Development of a SWAT Hydropower Operation Routine and Its Application to Assessing Hydrological Alterations in the Mekong
Abstract
1. Introduction
2. Development of a Hydropower Reservoir Operation Routine for SWAT
2.1. SWAT Model
2.2. Existing Reservoir Routine in the SWAT
2.3. Hydropower Reservoir Operation Routine (HydROR)
2.4. Evaluation of the HydROR
2.4.1. SWAT with HydROR and HEC-ResSim Model Simulation
2.4.2. Performance Criteria
3. Application of the HydROR
3.1. Study Area
3.2. Hydrological Modelling
3.3. Hydropower Reservoir Simulation
3.4. Climate Change Scenarios
3.5. Analyzing Changes Using Indicators of Hydrological Alternation (IHA Method)
3.6. Scenarios
4. Results
4.1. Performance of HydROR
4.2. Climate Change Impacts on Precipitation and Flow
4.3. Impacts of Operation Rules and Climate Change on Hydropower Production
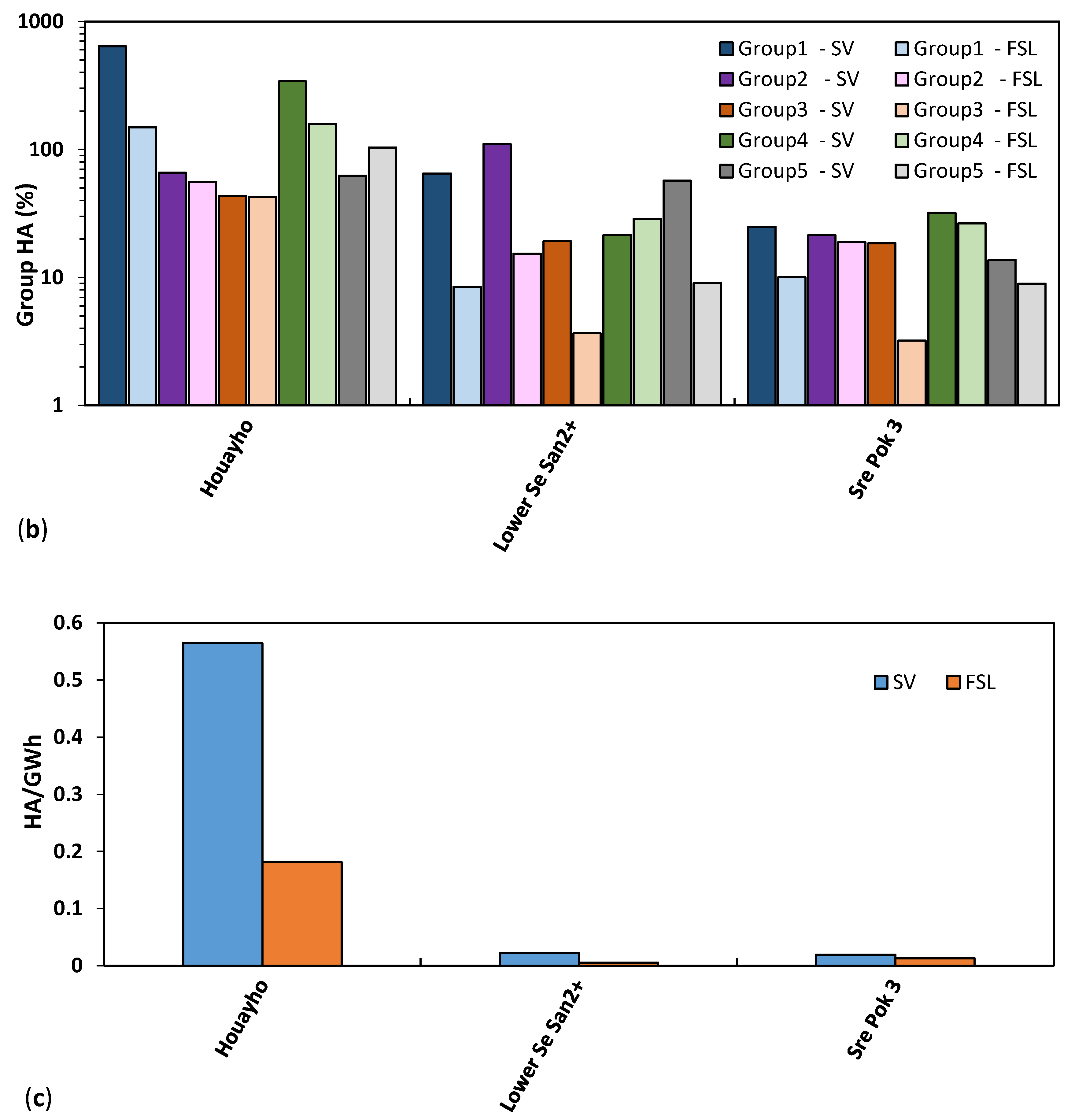
4.4. HA Due to Reservoir Operation and Climate Change
4.5. Predictors for Alteration
5. Discussion
5.1. Impacts of Climate Change on Hydropower Production
5.2. HA Due to Reservoir Operations and Climate Change
5.3. Possible Ecohydrological Consequences
6. Conclusions
Supplementary Materials
Author Contributions
Funding
Acknowledgments
Conflicts of Interest
References
- Berga, L. The role of hydropower in climate change mitigation and adaptation: A review. Engineering 2016, 2, 313–318. [Google Scholar] [CrossRef]
- Kumar, A.; Schei, T.; Ahenkorah, A.; Rodriguez, R.C.; Devernay, J.-M.; Freitas, M.; Hall, D.; Killingtveit, Å.; Liu, Z. Renewable Energy Sources and Climate Change Mitigation; Cambridge University Press: London, UK, 2011; pp. 437–496. [Google Scholar]
- IHA. 2018 Hydropower Status Report; International Hydropower Association: London, UK, 2018. [Google Scholar]
- Yu, P.-S.; Yang, T.-C.; Kuo, C.-M.; Chou, J.-C.; Tseng, H.-W. Climate change impacts on reservoir inflows and subsequent hydroelectric power generation for cascaded hydropower plants. Hydrol. Sci. J. 2014, 59, 1196–1212. [Google Scholar] [CrossRef]
- Sorooshian, S.; Hsu, K.-l.; Coppola, E.; Tomassetti, B.; Verdecchia, M.; Visconti, G. Hydrological Modelling and the Water Cycle: Coupling the Atmospheric and Hydrological Models; Springer Science & Business Media: Berlin, Germany, 2008. [Google Scholar]
- Devi, G.K.; Ganasri, B.P.; Dwarakish, G.S. A review on hydrological models. Aquat. Procedia 2015, 4, 1001–1007. [Google Scholar] [CrossRef]
- Räsänen, T.A.; Joffre, O.M.; Someth, P.; Thanh, C.T.; Keskinen, M.; Kummu, M. Model-Based assessment of water, food, and energy trade-offs in a cascade of multipurpose reservoirs: Case study of the sesan tributary of the mekong river. J. Water Resour. Plan. Manag. 2015, 141, 05014007. [Google Scholar] [CrossRef]
- Ngo, L.A.; Masih, I.; Jiang, Y.; Douven, W. Impact of reservoir operation and climate change on the hydrological regime of the Sesan and Srepok Rivers in the lower Mekong Basin. Clim. Chang. 2016. [Google Scholar] [CrossRef]
- Kondolf, G.M.; Gao, Y.; Annandale, G.W.; Morris, G.L.; Jiang, E.; Zhang, J.; Cao, Y.; Carling, P.; Fu, K.; Guo, Q. Sustainable sediment management in reservoirs and regulated rivers: Experiences from five continents. Earth’s Future 2014, 2, 256–280. [Google Scholar] [CrossRef]
- USACE. Hec-Ressim Reservoir System Simulation User’s Manual, version 3.0.; USACE: Davis, CA, USA, 2007; Volume 512. [Google Scholar]
