Pollutant Concentration Patterns of In-Stream Urban Stormwater Runoff
Abstract
1. Introduction
2. Methods
2.1. Study Area
2.2. Sampling Methodology
2.3. Sample Analysis
2.4. Data Analysis
2.4.1. FF30: Traditional First Flush Analysis
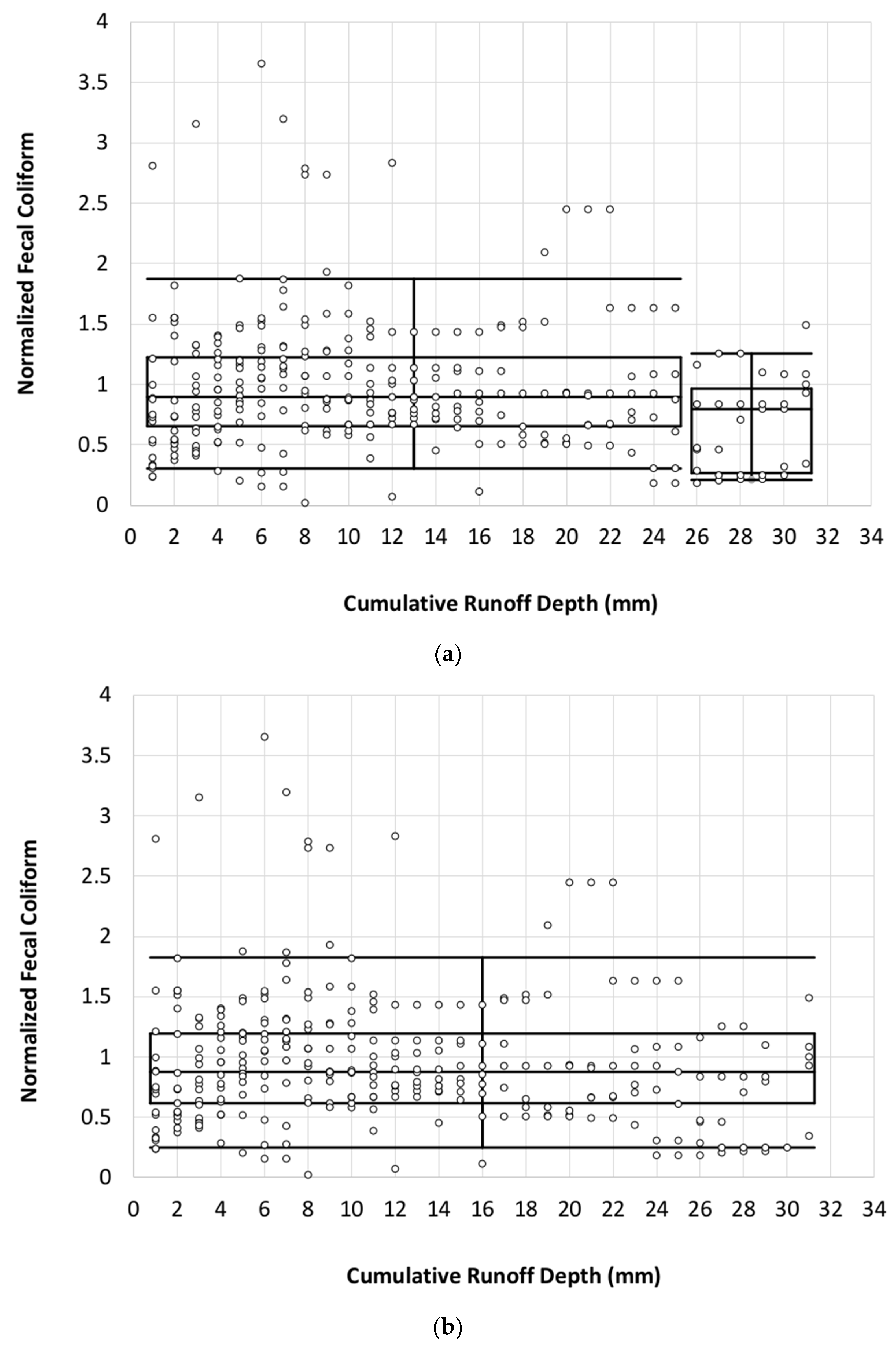
2.4.2. Bach Slice Method
2.4.3. Antecedent Climate and Other Explanatory Variables
2.5. Statistical Analysis
3. Results and Discussion
3.1. FF30: Traditional First Flush Analysis
3.1.1. Overall Observations and Trends
3.1.2. Total Suspended Solids
3.1.3. Microbes
3.1.4. Copper and Nitrate
3.2. Bach Slice Method
3.3. Synthesis of Method Outcomes
3.4. Influence of Antecedent Climate and Event Specific Parameters
3.4.1. Antecedent Climate
3.4.2. Rainfall
3.4.3. Stormwater Flow
4. Conclusions
Author Contributions
Funding
Acknowledgments
Conflicts of Interest
References
- Makepeace, D.K.; Smith, D.W.; Stanley, S.J. Urban stormwater quality: Summary of contaminant data. Crit. Rev. Environ. Sci. Technol. 1995, 25, 93–139. [Google Scholar] [CrossRef]
- Deletic, A. The first flush load of urban surface runoff. Water Res. 1998, 32, 2462–2470. [Google Scholar] [CrossRef]
- Sansalone, J.J.; Buchberger, S.G. Partitioning and First Flush of Metals in Urban Roadway Storm Water. J. Environ. Eng. 1997, 123, 134–143. [Google Scholar] [CrossRef]
- Characklis, G.W.; Wiesner, M.R. Particles, Metals, and Water Quality in Runoff from Large Urban Watershed. J. Environ. Eng. 1997, 123, 753–759. [Google Scholar] [CrossRef]
- Peter, K.T.; Hou, F.; Tian, Z.; Wu, C.; Goehring, M.; Liu, F.; Kolodziej, E.P. More Than a First Flush: Urban Creek Storm Hydrographs Demonstrate Broad Contaminant Pollutographs. Environ. Sci. Technol. 2020, 54, 6152–6165. [Google Scholar] [CrossRef]
- Pachepsky, Y.; Guber, A.; Shelton, D.; Hill, R. E-coli resuspension during an artificial high-flow event in a small first-order creek. In Proceedings of the EGU General Assembly Conference Abstracts, Vienna, Austria, 19–24 April 2009. [Google Scholar]
- Surbeck, C.; Shields, F.D.; Cooper, A.M. Fecal Indicator Bacteria Entrainment from Streambed to Water Column: Transport by Unsteady Flow over a Sand Bed. J. Environ. Qual. 2016, 45, 1046–1053. [Google Scholar] [CrossRef]
- Ferguson, C.; Husman, A.M.D.R.; Altavilla, N.; Deere, D.; Ashbolt, N.J. Fate and Transport of Surface Water Pathogens in Watersheds. Crit. Rev. Environ. Sci. Technol. 2003, 33, 299–361. [Google Scholar] [CrossRef]
- Helsel, D.; Kim, J.; Grizzard, T.; Randall, C.; Hoehn, R. Land use influences on metals in storm drainage. J. Water Pollut. Control Fed. 1979, 51, 709–717. [Google Scholar]
- Saget, A.; Chebbo, G.; Bertrand-Krajewski, J.-L. The first flush in sewer systems. Water Sci. Technol. 1996, 33, 101–108. [Google Scholar] [CrossRef]
