney, E.D.; Camargo, S.J.; Chang, E.; Colle, B.; Fu, R.; Geil, K.L.; Hu, Q.; Jiang, X.; Johnson, H.; Karnauskas, K.B.; et al. North American climate in CMIP5 experiments: Part III: Assessment of twenty-first-century projections. J. Clim. 2014, 27, 2230–2270. [Google Scholar] [CrossRef]
- Jenkins, G.; Lowe, J. Handling Uncertainties in the UKCIP02 Scenarios of Climate Change; Hadley Centre Technical Note 44; Met Office: Exeter, UK, 2003.
- Murphy, J.M.; Sexton, D.M.H.; Barnett, D.N.; Jones, G.S.; Webb, M.J.; Collins, M.; Stainforth, D.A. Quantification of modelling uncertainties in a large ensemble of climate change simulations. Nature 2004, 430, 768–772. [Google Scholar] [CrossRef] [PubMed]
- Mizuta, R.; Oouchi, K.; Yoshimura, H.; Noda, A.; Katayama, K.; Yukimoto, S.; Hosaka, M.; Kusunoki, S.; Kawai, H.; Nakagawa, M. 20-km-mesh global climate simulations using JMA-GSM model—Mean climate states. J. Meteorol. Soc. Jpn. 2006, 84, 165–185. [Google Scholar] [CrossRef]
- Christensen, J.H.; Carter, T.; Rummukainen, M.; Amanatidis, G. Evaluating the performance and utility of regional climate models in climate change research: Reducing uncertainties in climate change projections—The PRUDENCE approach. Clim. Chang. 2007, 81 (Suppl. 1), 1–6. [Google Scholar] [CrossRef]
- Arnell, N.W. Climate change and global water resources: SRES emissions and socio-economic scenarios. Glob. Environ. Chang. 2004, 14, 31–52. [Google Scholar] [CrossRef]
- Lee, K.S. Rehabilitation of the hydrologic cycle in the anyangcheon watershed. In Sustainable Water Resources Research Center of 21st Century Frontier Research Program; Seoul National University: Seoul, Korea, 2005. (In Korean) [Google Scholar]
- Bae, D.H.; Jung, I.W.; Chang, H. Potential changes in Korean water resources estimated by high-resolution climate simulation. Clim. Res. 2008, 35, 213–226. [Google Scholar] [CrossRef]
- Jung, I.W.; Bae, D.H.; Lee, B.J. Possible change in Korean streamflow seasonality based on multi-model climate projections. Hydrol. Process. 2012. [Google Scholar] [CrossRef]
- Kim, K.; Kim, B.; Eum, J.; Seo, B.; Shope, C.L.; Peiffer, S. Impacts of land use change and summer monsoon on nutrients and sediment exports from an agricultural catchment. Water 2018, 10, 544. [Google Scholar] [CrossRef]
- Ashu, A.; Lee, S.-I. Reuse of agriculture drainage water in a mixed land-use watershed. Agronomy 2019, 9, 6. [Google Scholar] [CrossRef]
- Eckhardt, K.; Fohrer, N.; Frede, H.-G. Automatic model calibration. Hydrol. Process. 2005, 19, 651–658. [Google Scholar] [CrossRef]
- Neitsch, S.L.; Arnold, J.R.; Kiniry, J.R.; Williams, J.R. Soil and Water Assessment Tool Theoretical Documentation; Version 2005; Soil and Water Research Laboratory, Blackland Research Center: Temple, TX, USA, 2005.