- Lara, P.G.; Lopes, J.D.; Luz, G.M.; Bonuma, N.B. Reservoir Operation Employing Hec-Ressim: Case Study of Tucuruí Dam, Brazil. In Proceedings of the 6th International Conference on Flood Management, São Paulo, Brazil, 16–18 September 2014. [Google Scholar]
- Wurbs, R.A. Modeling river/reservoir system management, water allocation, and supply reliability. J. Hydrol. 2005, 300, 100–113. [Google Scholar] [CrossRef]
- Shafer, J.M.; Labadie, J.W. Synthesis and Calibration of a River Basin Water Management Model; Colorado Water Resources Research Institute: Colorado State University, Fort Collins, CO, USA, 1978. [Google Scholar]
- Labadie, J.; Baldo, M.; Larson, R. Modsim: Decision Support System for River Basin Management: Documentation and User Manual; Colorado State University and US Bureau of Reclamation: Ft Collins, CO, USA, 2000. [Google Scholar]
- Timalsina, N.P.; Alfredsen, K.T.; Killingtveit, A. Impact of climate change on ice regime in a river regulated for hydropower. Can. J. Civ. Eng. 2015, 42, 634–644. [Google Scholar] [CrossRef]
- Shrestha, B.; Babel, M.S.; Maskey, S.; Griensven, A.V.; Uhlenbrook, S.; Green, A.; Akkharath, I. Impact of climate change on sediment yield in the Mekong River basin: A case study of the Nam Ou basin, Lao PDR. Hydrol. Earth Syst. Sci. 2013, 17, 1–20. [Google Scholar] [CrossRef]
- Kopytkovskiy, M.; Geza, M.; McCray, J.E. Climate-change impacts on water resources and hydropower potential in the upper colorado river basin. J. Hydrol. Reg. Stud. 2015, 3, 473–493. [Google Scholar] [CrossRef]
- Haguma, D.; Leconte, R.; Krau, S. Hydropower plant adaptation strategies for climate change impacts on hydrological regime. Can. J. Civ. Eng. 2017, 44, 962–970. [Google Scholar] [CrossRef]
- Wang, G.; Yang, H.; Wang, L.; Xu, Z.; Xue, B. Using the SWAT model to assess impacts of land use changes on runoff generation in headwaters. Hydrol. Process. 2014, 28, 1032–1042. [Google Scholar] [CrossRef]
- Zhang, C.; Zhu, X.; Fu, G.; Zhou, H.; Wang, H. The impacts of climate change on water diversion strategies for a water deficit reservoir. J. Hydroinform. 2014, 16, 872–889. [Google Scholar] [CrossRef]
- Arnold, J.G.; Srinivasan, R.; Muttiah, R.S.; Williams, J.R. Large area hydrologic modeling and assessment part I: Model development. JAWRA J. Am. Water Resour. Assoc. 1998, 34, 73–89. [Google Scholar] [CrossRef]
- MRC. Application of MRC Modelling Tools in the 3S Basin; Mekong River Commission: Phnom Penh, Cambodia, 2011. [Google Scholar]
- Piman, T.; Cochrane, T.A.; Arias, M.E. Effect of proposed large dams on water flows and hydropower production in the sekong, sesan and srepok rivers of the mekong basin. River Res. Appl. 2016, 32, 2095–2108. [Google Scholar] [CrossRef]
- Chhuon, K.; Herrera, E.; Nadaoka, K. Application of integrated hydrologic and river basin management modeling for the optimal development of a multi-purpose reservoir project. Water Resour. Manag. 2016, 30, 3143–3157. [Google Scholar] [CrossRef]
- Shrestha, B.; Maskey, S.; Babel, M.S.; van Griensven, A.; Uhlenbrook, S. Sediment related impacts of climate change and reservoir development in the Lower Mekong River Basin: A case study of the Nam Ou Basin, Lao PDR. Clim. Chang. 2018, 149, 13–27. [Google Scholar] [CrossRef]
- Trung, L.D.; Duc, N.A.; Nguyen, L.T.; Thai, T.H.; Khan, A.; Rautenstrauch, K.; Schmidt, C. Assessing cumulative impacts of the proposed Lower Mekong Basin hydropower cascade on the Mekong River floodplains and Delta–Overview of integrated modeling methods and results. J. Hydrol. 2020, 581, 122511. [Google Scholar] [CrossRef]