- Batroney, T.; Wadzuk, B.M.; Traver, R. Parking Deck’s First Flush. J. Hydrol. Eng. 2010, 15, 123–128. [Google Scholar] [CrossRef]
- Bertrand-Krajewski, J.-L.; Chebbo, G.; Saget, A. Distribution of pollutant mass vs volume in stormwater discharges and the first flush phenomenon. Water Res. 1998, 32, 2341–2356. [Google Scholar] [CrossRef]
- Lee, J.; Bang, K.; Ketchum, L.; Choe, J.; Yu, M. First flush analysis of urban storm runoff. Sci. Total Environ. 2002, 293, 163–175. [Google Scholar] [CrossRef]
- Lee, J.; Yu, M.; Bang, K.; Choe, J. Evaluation of the methods for first flush analysis in urban watersheds. Water Sci. Technol. 2003, 48, 167–176. [Google Scholar] [CrossRef] [PubMed]
- Sansalone, J.J.; Cristina, C.M. First Flush Concepts for Suspended and Dissolved Solids in Small Impervious Watersheds. J. Environ. Eng. 2004, 130, 1301–1314. [Google Scholar] [CrossRef]
- Taebi, A.; Droste, R.L. First flush pollution load of urban stormwater runoff. J. Environ. Eng. Sci. 2004, 3, 301–309. [Google Scholar] [CrossRef]
- Al-Mamun, A.; Shams, S. Nuruzzaman Review on uncertainty of the first-flush phenomenon in diffuse pollution control. Appl. Water Sci. 2020, 10, 53. [Google Scholar] [CrossRef]
- Egemose, S.; Petersen, A.B.; Sønderup, M.J.; Flindt, M.R. First Flush Characteristics in Separate Sewer Stormwater and Implications for Treatment. Sustainability 2020, 12, 5063. [Google Scholar] [CrossRef]
- Bach, P.M.; McCarthy, D.T.; Deletic, A. Redefining the stormwater first flush phenomenon. Water Res. 2010, 44, 2487–2498. [Google Scholar] [CrossRef]
- Deletic, A.B.; Maksimovic, C.T. Evaluation of Water Quality Factors in Storm Runoff from Paved Areas. J. Environ. Eng. 1998, 124, 869–879. [Google Scholar] [CrossRef]
- Kang, J.-H.; Kayhanian, M.; Stenstrom, M.K. Implications of a kinematic wave model for first flush treatment design. Water Res. 2006, 40, 3820–3830. [Google Scholar] [CrossRef]
- Kang, J.-H.; Kayhanian, M.; Stenstrom, M.K. Predicting the existence of stormwater first flush from the time of concentration. Water Res. 2008, 42, 220–228. [Google Scholar] [CrossRef]
- Barco, J.; Papiri, S.; Stenstrom, M.K. First flush in a combined sewer system. Chemosphere 2008, 71, 827–833. [Google Scholar] [CrossRef] [PubMed]
- Hathaway, J.M.; Winston, R.J.; Brown, R.; Hunt, W.; McCarthy, D.T. Temperature dynamics of stormwater runoff in Australia and the USA. Sci. Total Environ. 2016, 559, 141–150. [Google Scholar] [CrossRef] [PubMed]
- Todeschini, S.; Manenti, S.; Creaco, E. Testing an innovative first flush identification methodology against field data from an Italian catchment. J. Environ. Manag. 2019, 246, 418–425. [Google Scholar] [CrossRef] [PubMed]