- Gassman, P.W.; Reyes, M.R.; Green, C.H.; Arnold, J.G. The soil and water assessment tool: Historical development, applications, and future research directions. Trans. ASABE 2007, 50, 1211–1250. [Google Scholar] [CrossRef]
- Boughton, W.C. A review of the USDA SCS curve number method. Soil Res. 1989, 27, 511–523. [Google Scholar] [CrossRef]
- Monteith, J.L. Evaporation and the environment. In The State and Movement of Water I Living Organisms XIXth Symposium Society for Experimental Biology; Cambridge University Press: Swansea, Wales, 1965; pp. 205–234. [Google Scholar]
- Allen, R.G. A penman for all seasons. J. Irrig. Drain. Eng. 1986, 112, 348–368. [Google Scholar] [CrossRef]
- Allen, R.G.; Jensen, M.E.; Wright, J.L.; Burman, R.D. Operational estimates of reference evapotranspiration. Agron. J. 1989, 81, 650–662. [Google Scholar] [CrossRef]
- Williams, J.R. Flood routing with variable travel time or variable storage coefficients. Trans. ASAE 1969, 12, 100–103. [Google Scholar] [CrossRef]
- Ghaffari, G.; Keesstra, S.; Ghodousi, J.; Ahmadi, H. SWAT-simulated hydrological impact of land-use change in the Zanjanrood basin, Northwest Iran. Hydrol. Process. 2010, 24, 892–903. [Google Scholar] [CrossRef]
- Abbaspour, K.C.; Vaghefi, S.A.; Yang, H.; Srinivasan, R. Global soil, landuse, evapotranspiration, historical and future weather databases for SWAT Applications. Sci. Data 2019, 6. [Google Scholar] [CrossRef]
- Chaubey, I.; Chiang, L.; Gitau, M.W.; Sayeed, M. Effectiveness of BMPs in improving water quality in a pasture dominated watershed. J. Soil Water Conserv. 2010, 65, 424–437. [Google Scholar] [CrossRef]
- Chiang, L.; Chaubey, I.; Gitau, M.W.; Arnold, J.G. Differentiating impacts of land use changes from pasture management in a CEAP watershed using SWAT model. Trans. ASABE 2010, 53, 1569–1584. [Google Scholar] [CrossRef]
- Her, Y.; Frankenberger, J.; Chaubey, I.; Srinivasan, R. Threshold effects in HRU definition of the soil and water assessment tool. Trans. ASABE 2015, 58, 367–378. [Google Scholar] [CrossRef]
- Arnold, J.G.; Moriasi, D.N.; Gassman, P.W.; Abbaspour, K.C.; White, M.J.; Srinivasan, R.; Santhi, C.; Harmel, R.D.; van Griensven, A.; Van Liew, M.W.; et al. SWAT: Model use, calibration, and validation. Trans. ASABE 2010, 55, 1491–1508. [Google Scholar] [CrossRef]
- Abbaspour, K.C. SWAT-CUP 2012, SWAT Calibration and Uncertainty Program—A User Manual, Eawag; Swiss Federal Institute of Aquatic Science and Technology: Duebendorf, Switzerland, 2013. [Google Scholar]
- Abbaspour, K.C.; Yang, J.; Maximov, I.; Siber, R.; Bogner, K.; Mieleitner, J.; Zobrist, J.; Srinivasan, R. Modelling hydrology and water quality in the pre-alpine/alpine Thur watershed using SWAT. J. Hydrol. 2007, 333, 413–430. [Google Scholar] [CrossRef]
- Beven, K.; Binley, A. The future of distributed models: Model calibration and uncertainty prediction. Hydrol. Process. 1992, 6, 279–298. [Google Scholar] [CrossRef]
- Refsgaard, J.C. Parameterization, calibration and validation of distributed hydrological models. J. Hydrol. 1997, 198, 69–97. [Google Scholar] [CrossRef]
- Santhi, C.; Arnold, J.G.; Williams, J.R.; Dugas, W.A.; Srinivasan, R.; Hauck, L.M. Validation of the swat model on a large rwer basin with point and nonpoint sources. J. Am. Water Resour. Assoc. 2001, 37, 1169–1188. [Google Scholar] [CrossRef]