- Ziv, G.; Baran, E.; Nam, S.; Rodríguez-Iturbe, I.; Levin, S.A. Trading-off fish biodiversity, food security, and hydropower in the Mekong River Basin. Proc. Natl. Acad. Sci. USA 2012, 109, 5609–5614. [Google Scholar] [CrossRef]
- Baran, E.; Guerin, E.; Nasielski, J. Fish, Sediment and Dams in the Mekong; WorldFish, and CGIAR Research Program on Water, Land and Ecosystems: Penang, Malaysia, 2015. [Google Scholar]
- Thompson, J.; Laizé, C.; Green, A.; Acreman, M.; Kingston, D. Climate change uncertainty in environmental flows for the Mekong River. Hydrol. Sci. J. 2014, 59, 935–954. [Google Scholar] [CrossRef]
- Junk, W.J.; Wantzen, K.M. The flood pulse concept: New aspects, approaches and applications-an update. In Proceedings of Second International Symposium on the Management of Large Rivers for Fisheries; Food and Agriculture Organization and Mekong River Commission, FAO Regional Office for Asia and the Pacific: Bangkok, Thailand, 2004. [Google Scholar]
- MRC. Mekong River Commission: State of the Basin Report 2018; MRC: Vientiane, Laos, 2019. [Google Scholar]
- Krysanova, V.; White, M. Advances in water resources assessment with SWAT—An overview. Hydrol. Sci. J. 2015, 60, 771–783. [Google Scholar] [CrossRef]
- Gassman, P.W.; Wang, Y.K. IJABE SWAT Special Issue: Innovative modeling solutions for water resource problems. Int. J. Agric. Biol. Eng. 2015, 15, 1–8. [Google Scholar]
- Neitsch, S.L.; Arnold, J.G.; Kiniry, J.R.; Williams, J.R. Soil and Water Assessment Tool Theoretical Documentation, version 2009; Texas Water Resources Institute: College Station, TX, USA, 2011. [Google Scholar]
- Arnold, J.; Kiniry, J.; Srinivasan, R.; Williams, J.; Haney, E.; Neitsch, S. SWAT 2012 Input/Output Documentation; Texas Water Resources Institute: College Station, TX, USA, 2013. [Google Scholar]
- Xie, H.; Nkonya, E.; Wielgosz, B. Technical note: Assessing the risks of soil erosion and small reservoir siltation in a tropical river basin in mali using the swat model under limited data condition. J. Agric. Saf. Health 2011, 27, 895–904. [Google Scholar]
- Jalowska, A.M.; Yuan, Y. Evaluation of SWAT impoundment modeling methods in water and sediment simulations. JAWRA J. Am. Water Resour. Assoc. 2019, 55, 209–227. [Google Scholar] [CrossRef]
- Chow, V.T. Handbook of Applied Hydrology; McGraw-Hill: New York, NY, USA, 1964. [Google Scholar]
- Khan, N.M.; Babel, M.S.; Tingsanchali, T.; Clemente, R.S.; Luong, H.T. Reservoir optimization-simulation with a sediment evacuation model to minimize irrigation deficits. Water Resour. Manag. 2012, 26, 3173–3193. [Google Scholar] [CrossRef]
- Calvo Gobbetti, L.E. Application of HEC-ResSim® in the study of new water sources in the Panama Canal. J. Appl. Water Eng. Res. 2018, 6, 236–250. [Google Scholar] [CrossRef]
- Nash, J.E.; Sutcliffe, J.V. River flow forecasting through conceptual models part I—A discussion of principles. J. Hydrol. 1970, 10, 282–290. [Google Scholar] [CrossRef]
- Jain, S.K.; Sudheer, K. Fitting of hydrologic models: A close look at the Nash–Sutcliffe index. J. Hydrol. Eng. 2008, 13, 4981–4986. [Google Scholar] [CrossRef]
- Moriasi, D.N.; Arnold, J.G.; Van Liew, M.W.; Bingner, R.L.; Harmel, R.D.; Veith, T.L. Model evaluation guidelines for systematic quantification of accuracy in watershed simulations. Trans. ASABE 2007, 50, 885–900. [Google Scholar] [CrossRef]
- Gupta, H.V.; Sorooshian, S.; Yapo, P.O. Status of automatic calibration for hydrologic models: Comparison with multilevel expert calibration. J. Hydrol. Eng. 1999, 4, 135–143. [Google Scholar] [CrossRef]