- Grable, J.L.; Harden, C.P. Geomorphic response of an Appalachian Valley and Ridge stream to urbanization. Earth Surf. Process. Landf. 2006, 31, 1707–1720. [Google Scholar] [CrossRef]
- Yakub, G.P.; Castric, D.A.; Stadterman-Knauer, K.L.; Tobin, M.J.; Blazina, M.; Heineman, T.N.; Yee, G.Y.; Frazier, L. Evaluation of Colilert and Enterolert defined substrate methodology for wastewater applications. Water Environ. Res. 2002, 74, 131–135. [Google Scholar] [CrossRef]
- American Public Health Association; American Water Works Association; Water Environment Federation (APHA). Standard Methods for the Examination of Water and Wastewater; American Public Health Association: Alexandria, VA, USA, 2005. [Google Scholar]
- Hathaway, J.M.; Hunt, W.F. Evaluation of First Flush for Indicator Bacteria and Total Suspended Solids in Urban Stormwater Runoff. Water Air Soil Pollut. 2011, 217, 135–147. [Google Scholar] [CrossRef]
- Hathaway, J.M.; Hunt, W.F.; Simmons, O.D. Statistical Evaluation of Factors Affecting Indicator Bacteria in Urban Storm-Water Runoff. J. Environ. Eng. 2010, 136, 1360–1368. [Google Scholar] [CrossRef]
- McCarthy, D.T. A traditional first flush assessment of E. coli in urban stormwater runoff. Water Sci. Technol. 2009, 60, 2749–2757. [Google Scholar] [CrossRef]
- McCarthy, D.T.; Hathaway, J.; Hunt, W.; Deletic, A. Intra-event variability of Escherichia coli and total suspended solids in urban stormwater runoff. Water Res. 2012, 46, 6661–6670. [Google Scholar] [CrossRef]
- Stein, E.D.; Tiefenthaler, L.L.; Schiff, K.C. Sources, Patterns and Mechanisms of Storm Water Pollutant Loading from Watersheds and Land Uses of the Greater Los Angeles Area, California, USA; Southern California Coastal Water Research Project: Costa Mesa, CA, USA, 2007. [Google Scholar]
- Flint, K.R.; Davis, A.P. Pollutant Mass Flushing Characterization of Highway Stormwater Runoff from an Ultra-Urban Area. J. Environ. Eng. 2007, 133, 616–626. [Google Scholar] [CrossRef]
- Muirhead, R.W.; Davies-Colley, R.; Donnison, A.; Nagels, J. Faecal bacteria yields in artificial flood events: Quantifying in-stream stores. Water Res. 2004, 38, 1215–1224. [Google Scholar] [CrossRef] [PubMed]
- Sherer, B.M.; Miner, J.R.; Moore, J.A.; Buckhouse, J.C. Indicator Bacterial Survival in Stream Sediments. J. Environ. Qual. 1992, 21, 591–595. [Google Scholar] [CrossRef]
- Hathaway, J.M.; Tucker, R.S.; Spooner, J.M.; Hunt, W.F. A Traditional Analysis of the First Flush Effect for Nutrients in Stormwater Runoff from Two Small Urban Catchments. Water Air Soil Pollut. 2012, 223, 5903–5915. [Google Scholar] [CrossRef]