- Albek, M.; Bakır Öğütveren, Ü.; Albek, E. Hydrological modeling of Seydi Suyu watershed (Turkey) with HSPF. J. Hydrol. 2004, 285, 260–271. [Google Scholar] [CrossRef]
- Schuol, J.; Abbaspour, K.C.; Sarinivasan, R.; Yang, H. Estimation of freshwater availability in the West African sub-continent using the SWAT hydrologic model. J. Hydrol. 2008, 352, 30–49. [Google Scholar] [CrossRef]
- Schuol, J.; Abbaspour, K.C.; Srinivasan, R.; Yang, H. Modelling blue and green water availability in Africa at monthly intervals and subbasin level. Water Resour. Res. 2008, 44, W07406. [Google Scholar] [CrossRef]
- Yang, J.; Reichert, P.; Abbaspour, K.C.; Yang, H. Comparing uncertainty analysis techniques for a SWAT application to Chaohe Basin in China. J. Hydrol. 2008, 358, 1–23. [Google Scholar] [CrossRef]
- Neitsch, S.L.; Arnold, J.G.; Kiniry, J.R.; Williams, J.R. Soil and Water Assessment Tool Theoretical Documentation Version 2009; Texas Water Resources Institute Report No. 406; Texas A&M University: College Station, TX, USA, 2011. [Google Scholar]
- Nash, J.E.; Sutcliffe, J.V. River flow forecasting through conceptual model. Part 1—A discussion of principles. J. Hydrol. 1970, 10, 282–290. [Google Scholar] [CrossRef]
- Moriasi, D.N.; Arnold, J.G.; Van Liew, M.W.; Bingner, R.L.; Harmel, R.D.; Veith, T.L. Model evaluation guidelines for systematic quantification of accuracy in watershed simulations. Trans. Am. Soc. Agric. Bio Eng. 2007, 50, 885–900. [Google Scholar] [CrossRef]
- Parajuli, P.B. Assessing sensitivity of hydrologic responses to climate change from forested watershed in Mississippi. Hydrol. Process. 2010, 24, 3785–3797. [Google Scholar] [CrossRef]
- Sorooshian, S.; Duan, Q.; Gupta, V.K. Calibration of rainfall-runoff models: Application of global optimization to the Sacramento Soil Moisture Accounting Model. Water Resour. Res. 1993, 29, 1185–1194. [Google Scholar] [CrossRef]
- Netz, B.; Davidson, O.R.; Bosch, P.R.; Dave, R.; Meyer, L.A. Climate Change 2007: Mitigation. Contribution of Working Group III to the Fourth Assessment Report of the Intergovernmental Panel on Climate Change. Summary for Policymakers; Intergovernmental Panel on Climate Change (IPCC): Geneva, Switzerland, 2007; p. 23. [Google Scholar]
- van Vuuren, D.P.; Edmonds, J.; Kainuma, M.; Riahi, K.; Thomson, A.; Hibbard, K.; Hurtt, G.C.; Kram, T.; Krey, V.; Lamarque, J.-F.; et al. The representative concentration pathways: An overview. Clim. Chang. 2011, 109, 5–31. [Google Scholar] [CrossRef]
- Taylor, K.E.; Stouffer, R.J.; Meehl, G.A. An overview of CMIP5 and the experiment design. Bull. Am. Meteorol. Soc. 2012, 93, 485–498. [Google Scholar] [CrossRef]
- Eum, H.-I.; Cannon, A.J. Intercomparison of projected changes in climate extremes for South Korea: Application of trend preserving statistical downscaling methods to the CMIP5 ensemble. Int. J. Climatol. 2017, 37, 3381–3397. [Google Scholar] [CrossRef]
- Zhang, X.; Alexander, L.; Hegerl, G.C.; Jones, P.; Tank, A.K.; Peterson, T.C.; Trewin, B.; Zwiers, F.W. Indices for monitoring changes in extremes based on daily temperature and precipitation data. Clim. Chang. 2011, 2, 851–870. [Google Scholar] [CrossRef]