- MRC. Mekong River Commission: State of the Basin Report; MRC: Vientiane, Laos, 2010. [Google Scholar]
- IEA. World Energy Outlook Special Report on Southeast Asia; IEA: Paris, France, 2017. [Google Scholar]
- Shrestha, B.; Cochrane, T.A.; Caruso, B.S.; Arias, M.E.; Piman, T. Uncertainty in flow and sediment projections due to future climate scenarios for the 3S Rivers in the Mekong Basin. J. Hydrol. 2016, 540, 1088–1104. [Google Scholar] [CrossRef]
- Piman, T.; Cochrane, T.A.; Arias, M.E.; Green, A.; Dat, N. Assessment of flow changes from hydropower development and operations in sekong, sesan, and srepok rivers of the mekong basin. J. Water Resour. Plan. Manag. 2013, 139, 723–732. [Google Scholar] [CrossRef]
- Trang, N.T.T.; Shrestha, S.; Shrestha, M.; Datta, A.; Kawasaki, A. Evaluating the impacts of climate and land-use change on the hydrology and nutrient yield in a transboundary river basin: A case study in the 3S River Basin (Sekong, Sesan, and Srepok). Sci. Total Environ. 2017, 576, 586–598. [Google Scholar] [CrossRef] [PubMed]
- Pachauri, R.K.; Allen, M.R.; Barros, V.R.; Broome, J.; Cramer, W.; Christ, R.; Church, J.A.; Clarke, L.; Dahe, Q.; Dasgupta, P. Climate change 2014: Synthesis report. In Contribution of the Working Groups I, II and III to the Fifth Assessment Report of the Intergovernmental Panel on Climate Change; IPCC: Geneva, Switzerland, 2014. [Google Scholar]
- MRC. Mekong River Commission: Basin-Wide Assessment of Climate Change Impacts on Hydropower Production; MRC: Vientiane, Laos, 2019. [Google Scholar]
- Richter, B.D.; Baumgartner, J.V.; Powell, J.; Braun, D.P. A method for assessing hydrologic alteration within ecosystems. Conserv. Biol. 1996, 10, 1163–1174. [Google Scholar] [CrossRef]
- Shi, P.; Liu, J.; Yang, T.; Xu, C.-Y.; Feng, J.; Yong, B.; Cui, T.; Li, Z.; Li, S. New methods for the assessment of flow regime alteration under climate change and human disturbance. Water 2019, 11, 2435. [Google Scholar] [CrossRef]
- Shrestha, J.P.; Alfredsen, K.; Timalsina, N. Regional modeling for estimation of runoff from ungauged catchments: Case study of the saptakoshi basin. Hydro Nepal J. Water Energy Environ. 2014, 14. [Google Scholar] [CrossRef]
- Middelkoop, H.; Daamen, K.; Gellens, D.; Grabs, W.; Kwadijk, J.C.J.; Lang, H.; Parmet, B.W.A.H.; Schädler, B.; Schulla, J.; Wilke, K. Impact of climate change on hydrological regimes and water resources management in the rhine basin. Clim. Chang. 2001, 49, 105–128. [Google Scholar] [CrossRef]
- Baltas, E.A. Impact of climate change on the hydrological regime and water resources in the basin of siatista. Int. J. Water Resour. Dev. 2007, 23, 501–518. [Google Scholar] [CrossRef]
- Devkota, L.P.; Gyawali, D.R. Impacts of climate change on hydrological regime and water resources management of the Koshi River Basin, Nepal. J. Hydrol. Reg. Stud. 2015, 4, 502–515. [Google Scholar] [CrossRef]
- Lu, W.; Lei, H.; Yang, D.; Tang, L.; Miao, Q. Quantifying the impacts of small dam construction on hydrological alterations in the Jiulong River basin of Southeast China. J. Hydrol. 2018, 567, 382–392. [Google Scholar] [CrossRef]
- Timpe, K.; Kaplan, D. The changing hydrology of a dammed Amazon. Sci. Adv. 2017, 3, 1700611. [Google Scholar] [CrossRef] [PubMed]
- Xue, L.; Zhang, H.; Yang, C.; Zhang, L.; Sun, C. Quantitative assessment of hydrological alteration caused by irrigation projects in the tarim river basin, China. Sci. Rep. 2017, 7, 4291. [Google Scholar] [CrossRef] [PubMed]