- Epps, T.H.; Hathaway, J.M. Establishing a GIS Framework for the Spatial Identification of Effective Impervious Areas in Gaged Basins: A Review and Case Study. J. Sustain. Water Built Environ. 2018, 4. [Google Scholar] [CrossRef]
- Toran, L.; Grandstaff, D. Variation of Nitrogen Concentrations in Stormpipe Discharge in a Residential Watershed. J. Am. Water Resour. Assoc. 2007, 43, 630–641. [Google Scholar] [CrossRef]
- Perera, T.; McGree, J.M.; Egodawatta, P.; Jinadasa, K.; Goonetilleke, A. Taxonomy of influential factors for predicting pollutant first flush in urban stormwater runoff. Water Res. 2019, 166, 115075. [Google Scholar] [CrossRef]
- Surbeck, C.Q.; Jiang, S.; Ahn, J.H.; Grant, S.B. Flow fingerprinting fecal pollution and suspended solids in stormwater runoff from an urban coastal watershed. Environ. Sci. Technol. 2006, 40, 4435–4441. [Google Scholar] [CrossRef]









| Watershed | Watershed Area (ha) | Percent Impervious | Land Use | Runoff Coefficient Range for Storms | Pollutant | No. of Events | Statistic | ||||
|---|---|---|---|---|---|---|---|---|---|---|---|
| Max | Min | Mean | Median | RSD (%) | |||||||
| Second Creek | 1800 | 45 | Developed, Low Intensity—33% Developed, Medium Intensity—29% Developed, Open Space—18% | 0.08–0.35 | Fecal coliform, MPN/100 mL | 17 | 191,386 | 2583 | 26,476 | 12,365 | 170 |
| E. coli, MPN/100 mL | 13,754 | 654 | 5205 | 3726 | 79 | ||||||
| TSS, mg/L | 783 | 12 | 183 | 113 | 102 | ||||||
| Cu2+, mg/L | 0.0064 | 0.0022 | 0.0038 | 0.0035 | 35 | ||||||
| NO3−, mg/L | 4.77 | 0.09 | 2.46 | 2.52 | 53 | ||||||
| Third Creek | 4213 | 33 | Developed, Low Intensity—37% Developed, Open Space—31% Developed, Medium Intensity—17% | 0.04–0.15 | Fecal coliform, MPN/100 mL | 7 | 374,920 | 1210 | 69,568 | 11,903 | 196 |
| E. coli, MPN/100 mL | 22,829 | 548 | 8420 | 6123 | 99 | ||||||
| TSS, mg/L | 297 | 35 | 132 | 105 | 74 | ||||||
| Cu2+, mg/L | 0.0038 | 0.0015 | 0.0024 | 0.0026 | 34 | ||||||
| NO3−, mg/L | 3.82 | 1.6 | 2.57 | 2.2 | 34 | ||||||
| Site | Pollutant | Fecal Coliform | E. coli | TSS | Cu2+ | NO3− |
|---|---|---|---|---|---|---|
| Second Creek | % storms with FF30 > 0.3 | 53 | 65 | 88 | 81 | 44 |
| Max | 0.53 | 0.6 | 0.75 | 0.49 | 0.53 | |
| Min | 0.12 | 0.11 | 0.13 | 0.21 | 0.15 | |
| Mean | 0.3 | 0.32 | 0.47 | 0.36 | 0.32 | |
| Median * | 0.31 | 0.32 | 0.46 | 0.37 | 0.3 | |
| RSD (%) | 40 | 38 | 38 | 20 | 36 | |
| Third Creek | % storms with FF30 > 0.3 | 71 | 71 | 83 | 86 | 43 |
| Max | 0.87 | 0.88 | 0.55 | 0.46 | 0.39 | |
| Min | 0.14 | 0.25 | 0.29 | 0.27 | 0.25 | |
| Mean | 0.51 | 0.42 | 0.39 | 0.34 | 0.3 | |
| Median | 0.49 | 0.35 | 0.39 | 0.32 | 0.29 | |
| RSD (%) | 60 | 60 | 26 | 19 | 16 |
| Site | Parameter | P30% | PFF | Median FF30 | Initial Group Size (mm) | VFF (mm) | Boxplot Trend |
|---|---|---|---|---|---|---|---|