- Cho, J.; Jung, I.; Cho, W.; Lee, E.J.; Kang, D.; Lee, J. Suggestion of user-centered climate service framework and development of user interface platform for climate change adaptation. J. Clim. Chang. Res. 2018, 9, 1–12. (In Korean) [Google Scholar] [CrossRef]
- Cho, J.; Jung, I.; Cho, W.; Hwang, S. Usercentered climate change scenarios technique development and application of Korean peninsula. J. Clim. Chang. Res. 2018, 9, 13–29. (In Korean) [Google Scholar] [CrossRef]
- Kim, D.-H.; Jang, T.; Hwang, S.; Cho, J. Assessing hydrologic impacts of climate change in the Mankyung watershed with different GCM spatial downscaling methods. J. Korean Soc. Agric. Eng. 2019, 61, 81–92. (In Korean) [Google Scholar] [CrossRef]
- Cannon, A.J.; Sobie, S.R.; Murdock, T.Q. Bias correction of GCM precipitation by quantile mapping: How well do methods preserve changes in quantiles and extremes? J. Clim. 2015, 28, 6938–6959. [Google Scholar] [CrossRef]
- Jha, M.; Arnold, J.G.; Gassman, P.W.; Giorgi, F.; Gu, R.R. Climate change sensitivity assessment on Upper Mississippi River Basin streamflows using SWAT. J. Water Resour. Plan. Manag. 2006, 42, 997–1015. [Google Scholar] [CrossRef]
- Wu, Y.; Liu, S.; Abdul-Aziz, O.I. Hydrological effects of the increased CO2 and climate change in the Upper Mississippi River Basin using a modified SWAT. Clim. Chang. 2012, 110, 977–1003. [Google Scholar] [CrossRef]
- Ahn, S.R.; Kim, S.J. Assessment of climate change impacts on the future hydrologic cycle of the Han River Basin in South Korea using a grid-based distributed model. Irrig. Drain. 2016, 65, 11–21. [Google Scholar] [CrossRef]
- Ha, K.-J.; Heo, K.-Y.; Lee, S.-S.; Yun, K.-S.; Jhun, J.-G. Variability in the East Asian monsoon: A review. Meteorol. Appl. 2012, 19, 200–215. [Google Scholar] [CrossRef]
- Allen, R.G.; Pereira, L.S.; Raes, D.; Smith, M. Crop Evapotranspiration-Guidelines for Computing Crop Water Requirements-FAO Irrigation and Drainage Paper 56; FAO: Rome, Italy, 1998. [Google Scholar]
- Morison, J.I.L. Intercellular CO2 Concentration and Stomatal Response to CO2. In Stomatal Function; Zeiger, E., Farquhar, G.D., Cowan, I.R., Eds.; Stanford University Press: Stanford, CA, USA, 1987. [Google Scholar]
- Battipaglia, G.; Saurer, M.; Cherubini, P.; Calfapietra, C.; McCarthy, H.R.; Norby, R.J.; Cotrufo, M.F. Elevated CO2 increases tree-level intrinsic water use efficiency: Insights from carbon and oxygen isotope analyses in tree rings across three forest FACE sites. New Phytol. 2013, 197, 544–554. [Google Scholar] [CrossRef]
- Lammertsma, E.I.; de Boer, H.J.; Dekker, S.C.; Dilcher, D.L.; Lotter, A.F.; Wagner-Cremer, F. Global CO2 rise leads to reduced maximum stomatal conductance in Florida vegetation. Proc. Natl. Acad. Sci. USA 2011, 108, 4035–4040. [Google Scholar] [CrossRef]
- De Kauwe, M.G.; Medlyn, B.E.; Zaehle, S.; Walker, A.P.; Dietze, M.C.; Hickler, T.; Jain, A.K.; Luo, Y.; Parton, W.J.; Prentice, I.C.; et al. Forest water use and water use efficiency at elevated CO2: A model-data intercomparison at two contrasting temperate forest FACE sites. Glob. Chang. Biol. 2013, 19, 1759–1779. [Google Scholar] [CrossRef] [PubMed]
- Ministry of Environment. Water Resources Management in the Republic of Korea: Korea’s Challenge to Flood & Drought with Multi-Purpose Dam and Multi-regional Water Supply System; MOE: Seoul, Korea, 2018.