- Minville, M.; Brissette, F.; Leconte, R. Impacts and uncertainty of climate change on water resource management of the peribonka river system (Canada). J. Water Resour. Plan. Manag. 2010, 136, 376–385. [Google Scholar] [CrossRef]
- Jebbo, B.E.; Awchi, T.A. Simulation model for mosul dam reservoir using HEC-ResSim 3.0 package. ZANCO J. Pure Appl. Sci. 2016, 28. [Google Scholar] [CrossRef]
- Trisurat, Y.; Aekakkararungroj, A.; Ma, H.-O.; Johnston, J.M. Basin-wide impacts of climate change on ecosystem services in the lower mekong basin. Ecol. Res. 2018, 33, 73–86. [Google Scholar] [CrossRef] [PubMed]
- Magilligan, F.J.; Nislow, K.H. Changes in hydrologic regime by dams. Geomorphology 2005, 71, 61–78. [Google Scholar] [CrossRef]
- Zhang, Y.; Zhai, X.; Zhao, T. Annual shifts of flow regime alteration: New insights from the chaishitan reservoir in China. Sci. Rep. 2018, 8, 1414. [Google Scholar] [CrossRef]
- Shin, S.; Pokhrel, Y.; Yamazaki, D.; Huang, X.; Torbick, N.; Qi, J.; Pattanakiat, S.; Ngo-Duc, T.; Nguyen, T.D. High resolution modeling of river-floodplain-reservoir inundation dynamics in the Mekong river basin. Water Resour. Res. 2020, 56. [Google Scholar] [CrossRef]
- Li, D.; Long, D.; Zhao, J.; Lu, H.; Hong, Y. Observed changes in flow regimes in the Mekong River basin. J. Hydrol. 2017, 551, 217–232. [Google Scholar] [CrossRef]
- Räsänen, T.A.; Someth, P.; Lauri, H.; Koponen, J.; Sarkkula, J.; Kummu, M. Observed river discharge changes due to hydropower operations in the Upper Mekong Basin. J. Hydrol. 2017, 545, 28–41. [Google Scholar] [CrossRef]
- Hoang, L.P.; van Vliet, M.T.; Kummu, M.; Lauri, H.; Koponen, J.; Supit, I.; Leemans, R.; Kabat, P.; Ludwig, F. The Mekong’s future flows under multiple drivers: How climate change, hydropower developments and irrigation expansions drive hydrological changes. Sci. Total Environ. 2019, 649, 601–609. [Google Scholar] [CrossRef] [PubMed]
- Souter, N.J.; Shaad, K.; Vollmer, D.; Regan, H.M.; Farrell, T.A.; Arnaiz, M.; Meynell, P.-J.; Cochrane, T.A.; Arias, M.E.; Piman, T.; et al. Using the freshwater health index to assess hydropower development scenarios in the sesan, srepok and sekong river basin. Water 2020, 12, 788. [Google Scholar] [CrossRef]
- Lauri, H.; De Moel, H.; Ward, P.; Räsänen, T.; Keskinen, M.; Kummu, M. Future changes in Mekong River hydrology: Impact of climate change and reservoir operation on discharge. Hydrol. Earth Syst. Sci. Discuss 2012, 9, 6569–6614. [Google Scholar] [CrossRef]
- Ngo, L.A.; Masih, I.; Jiang, Y.; Douven, W. Impact of reservoir operation and climate change on the hydrological regime of the Sesan and Srepok Rivers in the Lower Mekong Basin. Clim. Chang. 2018, 149, 107–119. [Google Scholar] [CrossRef]
- Piman, T.; Cochrane, T.A.; Arias, M.E.; Dat, N.D.; Vonnarart, O. Managing hydropower under climate change in the mekong tributaries. In Managing Water Resources under Climate Uncertainty: Examples from Asia, Europe, Latin America, and Australia; Shrestha, S., et al., Eds.; Springer International Publishing: Cham, Cambodia, 2015; pp. 223–248. [Google Scholar]
- Yoshida, Y.; Lee, H.S.; Trung, B.H.; Tran, H.-D.; Lall, M.K.; Kakar, K.; Xuan, T.D. Impacts of mainstream hydropower dams on fisheries and agriculture in lower mekong basin. Sustainability 2020, 12, 2408. [Google Scholar] [CrossRef]