| Second Creek | Fecal Coliform | 0.554 | 0.0846 ** | 0.31 | 4 | 30 | Inconsistent |
| E. coli | 0.0704 | 0.3159 | 0.32 | 20 | 30 | Inconsistent | |
| TSS | <0.0001 | <0.0001 | 0.46 | 2 | 24 | First flush | |
| Cu2+ | 0.0006 | <0.0001 | 0.37 | 2 | 2 | First flush | |
| NO3− | 0.5192 | 0.2908 | 0.3 | 12 | 20 | Inconsistent | |
| Third Creek | Fecal Coliform | 0.1724 | <0.0001 | 0.46 | 2 | 2 | First flush |
| E. coli | 0.1724 | 0.1350 * | 0.33 | 28 | 2* | No first flush | |
| TSS | 0.0493 | 0.0016 | 0.39 | 2 | 2 | First flush | |
| Cu2+ | 0.0204 | <0.0001 | 0.32 | 6 | 14 | Inconsistent | |
| NO3− | 0.6832 | 0.2124 * | 0.29 | 28 | 8* | No first flush |
| Fecal Coliform | E. coli | TSS | Cu2+ | NO3− | |||||||
|---|---|---|---|---|---|---|---|---|---|---|---|
| rs | p-Value | rs | p-Value* | rs | p-Value | rs | p-Value | rs | p-Value | ||
| Antecedent Climate | Max. Temp28 days | −0.46 | 0.0631 | −0.54 | 0.0249 | −0.50 | 0.0456 | ||||
| Max. Temp2 days | −0.45 | 0.0730 | −0.58 | 0.0140 | −0.47 | 0.0645 | |||||
| Min. Temp28 days | −0.46 | 0.0631 | −0.54 | 0.0249 | −0.50 | 0.0456 | |||||
| Min. Temp2 days | −0.44 | 0.0759 | −0.59 | 0.0313 | −0.48 | 0.0570 | |||||
| Min. RH28 days | −0.48 | 0.0598 | 0.54 | 0.0310 | |||||||
| Total Rainfall28 days | 0.87 | 0.0003 | |||||||||
| ADWD0.1 | 0.46 | 0.0745 | |||||||||
| Rainfall | Total Rainfall | −0.60 | 0.0297 | 0.49 | 0.0869 | ||||||
| Ave. Rainfall Intensity | −0.50 | 0.0824 | −0.70 | 0.0073 | |||||||
| Max. Rainfall Intensity | −0.46 | 0.0996 | −0.71 | 0.0066 | −0.54 | 0.0577 | |||||
| Storm-water flow | Max. Flow Rate | −0.62 | 0.0075 | −0.46 | 0.0608 | −0.61 | 0.0113 | ||||
| Ave. Flow Rate | −0.51 | 0.0374 | −0.60 | 0.0132 | |||||||
© 2020 by the authors. Licensee MDPI, Basel, Switzerland. This article is an open access article distributed under the terms and conditions of the Creative Commons Attribution (CC BY) license (http://creativecommons.org/licenses/by/4.0/).
Share and Cite
Christian, L.; Epps, T.; Diab, G.; Hathaway, J. Pollutant Concentration Patterns of In-Stream Urban Stormwater Runoff. Water 2020, 12, 2534. https://doi.org/10.3390/w12092534
Christian L, Epps T, Diab G, Hathaway J. Pollutant Concentration Patterns of In-Stream Urban Stormwater Runoff. Water. 2020; 12(9):2534. https://doi.org/10.3390/w12092534
Chicago/Turabian StyleChristian, Laurel, Thomas Epps, Ghada Diab, and Jon Hathaway. 2020. "Pollutant Concentration Patterns of In-Stream Urban Stormwater Runoff" Water 12, no. 9: 2534. https://doi.org/10.3390/w12092534
APA StyleChristian, L., Epps, T., Diab, G., & Hathaway, J. (2020). Pollutant Concentration Patterns of In-Stream Urban Stormwater Runoff. Water, 12(9), 2534. https://doi.org/10.3390/w12092534