- Dahal, N.; Shrestha, U.; Tuitui, A.; Ojha, H. Temporal changes in precipitation and temperature and their implications on the streamflow of Rosi River, Central Nepal. Climate 2019, 7, 3. [Google Scholar] [CrossRef]
- Khalilian, S.; Shahvari, N. A SWAT evaluation of the effects of climate change on renewable water resources in Salt Lake Sub-Basin, Iran. AgriEngineering 2019, 1, 44–57. [Google Scholar] [CrossRef]
- Hosseini, N.; Johnston, J.; Lindenschmidt, K.-E. Impacts of climate change on the water quality of a regulated prairie river. Water 2017, 9, 199. [Google Scholar] [CrossRef]
- Xia, J.; Duan, Q.-Y.; Luo, Y.; Xie, Z.-H.; Liu, Z.-Y.; Mo, X.-G. Climate change and water resources: Case study of Eastern Monsoon Region of China. Adv. Clim. Chang. Res. 2017, 8, 63–67. [Google Scholar] [CrossRef]
- Shin, C.K.; Cho, W.H. Flood Forecasting Analysis Procedure in Korea; K-Water: Daejeon, Korea, 2017. (In Korean)










| ID | Station | Latitude (Decimal Degree) | Longitude (Decimal Degree) | Elevation (m) |
|---|---|---|---|---|
| 550 | Osan | 37.18787 | 127.04873 | 41.75 |
| 119 | Suwon | 37.25746 | 126.98300 | 39.81 |
| 549 | Yongin | 37.27011 | 127.22178 | 83 |
| No. | Model Name | Model Expansion | Resolution (°) |
|---|---|---|---|
| 1 | CMCC-CM | Centro Euro-Mediterraneo sui Cambiamenti Climatici—Climate Model | 0.750 × 0.748 |
| 2 | CCSM4 | Community Climate System Mode | 1.250 × 0.942 |
| 3 | CESM1-BGC | Community Earth System Model—Biogeochemical Model | 1.250 × 0.942 |
| 4 | CESM1-CAM5 | Community Earth System Model—Community Atmospheric Model version 5 | 1.250 × 0.942 |
| 5 | MRI-CGCM3 | Meteorological Research Institute | 1.125 × 1.122 |
| 6 | CNRM-CM5 | Centre National de Recherches Meteorologiques | 1.406 × 1.401 |
| 7 | HadGEM2-AO | Hadley Global Environment Model 2—Atmosphere Ocean | 1.875 × 1.250 |
| 8 | HadGEM2-CC | Hadley Global Environment Model 2—Carbon Cycle | 1.875 × 1.250 |
| 9 | HadGEM2-ES | Hadley Global Environment Model 2—Earth System | 1.875 × 1.250 |
| 10 | INM-CM4 | Institute of Numerical Mathematics | 2.000 × 1.500 |
| Parameter Identifier | Parameter | Detailed Parameter Description | Range | Fitted Value |
|---|---|---|---|---|
| r | CN2.mgt | SCS runoff curve number | 0.1~0.5 | 0.2 |
| v | ALPHA_BF.gw | Baseflow alpha factor | 0~1 | 0.09 |
| v | GW_DELAY.gw | Groundwater delay | 10~30 | 24 |
| v | CH_K2.rte | Alluvium main channel hydraulic conductivity | 30~150 | 88 |