- Shrestha, B.; Cochrane, T.A.; Caruso, B.S.; Arias, M.E. Land use change uncertainty impacts on streamflow and sediment projections in areas undergoing rapid development: A case study in the Mekong Basin. Land Degrad. Dev. 2018, 29, 835–848. [Google Scholar] [CrossRef]
- Zhou, Y.; Guo, S. Incorporating ecological requirement into multipurpose reservoir operating rule curves for adaptation to climate change. J. Hydrol. 2013, 498, 153–164. [Google Scholar] [CrossRef]
- Yin, X.A.; Yang, Z.F.; Petts, G.E. Reservoir operating rules to sustain environmental flows in regulated rivers. Water Resour. Res. 2011, 47, W08509. [Google Scholar] [CrossRef]
- Arias, M.E.; Cochrane, T.A.; Kummu, M.; Lauri, H.; Holtgrieve, G.W.; Koponen, J.; Piman, T. Impacts of hydropower and climate change on drivers of ecological productivity of Southeast Asia’s most important wetland. Ecol. Model. 2014, 272, 252–263. [Google Scholar] [CrossRef]
- Binh, D.V.; Kantoush, S.; Sumi, T. Changes to long-term discharge and sediment loads in the Vietnamese Mekong Delta caused by upstream dams. Geomorphology 2020, 353, 107011. [Google Scholar] [CrossRef]
- Baran, E.; Starr, P.; Kura, Y. Influence of Built Structures on Tonle Sap Fisheries; Cambodia National Mekong Committee and the WorldFish Center: Phnom Penh, Cambodia, 2007. [Google Scholar]
- Ward, J.; Tockner, K.; Schiemer, F. Biodiversity of floodplain river ecosystems: Ecotones and connectivity1. River Res. Appl. 1999, 15, 125–139. [Google Scholar] [CrossRef]
- Annandale, G.; Kaini, P. A Climate Resilient Mekong: Sediment Pass-Through at Lower Se San 2. Report; Natural Heritage Institute: San Francisco, CA, USA, 2012. [Google Scholar]
- Wild, T.B.; Loucks, D.P. Managing flow, sediment, and hydropower regimes in the Sre Pok, Se San, and Se kong rivers of the mekong basin. Water Resour. Res. 2014, 50, 5141–5157. [Google Scholar] [CrossRef]











| IHA Parameters Group | Hydrologic Parameters | Ecosystem Influences | 
|---|---|---|
| Group 1. Magnitude of monthly water conditions (12 IHAs) | Mean or median discharge for each calendar month (m3/s) | Provide availability of habitat, soil moisture, water and food; access by predators to nesting sites; functional link to water temperature, oxygen levels, photosynthesis | 
| Group 2. Magnitude and duration of annual extreme flows, and the base flow condition (12 IHAs) | Annual 1-, 3-, 7-, 30-, 90-day minimum flow (m3/s) | Creation of sites for plant colonization; structuring of river channel morphology and physical habitat conditions; nutrient exchanges between rivers and floodplains; distribution of plant communities in lakes, ponds and floodplains | 
| Annual 1-, 3-, 7-, 30-, 90-day maximum flow (m3/s) | ||
| Number of zero days | ||
| Base-flow index (m3/s) | ||
| Group 3. Timing of annual extreme flow conditions (2 IHAs) | Julian date of annual 1-day minimum | Provide special habitats during reproduction or to avoid predation; influences spawning for migratory fish, evolution of life history strategies | 
| Julian date of annual 1-day maximum | ||
| Group 4. Frequency and duration of high and low pulses (4 IHAs) | Number of low pulses each year | Connection to soil moisture and anaerobic stress for plants; Provide floodplain habitats; ensure nutrient and organic matter exchanges between river and floodplain, soil mineral availability Influences bedload transport, channel sediment textures and duration of substrate disturbance (high pulses) | 
| Mean duration of low pulses (days) | ||
| Number of high pulses each year | ||
| Mean duration of high pulses (days) | ||
| Group 5. Rate and frequency of flow changes (3 IHAs) | Rise rate | Drought stress on plants (falling levels), Entrapment of organisms on islands, floodplains (rising levels), Desiccation stress on low-mobility stream edge (varial zone) organisms | 
| Fall rate | ||
| Number of reversals | 
| Scenarios | Name | Climatic Condition | Period | |
|---|---|---|---|---|
| Baseline (no reservoirs) | BL | Historical climate | 1986–2005 | |
| Baseline (with reservoirs) | BLR | |||
| Climate change (no reservoirs) | GISSL | Goddard Institute for Space Studies Model E2, coupled with the Russell ocean model, with carbon cycle (GISS-E2-R-CC) | RCP2.6 | 2051–2070 | 
| GISSM | RCP6.0 | |||
| GISSH | RCP8.5 | |||
| IPSLL | Institute Pierre-Simon Laplace Coupled Model, version 5A, coupled with NEMO, mid resolution (IPSL-CM5A-MR) | RCP2.6 | ||
| IPSLM | RCP6.0 | |||
| IPSLH | RCP8.5 | |||
| GFDLL | Geophysical Fluid Dynamics Laboratory Climate model version 3 (GFDL-CM3) | RCP2.6 | ||
| GFDLM | RCP6.0 | |||
| GFDLH | RCP8.5 | |||
| Climate change (with reservoirs) | GISSLR | Goddard Institute for Space Studies Model E2, coupled with the Russell ocean model, with carbon cycle (GISS-E2-R-CC) | RCP2.6 | |
| GISSMR | RCP6.0 | |||
| GISSHR | RCP8.5 | |||
| IPSLLR | Institute Pierre-Simon Laplace Coupled Model, version 5A, coupled with NEMO, mid resolution (IPSL-CM5A-MR) | RCP2.6 | ||
| IPSLMR | RCP6.0 | |||
| IPSLHR | RCP8.5 | |||
| GFDLLR | Geophysical Fluid Dynamics Laboratory Climate model version 3 (GFDL-CM3) | RCP2.6 | ||
| GFDLMR | RCP6.0 | |||
| GFDLHR | RCP8.5 | |||
| SV Rule | FSL Rule | |||||||||||
|---|---|---|---|---|---|---|---|---|---|---|---|---|
| Feature | Overall | Gr 1 | Gr 2 | Gr 3 | Gr 4 | Gr 5 | Overall | Gr 1 | Gr 2 | Gr 3 | Gr 4 | Gr 5 | 
| Energy | 0.12 | 0.06 | 0.13 | −0.06 | 0.10 | 0.20 | 0.13 | 0.16 | 0.15 | 0.07 | 0.00 | 0.02 | 
| Installed | 0.12 | 0.09 | 0.02 | −0.13 | 0.21 | 0.19 | 0.11 | 0.14 | 0.12 | 0.04 | −0.02 | 0.08 | 
| Storage | 0.22 | 0.17 | 0.20 | −0.11 | 0.04 | 0.45 | 0.21 | 0.12 | 0.22 | 0.11 | 0.18 | 0.15 | 
| Area | 0.17 | 0.17 | 0.10 | −0.09 | 0.03 | 0.49 | 0.24 | 0.10 | 0.23 | 0.13 | 0.26 | 0.15 | 
| Act Ht | 0.35 | 0.33 | 0.19 | 0.21 | 0.19 | 0.07 | 0.25 | 0.24 | 0.20 | 0.24 | 0.09 | 0.40 | 
| FSL | 0.27 | 0.29 | −0.07 | 0.32 | 0.44 | −0.17 | 0.24 | 0.26 | 0.11 | 0.30 | 0.08 | 0.38 | 
| Head | 0.49 | 0.44 | 0.18 | 0.38 | 0.45 | 0.11 | 0.31 | 0.41 | 0.28 | 0.41 | −0.06 | 0.40 | 
| Qmean | −0.52 | −0.54 | −0.10 | −0.39 | −0.46 | −0.03 | −0.36 | −0.37 | −0.29 | −0.38 | −0.06 | −0.59 | 
| Qd | −0.27 | −0.26 | −0.10 | −0.37 | −0.18 | 0.04 | −0.12 | −0.20 | −0.10 | −0.28 | 0.10 | −0.24 | 
| SV Rule | FSL Rule | |||||||||||
|---|---|---|---|---|---|---|---|---|---|---|---|---|
| (a) | ||||||||||||
| Feature | Overall | Gr1 | Gr2 | Gr3 | Gr4 | Gr5 | Overall | Gr1 | Gr2 | Gr3 | Gr4 | Gr5 | 
| Energy | 0.37 | 0.22 | 0.35 | −0.22 | 0.29 | 0.10 | 0.07 | 0.13 | 0.09 | −0.06 | −0.11 | 0.05 | 
| Installed | 0.26 | 0.24 | 0.08 | −0.33 | 0.35 | 0.12 | 0.06 | 0.11 | 0.03 | −0.08 | −0.09 | 0.19 | 
| Storage | 0.53 | 0.47 | 0.27 | −0.10 | 0.36 | 0.47 | 0.30 | 0.14 | 0.28 | 0.13 | 0.46 | 0.30 | 
| Area | 0.56 | 0.52 | 0.24 | −0.08 | 0.38 | 0.51 | 0.30 | 0.11 | 0.30 | 0.15 | 0.49 | 0.34 | 
| Act Ht | 0.18 | 0.19 | 0.01 | 0.14 | 0.21 | 0.13 | 0.28 | 0.30 | 0.20 | 0.26 | 0.11 | 0.21 | 
| FSL | 0.00 | 0.12 | −0.32 | 0.29 | 0.29 | −0.03 | 0.36 | 0.53 | 0.29 | 0.45 | −0.17 | 0.25 | 
| Head | 0.26 | 0.31 | −0.09 | 0.33 | 0.43 | 0.02 | 0.45 | 0.59 | 0.34 | 0.48 | −0.03 | 0.33 | 