| r | SOL_AWC.sol | The capacity of water available | ±0.025 | −0.08 |
| v | GWQMN.gw | Shallow aquifer water threshold depth required to occur for the return flow | 1000~3500 | 1591 |
| v | GW_REVAP.gw | Coefficient of groundwater “revap” | ±0.036 | −0.01 |
| v | ESCO.bsn | Compensation soil evaporation | 0~1 | 0.69 |
| v | REVAPMN.gw | Shallow aquifer water depth threshold required for return flow to occur | 1~30 | 13 |
| r | SOL_Z.sol | Soil surface to bottom layer depth | ±0.025 | 0.04 |
| r | SOL_K.sol | Saturated hydraulic conductivity | ±0.025 | 0.03 |
| v | EPCO.bsn | Compensation plant uptake factor | 0~1 | 0.72 |
| v | OV_N.hru | Overland flow for Manning’s number | ±10 | −1.23 |
| v | RCHRG_DP.gw | Percolation fraction of deep aquifer | 0~1 | 0.51 |
| v | SFTMP.bsn | Temperature of snowfall | ±20 | −14 |
| v | SMTMP.bsn | Temperature base of snow melt | ±20 | −10 |
| v | SMFMX.bsn | Maximum yearly snow melting rate | 0~20 | 5 |
| v | SMFMN.bsn | Minimum yearly snow melting rate | 0~20 | 17 |
| v | TIMP.bsn | Temperature lag snow pack factor | 0~1 | 0.35 |
| Goodness of Fitness | Calibration | Validation |
|---|---|---|
| p-factor | 0.88 | 0.85 |
| r-factor | 0.88 | 1.16 |
| PBIAS | 8.3 | 7.9 |
| R2 | 0.91 | 0.88 |
| NSE | 0.91 | 0.88 |
| RSR | 0.30 | 0.36 |
| Variable | Baseline (mm) | MC RCP 4.5 (mm) | MC RCP 8.5 (mm) | EC RCP 4.5 (mm) | EC RCP 8.5 (mm) |
|---|---|---|---|---|---|
| Precipitation | 1293.7 | 1374.96 (81.26) | 1433.07 (139.37) | 1451 (157.3) | 1596.12 (302.42) |
| Surface Flow | 524.64 | 594.88 (70.24) | 644.76 (120.11) | 640.07 (115.43) | 781.86 (257.22) |
| Water Yield | 689.89 | 783.44 (93.55) | 879.81 (189.92) | 846.33 (156.44) | 1073.17 (383.28) |
| Lateral Flow | 21.41 | 22.95 (1.54) | 24.83 (3.42) | 24.33 (2.92) | 27.77 (6.36) |
| Evapotranspiration | 582 | 569.32 (−12.68) | 532.5 (−49.5) | 581.52 (−0.48) | 502.58 (−79.42) |
| Scenario | GCMs | Precipitation (mm) | Surface Flow (mm) | Water Yield (mm) | Lateral Flow (mm) | ET (mm) | |||||
|---|---|---|---|---|---|---|---|---|---|---|---|
| MC | EC | MC | EC | MC | EC | MC | EC | MC | EC | ||
| CMCC-CM | −141.8 | 128.1 | −119.62 | 86.78 | −161.28 | 83.89 | −2.04 | 1.02 | 19.1 | 41.7 | |
| CCSM4 | 99.5 | 80.5 | 66.22 | 67.31 | 82.74 | 77.92 | 1.6 | 0.99 | 13.1 | 7.7 | |
| CESM1-BGC | 179.2 | 188 | 141.18 | 123.47 | 203.91 | 192.38 | 3.57 | 4.4 | −23.1 | −8.3 | |
| CESM1-CAM5 | 123.4 | 297.3 | 93.76 | 217.16 | 128.71 | 277.66 | 2.26 | 4.33 | −5.1 | 19.2 | |