| Qmean | −0.15 | −0.35 | 0.40 | −0.28 | −0.47 | −0.06 | −0.50 | −0.59 | −0.41 | −0.45 | −0.05 | −0.50 | 
| Qdesign | −0.01 | −0.08 | 0.18 | −0.51 | −0.15 | 0.09 | −0.36 | −0.47 | −0.26 | −0.50 | 0.01 | −0.17 | 
| (b) | ||||||||||||
| Feature | Overall | Gr1 | Gr2 | Gr3 | Gr4 | Gr5 | Overall | Gr1 | Gr2 | Gr3 | Gr4 | Gr5 | 
| Energy | 0.16 | 0.14 | −0.03 | 0.16 | 0.15 | 0.23 | 0.28 | 0.40 | 0.42 | 0.19 | 0.12 | −0.10 | 
| Installed | 0.16 | 0.14 | −0.21 | 0.27 | 0.25 | 0.20 | 0.34 | 0.42 | 0.43 | 0.20 | 0.18 | 0.00 | 
| Storage | 0.05 | 0.29 | 0.49 | 0.10 | −0.23 | 0.23 | 0.36 | 0.41 | 0.45 | 0.03 | 0.16 | 0.26 | 
| Area | −0.10 | 0.14 | 0.10 | 0.44 | −0.21 | 0.55 | 0.59 | 0.77 | 0.74 | 0.60 | 0.27 | 0.23 | 
| Act Ht | 0.14 | 0.28 | 0.01 | −0.07 | 0.11 | −0.30 | 0.16 | 0.19 | 0.27 | −0.36 | 0.02 | 0.35 | 
| FSL | 0.58 | 0.45 | −0.21 | 0.20 | 0.67 | −0.56 | 0.08 | −0.26 | −0.20 | −0.71 | 0.17 | 0.37 | 
| Head | 0.72 | 0.58 | 0.16 | 0.17 | 0.62 | −0.07 | −0.18 | 0.04 | 0.10 | −0.40 | −0.25 | −0.06 | 
| Qmean | −0.77 | −0.64 | −0.17 | −0.15 | −0.68 | 0.55 | 0.34 | 0.54 | 0.49 | 0.86 | 0.16 | −0.22 | 
| Qdesign | −0.21 | −0.12 | −0.21 | 0.19 | −0.12 | 0.19 | 0.55 | 0.38 | 0.36 | 0.37 | 0.44 | 0.07 | 
| (c) | ||||||||||||
| Feature | Overall | Gr1 | Gr2 | Gr3 | Gr4 | Gr5 | Overall | Gr1 | Gr2 | Gr3 | Gr4 | Gr5 | 
| Energy | −0.01 | −0.14 | 0.43 | −0.23 | −0.44 | 0.46 | −0.52 | 0.32 | 0.28 | −0.27 | −0.53 | −0.45 | 
| Installed | 0.08 | 0.14 | 0.55 | −0.13 | −0.31 | 0.46 | −0.31 | 0.05 | 0.01 | −0.13 | −0.35 | −0.27 | 
| Storage | 0.76 | 0.71 | 0.72 | 0.37 | 0.26 | 0.68 | 0.28 | −0.24 | −0.22 | 0.09 | 0.29 | 0.29 | 
| Area | 0.76 | 0.70 | 0.83 | 0.16 | 0.00 | 0.85 | 0.14 | −0.10 | −0.09 | 0.06 | 0.14 | 0.13 | 
| Act Ht | 0.65 | 0.39 | −0.35 | 0.83 | 0.61 | −0.23 | 0.56 | −0.60 | −0.56 | −0.18 | 0.56 | 0.79 | 
| FSL | −0.02 | 0.16 | −0.69 | 0.59 | 0.69 | −0.78 | 0.67 | −0.54 | −0.50 | 0.24 | 0.68 | 0.68 | 
| Head | 0.04 | 0.06 | −0.16 | 0.28 | 0.27 | −0.22 | 0.18 | −0.04 | −0.03 | 0.14 | 0.18 | 0.10 | 
| Qmean | −0.24 | −0.14 | 0.71 | −0.60 | −0.82 | 0.69 | −0.89 | 0.35 | 0.28 | −0.31 | −0.80 | −0.70 | 
| Qdesign | −0.06 | −0.20 | 0.46 | −0.34 | −0.57 | 0.50 | −0.67 | 0.28 | 0.22 | −0.45 | −0.67 | −0.47 | 
© 2020 by the authors. Licensee MDPI, Basel, Switzerland. This article is an open access article distributed under the terms and conditions of the Creative Commons Attribution (CC BY) license (http://creativecommons.org/licenses/by/4.0/).
Share and Cite
Shrestha, J.P.; Pahlow, M.; Cochrane, T.A. Development of a SWAT Hydropower Operation Routine and Its Application to Assessing Hydrological Alterations in the Mekong. Water 2020, 12, 2193. https://doi.org/10.3390/w12082193
Shrestha JP, Pahlow M, Cochrane TA. Development of a SWAT Hydropower Operation Routine and Its Application to Assessing Hydrological Alterations in the Mekong. Water. 2020; 12(8):2193. https://doi.org/10.3390/w12082193
Chicago/Turabian StyleShrestha, Jayandra P., Markus Pahlow, and Thomas A. Cochrane. 2020. "Development of a SWAT Hydropower Operation Routine and Its Application to Assessing Hydrological Alterations in the Mekong" Water 12, no. 8: 2193. https://doi.org/10.3390/w12082193
APA StyleShrestha, J. P., Pahlow, M., & Cochrane, T. A. (2020). Development of a SWAT Hydropower Operation Routine and Its Application to Assessing Hydrological Alterations in the Mekong. Water, 12(8), 2193. https://doi.org/10.3390/w12082193
 
        


 
       