| RCP 4.5 | MRI-CGCM3 | 8.2 | 108.3 | −4.38 | 75.69 | −2.54 | 81.24 | 0.58 | 1.14 | 9.1 | 25.8 |
| CNRM-CM5 | 66.4 | 252.4 | 52.42 | 172.41 | 76.33 | 257.09 | 1.18 | 5.32 | −9.2 | −7.1 | |
| HadGEM2-AO | 181.8 | 225.5 | 149.14 | 147.1 | 205.49 | 229.02 | 3.45 | 5.55 | −21.7 | −4.4 | |
| HadGEM2-CC | 22.2 | 22.2 | 28.21 | 28.21 | 46.62 | 46.62 | 1.24 | 1.24 | −22.5 | −22.5 | |
| HadGEM2-ES | 248.2 | 262 | 234.47 | 198.16 | 268 | 262.61 | 2.7 | 4.63 | −26.6 | −5.5 | |
| INM-CM4 | 25.5 | 8.7 | 60.95 | 37.97 | 87.52 | 55.93 | 0.84 | 0.54 | −59.9 | −51.4 | |
| CMCC-CM | 37.1 | 196.9 | 29.95 | 206.5 | 21.68 | 270.24 | -0.06 | 2.66 | 17 | −69 | |
| CCSM4 | 208.2 | 159.8 | 215.82 | 148.01 | 295.73 | 225.79 | 3.25 | 3.68 | −84.2 | −66.5 | |
| CESM1-BGC | 45.7 | 444 | 35.03 | 370.68 | 66.95 | 520.17 | 1.75 | 7.94 | −21.8 | −78.9 | |
| CESM1-CAM5 | 142.6 | 276.8 | 126.58 | 232.68 | 224.41 | 347.01 | 4.44 | 5.89 | −78 | −68.9 | |
| RCP 8.5 | MRI-CGCM3 | −6.7 | 366.9 | 16.65 | 278.38 | 83.09 | 437.51 | 2.16 | 8.5 | −87.4 | −71.8 |
| CNRM-CM5 | 345.5 | 128.4 | 260.68 | 120.19 | 359.82 | 212.69 | 5.92 | 4.03 | −18.2 | −81.4 | |
| HadGEM2-AO | 175.3 | 271.4 | 154.53 | 208.91 | 258.58 | 349.22 | 4.87 | 7.39 | −83.8 | −77.4 | |
| HadGEM2-CC | 191.9 | 443.2 | 132.59 | 367.58 | 202.23 | 504.45 | 4.56 | 7.6 | −12.3 | −59.2 | |
| HadGEM2-ES | 139.7 | 608.3 | 142.86 | 533.89 | 224.56 | 729.03 | 3.35 | 9.94 | −77.6 | −117.7 | |
| INM-CM4 | 114.4 | 128.5 | 86.46 | 105.41 | 162.11 | 236.69 | 3.97 | 5.99 | −48.7 | −103.4 | |
© 2020 by the authors. Licensee MDPI, Basel, Switzerland. This article is an open access article distributed under the terms and conditions of the Creative Commons Attribution (CC BY) license (http://creativecommons.org/licenses/by/4.0/).
Share and Cite
Ashu, A.B.; Lee, S.-I. Assessing Climate Change Effects on Water Balance in a Monsoon Watershed. Water 2020, 12, 2564. https://doi.org/10.3390/w12092564
Ashu AB, Lee S-I. Assessing Climate Change Effects on Water Balance in a Monsoon Watershed. Water. 2020; 12(9):2564. https://doi.org/10.3390/w12092564
Chicago/Turabian StyleAshu, Agbortoko Bate, and Sang-Il Lee. 2020. "Assessing Climate Change Effects on Water Balance in a Monsoon Watershed" Water 12, no. 9: 2564. https://doi.org/10.3390/w12092564
APA StyleAshu, A. B., & Lee, S.-I. (2020). Assessing Climate Change Effects on Water Balance in a Monsoon Watershed. Water, 12(9), 2564. https://doi.org/10.3390/w12092564
